Servicios Personalizados
Revista
Articulo
Indicadores
Links relacionados
-
Similares en
SciELO
Compartir
Acta botánica mexicana
versión On-line ISSN 2448-7589versión impresa ISSN 0187-7151
Act. Bot. Mex no.99 Pátzcuaro abr. 2012
Diversidad morfológica y concentración de proteína de Lupinus spp. en la región centrooriental del estado de Puebla, México
Morphological diversity and protein concentration of Lupinus spp. in centraleastern region of the state of Puebla, Mexico
Luz del Carmen LagunesEspinoza1,4, Javier LópezUpton2, Eustolia GarcíaLópez1, Jesús JassoMata2, Adriana DelgadoAlvarado3 y Gabino García de Los Santos2
1 Colegio de Postgraduados, Campus Tabasco, Periférico Carlos A. Molina s/n, 86500 H. Cárdenas, Tabasco, México.
2 Colegio de Postgraduados, Campus Montecillo, km. 36.5 carretera MéxicoTexcoco, 56230 Montecillo, Edo. de México, México.
3 Colegio de Postgraduados, Campus Puebla, km. 125.5 carretera federal México Puebla, 72760 Santiago Momoxpan, San Pedro Cholula, Puebla, México.
4 Autor para la correspondencia: lagunesc@colpos.mx
Recibido en abril de 2010.
Aceptado en diciembre de 2011.
RESUMEN
El objetivo del presente estudio fue caracterizar la diversidad morfológica y determinar la concentración de proteína en semillas del género Lupinus (Leguminosae) en los ecosistemas agrícola y forestal de la región centro oriental del estado de Puebla. Las poblaciones de Lupinus se localizaron entre 2600 y 4000 m s.n.m., en suelos con pH que varía de ácido (4.7) a neutro (7.1), con elevados contenidos de materia orgánica (> 7.8%) y bajos niveles de K+ intercambiable (< 6 cmol+g1). Dichas poblaciones mostraron una gran variabilidad morfológica, resultado de la diversidad de los representantes de este género en el área de estudio. Cuatro especies fueron identificadas con base en sus características morfológicas e intervalo altitudinal: L. campestris, localizada entre 2600 y 3052 m sobre el nivel del mar, en bordes de cultivos de maíz y haba o áreas con bosque de Juniperus deppeana, Pinus spp. y Abies religiosa; L. exaltatus se encontró entre 2778 y 2865 m de altitud en bosques de P. montezumae; L. hintonii a 3080 m en bosques de A. religiosa; y L. montanus a elevaciones superiores a los 3000 m en bosques de P. hartwegii, P. montezumae, P . rudis y A. religiosa. Se registraron concentraciones altas de proteína de la semilla entre y en las especies; la primera en promedio varió de 328 a 387 g kg1 de materia seca (MS) y la segunda de 317 g kg1 (una población de L. exaltatus) a 481 g kg1 MS (una población de L. campestris).
Palabras clave: concentración de proteína, Leguminosae, Lupinus, maleza, México, morfología, Puebla.
ABSTRACT
The present study aimed to characterize the diversity of Lupinus genus (Leguminosae) present in agricultural and forest ecosystems of eastern central region of the Mexican state of Puebla, and to estimate seed protein concentration in species identified. Natural populations were located from 2600 to 4000 m above sea level in soils with neutral (7.1) to acid (4.7) pH, with high content of organic matter (> 7.8%) and low levels of exchangeable K+ (< 6 cmol+g1). Natural populations of Lupinus showed a great morphological variability result of diversity of species in this genus present in the study area. Four species were identified based on their morphological characteristics and altitudinal range: L. campestris, located at altitudes of 2600 to 3052 m, along edges of corn and faba bean crops or natural vegetation areas in the presence of Juniperus deppeana, various species of Pinus and Abies religiosa; L. exaltatus from 2778 to 2865 m in forests of P. montezumae; L. hintonii at 3080 m associated with Abies religiosa; and L. montanus, at altitudes above 3000 m associated with P. hartwegii, P. montezumae, P. rudis and Abies religiosa. High concentration of seed protein was observed within and between species. Among species, the average protein concentration ranged from 328 to 387 g kg1 of dry matter (DM). Between the species, the concentration ranged from 317 g kg1 (a population of L. exaltatus) to 481 g kg1 DM (a population of L. campestris).
Key words: legume, Lupinus, Mexico, morphology, protein source, Puebla, weed.
INTRODUCCIÓN
El género Lupinus es conocido por su elevado contenido de proteína en las semillas y su capacidad regeneradora de suelos; comprende entre 220 y 230 especies (Lewis et al., 2005). Su mayor diversidad se localiza en el Hemisferio Occidental y sólo se conocen 12 nativas de la región mediterránea y del norte de África (Planchuelo, 1994; Gladstones, 1998). Las zonas montañosas de América Central y principalmente de México son consideradas como comarcas de mayor concentración de representantes de Lupinus (Dunn, 1984), donde se ha observado una gran heterogeneidad por la plasticidad fenotípica que presenta, los hábitos de crecimiento anuales y perennes, la habilidad para adaptarse a ambientes diversos y el alto grado de cruzamiento, lo que ha dificultado la delimitación taxonómica de sus especies (Planchuelo, 1994). Para nuestro país, Sousa y Delgado (1998) reportan alrededor de 65 especies de este género; de las cuales ± 60% son consideradas endémicas.
