Servicios Personalizados
Revista
Articulo
Indicadores
-
Citado por SciELO -
Accesos
Links relacionados
-
Similares en
SciELO
Compartir
Revista fitotecnia mexicana
versión impresa ISSN 0187-7380
Rev. fitotec. mex vol.34 no.3 Chapingo jul./sep. 2011
Artículos científicos
Tamaño de la semilla, emergencia y desarrollo de la plántula de maguey (Agave salmiana Otto ex SalmDyck)
Seed size, emergence and seedling development of maguey (Agave salmiana Otto ex SalmDyck)
Erasmo Vázquez Díaz1, J. Rodolfo García Nava1*, Cecilia B. Peña Valdivia1, Hugo M. Ramírez Tobías1 y Victorino Morales Ramos2
1 Posgrado de Botánica, Colegio de Postgraduados CampusMontecillo. Km 36.5 Carr. MéxicoTexcoco 56230, Montecillo, Texcoco, Edo. de Méx. * Autor para correspondencia (garcianr@colpos.mx)
2 Colegio de PostgraduadosCampus Córdoba.
Recibido: 13 de Julio del 2010.
Aceptado: 08 de Julio del 2011.
Resumen
La propagación asexual por hijuelos jóvenes de rizoma parece ser la forma natural más común y exitosa de propagación de plantas de Agave spp. silvestres y en plantaciones comerciales. Sin embargo, la reproducción sexual es importante porque incrementa la variabilidad genética. El objetivo de esta investigación fue caracterizar las semillas de las variantes 'Blanco', 'Chino' y 'Liso' del maguey A. salmiana que crecen en San Luis Potosí, México, en cuanto a sus dimensiones (longitud, anchura y peso), potencial de emergencia y crecimiento inicial. La emergencia se evaluó en invernadero en tres ocasiones, verano e invierno del 2008 y verano del 2009. Se registró el progreso de la emergencia de la hoja cotiledonar y su número, el tiempo de desdoblamiento y peso de las hojas laterales. Las semillas de 'Blanco' fueron las de menor longitud (7.1 mm), anchura (5.4 mm) y peso (10.7 mg), las de 'Chino' fueron las de mayor longitud y anchura (8.4 mm y 6.5 mm, respectivamente), y la 'Liso' fueron las más pesadas (14.5 mg) (P ≤ 0.05). Las hojas cotiledonares iniciaron la emergencia a los 13 d después de la siembra (DDS) en promedio, y la mayor emergencia de plántulas (hojas cotiledonares) en las tres variantes se presentó entre los 21 y 51 DDS. Las hojas laterales se desarrollaron en promedio a los 33 DDS, 18 d después de la emergencia de la hoja cotiledonar. La variante 'Blanco' tiene las semillas más chicas y las de mayor emergencia inicial. Después de la emergencia de las hojas cotiledonares, el desarrollo de las plántulas con hojas laterales parece no estar relacionada con las características de las semillas.
Palabras clave: Agave salmiana, tamaño de semilla, emergencia de plántula, desarrollo de hojas.
Abstract
Wild and cultivated Agave spp. plants have asexual reproduction by young rhizomes and it seems the most common and successful way of reproduction of this specie. However, the sexual reproduction is important because it increases the genetic variability. The aim of this research was to characterize three seed accessions of maguey Agave salmiana 'Blanco', 'Chino' and 'Liso' growing wild in San Luis Potosí, México, regarding the following characteristics: seed dimensions (length, wide and weight), potential of emergence and initial seedling growth. Seedling emergence was evaluated over three seasons, Summer and Winter 2008 and Summer 2009. It was assessed the emergence progress of the cotyledonary leaf, as well as the time and weight when the lateral leaves become apparent. 'Blanco' seeds were smallest in length (7.1 mm), wide (5.4 mm) and weight (10.7 mg), while the 'Chino' variant had the longest and wide (8.4 mm and 6.5 mm, respectively) seeds, and 'Liso' had the heaviest seeds (14.5 mg) (P ≤ 0.05). The cotyledonary leaf emergence started 13 d after sowing (DAS), on the average. The highest seedling emergence was registered between the 21 and 51 DAS in the three agave accessions. The lateral leaves started to grow 33 DAS, 18 d after the emergence of the cotyledonary leaf. 'Blanco' had the smallest seeds and the highest initial emergence rate. After the cotyledonary leaf emergence, the growth of lateral leaves seems no to be related with seed traits.
