Servicios Personalizados
Revista
Articulo
Indicadores
-
Citado por SciELO -
Accesos
Links relacionados
-
Similares en
SciELO
Compartir
Argumentos (México, D.F.)
versión impresa ISSN 0187-5795
Argumentos (Méx.) vol.24 no.67 Ciudad de México sep./dic. 2011
Dossier: La sociedad compleja: el pensamiento científico y la práctica sensitiva
Bienestar subjetivo del consumidor y concepto de felicidad*
Abraham Aparicio Cabrera
Doctor en economía por la UNAM. Nivel candidato SNI. Líneas principales de investigación: pensamiento económico, bienestar, ética y consumo. Ha publicado artículos de investigación en Revista Mexicana de Sociología (IIS-UNAM), Revista de Investigación Social (IIS-UNAM), Análisis Económico (UAM-Azcapotzalco), y Revista Mexicana de Ciencias Políticas y Sociales (FCPyS-UNAM). Es autor de artículos periodísticos, artículos de divulgación y capítulos de libros. Actualmente se desempeña como profesor de tiempo completo en la Facultad de Economía de la UNAM, impartiendo cursos de historia económica y teoría económica [aaparicio@economia.unam.mx].
Resumen
Este artículo estudia a nivel teórico la importancia del crecimiento del gasto de consumo en la consecución de la felicidad individual y la satisfacción con la vida. En la primera parte se resumen los principales resultados empíricos a nivel micro (estudios de panel) y a nivel macro (datos de países); en la segunda parte se revisan diferentes concepciones de felicidad; en la tercera se aborda la importancia de las aspiraciones de consumo en la consecución de la felicidad; y en la cuarta parte se propone un modelo teórico, basado en el referente conceptual de felicidad del individuo, para explicar porqué el incremento del consumo puede ejercer una influencia ambigua o poco significativa sobre el bienestar subjetivo, tomando en cuenta las aspiraciones de consumo y los recursos con que cuenta el consumidor. El artículo finaliza señalando algunas líneas para futuros trabajos empíricos que corroboren las hipótesis planteadas.
Clasificación JEL: A12, D6, E21.
Palabras clave: consumo, aspiraciones, felicidad, ética, bienestar subjetivo.
Abstract
This theorist paper looks at the importance of private consumption expenditure growth in the achievement of individual happiness and life satisfaction. In the first section it summarizes the main empirical results of panel studies and correlation using country level data; in the second section it reviews different conceptions about happiness; the third section deal with consumers' aspirations in order to obtain happiness, and in the fourth section it proposes a theoretical model, based on personal happiness-conceptual-referent, in order to explain why the increase in consumption may have an ambiguous or not significant influence on subjective well-being, taking into account both the resources and the aspirations of consumer. The paper ends pointing out some guidelines for a future empirical research.
Clasificación JEL: a12, d6, e21.
Key words: consumption, aspirations, happiness, ethics, subjective well-being.
INTRODUCCIÓN
El consumo es el gasto de las familias que incluye la adquisición de bienes duraderos, bienes no duraderos y servicios.1 El gasto de consumo que realiza cada habitante del planeta se ha incrementado, en términos reales, 80% entre 1970 y 2008, destacando el caso de China donde el consumo per cápita ha crecido a un ritmo impresionante de 9% anual durante los últimos 38 años.2 Sin embargo, el gasto de consumo sigue concentrado en la quinta parte más rica de la población mundial que vive en los países de mayor ingreso, pues consumen 58% de la energía mundial, 75% de la electricidad, 87% de los automóviles, 74% de los teléfonos, 46% de la carne y 84% del papel. En suma, ese grupo de la población realiza 86% de todo el gasto de consumo en el planeta.3
El crecimiento del consumo en sí mismo no tiene porqué ser algo negativo, ya que incrementa la capacidad de las personas para procurarse una vida digna y decente en el plano material, lo que contribuye al bienestar objetivo de la especie humana. El problema con el crecimiento del gasto de consumo son sus pautas y sus efectos sobre la gente, el medio ambiente y la sociedad, ya que "la degradación ambiental y la destrucción de los ecosistemas, así como una gran presión social sobre las personas para mantener niveles elevados de consumo estimulados por un gasto competitivo para hacer exhibiciones conspicuas de riquezas",4 son hechos tan lamentables como evidentes. ¿Cuál ha sido el efecto de estas tendencias del consumo sobre el bienestar subjetivo? Es decir, ¿están más satisfechas con su vida o son más felices las personas en el contexto de un consumo masivo y creciente a nivel mundial?