En México, las poblaciones naturales de Lupinus crecen en caminos, laderas de cerros, en bosques degradados y en ecosistemas naturales a altitudes que van desde el nivel del mar hasta más de 4000 m. Geográficamente se distribuyen desde Baja California hasta Tamaulipas y al sur hasta Chiapas. No obstante, la mayor concentración de especies se registra en la Sierra Madre Occidental y el Eje Neovolcánico Transversal (RuizMoreno et al., 2000). Para la última se han reportado diferentes representantes de Lupinus que crecen de manera natural a partir de 1300 m s.n.m., entre ellas L. leptophyllus Schltdl. & Cham., L. montanus Kunth, L. versicolor Steud., L. potosinus Rose y L. uncinatus Schltdl. (AldereteChávez et al., 2008). En el Parque Nacional Pico de Orizaba, L. montanus es una de las especies dominantes del estrato herbáceo junto con Agrostis tolucensis y Muhlenbergia sp. (Vargas, 1984). Villaseñor y Espinosa (1998) citan a L. leptophyllus ("garbancillo") y L. campestris como malezas que crecen en orillas de caminos y parcelas en descanso en el Distrito Federal, Estado de México, Hidalgo, Jalisco, Puebla, Tlaxcala y Veracruz.
A nivel mundial, actualmente se cultivan cuatro especies de Lupinus: L. albus L., L. angustifolius L., L. luteus L. y L. mutabilis Sweet. Las mismas han sido mejoradas para su uso en alimentación animal y humana (Clements et al., 2005) y el contenido de alcaloides se ha reducido, siendo actualmente inferior a 0.03% (Huyghe, 1997). A diferencia de los lupinos de Europa, norte de África y de América del Sur, donde su cultivo para uso alimenticio data desde hace más de 4000 años, en México no existen reportes del mismo o del uso del grano o del forraje como alimento, debido probablemente a la preferencia de otras fuentes de proteína y al elevado contenido de alcaloides que les confieren un sabor amargo y son tóxicos (Przybylak et al., 2005; BermúdezTorres et al., 2009). No obstante, el género ha sido objeto de estudios sistemáticos en nuestro país para conocer la calidad nutrimental y toxicológica de algunas especies. Investigaciones sobre la calidad nutritiva de la semilla de L. campestris (Cruz et al., 1999; RodríguezAmbriz et al., 2005; JiménezMartínez et al., 2009) y L. exaltatus (RuizLópez et al., 2006) han demostrado su alto potencial como fuente de proteína para ser utilizados como complemento en la alimentación humana y animal, previa eliminación de alcaloides por medios físicos (JiménezMartínez et al., 2003).
Por otro lado, dada la alta capacidad de las especies de este género para fijar N2 atmosférico y solubilizar el P, podrían ser también consideradas en la restauración ecológica de suelos degradados (Vance, 2001).
En la porción del Eje Neovolcánico Transversal que atraviesa el estado de Puebla, los Lupinus forman parte del paisaje natural, y para promover su aprovechamiento sustentable se realizó un estudio exploratorio con el objetivo de caracterizar la diversidad de especies del género a nivel morfológico y de concentración de proteína en sus semillas en las zonas agrícola y forestal de los Valles de Libres y de Serdán del estado de Puebla, México.
ÁREA DE ESTUDIO
El área de estudio está situada en la parte centrooriental del estado de Puebla en México, entre las coordenadas 18°52'23.0" y 19°54'43.9" LN y 97°18'49.7" y 97°56'04.0" LW, a una altitud que varía de 1000 a más de 4600 m (Fig. 1). La temperatura promedio anual va de 22 °C en la partes bajas a 4 °C en las altas; la precipitación promedio anual acumulada va de 400 a 800 mm (GutiérrezHerrera et al., 2003). La zona está comprendida en la provincia del Eje Neovolcánico, como parte de las subprovincias de los lagos y volcanes del Anáhuac y Chiconguiaco. Las principales elevaciones son el Citlaltépetl (Pico de Orizaba) y el cerro La Negra con 5610 y 4621 m s.n.m., respectivamente.
El área destaca por su importancia agrícola y forestal en el estado de Puebla, actividades que han modificado el paisaje natural afectando probablemente la diversidad de la flora nativa. Zonas agrícolas, principalmente de maíz (Zea mays L.) y haba (Vicia faba L.), se observan hasta los 3200 m s.n.m., donde se utiliza la práctica de rotación de cultivos, que incrementa el contenido de materia orgánica en el suelo (Molumeli et al., 2008).
