Servicios Personalizados
Revista
Articulo
Indicadores
-
Citado por SciELO -
Accesos
Links relacionados
-
Similares en
SciELO
Compartir
Atmósfera
versión impresa ISSN 0187-6236
Atmósfera vol.24 no.2 Ciudad de México abr. 2011
Radars, an alternative in hydrological modeling. Lumped model
B. MÉNDEZANTONIO
Departamento de Energía, Universidad Autónoma Metropolitana Azcapotzalco Av. San Pablo 180, Col. Reynosa Tamaulipas, Azcapotzalco D. F. 02200 México
R. DOMÍNGUEZ
Instituto de Ingeniería, Universidad Nacional Autónoma de México, Circuito Interior, Ciudad Universitaria, D. F. 04510 México
G. SOTOCORTÉS
Departamento de Energía, Universidad Autónoma Metropolitana Azcapotzalco Av. San Pablo 180, Col. Reynosa Tamaulipas, Azcapotzalco D. F. 02200 México
F. RIVERATREJO
Universidad Juárez Autónoma de Tabasco. Cunduacán, Tabasco, México, Av. Universidad s/n Zona Cultural, Col. Magisterial, Villahermosa, Tabasco, 86040 México
V. MAGAÑA and E. CAETANO
Centro de Ciencias de la Atmósfera, Universidad Nacional Autónoma de México, Circuito de la Investigación Científica, Ciudad Universitaria, D. F. 04510 México. Corresponding author: E. Caetano; email: caetano@servidor.unam.mx
Received January 11, 2010; Accepted September 13, 2010
RESUMEN
El uso de radares meteorológicos en la modelación hidrológica es una herramienta que cada día cobra mayor importancia en el mundo. Con el fin de validar su empleo en la modelación hidrológica se realizó un estudio en la subcuenca del río Mixcoac, la cual se localiza al poniente de la cuenca del Valle de México y tiene un área de 31.5 km2. Se emplearon datos de precipitación estimados a partir del radar meteorológico del cerro Catedral ubicado a 35 km de la cuenca y de la red de estaciones pluviográficas operadas por el Sistema de Aguas de la Ciudad de México (78 estaciones). El estudio consistió en la generación de un modelo agregado del tipo lluviaescurrimiento alimentado con datos de radar y de pluviógrafos para su calibración. Se demostró que el empleo de los radares meteorológicos es una alternativa en la generación de modelos hidrológicos. El modelo se usó para probar la bondad del uso del radar en modelos hidrológicos lineales del tipo lluviaescurrimiento.
ABSTRACT
The use of meteorological radars in hydrological modeling is a tool that is becoming more important each day throughout the world. In order to validate its use in hydrological modeling, a study was carried out in the subwatershed of the Mixcoac river, in the western region of the valley of Mexico, over an area of 31.5 km2. Rainfall data were estimated by the meteorological radar on Catedral hill, 3 5 km away from the watershed and from the rain gaUges network operated by the Sistema de Aguas de la Ciudad de México (78 rain gauges). The study generated a lumped model of the rainfallrunoff type with input from radar and pluviograph data for calibration. The use of weather radars is shown to be an alternative in the generation of hydrological models. The model was used to prove the goodness of radar data in linear hydrological models of the inputoutput type.
Keywords: Weather radar, rainfallrunoff models, hydrological model.
1. Introduction
The occurrence of intense rains over an area causes an increase in runoff. This may generate floods that eventually reach into considerable dimensions. In some cases, floods are caused by the overflowing of rivers that result in material damages, and sometimes loss of human lives. The application of measures of prevention or of mitigation of the effects caused by flooding requires data to predict the magnitude, evolution through time and probability of occurrence, for which reason the use of a hydrological model is recommended.
A hydrological model is defined as a simplification of a natural system, such as the rainfallrunoff process and its components in a watershed. Hydrological models use lumped or distributed parameters (Méndez et al., 2006). This depends on the spatial discretization scheme used to describe the characteristics of the watersheds, as they are based in physical or conceptual principles depending on the degree of mathematical analogy used in the analysis (Mendoza et al., 2002).
In order to understand the causal relationship between rainfall and runoff, mathematical models have been developed that make it possible to obtain the response of a catchment, in terms of streamflow, to the stimulus of an input such as rainfall. These schemes, known as rainfallrunoff models, are used to simulate and forecast flooding during storms in real time, and this is obtained from the information on precipitation that is simultaneously generated in the watershed.
2. Study area
In order to test the goodness of the rainfall data estimated by a weather radar, and their use in runoff forecasting models, a hydrological study was carried out in the subwatershed of the Mixcoac river. This subwatershed was selected considering the frequent rains in the area (Magaña et al., 2003) the damages they cause, and the runoff data that have been recorded, all of which made it possible to establish a relationship between the rainfall and the runoff based on the observed data to calibrate the model. This subwatershed is part of the watershed of the México City valley, and is located to the west of the Federal District, where the México City is located (Fig. 1).