CONSUMO Y BIENESTAR SUBJETIVO: EVIDENCIA EMPÍRICA
CONCEPTO Y MEDICIÓN DEL BIENESTAR SUBJETIVO
El bienestar subjetivo se refiere a lo que las personas piensan y sienten acerca de sus vidas y a las conclusiones cognitivas y afectivas que ellos alcanzan cuando evalúan su existencia.5 La dimensión cognitiva se refiere al conocimiento, a la percepción y al saber de la satisfacción con la vida en su totalidad o por áreas específicas como la matrimonial o la laboral; en tanto que la dimensión afectiva señala el ámbito de los sentimientos, la frecuencia e intensidad de emociones positivas y negativas.6
Diener, Lucas, Smith y Suh7 consideran que el bienestar subjetivo podría tener los siguientes componentes: afectos placenteros (disfrute, regocijo, contento, orgullo, afecto, felicidad y éxtasis), afectos no placenteros (culpa, pena, tristeza, ansiedad, furia, preocupación, estrés, depresión, envidia), satisfacción con la vida (deseo de cambiar de vida, satisfacción con la vida actual, satisfacción con el pasado, satisfacción con el futuro, opinión de otras personas significantes acerca de la vida de uno) y satisfacción en ciertos ámbitos o dominios (trabajo, familia, ocio, salud, finanzas, uno mismo, grupo propio).
La cuantificación del bienestar subjetivo puede hacerse de dos maneras diferentes.8 La primera, llamada medición objetiva, consiste en la medición de ondas cerebrales en la que se registra la actividad eléctrica o el flujo sanguíneo en diferentes partes del cerebro ante determinados estímulos positivos y negativos, por medio de instrumentos como el electroencefalograma, la tomografía de emisión de positrones o la imagen por resonancia magnética. La segunda, llamada medición subjetiva, se realiza por medio de encuestas en las que se pregunta a la gente acerca de su percepción subjetiva de qué tan feliz es o qué tan satisfecho está con su vida. En la literatura que sirve de apoyo a este artículo, el bienestar subjetivo se ha cuantificado como el nivel de felicidad y/ o el nivel de satisfacción con la vida que reportan los individuos en la Encuesta mundial de valores (WVS, por sus siglas en inglés) o en otro tipo de cuestionarios, y aunque no es lo mismo preguntar por la felicidad que preguntar por la satisfacción con la vida, se ha encontrado que existe una alta correlación entre ambas variables,9 por lo que no es extraño que algunos autores10 definan a la felicidad como la satisfacción con la vida y viceversa.
DATOS A NIVEL PAÍS Y ESTUDIOS DE PANEL
Cuando se relaciona el crecimiento del consumo per cápita con el bienestar subjetivo a lo largo del tiempo para un solo país (corte longitudinal), se encuentra que no existe una asociación significativa; pero cuando se relaciona el consumo per cápita con el bienestar subjetivo en un momento dado para un conjunto de países (corte transversal), se puede observar una correlación positiva, aunque poco significativa y decreciente.11 Estos resultados ambiguos reflejan la llamada "paradoja de Easterlin",12 originalmente encontrada respecto al ingreso13 pero cuya conclusión podría ser igualmente válida para el consumo dada la alta correlación entre ingreso y consumo, por lo que puede decirse que el aumento en el gasto de consumo de los estratos de más bajos ingresos tendrá una fuerte incidencia sobre el aumento de la felicidad y de la satisfacción con la vida, en tanto que el aumento del consumo para los estratos de ingresos más altos sólo ejercerá una influencia limitada sobre el bienestar subjetivo.14
Por otro lado, existen una amplia gama de estudios de panel (enfoque micro) que abordan la relación del consumo con la felicidad y con la satisfacción con la vida. En el Cuadro 1 se resumen los resultados de 26 estudios tomados de la World Database of Happiness.
La mayoría de estos estudios (17) concluyen que poseer riqueza material, guardarropa de moda, automóvil, electrodomésticos, casa con jardín, televisión, radio, libros, teléfono fijo o teléfono celular, inciden positiva y significativamente sobre la felicidad o la satisfacción con la vida; en cambio los nueve estudios restantes, encuentran que poseer bienes caros, comodidades en el hogar, teléfono o automóvil no tiene mayor incidencia sobre el bienestar subjetivo, y que las deudas financieras contraídas por la adquisición de bienes de consumo son un factor que afecta negativamente la felicidad de las personas.
Otros estudios de panel sobre el tema son los siguientes: Oropesa,15 quien sostiene que la acumulación de bienes de consumo y la "pasión por lo nuevo" son dos fenómenos que están correlacionados positivamente con el bienestar subjetivo; Layard16 resume el resultado de varios estudios y concluye que la situación financiera (ingreso relativo no absoluto) es el segundo factor más importante para la felicidad solamente detrás de las relaciones familiares, sin desconocer el cumplimiento de la paradoja de Easterlin; Lu y Shih,17 para quienes la posesión de satisfactores materiales se ubica en tercer lugar para la experiencia interna de felicidad, después de la necesidad de respeto y la armonía en las relaciones interpersonales. Sin embargo, otros estudios no atribuyen un papel tan destacado al consumo, por ejemplo MacDonald y Douthitt18 concluyen que si se gasta menos, manteniendo el ingreso constante, se puede mejorar la satisfacción o la felicidad de los individuos; y el de Ozawa y Hoffstetter19 quienes afirman que algunos cambios en el comportamiento del consumidor hacia patrones de consumo más moderados pueden incidir positivamente en el nivel de bienestar subjetivo reportado por los miembros del hogar.