Key words: Agave salmiana, seed size, emergence, leaf development.
INTRODUCCIÓN
Los magueyes del género Agave han sido de gran importancia para los habitantes de Mesoamérica desde hace unos 10 000 años (Gentry, 1982). Los magueyes (Agave spp.) en México tienen usos variados: alimento humano y del ganado, para producir aguamiel y bebidas fermentadas o destiladas, fibras, material para construcción y como medicamento; también se usan como cercos vivos y como cobertura viva para la retención del suelo, entre otros usos (MoraLópez et al., 2011; Nobel, 2010; RamírezTobías et al., 2011).
La propagación asexual por hijuelos jóvenes derivados de rizoma es la forma natural más común y exitosa de multiplicación de plantas silvestres de Agave spp., así como en plantaciones comerciales donde esta práctica facilita el manejo agronómico (Arizaga y Ezcurra 2002; Portillo y SantacruzRuvalcaba, 2006). El ciclo vital de los magueyes es aproximadamente de 15 a 20 años, el cual inicia con la germinación de la semilla y el establecimiento de una plántula que va desarrollando hojas laterales hasta llegar a floración, fructificación, y la planta muere luego de formar las semillas (semelparidad) (RamírezTobías et al., 2011). Los frutos producen miles de semillas, pero son escasas las que germinan y generan un individuo nuevo en el ambiente silvestre (GarcíaMendoza, 2007). Además, las plántulas que logran establecerse pocas veces prosperan por falta de condiciones adecuadas para su crecimiento, principalmente por escasa humedad en el suelo y por efectos de herbivoría o de enfermedades (Eguiarte et al., 2000).
Los individuos originados de semilla son importantes porque son necesarios para mantener la estructura y dinámica de las poblaciones de maguey, como la de todas las plantas, ya que su ausencia disminuye la variabilidad genética (RamírezTobías et al., 2011).
Según MoraLópez et al. (2011), Agave Salmiana Otto ex SalmDyck es una de las especies de maguey con la variabilidad morfológica más amplia, cuyas variantes se localizan en ambientes con diverso grado de humanización, desde agostaderos de uso múltiple hasta plantaciones y áreas agrícolas.
Esta especie destaca por la abundancia de sus variantes y distribución en numerosas localidades en México, desde Tlaxcala hasta Coahuila. En el área geográfica del altiplano mexicano, en particular en regiones del Estado de San Luis Potosí, se localizan poblaciones silvestres y cultivadas de A. salmiana (MoraLópez et al., 2011), en las que se han descrito las variantes 'Blanco', 'Chino' y 'Liso' usadas principalmente para fabricar mezcal. Sus plantas adultas presentan diferencias morfológicas en sus hojas y espinas laterales y en su reacción a la temperatura de germinación en condiciones de laboratorio (Aguirre Rivera et al., 2001; PeñaValdivia et al., 2006).
La información actual acerca de las semejanzas, diferencias físicas y fisiológicas de las semillas de estas variantes es escasa; aunque se ha observado que son viables, sin latencia, y su germinación es rápida y uniforme (PeñaValdivia et al., 2006). La información relacionada con la semilla y la emergencia de las plántulas de A. salmiana es limitada, por lo que se considera necesario incrementar el conocimiento al respecto.
El objetivo de este trabajo fue describir las semillas de las variantes 'Blanco', 'Chino' y 'Liso' del A. salmiana, en términos de su peso y longitud, y su relación con la emergencia y el desarrollo inicial de las plántulas originadas de semilla, en condiciones de invernadero.