The watershed has an area of 31.5 km2, and an altitude of 3600 m above sea level at its highest point and of 2500 m above sea level at the watershed outlet. This last is a bit above México City which lies at 2240 m above sea level (Fig. 2).
The type of vegetation present is related to other factors such as the soil, the water and the climate that varies from temperate to semicold subhumid with summer rains (Fig. 3).

The annual average rainfall in this area is 1173 mm (Fig. 4), with a maximum monthly average rainfall of 223 mm from June to September, and a minimum monthly average rainfall of approximately 13.3 mm from November to February (Table I, Ajusco station).

Problems in this watershed, considered an ecological reserve, have increased following the urban growth of México City that has generated diverse human settlements inside areas under the risk of flooding (Esquivel, 2000). Urban growth also affects the potential infiltration of the soil and the hydrological response of the watershed.
3. Methodology
Two rainfallrunoff models were generated based on the unit hydrograph theory, with two types of inflow. The first model input average rainfall data were obtained from pluviographs, and was estimated following Thiessen's polygon method. The second model input average rainfall data were estimated from radar data. A BandC Doppler type radar was used in this study (Méndez et al., 2006). The Catedral radar use a beam width of 1° and it is located at 35 km from de Mixcoac watershed (Fig. 1). The temporal resolution of this radar is 15 minutes and the pseudo Constant Altitude Plan Position Indicator (PCAPPI) product was used for this study. On the other hand, a lumped parameter model was used to evaluate the goodness of the meteorological radar in hydrological modeling.
Until recent years, lumped models have been the most commonly used models for hydrological processing in watersheds, particularly because of the practical impossibility of obtaining spatially distributed information of the characteristics of a catchment and of precipitation. The variables and parameters used in this kind of model represent average values for each of the properties of the watershed, for example: area, slope, types of soil and cover, among others, without considering the topology of the basin and its stream network. A lumped model represents the watershed as a unit characterized by a reduced number of variables and parameters with averages that can be determined empirically or physically (Maidment, 1993). These models are generally used in the description and analysis of the rainfallrunoff relationship (Chow et al., 1988).
The basic unit of a lumped model is the watershed, for which a unitary response is considered in a way that all its attributes are averaged (DeVantier, 1993). Lumped parameter models do not explicitly take into consideration the spatial variability of the inputs, outputs and characteristics of the catchment. They are generally structured to use average values of the characteristics of the basins, and this affects the estimation of the streamflow volume. Thus, averaging parameter values clearly imply that the processes represented by those parameters are also averaged (Vieux, 2001).
Four storms of the year 1998 were analyzed for this study (Table II). These were selected as rainfall data were available from the rain gauges operated by the Sistema de Aguas de la Ciudad de México (SACM), as well as data estimated from radar records for rainfall and runoff at the watershed outlet at the time the study took place. The Mixcoac hydrometric station is located at the watershed outlet, 35 km away from the radar (Fig. 1).

These four storms caused considerable expense and flooding problems in the watershed. The time interval At used by the radar to record data was of 15 minutes, as was the time used to obtain rainfall from the rain gauges and the observed runoff. The spatial resolution of the radar images was l x l km. The six pluviographs in the area of influence of the basin that were used for the analysis are separated one from the other by an average distance of 7.5 km.
3.1 Model of losses
One of the most important parameters in lumped hydrological models is the losses, as it is through the estimation of these that the surface streamflow or runoff is inferred. With respect to the mechanisms that generate runoff in a basin, the most used and simplest traditional models consider that the water that falls directly as rain is immediately converted into surface runoff following one of these reasons: the amount of rain exceeds the infiltration capacity, called Hortonian runoff, or the soil is saturated, known as Dunne's runoff or saturation runoff (Aparicio, 1994). Hortonian runoff is present only in areas where the hydraulic conductivity of the soil is very low or where exceptionally intense rainfall occurs.
One of the simplest methods to estimate infiltration is the criterion of the runoff coefficient (Rc). This criterion establishes that the losses are proportional to the intensity of the rain, that is:

where Vds is the volume of direct streamflow and Vr is the volume of the rain. If the value of Rc is known for a watershed, the outlet volume for a storm is obtained with the equation:

Another frequently used criterion is the criterion of the average infiltration capacity or its index. This criterion supposes that the soil has a constant average infiltration capacity during a storm, and whenever it rains at an intensity below that capacity, the rainfall in the basin will filter into the soil completely, whereas when the intensity of the rainfall is above that capacity, the water will flow on the surface (Domínguez and Gracia, 1981). This infiltration index Φ aids in determining the hyetograph for excess rainfall, conserving the volume and the peak streamflow (Johnson and Miller, 1997). This last method was used in the analysis of the study case presented here.
3.2 Validation of the radar data
As the remote sensing instruments, such as weather radar, do not measure but only estimate the rainfall using empirical relationships, it is necessary to validate the rain estimation (Rosengaus, 1995). This study adopted the calibration of the Catedral hill weather radar carried out by Méndez et al. (2006). The calibration criterion used the equation

where n is the number de cells averaged in a matrix of 3 X 3 cells,
(mm6 m3) is the average reflectivity in the nine cells of the matrix. In this criterion, the coordinate of the matrix center is the same that the rain gauges (Fig. 5). Then, the calibration equation was estimated from pairs
Ultimately, the equation obtained was


where R (mm h1) is the rainfall intensity observed in the rain ganges, and Z (mm6 m3) is the average reflectivity estimated by the radar (Eq. 3). Furthermore, considering that the radar records are taken every 15 minutes, rainfall (mm) is recorded as

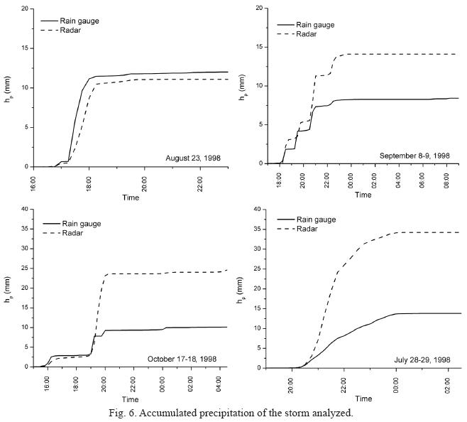
The analysis of the mass curve of the selected storms (Fig. 6) constructed with both instruments shows that even when the radar does not estimate the same amount of rainfall that is recorded by the pluviograph, the temporal behavior of the rain is reproduced. Thus, the spatial and temporal analysis of the rainfall generates a certain confidence in the use of the meteorological radar in hydrological analyses.
3.3 Hydrological modeling
Aggregate models, as the one used here, study a phenomenon as a black box to which a stimulus, represented by the rainfall, is introduced and a response, represented by the streamflow, is obtained. The treatment given to the watershed supposes that its physical characteristics and rainfall are homogeneous throughout the area, and loses validity after some time as the streamflow varies with urbanization, reforestation, control constructions, erosion and weather changes, among others.
Among the group of black box lineal models, the most used model, and the one used in this study, was the Unit Hydrograph Method developed by Sherman (Sherman, 1932). The theory of the traditional unit hydrograph is applied normally only to the surface runoff and to the part of the rain that produces it. The rain that filters into the soil and that later forms part of the base runoff or groundwater runoff is excluded (Cruickshank, 1968). The output of the model is then the direct runoff, and the input is the rain that generate it, that is, the effective rainfall.
The unit hydrograph can be explained from the point of view of the system, where it is supposed that the internal structure of a system is not known, and the only access to it is through the inputs and outputs. Based on this, a system is considered a black box (Fig. 7). Evidently, a black box can be created to apply all sorts of inputs (rain), measure the corresponding output (runoff), and then extract their properties (system or transfer function) from input/output pairs (Méndez, 1998).