MÉTODOS
Se hicieron recorridos iniciales en los meses de octubre y noviembre de 2006 en el área de estudio, para identificar poblaciones de Lupinus, siguiendo un gradiente altitudinal a partir de 1800 a 4000 m (Fig. 1). Se consideró una población cuando los individuos del género Lupinus formaban grupos compactos pequeños o grandes con características morfológicas similares en el sitio. Durante estos viajes, en 2006, se colectaron ejemplares de Lupinus en floración y con presencia de vainas maduras de seis poblaciones en los municipios de Chalchicomula de Sesma y Tlachichuca.
En los meses de octubre a diciembre del año 2007 se realizó una nueva colecta de ejemplares y semillas de Lupinus, identificándose 10 poblaciones en los municipios de Esperanza, Atzizintla, Chalchicomula de Sesma, Tlachichuca, Lafragua, Libres y Hueytamalco (Fig. 1). En este año, en cada población se registraron in situ, en 5 a 20 plantas según el tamaño de la misma, las variables altura de planta, número de tallos por planta, diámetro del tallo principal, largo de la inflorescencia principal, número, largo y ancho de foliolos por hoja, número y tipo de tallos, presencia y tipo de estípulas, y largo y ancho de vaina. Además, se colectaron por población tres especímenes para su identificación taxonómica, la cual se realizó en primera instancia en el Herbario CSAT del Colegio de PostgraduadosCampus Tabasco, utilizando las claves taxonómicas y descripciones de Dunn (1979) y McVaugh (1987) para la Flora del Valle de México y Flora NovoGaliciana, y la revisión del complejo de L. montanus de Dunn y Harmon (1977). Posteriormente, los ejemplares fueron enviados al herbario del Instituto de Biología de la Universidad Nacional Autónoma de México (MEXU) para la validación de su identidad taxonómica, en donde quedaron depositados.
Las coordenadas de los sitios de presencia y colecta de las poblaciones de lupino fueron registradas con un GPS (Garmin GPS 12 Map), se graficaron usando ArcView GIS 3.2 y se ubicaron sobre el mapa de la región de estudio.
La concentración de proteína cruda fue estimada a partir del contenido de nitrógeno total (%N × 6.25) de las semillas obtenidas de diferentes plantas de cada localidad en 2007 (poblaciones 1 a 10), incluyendo, además, las de seis sitios muestreados en 2006 (poblaciones 11 a 16). Las semillas fueron previamente molidas y secadas a 60 °C. Posteriormente 0.3 g de cada harina fueron pesados por triplicado y analizados por el método de semimicro Kjeldahl digestión húmeda (Jones Jr. et al., 1991).
Muestras representativas de cada suelo donde se ubicaron las plantas de Lupinus se tomaron de 045 cm de profundidad, para determinar el pH, el contenido de material orgánico (MO) y el K+ disponible.
El análisis estadístico de los datos consistió en el cálculo de medias y desviaciones estándar con la finalidad de conocer la variabilidad entre las poblaciones en cuanto a caracteres morfológicos y concentración de proteína. Para observar la variación espacial entre las poblaciones muestreadas en los sitios del año 2007 e identificar algunas variables que determinaran la separación de grupos, se realizó también un análisis de componentes principales, utilizando el paquete estadístico SAS versión 8.1 (Anónimo, 2000).
RESULTADOS
Distribución de poblaciones
Dentro de la flora nativa del área de estudio, las especies del género Lupinus forman parte de los ecosistemas agrícola y forestal y se les conoce con el nombre de "flor de San Juan" o "flor de San Pedro", y son utilizadas como ornamentales durante las fiestas religiosas y como forraje en seco para la alimentación de ovejas. Se localizan a partir de 2615 m s.n.m. en suelos con pH neutro a ligeramente ácido o ácido, con elevado contenido de materia orgánica y bajos niveles de K+ intercambiable, este último disminuye al incrementarse la altitud (Cuadro 1). Estas condiciones de escasa fertilidad no impiden su crecimiento y desarrollo en el sotobosque o en claros de bosque. De acuerdo con Gladstones (1970), la mayoría de las especies del género crecen en suelos con pH inferior a 6.5 y exhiben un crecimiento reducido a valores de pH superiores a 6.5.