MATERIALES Y MÉTODOS
Material vegetal
Se usaron semillas de las variantes 'Blanco', 'Chino' y 'Liso' del maguey A. salmiana provenientes de plantas silvestres de la zona Minera las Cuevas (21°56' LN, 100°35' LO, 1880 msnm, temperatura y precipitación media anual 16 °C y 566 mm), San Luis Potosí, México, con clima BS1kw(e) gw" (PeñaValdivia et al., 2006). El 18 de octubre del 2003 se recolectaron tres infrutescencias en madurez fisiológica (fruto de color amarilloverdoso) con vigor y saludables, y se extrajeron únicamente las semillas de las cápsulas de su sección central, las que fueron colocadas en la sombra y al aire libre para facilitar su deshidratación durante 3 a 4 semanas; las semillas con 7 % de humedad se almacenaron a 5 ± 1°C y 20 % humedad relativa (PeñaValdivia et al., 2006). La presente investigación fue llevada a cabo durante los años 2008 y 2009.
Características de las semillas
Antes de la siembra se registró el peso en una balanza analítica (Scientech SA120; Colorado, USA), y la longitud y anchura (mm) con un vernier digital (Mituyoto), de cada una de 250 semillas en cada variante. Se determinó la humedad (%) de 10 semillas por variante y por cuadruplicado, seleccionadas al azar y partidas por la mitad, después de secarlas a 70 °C por 4 d; el cálculo se hizo con la siguiente ecuación (Bewley y Black, 1994):
Contenido de humedad (%) = 100(w1w2)/w1
Donde: w1 = peso inicial (mg), y w2 = peso seco (mg).
La calidad de las semillas se evaluó mediante la prueba estándar de germinación propuesta por el ISTA (1985). La germinación de las variantes fluctuó entre 85 y 94 %.
Siembra de las semillas
Las siembras se hicieron en un invernadero ubicado en Montecillo, Texcoco, Estado de México ( 19°29' LN, 98°54' LO y 2250 msnm). Se sembraron 100 semillas de cada variante en verano y otoño del 2008 y, por la escases de semillas, 50 en el verano del 2009. En las primeras dos siembras se establecieron cinco repeticiones con 20 semillas cada una, y en la tercera siembra se tuvieron cinco repeticiones de 10 semillas. El sustrato utilizado fue una mezcla de suelo agrícola y tezontle en proporción 3:1, con textura migajón arcilloso arenoso, pH 7.7 y 6.2 % de materia orgánica, en bolsas de polietileno negro (30 cm x 40 cm). Cada semilla se sembró a una profundidad aproximada de 1 cm. El riego se aplicó con un sistema automático. La temperatura interior del invernadero fue registrada con un Data logger (HOBO®, Bourne MA USA).
Variables medidas
Se cuantificaron los días que transcurrieron después de cada siembra hasta visualizar la emergencia de las hojas cotiledonares. La longitud de las hojas se midió 33 y 48 d después de la siembra (DDS) de verano y otoño; la diferencia se debió al menor número de hojas disponibles en la segunda siembra. Se registró el tiempo de desdoblamiento de las hojas laterales, y después de 5 meses las plántulas fueron cosechadas y se determinó su peso fresco.
Análisis estadístico
Se utilizó un diseño experimental completamente al azar para comparar tres tratamientos (variantes de maguey) con cinco repeticiones. Las variables de respuesta fueron: peso, longitud y anchura de las semillas, número y longitud de hojas cotiledonares, y número y peso de hojas laterales. Se hicieron comparaciones múltiples de medias (Tukey, α=0.05) con el programa estadístico SAS (SAS Institute, 2004 v. 9). Los resultados se presentaron mediante gráficas elaboradas con el programa SigmaPlot (versión 10) que incluye el error estándar.
RESULTADOS Y DISCUSIÓN
Morfometría de las semillas
Las semillas de las tres variantes de maguey fueron de testa negra brillante, lacrimiformes (forma de lágrima) y planas (Figura 1 AC). Sus valores de peso, longitud y anchura fueron diferentes (P ≤ 0.05) entre las variantes (Cuadro 1). Las semillas de la variante 'Blanco' tuvieron el peso y la longitud menores y, junto con las de la variante 'Liso' también fueron menos anchas. En la variante 'Liso' las semillas fueron, en promedio, más pesadas y, junto con las de 'Chino' , tuvieron mayor longitud. La variante 'Chino' destacó porque sus semillas tuvieron la mayor anchura entre las tres variantes.