En resumen, la evidencia empírica no permite extraer una conclusión inequívoca, definitiva y contundente acerca del efecto positivo o negativo del crecimiento del consumo sobre el bienestar subjetivo. Este artículo propone un modelo teórico que incorpora como elementos centrales el referente conceptual de felicidad y las aspiraciones de consumo del individuo para explicar por qué el efecto del incremento del consumo puede ser ambiguo o poco significativo sobre el bienestar subjetivo.
CONCEPTOS DE FELICIDAD
La ética, también llamada filosofía moral, parte del supuesto de que el telos de toda acción es el summum bonum, identificado con la felicidad (cualquier cosa que ella signifique), pues la felicidad es el único fin que no es intermedio para otro fin más elevado, ya que en toda acción se busca como fin último la felicidad, de manera explícita o implícitamente, directa o indirectamente. Existe una gran variedad de doctrinas éticas que abordan, de manera implícita la mayoría de ellas, la relación entre el consumo y una vida feliz. Sin embargo, vale la pena señalar que hay diferencias sustanciales entre la postura contemporánea de tipo más subjetivista y los planteamientos de los filósofos del pasado, acerca del papel que desempeña el consumo (entendido como la posesión de riquezas o de bienes materiales para la satisfacción de necesidades) en la consecución de la felicidad. Asimismo, hay diferencias importantes al interior del grupo de los filósofos antiguos aunque algunos de ellos coincidan en ciertos elementos.
Por ello, y únicamente con fines de exposición del tema, se puede clasificar en tres grupos a las distintas doctrinas éticas en función de la importancia que atribuyen al gasto de consumo o a la riqueza en la consecución de una vida buena digna de ser vivida: 1) aquellas que atribuyen un peso significativo al consumo, 2) aquellas que consideran que el consumo cumple una función limitada o nula, y 3) aquellas que se preocupan más bien por los efectos sociales del consumo contemporáneo y que podemos englobarlas bajo el término "ética del consumo".
En el primer grupo se puede ubicar a la escuela de los cirenaicos,20 quienes sostenían que la felicidad es el sistema de los placeres,21 ya que sólo el placer, el cual se percibe por la impresión sensible, es deseado por sí mismo, por lo tanto, se convierte en el fin último de toda acción. A pesar de los esfuerzos de los fundadores de esta escuela por no caer en posturas fáciles, los cirenaicos posteriores transformaron las doctrinas de la escuela para justificar una vida indolente en la que sólo se busca el propio placer temporal y sensible.22 Puede decirse que para la ética de los cirenaicos el consumo, por el hecho de proporcionar placer al saciar necesidades de la vida material, sería un elemento no sólo permitido, sino incluso inherente, a la consecución de la felicidad.
En este mismo sentido puede ubicarse al utilitarismo hedonista de Bentham.23 El utilitarismo, como doctrina ética, sostiene que la felicidad terrenal del hombre es el único bien, la única prueba de sus intenciones sociales y la suprema norma por la cual se juzgan la bondad o maldad de las acciones.24 Según Bentham, la naturaleza ha situado a la humanidad bajo el dominio del dolor y del placer,25 por ello, la conducta del ser humano está regida por el deseo de placer y la aversión al dolor, de manera que al buscar la felicidad se busca el placer y viceversa. Esta doctrina utilitarista de tipo hedonista ha servido para justificar el llamado que se hace en la publicidad de algunas empresas a un consumo creciente, argumentando que para alcanzar la mayor felicidad es necesario sumar la mayor cantidad posible de satisfactores porque ellos producen placer o evitan el dolor.
En el segundo grupo, puede ubicarse a la doctrina ética de la escuela de los cínicos,26 quienes sostenían que la felicidad se alcanza mediante la autarquía, la cual permite permanecer impasible ante los adversarios existenciales del ser humano como el hambre, el frío y la pobreza. Para el cinismo, la austeridad es una condición necesaria para alcanzar la felicidad, actitud que los condujo no sólo a un desprecio de los bienes materiales sino también de las costumbres, del pudor y de las conveniencias sociales hasta el punto de la grosería, de ahí el matiz actual del término cínico. Puede decirse que para la ética de los cínicos el consumo, es decir, el uso o posesión de bienes y servicios para la satisfacción de necesidades, es un elemento que no aporta nada a la felicidad.