En el área de estudio el ecosistema forestal presenta efectos negativos del cambio de uso del suelo relacionados con la tala excesiva, la expansión de la frontera agrícola y la ganadería, lo que seguramente tiene un impacto en la biodiversidad de la región. Algunas especies arbóreas tienen importancia estratégica por su valor y abundancia en la zona, entre ellas Pinus montezumae y P. oaxacana. En este ambiente se observaron abundantes poblaciones de Lupinus en el sotobosque o en claros de bosque asociadas a diversas especies de pinus, entre ellas P. oaxacana, P. patula, P. hartwegii, y a pseudotsuga sp. y Abies religiosa a partir de los 2700 m s.n.m. en los municipios de Esperanza, Atzizintla, Chalchicomula de Sesma y Tlachichuca. En las zonas de transición entre bosques de pino, encino y Abies, aproximadamente a 2600 m s.n.m., Lupinus está asociado a Juniperus deppeana. A partir de los 3400 m s.n.m., éstas se localizan principalmente en bosques de pinus rudis y p. montezumae, junto con varias especies de los géneros Abies, senecio y Baccharis, estas dos últimas en el sotobosque, en el municipio de Tlachichuca. Asimismo, poblaciones abundantes fueron localizadas en bosques de p. montezumae asociadas con pastizales de Muhlenbergia sp. a altitudes que varían de 2778 a 2785 m, en el mismo municipio de Tlachichuca. Los contenidos de MO en esta zona fluctúan de 7.8 a 10.2%, el pH de 4.7 a 6.1 y los contenidos de K intercambiable son bajos.
En contraste con el ecosistema forestal, en el agrícola las poblaciones de Lupinus fueron escasas, pero con un número elevado de individuos en cada sitio, y se localizaron principalmente en los márgenes de cultivos de maíz y/o de haba asociadas con Coreopsis sp., Galinsoga sp. y Lopezia sp. en suelos con pH ácido (5.7), ricos en MO (9%).
Variación morfológica entre las poblaciones e identificación de especies
La amplia variación morfológica observada es el resultado de la diversidad de especies de este género en el área de estudio (Cuadro 2). Las plantas de las poblaciones 1, 6 y 9 presentaron también la mayor altura de todos los sitios colectados y la 5 mostró el más grande largo de vaina. Se registró también amplia diversidad morfológica entre los individuos al interior de las poblaciones. Los intervalos de variación más amplios fueron para el diámetro del tallo principal y el largo de la inflorescencia en las poblaciones 1, 6 y 9.
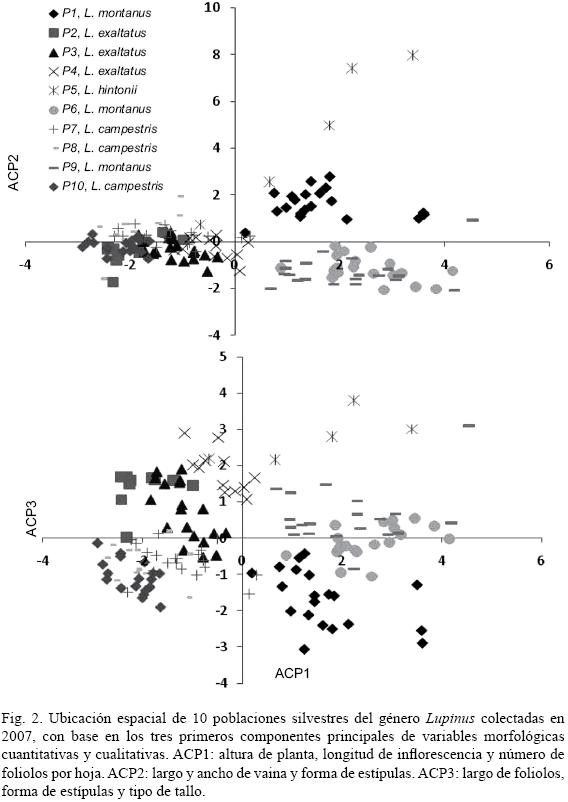
Para observar la variabilidad espacial de las poblaciones y su separación de acuerdo con los caracteres morfológicos cuantitativos y cualitativos (presencia y forma de estípulas, y tipo de tallo), se realizó el análisis de componentes principales (Fig. 2). Los tres primeros explicaron 69% de la variación, correspondiendo 35% al primero, 18.4% al segundo y 15.5% al tercero. Las variables que contribuyeron a la definición del componente principal uno (ACP1) fueron altura de planta, longitud de inflorescencia y número de foliolos por hoja; para el dos (ACP2) fueron largo y ancho de vaina y forma de estípulas, y para el componente tres (ACP3) largo de foliolos, forma de estípulas y tipo de tallo. En la figura 2 se observa que, con base en las características morfológicas evaluadas, las poblaciones 2, 3, 4 que corresponden a L. exaltatus se agrupan con la 7, 8 y 10 de L. campestris, y se separan de la 1, 6 y 9 de L. montanus, por altura de planta, número de foliolos por hoja y forma de estípulas. La 5, de L. hintonii, diverge del resto al presentar diferencias marcadas en largo y ancho de vaina, tipo de tallos y forma de estípulas.

Estas características morfológicas, aunadas a las contenidas en las claves taxonómicas y descripciones consultadas (Dunn, 1979; McVaugh, 1987; Dunn y Harmon, 1977), permitieron identificar cuatro especies de Lupinus en los sitios muestreados en 2007. Todas las plantas recolectadas presentaron predominantemente flores de color moradoazuloso.