Otra diferencia entre las variantes fue la distribución de la frecuencia de pesos. En la variante 'Blanco' 53 % de semillas tuvieron un peso de 11 mg (desv. est. 0.003; Figura 2 A), mientras que las semillas de la variante 'Chino' más abundantes (66 %) pesaron 13 mg (desv. est. 0.002; Figura 2 B). La variante 'Liso' mostró la menor variabilidad en la distribución del peso de sus semillas, pues 81 % de ellas tuvieron un peso de 14 mg (desv. est. 0.0013; Figura 2 C).

Hojas cotiledonares
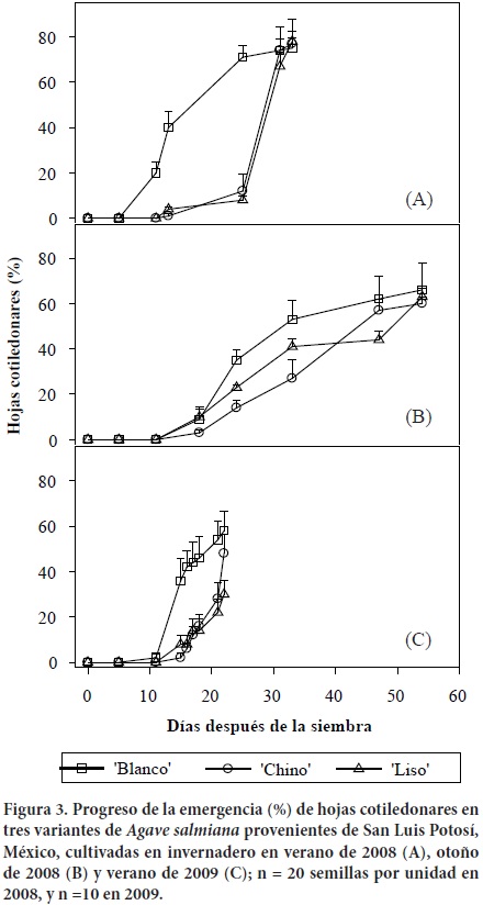
Las hojas cotiledonares empezaron a emerger a los 13 DDS en promedio de las tres variantes y de las tres épocas de siembras. Sin embargo, tanto el inicio como la proporción de hojas emergidas en el tiempo difirieron (P ≤ 0.05) entre siembras y entre variantes. En el verano del 2008, la variante 'Blanco' inició con 20 % de emergencia, mientras que las variantes 'Chino' y 'Liso' presentaban únicamente 1 y 4 %, respectivamente (Figura 3 A). En la siembra de otoño del mismo año, la emergencia en las tres variantes se tardó 15 d más (Figura 3 B), y en el verano del 2009 como en el de 2008 la variante 'Blanco' emergió (2 %) primero (Figura 3 C). Estos resultados muestran que la capacidad de emergencia de las hojas cotiledonares es diferente entre variantes, y que 'Blanco' es la más precoz.

La variante 'Blanco' destacó por la acelerada emergencia de hojas cotiledonares que ocurrió entre los 5 y 25 DDS en el verano del 2008, entre 15 y 45 DDS en el otoño del 2008, y entre 11 y 18 DDS en el verano del 2009 (Figura 3 AC), por lo que en las tres siembras fue la variante que alcanzó primero la máxima emergencia de hojas cotiledonares. Los patrones de emergencia de estas hojas presentaron tendencias disimilares entre las tres siembras, en cada variante. Así, la emergencia de las variantes 'Chino' y 'Liso' fue notablemente acelerada entre los 25 y 30 DDS en el verano del 2008 y entre los 13 y 20 DDS en el verano del 2009; por ello salvo una excepción, igualaron la emergencia máxima de hojas cotiledonares de la variante 'Blanco' a los 31 y 21 DDS, respectivamente. Además, aunque en el otoño del 2008 la emergencia fue lenta, la variante 'Chino' igualó a 'Blanco' a los 47 DDS, y 'Liso' los igualó a los 51 DDS.