Aristóteles, con su concepto de eudaimonía,27 considera que la felicidad se encuentra en el ejercicio de la virtud, siendo la virtud un término medio personal, determinado por la razón, entre dos vicios que son el exceso y el defecto (la falta de). Según Aristóteles, las acciones humanas son de tal naturaleza que se malogran por defecto o por exceso, por lo que recomienda que tanto en los placeres como en los pesares, se procure un virtuoso punto medio a través de la templanza. Para Aristóteles, el consumo de satisfactores de necesidades materiales será bienvenido como un elemento que aporte a la felicidad, siempre y cuando se ubique en un templado término medio personal entre el exceso y la carencia de bienes.
La doctrina estoica28 de la felicidad se sintetiza en el imperativo "vivir conforme a la Naturaleza", esto es, vivir conforme a la razón. Este modo de vivir se fundamenta en la aceptación del destino y en el combate contra las fuerzas de la pasión que producen intranquilidad. El estoico considera que la felicidad se encuentra en el ejercicio constante de la virtud (en el sentido aristotélico) y de la autosuficiencia que le permiten al ser humano desasirse de los bienes externos.29 Para Séneca el verdadero goce siempre es austero, ya que la mejor cantidad de riqueza es aquella que no permite caer en la pobreza, pero que al mismo tiempo no se aparta mucho de ella, y sugiere que los bienes materiales deben ser considerados como algo que la caprichosa fortuna puede arrebatar en cualquier momento, por lo tanto uno debe convencerse que puede vivir felizmente sin ellos: "lo que la fortuna no da (v. gr. la felicidad) tampoco lo puede quitar".30 De esta manera, para el estoicismo el consumo de satisfactores es un elemento que puede contribuir a la felicidad aunque de manera muy limitada.
La ética de Epicuro,31 no obstante ser de tipo hedonista, tiene más elementos en común con el estoicismo que con la escuela cirenaica o el utilitarismo de Bentham, pues sostiene que la felicidad se consigue través de la ataraxia, un estado de ausencia de temor, dolor, pena y preocupación.32 Cabe resaltar que para alcanzar ese estado no se excluye el placer que proporciona el uso de los bienes materiales, pues se trata de un estado activo, no contemplativo. El sabio no debe suprimir los placeres sino que debe ordenarlos y subordinarlos a su bienestar físico y espiritual, lo cual se consigue aplicando la razón y la prudencia (phrónesis), con lo cual evitará aquellos placeres que, aunque inmediatos, pueden acarrear después dolores mayores.33 En el hedonismo racional de Epicuro el consumo de satisfactores es un elemento necesario para la felicidad placentera pero advierte que debe aplicarse la razón y la prudencia para evitar que terminen siendo perjudiciales.
En resumen, puede decirse que el referente conceptual de felicidad de la ética cirenaica y del utilitarismo hedonista de Jeremy Bentham considera al consumo de satisfactores de necesidades materiales como un determinante importante y significativo para la consecución de la felicidad; en tanto que el referente conceptual de felicidad propio de la ética de los cínicos, del estoicismo de Séneca, del hedonismo de Epicuro y de Aristóteles, el consumo de satisfactores tendrá una importancia relativa e incluso completamente nula para el logro de la felicidad.
En lo que respecta a la ética del consumo existen varios trabajos,34 entre los cuales destacan los de Adela Cortina35 y Emilio Martínez.36 Estos dos autores han propuesto una ética del consumo basada en los conceptos de lucidez (que permite a una persona desentrañar los motivos por los que consume y calcular lo que pierde en términos de crecimiento como persona cuando opta por determinadas formas de consumo) y cordura o prudencia (que permite a la persona darse cuenta de que el consumo que contribuye a la felicidad es un término medio entre el desprecio por los bienes materiales y el entreguismo a las mercancías). Para estos autores, el aumento del gasto de consumo podría convertirse en una excelente oportunidad de humanización sólo si es orientado éticamente para que sea un consumo justo, libre, solidario y felicitante, que esté a la altura de las exigencias de la sociedad del presente siglo.
IMPORTANCIA DE LAS ASPIRACIONES DE CONSUMO
Como se verá en el siguiente apartado, las aspiraciones de consumo desempeñan un papel determinante, junto con el referente conceptual de felicidad del individuo, para conocer si el incremento del consumo tendrá efectos positivos o negativos sobre el bienestar subjetivo. Las aspiraciones son lo que un individuo cree que debe alcanzar en cuanto a la satisfacción de sus necesidades y sus deseos, lo que requiere de su medio ambiente próximo y de la sociedad en general.37 El nivel de aspiraciones es el nivel de realización futura que el individuo pretende lograr en una tarea que explícitamente emprende.38
Las aspiraciones están determinadas por las diferencias individuales, las realizaciones anteriores, las características de la tarea, los estándares del grupo y las normas culturales,39 es decir, las aspiraciones dependen fundamentalmente de las comparaciones con los demás y de la propia experiencia pasada. Para Dichter40 las aspiraciones también están determinadas por las características básicas de la personalidad formadas en las etapas tempranas de la vida y son fuerzas conductoras en las personalidades que pueden llegar a ser más importantes que las habilidades con las que uno nace o que adquiere en el ambiente y por medio de la educación.