La población 5, que corresponde a la especie L. hintonii, presenta un intervalo de altura de planta que va de 70 a 110 cm, diámetro del tallo principal de 8 a 13 mm, con 6 a 7 foliolos por hoja, longitud y ancho de foliolos de 3.8 a 4.7 cm y 0.8 a 1.2 cm, respectivamente, tallos delgados y sólidos, estípulas pequeñas, además de presentar el mayor tamaño de vaina (4.6 a 9.5 cm). Sólo se estudiaron plantas de una localidad de esta especie, en la cual se encontró un bajo número de individuos, establecidos en suelos con pH de 5.6 en bosques de A. religiosa, a una altitud de 3080 m (Cuadro 1).
Las poblaciones 7, 8 y 10 correspondieron a L. campestris. Se localizaron a partir de 2615 m s.n.m., asociadas a Juniperus deppeana, P. patula, pseudotsuga spp., P. montezumae y A. religiosa, en bordes de terrenos cultivados con maíz hasta altitudes de 3052 m. Éstas presentaron una altura promedio de planta de 0.8, 0.5 y 0.6 m, respectivamente, además de tallos sólidos, estípulas de 5 a 12 mm de largo, peciolos de 4 a 8 cm de largo, y 4.5 a 8 foliolos por hoja (Cuadro 2). Se localizaron en suelos con pH ácido a neutro (5.5 a 7.1).
Las características morfológicas de las poblaciones 2, 3, 4 correspondieron a Lupinus exaltatus; se ubicaron a partir de 2785 m s.n.m. en suelos con pH ácido y en bosques de P. montezumae con pastizal de Muhlenbergia sp. en el sotobosque. Presentaron una altura de planta de 0.3 a 1.0 m, estípulas pequeñas, unidas ligeramente en la base de los peciolos, tallos huecos, inflorescencias de 1.5 a 13 cm de largo, 4 a 7 foliolos por hoja, largo y ancho promedio de foliolos de 2.7, 3.8 y 4.0 cm y 0.9, 1.1 y 1.1 cm, respectivamente, vainas de 1.6 a 5 cm de largo y de 0.8 a 1.1 cm de ancho. En el año 2006, otro rodal de esta especie fue localizada a 2778 m s.n.m. en la misma área. A igual altitud se localizó también la existencia de L. campestris.
Finalmente, las poblaciones 6 y 9 se identificaron como L. montanus con altura de planta de 1.2 a 2.4 m, diámetro del tallo principal de 9 a 35 mm, largo de inflorescencias de 7 a 35 cm, de 10.5 a 15 foliolos por hoja, largo y ancho de foliolos de 3.5 a 9.1 cm y de 0.5 a 1.3 cm, respectivamente, estípulas grandes, envainantes y unidas en la base. Estas dos poblaciones (6 y 9) se encontraron en bosques de A. religiosa y P. hartwegii, en altitudes de 3080 a 3275 m (Cuadro 1). Otros rodales de L. montanus fueron observados durante el recorrido en el año 2006, a altitudes superiores a los 3400 m, en suelos con pH ácido (4.9) y asociadas a bosque de P. montezumae con pastizal de Muhlenbergia sp. en el sotobosque; pero también se observaron en presencia de P. rudis y A. religiosa (Cuadro 1).
Concentración de proteína
Se cuantificaron altas proporciones de proteína cruda en las semillas de 16 localidades colectadas en los años 2006 y 2007 (Cuadro 3). La concentración promedio entre especies varió de 328 a 481 g kg1 MS (Cuadro 3). Entre poblaciones de una misma especie el intervalo fue más amplio. La mayor variación se observó entre las número 7, 8 y 10 de L. campestris (339 a 481 g kg1 MS); para L. montanus, 2006 y 2007, fue de 339 a 420 g kg1 MS; para las de L. exaltatus de 317 a 404 g kg1 MS y para L. hintonii de 299 a 356 g kg1 MS; siendo la población 16 (L. exaltatus) y la 10 (L. campestris) las que presentaron, en este orden, la más baja (317 g kg1 MS) y la más alta (481 g kg1 MS) concentración de proteína en la semilla.

DISCUSIÓN
Las especies de Lupinus son un componente de la biodiversidad natural en la región de los Valles de Libres y Serdán del estado de Puebla, abundantes en el ecosistema forestal, tanto en el sotobosque como en claros del bosque, donde forman grandes poblaciones, como es el caso de L. montanus, a partir de 2600 m s.n.m. Por el contrario, en las tierras agrícolas se observaron pocas plantas, tal vez a causa del laboreo continuo de los suelos de cultivo y de la presencia de roedores, factores que podrían tener un efecto negativo sobre la reserva de semillas (Maron y Simms, 1997). Además, sus inflorescencias son cortadas para las fiestas religiosas de la región, lo que conlleva a una presión adicional sobre los bancos de tales propágulos.
Las poblaciones de Lupinus muestreadas en el presente estudio crecen en suelos con pH neutro a ácido, lo cual coincide con lo reportado en la Sierra Nevada (AldereteChávez et al., 2008) y en Europa y Sudamérica (Gladstones, 1970). Tal hecho les confiere una ventaja adaptativa sobre otras leguminosas ricas en proteína para colonizar áreas con este tipo de tierras de baja fertilidad.