La precocidad de la variante 'Blanco' para la emergencia de hojas cotiledonares podría estar relacionada con su menor tamaño de semilla (Cuadro 1). En contraste, PeñaValdivia et al. (2006) aseguraron que no existió relación entre el tamaño de semilla, la imbibición y la germinación, en condiciones de laboratorio, de ocho recolectas de semillas de A. salmiana de San Luis Potosí ('Blanco', 'Chino' y 'Liso'). En cuanto al tamaño de la semilla y el establecimiento de plántulas en el campo, AyalaCordero et al. (2006) indicaron que Stenocereus beneckei (Cactaceae) tiene mayores oportunidades para el establecimiento de individuos nuevos porque presenta semillas con peso variable, desde 4.2 hasta 21 mg. Esto último contrasta con la mayor homogeneidad relativa en el peso de las semillas de las tres variantes de A. salmiana, principalmente 'Chino' y 'Liso', que en las muestras aquí evaluadas tuvieron entre 5.9 y 16.1 mg en el primer muestreo, entre 10.1 y 17.1 mg en el segundo (Figura 2 BC).
El porcentaje de máxima emergencia de hojas cotiledonares de las variantes 'Blanco' y 'Chino' fue independiente de la época de siembra, pues no hubo diferencia (P ≤ 0.05) entre sus promedios de 66 y 62 %, respectivamente. En la variante 'Liso' la emergencia fue mayor en ambas siembras del 2008, y similar entre ambas (71 %) con respecto a la siembra de verano del 2009 (30 %) (Figura 3 AC).
Entre los factores ambientales que pudieron haber tenido algún efecto en la emergencia de las hojas cotiledonares está la temperatura ambiental, ya que en el periodo transcurrido desde la siembra hasta la emergencia la temperatura media se incrementó 6 °C entre las dos primeras siembras y la tercera (Cuadro 3). Además, en el otoño del 2008 la siembra en la que la emergencia máxima tardó más (54 d), el doble que en las otras dos, el intervalo entre la temperatura mínima y máxima dentro del invernadero fue también el mayor (54 °C).


Fue evidente que cuando las semillas estuvieron germinando y las plántulas emergiendo, hubo cambios en temperatura. PeñaValdivia et al. (2006) demostraron que la variante 'Liso' proveniente de tres regiones de San Luis Potosí alcanzó cerca de 100% de germinación, en condiciones de laboratorio con un termoperiodo de 26°C/14°C (12/12 h), lo que representó un incremento de más 10 % con respecto a la que se obtuvo a una temperatura constante de 25 °C. En cuanto a la reacción de las semillas de A. salmiana al calor, PérezSánchez et al. (2011) demostraron su tolerancia en una muestra originaria del sur del desierto de Chihuahua mantenida por 7 y 14 d a 40 °C y por 7 d a 70 °C, previamente a la germinación a 25 °C; en todos los casos las semillas tuvieron 96 % de germinación.
Longitud de hojas cotiledonares
La longitud de las hojas cotiledonares se midió cuando éstas alcanzaron su emergencia máxima, y como ello sucedió en momentos diferentes entre siembras, la comparación se hizo únicamente entre las variantes dentro de cada siembra. Además, en la siembra del 2009 no se hizo la comparación debido a la baja emergencia de la variante 'Liso' (Figura 3 C).
En el verano del 2008 las hojas cotiledonares de las tres variantes tuvieron longitudes similares (P ≥ 0.05) a los 33 DDS con 10 mm en promedio. En contraste, el periodo de emergencia se extendió hasta 54 DDS en el otoño del mismo año (Figura 3 B), lo que permitió que el crecimiento fuera diferente entre variantes. Se observó un gradiente de longitudes de las hojas cotiledonares, ya que las variantes 'Chino' y 'Blanco' fueron 25 y 22 % más largas que las de 'Liso', respectivamente, y las de 'Chino' alcanzaron la mayor longitud media mayor de las tres variantes (Cuadro 2). En parte, estos resultados pueden deberse a la reacción diferente de las variantes a la temperatura ambiente durante el desarrollo y crecimiento de las hojas, ya que en el ciclo de otoño del 2008 se presentó una temperatura media menor (17 °C) y las extremas tuvieron la mayor amplitud (56 °C) (Cuadro 3).