Las aspiraciones por sí mismas no son algo malo, pues la distancia entre el nivel de aspiraciones y el nivel de logros puede establecer una "diferencia motivacional" para muchas personas.41 La búsqueda de objetivos produce alegría por lo que tener aspiraciones es algo intrínsicamente bueno, incluso altas aspiraciones, aunque siempre será recomendable una dosis de realismo. Cuando se tienen metas difíciles, desafiantes, concretas y hasta cierto punto accesibles, la motivación se eleva.42 Sin embargo, el problema de tener aspiraciones demasiado elevadas es que cuando no se pueden alcanzar o no se ven realizadas las expectativas, existe una alta probabilidad de experimentar episodios de frustración y decepción ante el fracaso de no haber conseguido lo que se esperaba, sensación que termina provocando infelicidad.43
En este sentido, merece especial atención la doctrina ética de Arthur Schopenhauer, quien expuso con toda claridad la importancia de la relación entre las aspiraciones y los medios como un elemento sustancial para alcanzar la felicidad,44 llegando a la conclusión que "la privación y el sufrimiento no provienen directamente del no-tener, sino del querer-tener y no tener [...] todo sufrimiento emana propiamente de la desproporción entre lo que reclamamos y aguardamos con aquello que nos es dado".45 Esto lo explica Schopenhauer de la siguiente manera:
[...] Tras la pérdida de las riquezas o de una situación acomodada, tan pronto como se supera el primer dolor, el estado de ánimo habitual no suele ser muy diferente del anterior, y esto se debe al hecho de que, una vez que el destino ha reducido el factor de nuestras posesiones, nosotros mismos reducimos en igual medida el factor de nuestras pretensiones. Esta operación es, ciertamente, el dolor [... ] A la inversa, en un caso de buena fortuna [se eleva la restricción] a nuestras pretensiones y éstas se expanden, en esto constituye la alegría [...] La fuente de nuestro descontento se encuentra en nuestros intentos siempre renovados de subir el nivel de las pretensiones, mientras la inmovilidad [de los medios] impide [que sean alcanzadas].46
[...] toda felicidad [fluctúa en torno a] la relación entre nuestras pretensiones y lo que conseguimos; da igual cuán grandes o pequeñas sean ambas magnitudes de esa relación, o si la relación puede establecerse tanto por la disminución de la primera como por el incremento de la segunda.47
En el caso específico de las aspiraciones de consumo, Aparicio48 señala que la concepción hedonista de la felicidad en la sociedad posmoderna, el llamado estridente de la publicidad en los medios de comunicación masiva a consumir lo máximo posible, a tener ilimitadas opciones de consumo, a seguir patrones de consumo establecidos por la comparación social y el optimismo exacerbado acerca de los beneficios del consumo, son elementos que contribuyen a acelerar el crecimiento de las aspiraciones de consumo, llevándolas por arriba de los medios de consumo, situación que desencadena la infelicidad.
En este mismo sentido Lipovetsky ha manifestado que en las sociedades hipermodernas existe la cultura de la ansiedad, la frustración y el desengaño; porque a diferencia de las sociedades tradicionales en las cuales los deseos y las aspiraciones estaban enmarcados estrictamente, conseguían limitar el alcance de la decepción, pero "ahora se promete la felicidad a todos y se anuncian placeres en cada esquina, lo que aumenta las exigencias de mayor bienestar y una vida mejor, pero con ello más se ensanchan las arterias de la frustración".49 Para combatir la decepción, continua Lipovetsky, las sociedades hipermodernas utilizan la incitación incesante a consumir, pero ello "nos condena a vivir en un estado de insuficiencia perpetua, a desear siempre más de lo que podemos comprar, se nos tiene siempre insatisfechos, amargados por todo lo que no podemos permitirnos".50
En los mismos términos se han expresado: Elliott,51 para quien la brecha entre la fantasía del mundo del consumo de placer perfecto que exhiben los medios de comunicación masiva y la realidad, provoca un estado de frustración permanente; Scitovsky,52 para quien no obstante la mayor disposición de bienes de consumo, sobre todo de bienes duraderos, el consumidor se siente insatisfecho, aburrido, sumido en un tedio que sólo puede ser roto con más consumo, lo que genera un círculo perverso de insatisfacción y consumo; Hirschman,53 quien desarrolló su propio esquema de "decepciones del consumo" para los bienes duraderos; y los trabajos de Lane54 que ilustran el desencanto que se respira en las sociedades desarrolladas, y en vías de desarrollo, caracterizadas por patrones socioculturales cuyo rasgo central es el consumo como medio para la felicidad personal y social.