Se observó una amplia variabilidad morfológica en las poblaciones de Lupinus estudiadas. La misma ya fue sugerida por BermúdezTorres et al. (2000) para México, en particular en el Eje Neovolcánico Transversal. Cox (1975) la atribuye a la gran plasticidad que presentan las especies de este género para adaptarse a los diferentes ambientes, y al alto grado de hibridación entre ellas. Esta diversidad puede ser aprovechada en la selección de atributos de interés agronómico.
De las especies de Lupinus identificadas en la región, la menos frecuente fue L. hintonii, encontrada en bosques de Abies religiosa, a una altitud de 3080 m. BermúdezTorres et al. (2002) la reportan entre 2800 y 3200 m s.n.m. en bosques de pinoencino en el estado de Morelos, México, indicando que su morfología es muy cercana a la de L. montanus, pero tiene diferente composición de alcaloides. La presencia de esta última a partir de 3000 m s.n.m. en distintas regiones del Eje Neovolcánico Transversal es también reportada por AldereteChávez et al. (2008) y BermúdezTorres et al. (2009). L. montanus es la especie más frecuente en la región de estudio y crece en altitudes superiores a 2900 m. Vargas (1984) la cita ya como planta dominante en el Parque Nacional Pico de Orizaba. También en la región forestal, pero a altitudes inferiores, se localizaron poblaciones de L. exaltatus, cuya presencia asimismo se registra en el Nevado de Colima, a partir de 1700 m (RuizLópez et al., 2006). El otro taxon identificado en la región correspondió a L. campestris.
La concentración de proteína cuantificada en la población 10 de L. campestris (481 g de proteína kg1 MS) es más alta que la reportada por JiménezMartínez et al. (2009) en semillas de la misma especie colectadas en el estado de Morelos (411.7 g kg−1 MS). En cambio, las encontradas en L. exaltatus fueron similares a las observadas por RuizLópez et al. (2006) en poblaciones de esta planta colectadas en el Nevado de Colima, y a los valores reportados para especies domesticadas de lupinos: L. angustifolius, L. luteus, L. albus y L. mutabilis (300440 g kg1 MS) por Petterson (1998) y Sujak et al. (2006). En comparación con otras leguminosas de grano, las plantas estudiadas mostraron concentraciones de proteína superiores a las conocidas para lenteja (Lens culinaris, 267 g kg1 MS), haba (Vicia faba, 300 g kg1 MS) y frijol (phaseolus vulgaris, 290 g kg1 MS) y semejantes a las de la soya (Glycine max, 405 g kg1 MS) (Cubero y Moreno, 1983; Favier et al., 1995). También se observó variación en los contenidos de proteína entre las poblaciones de una misma especie. Jiménez et al. (1991) reportan diferencias entre sitios para contenidos de proteína en la semilla de L. albus, relacionadas con factores de fertilidad del suelo y ambientales como la temperatura. En otras especies de Lupinus nativas de Europa (Sujak et al., 2006), la concentración de proteína de la semilla varía de 295 a 482 g kg1 MS; en L. albus de 351 a 376 g kg1 MS, en L. angustifolius de 295 a 356 y en L. luteus de 447 a 482 g kg1 MS., intervalos similares a los observados para las plantas mexicanas en nuestro estudio.
Recientemente diversos grupos de investigación han realizado estudios nutricionales sobre especies de Lupinus nativas de nuestro país (Przybylak et al., 2005; RodriguezAmbriz et al., 2005; RuizLópez et al., 2006; JiménezMartínez et al., 2009), mostrando que presentan características nutricionales sobresalientes que pueden ser aprovechadas para la alimentación humana o animal. Estas plantas, colectadas en otras regiones del país y que han sido identificadas en la región de estudio con concentraciones similares o más elevadas de proteína, adaptación a diferentes altitudes y suelos ácidos de baja fertilidad, muestran una vía promisoria para su aprovechamiento sustentable, sea para restauración ecológica y/o como alternativa proteica o de componentes bioactivos para la alimentación humana o animal en nuestro país. Particularmente, estudios básicos sobre aspectos de agronomía que incluyan genética, fisiología, bioquímica, taxonomía entre otros, son elementos clave que permitirán la selección de la especie o las especies para el inicio del proceso de domesticación.
AGRADECIMIENTOS
Los autores agradecen el apoyo del M.C. Antonio López Castañeda en la elaboración de la figura 1 y al M.C. Arnulfo Triano Sánchez quién ayudó en la preparación de muestras para análisis proteico. Un reconocimiento especial al Dr. Alfonso Delgado Salinas, del Instituto de Biología de la Universidad Nacional Autónoma de México, por haber aceptado amablemente revisar la identificación taxonómica de los ejemplares botánicos. Igualmente, los autores agradecen a los revisores anónimos quienes con sus valiosas observaciones enriquecieron este documento.