Hojas laterales
En todas las plántulas el desdoblamiento de la primera hoja lateral inició en la base de la hoja cotiledonar, y ocurrió en promedio a los 31 DDS, 18 d después de la exposición de la hoja cotiledonar. El tiempo para la exposición de la primera hoja lateral fue diferente entre las variantes y entre las siembras. Es el caso de la primera hoja lateral de la siembra de verano del 2008, que se expuso a los 25 DDS; en contraste, en la siembra de otoño del mismo año la exposición de la primera hoja lateral ocurrió a los 41 d En esta misma siembra, las siguientes hojas laterales iniciaron su exposición 15.2 d después de la anterior, en promedio. Sin embargo, las tres variantes tendieron a igualarse con el tiempo y, en promedio, la primera hoja se expuso 1 mes después de la siembra, y las siguientes cinco hojas laterales se desdoblaron con intervalos promedio de 1 mes. Así, después de casi 6 meses las tres variantes tenían seis hojas en la roseta (Cuadro 4). El desdoblamiento de las hojas laterales con tasa media cercana a una hoja por mes en plántulas de A. salmiana, coincide con Ruiz et al. (2007) quienes evaluaron el efecto de la suspensión de riego en plántulas de maguey de 6 meses de edad cultivadas en invernadero, y observaron que con esa edad las plántulas presentaron siete hojas, y a los 8 meses la media era cercana a ocho hojas en la roseta.

El peso de las hojas laterales fluctuó entre variantes y entre edades de hoja. Así el peso total de las hojas laterales de las plántulas con cerca de seis meses de edad fue de 439 mg en la variante 'Blanco' en la siembra de verano de 2008, y de 811 mg en la variante 'Liso' en la misma siembra (Cuadro 4). La acumulación relativamente lenta de biomasa en las hojas de las plantas jóvenes de A. salmiana fue documentada por Ruiz et al. (2007), quienes observaron que las plántulas de seis meses de edad cultivadas en invernadero tenían rosetas con siete hojas laterales y un peso total de 1000 mg.
En relación con el peso individual, a los 6 meses de desarrollo la primera hoja lateral tuvo el menor peso (P ≤ 0.05) en las tres variantes junto con la hoja más joven de 1 mes (sexta hoja). La única excepción de esta tendencia se notó en la variante 'Chino' en la siembra de verano del 2008, en la que al momento de la evaluación aún no había expuesto la sexta hoja lateral. El peso de la primera hoja en las tres variantes de ambas siembras fluctuó entre los 34 y 63 mg, y de 16 a 61 mg en la sexta hoja. En contraste, las hojas con edad intermedia, en promedio de 4 meses, y en algunos casos también las de 3 y 5 meses, presentaron el mayor peso en la roseta. La diferencia de peso es sobresaliente, pues en las dos siembras las hojas de 3 meses acumularon entre dos y seis veces más (136 a 254 g) que la de 1 mes (34 a 66 mg), en las tres variantes (Cuadro 4). Una explicación del menor desarrollo de las hojas laterales más viejas es que se mantienen como fuente de fotoasimilados para las hojas que se desarrollan posteriormente y que acumulan más peso; en cambio, las hojas cinco y seis pesan poco por ser las más jóvenes.
Los datos de la siembra del 2009 no fueron analizados porque las unidades experimentales de la variante 'Liso' estuvieron incompletas por su baja emergencia (Figura 3C).
Los resultados de este estudio apoyan lo señalado por ValenzuelaZapata (2003), en relación con la posibilidad de multiplicar magueyes en invernadero a partir de semilla, ya que las plántulas se establecieron bien en tres épocas diferentes. La necesidad reconocida por otros autores de aumentar las poblaciones silvestres y cultivadas de magueyes con nuevas plantas reproducidas por semilla, y no por hijuelos de plantaciones establecidas, puede ser cubierta con producción en invernadero y así asegurar la variabilidad genética de las poblaciones.