Estas apreciaciones son compartidas por instituciones como el Programa de las Naciones Unidas para el Medio Ambiente (PNUMA),55 que argumenta que en muchas partes del mundo el consumo se ha convertido en un fin en sí mismo hasta alcanzar niveles absurdos, impulsado por una búsqueda de estatus social, placer y gratificación personal; y señala que las pruebas demuestran que una vez que la gente sale de la pobreza, el creciente consumo no aumenta la felicidad por los niveles de excesivo trabajo y estrés. El organismo citado señala que la solución no consiste en abandonar de repente los bienes de consumo, "sino en examinar cómo gastamos nuestro dinero y buscar la felicidad por medio de la calidad de nuestra vida, no por la cantidad de nuestras posesiones" algo en lo que todos podemos estar de acuerdo.
Algunos estudios empíricos que apoyan estas conclusiones teórico-filosóficas pueden encontrarse en Argyle,56 destacando aquellos que relacionan la satisfacción con la vida y la edad, cuyo resultado principal es que existe una curva en forma de U que indica que los niños y los ancianos son más felices que los jóvenes. La explicación que sugieren esos estudios es que tanto los niños como las personas mayores tienen una menor discrepancia entre sus aspiraciones y sus logros porque se ajustan mejor a su situación, mientras que los adolescentes tienen todavía logros escasos y un optimismo desmedido respecto al futuro. En el caso concreto del ingreso (consumo) los estudios de Diener y Fujita,57 Crawford et al.,58 Bruni y Stanca,59 Karlsson et al.,60 y los que resume Argyle61 apoyan la conclusión de que los jóvenes están menos satisfechos con su vida y con su nivel de ingreso (consumo) que las personas mayores. Únicamente el estudio de Senik62 consideró que aspirar a un consumo mayor aporta felicidad, aun en el caso en que no se puedan alcanzar dichas aspiraciones.
UN MODELO BASADO EN EL REFERENTE CONCEPTUAL DE FELICIDAD
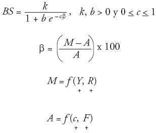
Los resultados de la evidencia empírica, el referente conceptual de felicidad de distintas doctrinas éticas, y las teorías acerca de la discrepancia entre aspiraciones y medios, son tres elementos que pueden utilizarse para construir un modelo teórico que ayude a comprender mejor el papel del crecimiento del consumo en la consecución de la felicidad y la satisfacción con la vida. En concreto, en este apartado se plantea un modelo en el cual el bienestar subjetivo del consumidor (BS) está en función de la brecha (b) que existe entre los medios de consumo con los que cuenta el consumidor (M), y sus aspiraciones por consumir determinados bienes y servicios (A). El modelo sostiene la hipótesis de que cuando las aspiraciones superan a los medios existe una potencial disminución del bienestar subjetivo, y que cuando las aspiraciones están por debajo de los medios, entonces existe un potencial incremento de la felicidad y la satisfacción con la vida.
Los medios de consumo se refieren fundamentalmente al ingreso (Y) y al crédito al consumo (R), los cuales dependen a su vez de variables como las horas trabajadas, los ingresos provenientes de activos financieros o de la propiedad, la capacidad de endeudamiento del consumidor y de la tasa activa de interés. Todos estos elementos hacen que los medios de consumo dependan de variables económicas estructurales que sólo se modifican lentamente, por lo que a corto plazo pueden considerarse prácticamente como una constante.
Por su parte, las aspiraciones de consumo dependen fundamentalmente de dos elementos. Por un lado, está el referente conceptual de la felicidad que adopte el consumidor (c). El trabajo de Rojas63 permite afirmar que la persona utilizará de manera diferente los medios de que dispone, entre éstos el consumo, para conseguir una vida feliz en función de su referente conceptual de felicidad, es decir, que el consumo desempeñará un papel muy diferente si la felicidad se concibe ya sea como en la escuela cirenaica o como en el estoicismo de Séneca. Por otro lado, las aspiraciones de consumo dependen de un conjunto de variables (F) de índole psicológica (experiencia pasada), social (comparaciones sociales) y cultural (cultura materialista) que en la sociedad posmoderna contribuyen a estimular el consumo aspiracional.