LITERATURA CITADA
AldereteChávez, A., V. Espinosa, E. Ojeda, M. Ehsan, J. PérezMoreno, V. M. Cetina, D. A. RodríguezTrejo y N. de la CruzLandero. 2008. Natural distribution and principal characteristics of Lupinus in the oriental face of Tláloc Mountain in Sierra Nevada, México. J. Biol. Sci. 8: 604609. [ Links ]
Anónimo. 2000. SAS. Version 8.1. SAS Institute. Cary, USA. [ Links ]
BermúdezTorres, K., N. RobledoQuintos, J. MartínezHernández, A. Tei y M. Wink. 2000. Biodiversity of the genus Lupinus in Mexico. In: van Santen, E., M. Wink, S. Weissman y P. Roemer (eds.). Lupin an ancient crop for the new millenium. Proceedings of the 9th International Lupin Conference. 2024 June, 1999. Klink, Alemania. pp. 294296. [ Links ]
BermúdezTorres, K., N.RobledoQuintos,L.L. BarreraNecha y M.Wink.2002.Alkaloid profile of leaves and seeds of Lupinus hintonii C. P. Smith. Z. Naturforsch (C) 57: 243247. [ Links ]
BermúdezTorres, K., J. Martínez, B. R. Figueroa, M. Wink y L. Legal. 2009. Activity of quinolizidine alkaloids from three Mexican Lupinus against the lepidopteran crop pest spodoptera frugiperda. BioControl 54: 459466. [ Links ]
Clements, J. C., B. J. Buirchel, H. Yang, P. M. C. Smith, M. W. Sweetingham y C. G. Smith. 2005. Lupin. In: Singh, R. J. y P. P. Jauhar (eds.). Genetic resources, chromosome engineering, and crop improvement grain legumes. Volume I. CRC Press, LLC. eBook. Boca Raton, Florida, USA. [ Links ]
Cox, B. J. 1975. Affinities of Lupinus prunophilus Jones and L. ammophilus Greene (Papilionaceae). Southwest. Nat. 20(2): 159170. [ Links ]
Cruz, B. J., A. L. Martínez, R. Maldonado y G. Dávila. 1999. Cloning of a Lupinus campestris gamma conglutin fragment. In: van Santen, E., M. Wink, S. Weissman y P. Roemer (eds.). Lupin an ancient crop for the new millennium. Proceedings of the 9th International Lupin Conference. 2024 June, 1999. Klink, Alemania. pp. 63. [ Links ]
Cubero, J. I. y M. T. Moreno. 1983. Leguminosas de grano. MundiPrensa. Madrid, España. 359 pp. [ Links ]
Dunn, D. B. 1979. Lupinus. In: Rzedowski, J. y G. C. de Rzedowski (eds.). Flora fanerogámica del Valle de México. Volumen 1. Compañía Editorial Continental, S.A. México, D.F., México. pp. 326338. [ Links ]
Dunn, D. B. 1984. Genetic resources: Cytotaxonomy and distribution of New World lupin species. Proceedings of the 3th International Lupin Conference. 48 June, 1984. La Rochelle, Francia. pp. 6885. [ Links ]
Dunn, D. B. y W. E. Harmon. 1977. The Lupinus montanus complex of Mexico and Central America. Ann. Missouri Bot. Gard. 64(2): 340365. [ Links ]
Favier, J. C., J. L. Ripert, C. Toque y M. Feinberg. 1995. Répertoire général des aliments (table de compositions). 2a. ed. Institute National de la Recherche Agronomique Editions. Paris, Francia. 928 pp. [ Links ]
Gladstones, J. S. 1970. Lupins as crop plants. Field Crop Abst. 23: 123148. [ Links ]
Gladstones, J. S. 1998. Distribution, origin, taxonomy, history and importance. In: Gladstones, J. S., J. S. Atkins y C. Hamblin (eds.). Lupinus as crop plants. Biology, production and utilization. CAB International. Oxon, UK. pp. 139. [ Links ]
GutiérrezHerrera, L., M. J. Cuervo y E. O. Ortiz. 2003. Regiones naturales y de planeación para el estado de Puebla. Análisis Económico 18(37): 257296. [ Links ]
Huyghe, C. 1997. White lupin (Lupinus albus L.). Field Crops Res. 53: 147160. [ Links ]
Jiménez, M. D., J. J. Cubero y A. Haro. 1991. Genetic and environmental variability in protein, oil and fatty acid composition in highalkaloid white lupin (Lupinus albus). J. Sci. Food Agric. 55(1): 2735. [ Links ]
JiménezMartínez, C., R. CamposMendiola, M. E. SánchezEspíndola, A. JiménezAparicio, G. GutiérrezLópez y G. DávilaOrtiz. 2009. Microstructural changes in Lupinus campestris seed in response to three thermal debittering treatments. J. Sci. Food Agric. 89(14): 23992404. [ Links ]