CONCLUSIONES
Las variantes 'Blanco', 'Chino' y 'Liso' de A. salmiana, comunes en el Estado de San Luis Potosí, tienen semillas que contrastan en el tamaño de semilla y la tasa inicial de emergencia. Así, la variante 'Blanco' tiene las semillas más chicas y las de mayor emergencia inicial. Después de la emergencia de las hojas cotiledonares, el desarrollo de las plántulas parece no estar relacionado con las características de las semillas.
AGRADECIMIENTOS
Al CONACYT, por la beca de maestría al primer autor, y al Bíol. Baruch Arroyo P. por la fotografía de semillas.
BIBLIOGRAFÍA
AguirreRivera J R, H CharcasSalazar, J L FloresFlores (2001 ) El Maguey Mezcalero Potosino. COPOCYT, Gobierno del Estado de San Luís Potosí e Instituto de Investigación de Zonas Desérticas, Universidad Autónoma de San Luís Potosí. México. 87 p. [ Links ]
Arizaga S, E Ezcurra (20 02) Propagation mechanism in Agave macroacantha (Agavaceae), a tropical aridland succulent rosette. Am. J. Bot. 89:632641. [ Links ]
AyalaCordero G, T Terrazas, L LópezMata, C Trejo (2006) Morphoanatomical changes and photosynthetic metabolism of Stenocereus beneckei seedlings under soil water deficit. J. Exp. Bot. 57:31653174. [ Links ]
Bewley J D, M Black (1994) Seeds: Physiology of Development and Germination. 2nd ed. Plenum Press. New York. USA. 445 p. [ Links ]
Eguiarte L E, V Souza, A SilvaMontellano (2000) Evolución de la familia Agavaceae: filogenia, biología reproductiva y genética de poblaciones. Bol. Soc. Bot. Méx. 66:131150. [ Links ]
GarcíaMendoza A (2007) Los Agaves de México. Ciencias 87:1423. [ Links ]
Gentry H S (1982) Agaves of Continental North America. The University of Arizona Press, Tucson. USA. 670 p. [ Links ]
ISTA, International Seed Testing Association (1985) International Rules for Seed Testing. Seed Sci. Technol. 13:299335. [ Links ]
MoraLópez J L, J A ReyesAgüero, J L FloresFlores, C B PeñaValdivia, J R AguirreRivera (2011) Variación morfológica y humanización de la sección salmianae del género Agave. Agrociencia 45:465467. [ Links ]
Nobel P N (2010) Desert Wisdom Agaves and Cacti CO2, Water, Climate Change. Universe, USA. 182 p. [ Links ]
PeñaValdivia C B, A B SánchezUrdaneta, J R Aguirre R, C Trejo, E Cárdenas, A Villegas (2006) Temperature and mechanical scarification on seed germination of "maguey" (Agave salmiana Otto ex SalmDyck). Seed Sci. Technol. 34:4756. [ Links ]
PérezSánchez R M, E Jurado, L ChapaVargas, J Flores (2011 ) Seed germination of Southern Chihuahuan Desert plants in response to elevated temperatures. J. Arid Environ. 75:978980. [ Links ]
Portillo L, F SantacruzRuvalcaba (2006) Factibilidad de uso de un nuevos sistema de inmersión temporal (Orbitabion®) para embriogénesis somática de Agave tequilana Weber cultivar azul. Bol. Nakari 17:4348. [ Links ]
RamírezTobías H M, C B PeñaValdivia, J R Aguirre R, J A ReyesAgüero, A B Sánchez Urdaneta, S ValleGuadarrama (2011) Seed germination temperatures of eight Mexican Agave species with an extensive history of human use. Plant Species Biol.. (in press). Doi: 10.1111/j.14421984201100341.x [ Links ]
Ruiz G S, C B PeñaValdivia, C Trejo L, A Sánchez (2007) Reacción fisiológica del maguey (Agave salmiana Otto ex SalmDyck) a la sequía intermitente. Rev. Fac. Agron. (LUZ) 24 (Sup 1):318325. [ Links ]
ValenzuelaZapata A G (2003) El Agave Tequilero, Cultivo e Industria en México. Ed. MundiPrensa. México, D. F. 208 p. [ Links ]