3.4 Estimation of the model inputs
A fundamental part of hydrological modeling is the estimation of the effective rainfall that generates direct runoff and is used to calibrate the hydrological model. The capacity of infiltration method or index Φ method was used to obtain this parameter.
In the case of the meteorological radar, the average rainfall hyetographs were estimated with the formula

where Pi is the rainfall in the cell i, obtained from Eq. 5, in mm; ai is the fraction of the area in the cell, that falls in the Mixcoac watershed, in km2, n is the number of cells within the watershed and h
is the average rainfall in the watershed, estimated from the meteorological radar data, for each time interval.
The average rainfall hyetographs were drawn up with the average rainfall data, and the direct streamflow data were used to determine the depth of direct runoff of each storm with the expression

where hdr is the depth of direct runoff, in mm; Vds its volume, in m3 and Ac is the area of the catchment in km2. Ultimately, the effective rainfall hyetograph was obtained supposing a constant infiltration index in every storm, in such a way that the sum of the precipitation greater than Φ is equal to hdr (Fig. 8). The constant infiltration index method is commonly used in lumped hydrological models and is valid for small watersheds.
Similarly, the data estimated from the rain gauges made it possible to build the average rainfall hyetographs and the effective rainfall (Fig. 9) that were used as input in the rainfallrunoff model, after which they were compared with those obtained with the radar data, thus verifying the goodness of the radar in the hydrological modeling.
The depth of average rainfall of the pluviographs was estimated using Thiessen's polygon method and the expression

where Pi is the rainfall recorded at rain gauges i, in mm; ai is the area of the polygon corresponding to pluviograph i, in km2, Ac is the catchment area, in km2 and
is the average precipitation estimated from the rain gauges data for every time interval.
3.5 Transfer function
Once the inputs (effective rainfall) and outputs (direct runoff) recorded at the outlet of the Mixcoac
watershed had been determined, and the storms had been selected (Table II), the two models were calibrated using the unit hydrograph method. The unit hydrograph relates the ordinates Q (m3/s) of a hydrograph recorded in a watershed at discrete time intervals Δt and the effective rainfall P (mm). This relationship is expressed by the discrete convolution integral of a lineal system of the type

where Uj are the ordinates of the unit hydrograph. The previous equation is expressed in matrix form as

where the matrix
that is called a convolution matrix, is a matrix of j X l elements;
is a vector that contains the values of the i ordinates of the observed hydrograph;
is the vector that contains the unknown values of the l ordinates of the unit hydrograph. The structure of the matrix
contains a greater number of rows j than of columns l. The number of equations is i and the number of unknown variables is l, for which reason the system is oversized and there are il redundant equations. The criterion of least squares was used to reduce the number of equations to i unknown variables and obtain the ordinates of the unit hydrograph (Méndez, 1998).
The least squares method estimates the ordinates of the unit hydrograph that minimize the sum of the squares of the errors or residuals:

The matricial equation may also be expressed as (Singh, 1988):

that allows the estimation of the ordinates of the unit hydrograph.
Care must be taken to satisfy the condition that the area under the curve of the unit hydrograph (VUH) is equal to the area of the catchment (Ac) for a rainfall of 1 mm, that is:

4. Results
The unit hydrographs, obtained with this method from the data of each instrument for estimating rainfall, were compared in order to evaluate the goodness of the use of the radar in this type of hydrological models (Fig. 10). This figure shows the similarity between both unit hydrographs, which is explained in Figure 5: the radar estimates the temporal behavior of the rain before calibration, but not the quantity. However, once calibrated, this difference is corrected and better results are obtained.