JiménezMartínez, C., H. HernándezSánchez y G. DávilaOrtiz. 2003. Lupines: an alternative for debittering and utilization in foods. In: GutiérrezLópez, G. F. y G. V. BarbosaCánovas (eds.). Food Science and Food Biotechnology. Capítulo 11. CRC Press, LLC. eBook. Boca Raton, Florida, USA. [ Links ]
Jones Jr. J. B., B. Wolf y H. A. Mills. 1991. Plant analysis handbook: a practical sampling, preparation, analysis and interpretation guide. MicroMacro Publishing. Atenas, Grecia. 357 pp. [ Links ]
Lewis, G. P., B. Schrire, B. Mackinder y M. Lock (eds.). 2005. Legumes of the world. Royal Botanic Gardens. Kew, UK. 577 pp. [ Links ]
Maron, J. L. y E. L. Simms. 1997. Effect of seed predation on seed bank size and seedling recruitment of bush lupine (Lupinus arboreus). Oecologia 111: 7683. [ Links ]
McVaugh, R. 1987. Lupinus. In: Anderson, W. (ed.). Flora NovoGaliciana. Vol. 5. Leguminosae. The University of Michigan Press. Ann. Arbor., USA. pp. 580599. [ Links ]
Molumeli, A. P., V. Espinosa, M. Ehsan, S. B. Valdez, E. Ojeda, V. M. Cetina, A. AldereteChávez, N. de la CruzLandero y K. Santamaría. 2008. Lupinesinvaded pine forests and cultivated scrublands in volcanic ash soils in Mexico: drysieved aggregation and instability indices. Int. J. Bot. 4(4): 390405. [ Links ]
Petterson, D. S. 1998. Composition and food uses of Lupinus. In: Gladstones, J. S., C. A. Atkins y J. Hamblin (eds.). Lupinus as crop plant. Biology, production and utilization. CAB International. Oxon, UK. pp. 353384. [ Links ]
Planchuelo, A. M. 1994. Wild lupin distribution and its implications as germplasm resources. In: Neves Martins, J. M. y M. L. Beirao da Costa (eds.). Advances in lupin research. Proceedings of 7th International Lupin Conference. Evora, Portugal. Technical University of Lisbon. Lisboa, Portugal. pp. 6569. [ Links ]
Przybylak, J. K., D. Ciessiolka, W. Wysocka, P. M. GarcíaLópez, M. A. RuizLópez, W. Wysocki y K. Gulewicz. 2005. Alkaloid profiles of Mexican wild lupin and an effect of alkaloid preparation from Lupinus exaltatus seeds on growth and yield of paprika (Capsicum annuum L.). Ind. Crop Prod. 21: 17. [ Links ]
RodríguezAmbriz, S. L., A. L. MartínezAyala, F. Millán y G. DávilaOrtiz. 2005. Composition and functional properties of Lupinus campestris protein isolates. Plant Foods Hum. Nutr. 60: 99107. [ Links ]
RuizLópez, M. A., M. R. Rodríguez y S. Navarro P. 2006. Evaluación químiconutricional de Lupinus exaltatus Zucc., del Nevado de Colima, México, como fuente potencial de forraje. Interciencia 31(10): 758761. [ Links ]
RuizMoreno, J. J., M. A. RuizLópez y J. F. ZamoraNatera. 2000. The genus Lupinus: taxonomy and distribution in Jalisco, Mexico. In: van Santen, E., M. Wink, S. Weissman y P. Roemer (eds.). Lupin an ancient crop for the new millennium. Proceedings of the 9th International Lupin Conference. 2024 June, 1999. Klink, Alemania. pp. 297300. [ Links ]
Sousa, S. M. y A. Delgado S. 1998. Leguminosas mexicanas: fitogeografía, endemismo y orígenes. In: Ramamoorthy, T. P., R. Bye, A. Lot & J. Fa (comp.). Diversidad biológica de México: orígenes y distribución. Instituto de Biología, Universidad Nacional Autónoma de México. México, D.F., México. pp. 449500. [ Links ]
Sujak, A., A. Kotlarz y W. Strobel. 2006. Compositional and nutritional evaluation of several lupin seeds. Food Chem. 98: 711719. [ Links ]
Vance, C. P. 2001. Symbiotic nitrogen fixation and phosphorus acquisition. Plant nutrition in a world of declining renewable resources. Plant Physiol. 127: 390397. [ Links ]
Vargas, M. F. 1984. Parques nacionales de México y reservas equivalentes; pasado, presente y futuro. Colección: Grandes problemas nacionales. Serie "Los Bosques de México". Instituto de Investigaciones Económicas, Universidad Nacional Autónoma de México. México, D.F., México. 266 pp. [ Links ]
Villaseñor, R. J. L. y F. J. Espinosa. 1998. Catálogo de malezas de México. Ediciones Científicas Universitarias. Serie Texto Científico Universitario. Universidad Nacional Autónoma de México, Consejo Nacional Consultivo Fitosanitario y Fondo de Cultura Económica. México, D.F., México. 449 pp. [ Links ]