Como se recordará, los estudios empíricos señalan que el ingreso y el consumo tienen rendimientos marginales decrecientes en su relación con el bienestar subjetivo, efecto que puede recogerse tomando en cuenta que existe un nivel mínimo (por ejemplo, cero) y un nivel máximo de felicidad (k), lo que implica que el aumento de la felicidad será cada vez menor conforme la brecha positiva alcance valores mayores; igualmente, el descenso de la felicidad será cada vez menor conforme la brecha negativa se aleje de cero. En concreto, esto significa que el efecto de la brecha medios-aspiraciones sobre el bienestar subjetivo (ya sean aumentos o disminuciones) tiende a ser cada vez menor conforme la brecha tiende a alejarse (positiva o negativamente) de cero.
Cuando la brecha medios-aspiraciones se anula (β = 0), se encuentra un nivel de bienestar subjetivo que es independiente del valor de la brecha, el cual puede ser llamado bienestar subjetivo estructural (BSE = k / 1 + b) que depende de dos elementos. Por un lado, el carácter propio de la personalidad de cada sujeto que está en función de factores genéticos, lo cual se considera en el modelo como una variable exógena.64 Por otro, un índice de eventos fortuitos negativos (b) que incluye, por ejemplo, la muerte de un ser querido, lo cual tiene efectos negativos temporales (más o menos duraderos) sobre la salud psicológica y emocional del individuo. En la medida en que b se acerca a cero el BSE es próximo al nivel máximo de felicidad (k), y cuando b se aleja de cero, el nivel del BSE tiende a reducirse.
Finalmente, el modelo supone que el referente conceptual de felicidad que adopte el consumidor (c) es un factor fundamental para definir el grado de incidencia de la brecha medios-aspiraciones sobre el bienestar subjetivo. Es decir, si el consumidor comparte un referente ético de felicidad de tipo cirenaico o utilitarismo hedonista, entonces el efecto sobre su bienestar subjetivo derivado de la discrepancia entre lo que puede consumir y lo que desea será muy poderoso, ya sea que la brecha sea positiva o negativa; en cambio, si el consumidor está involucrado con una concepción de la felicidad acorde con la ética aristotélica, epicúrea, estoica o cínica, entonces el efecto positivo o negativo sobre su nivel de bienestar subjetivo, derivado de la brecha entre medios de consumo y aspiraciones, será reducido o incluso nulo.
Todas las relaciones anteriores pueden resumirse en el siguiente conjunto de ecuaciones:

Cuya representación gráfica se ilustra en la Figura 1.

La forma S de la curva recoge los efectos sobre el bienestar subjetivo de los rendimientos marginales decrecientes de la brecha medios-aspiraciones, lo cual implica que una brecha muy grande, positiva o negativa, acaba por no tener prácticamente ningún efecto sobre el bienestar subjetivo.65 El grado de inclinación de dicha curva depende del parámetro c, cuyo valor, por sencillez, podría ubicarse en un intervalo entre 0 y 1. Cuando c = 0 el consumidor tendría un referente conceptual de felicidad basado en la ética de la escuela cínica, en la cual hay un total desprecio de los bienes materiales, de tal forma que si la brecha es positiva o negativa, eso no afecta en nada su bienestar subjetivo. En cambio, cuando c = 1 el consumidor estaría involucrado con una concepción de la felicidad de tipo cirenaica o utilitarista-hedonista, situación que hace que su nivel de bienestar subjetivo sea demasiado sensible al valor de la brecha medios-aspiraciones. Un valor de c entre esos dos extremos recogería el efecto sobre el nivel de bienestar subjetivo cuando el consumidor concibe a la felicidad en línea con la ética aristotélica, estoica o epicúrea.
El modelo sugiere que ante los cambios inevitables en el valor de la brecha, la mejor opción es contar con un referente conceptual de felicidad de tipo aristotélico (la felicidad como eudaimonía) el cual hace que las oscilaciones en el nivel de bienestar subjetivo sean moderadas; ya que vivir con las oscilaciones extremas en el nivel de bienestar subjetivo producto de entender la felicidad como los cirenaicos, acarrea grandes costos emocionales para el individuo (de la euforia a la depresión), en tanto que entender la felicidad como los filósofos cínicos no permite aprovechar los efectos positivos que sobre la felicidad se derivan de una brecha positiva. De este sencillo modelo teórico se desprende que además de los factores psicológicos, sociales, culturales o genéticos, el referente conceptual de felicidad del consumidor es una variable fundamental para explicar y comprender los efectos que sobre su bienestar subjetivo tienen los cambios en la relación entre sus medios de consumo y sus aspiraciones de consumo.