The runoff at the watershed outlet of the Mixcoac watershed was obtained from the unit hydrographs, and was determined considering each of the measuring instruments (Fig. 11). The estimated runoff showed an acceptable coincidence with the observed one, and both presented a very similar trend. The reasons behind this last observation are that the transfer functions determined by each of the instruments are very similar (Fig. 10), and that the effective rainfall obtained with each measuring instrument presents a similar behavior through time (Fig. 6). These results improve when more storms are analyzed, as was evident in an independent study that was carried out only with pluviograph data (Esquivel, 2000). This study analyzed 15 storms that fell on this same watershed instead of four storms, and the forecasting of the runoff improved notably. These 15 storms were not used in the study case as only four had radar data records.
5. Analysis of results and conclusions
The results of this study indicate the value of using weather radars to forecast runoff, allow it use for warning purposes and to input distributed hydrological models in other watersheds.
In practice, it is not common to obtain a hydrological model from each instrument as it is considered that both measuring instruments are different, and they may be identified as complementary systems rather than as competing systems. Thus, rain gauges are used to validate radar data, and from these, modeling can take place. One advantage of the radar is that it provides information for areas where density of automatic stations is low, and even more so for areas without rain gauges. On the other hand, a disadvantage of the rain gauges network is that these do not always detect areas of more intense precipitation, whereas radars are capable of detecting the spatial distribution of the rainfall. Also, meteorological radars do not require either spatial interpolation or extrapolation to provide realistic rainfall fields, as they detect the most intense center at the level of spatial detail required by the distributed hydrological models. This is another advantage considering that pluviograph networks are not able for detecting this level of detail, as neither do by meteorological satellites, as the weather radar can estimate rainfall in a grid of 1 km2.
The complexity of the draining networks in regions of strong slopes and heavy rainfall, as those with a convective origin, requires to study the phenomenon using distributed hydrological models that help better understand the hydrological processes that occur within a watershed.
The use of radar data in this type of models makes it possible to obtain a response in real time, for which reason it would be very useful in early warning systems such as flash floods. Its use, together with prevention plans and strategies, will become important in offices responsible for civil protection, as are the Centro Nacional de Prevención de Desastres (CENAPRED), the local and national ministries for civil protection, the Comisión Nacional del Agua (CONAGUA) and the Servicio Meteorológico Nacional (SMN), among others.
References
Aparicio F., 1994. Fundamentos de hidrología de superficie. Limusa, México, 305 pp. [ Links ]
Chow V., D. Maidment and L. Mays, 1988. Applied hydrology. McGrawHill. New York, 667 pp. [ Links ]
Cruikshank C., 1968. Modelo matemático de una cuenca. VIII Congreso de Ingeniería Civil, abril, Guadalajara, México. [ Links ]
Devantier B. A. and A. D. Feldman, 1993. Review of GIS applications in hydrological modeling. J. Water Res. PLASCE 119, 246261. [ Links ]
Domínguez R. and J. Gracia A., 1981. Manual de Diseño de Obras Civiles, Pérdidas. Comisión Federal de Electricidad, México, 31 pp. [ Links ]
Esquivel G., 2000. Modelo lluviaescurrimiento para la cuenca del río Mixcoac. B.S. Thesis, Facultad de Ingeniería, Universidad Nacional Autónoma de México, México, 166 pp. [ Links ]
INEGI, 2001. Anuario Estadístico del Distrito Federal. Instituto Nacional de Estadística, Geografía e Informática. http://www.ce.azc.uam.mx/profesores/bma/anuario/Anuario_Estadistico_DF_2001.zip [ Links ]
INEGI, 2008. Anuario Estadístico del Distrito Federal. Instituto Nacional de Estadística, Geografía e Informática. http://www.ce.azc.uam.mx/profesores/bma/anuario/Anuario_Estadistico_DF_2008.zip [ Links ]
Johnson D. and A. Miller, 1997. A spatially distributed hydrological model utilizing raster data structures. Comput. Geosci. 23, 267272. [ Links ]
Magaña V., J. Pérez and M. Méndez, 2003. Diagnosis and prognosis of extreme precipitation events in the México City watershed. Geofís. Int. 41, 247259. [ Links ]
Maidment D., 1993. GIS and hydrological modeling. In: Environmental modeling with GIS (M. F. Goodchild, B. Parks and L. Steyaert, Eds.) Oxford University Press, New York, 147167. [ Links ]
Méndez B., 1998. Comparación entre modelos lluviaescurrimiento lineales y no lineales. Ms. Sc. Thesis, Facultad de Ingeniería, Universidad Nacional Autónoma de México, México, 127 pp. [ Links ]
Méndez B., R. Domínguez, V. Magaña, E. Caetano and E. Carrizosa, 2006. Calibración hidrológica de radares meteorológicos. Ing. Hidrául. Méx. 21, 4364. [ Links ]
Mendoza M., G. Bocco and M. Bravo, 2002. Spatial prediction in hydrology: Status and implications in the estimation of hydrological processes for applied research. Prog. Phys. Geog. 26, 319338. [ Links ]
Rosengaus M., 1995. Fundamentos de radares meteorológicos: Aspectos clásicos. Ing. Hidrául. Méx. 10, 5574. [ Links ]
Sherman L., 1932. Stream flow from rainfall by the unit graph method. Eng. NewsRec. 108, 501505. [ Links ]
Singh V., 1988. Hydrologic systems: Rainfallrunooff modeling. Prentice Hall, Englewood Cliffs, New Jersey, 480 pp. [ Links ]
Vieux B., 2001. Distributed hydrological model using GIS. Kluwer Academic Publisher, Water Science and Technology Series. 38, Massachusetts, 293 pp. [ Links ]