CONCLUSIÓN
El consumo es un medio para la satisfacción de necesidades de la vida, por tanto, un elemento fundamental del bienestar material o bienestar objetivo. Este ha sido el enfoque tradicional de los economistas respecto al consumo; sin embargo, en la sociedad contemporánea el acto de consumo se realiza en un contexto donde factores de índole psicológica, social, cultural y moral, ejercen una fuerte influencia sobre el consumidor. Este artículo presentó un enfoque multidisciplinario en el estudio teórico del comportamiento del consumidor al vincular el gasto de consumo, el bienestar subjetivo y diferentes concepciones acerca de la felicidad. Sin embargo, una importante limitación ha sido que la mayoría de la literatura sobre el tema hace referencia al poder de compra medido por el ingreso y no al consumo, y aunque la correlación entre ingreso y consumo es usualmente alta, el fenómeno complejo del consumo merece atención a parte.
Este artículo teórico concluye que el crecimiento del consumo, al incidir sobre el aumento de las aspiraciones de consumo dada la relativa rigidez de los medios de consumo, puede tener una gran influencia (positiva o negativa) sobre el nivel de bienestar subjetivo cuando las personas tienen una idea de la felicidad acorde con el hedonismo utilitarista; en tanto que para aquellas personas que entienden la felicidad como en las doctrinas estoica, epicúrea o aristotélica, el crecimiento del consumo tendrá poca influencia (positiva o negativa) sobre su bienestar subjetivo.
Dada la naturaleza teórica de este artículo, la comprobación empírica del modelo propuesto es objeto de futuros trabajos, aunque puede decirse algo al respecto. Tanto en la World Values Survey como en la World Database of Happiness no existe información acerca de las aspiraciones de consumo, ya que únicamente se pregunta a los encuestados (sólo en algunos países, y no en el caso de México) acerca de sus aspiraciones de ingreso, por lo que no parece viable un ejercicio empírico a nivel países. En consecuencia, sería recomendable replicar el estudio de panel de Rojas66 con la inclusión, como variable explicativa, de un índice que cuantifique la brecha entre medios de consumo y aspiraciones de consumo, pudiéndose utilizar su misma tipología de ocho referentes conceptuales de felicidad.
BIBLIOGRAFÍA
Aparicio, Abraham, "Consumo y desarrollo humano integral: elementos para una hipótesis de trabajo", Tercera Semana sobre crecimiento, comercio y desarrollo económico: teoría y evidencia, Escuela Superior de Economía del Instituto Politécnico Nacional, Ciudad de México, 2 de septiembre de 2010. [ Links ]
----------, "Felicidad y aspiraciones crecientes de consumo en la sociedad posmoderna", Revista Mexicana de Sociología, vol. 71, núm. 1, 2009, UNAM, México, pp. 131-157. [ Links ]
Argandoña, Antonio, "La ética de la sociedad de consumo", Cuadernos Empresa y Humanismo, núm. 37, s/f. [ Links ]
Argyle, Michael, La psicología de la felicidad, Alianza Editorial, Madrid, 1987. [ Links ]
Borgmann, Albert, "The moral complexion of consumption", Journal of Consumer Research, núm. 26, marzo, 2000, pp. 418-422. [ Links ]
Bruni, Luigino y Luca Stanca, "Income aspirations, television and happiness: evidence forma the World Values Survey", Kyklos, vol. 59, núm. 2, 2006, pp. 209-255. [ Links ]
Campbell, A., P. Converse y W. Rodgers, The quality of american life, Russell Sage Foundation, Nueva York, 1976. [ Links ]
Cortina, Adela, Por una ética del consumo, Taurus, Madrid, 2002. [ Links ]
Crawford, Emily; Ed Diener, Derrick Wirtz, Richard Lucas y Shigehiro Oishi, "Wanting, having, and satisfaction: examining the role of desire discrepancies in satisfaction with income", Journal of Personality and Social Psychology, vol. 83, núm. 3, 2002, pp. 725-734. [ Links ]
Crocker, David y Toby Linden (eds.), Ethics of consumption. The good life, justice and global stewardship, Rowman & Littlefield Publishers, Nueva York, Oxford, 1998. [ Links ]
Cuadra, H. y R. Florenzano, "El bienestar subjetivo: hacia una psicología positiva", Revista de Psicología, vol. 22, núm. 1, 2003, pp. 83-96. [ Links ]
Díaz, Guillermo, "El bienestar subjetivo: actualidad y perspectivas", Revista Cubana de Medicina General Integral, vol. 17, núm. 6, 2001, pp. 572-579. [ Links ]
Dichter, E. "Level of aspirations", en Raymond Corsini y Alan Auerbach (eds.), Concise encyclopedia of psychology, segunda edición, John Wiley and Sons, 1996, Estados Unidos, p. 524. [ Links ]
Diener, Ed y F. Fujita, "Resources, personal striving, and subjective well-being: a nomothetic and idiographic approach", Journal of Personality and Social Psychology, vol. 68, núm. 5, 1995, pp. 926-935. [ Links ]
Diener, Ed; Eunkook Suh, Richard Lucas y Heidi Smith, "Subjective well-being: three decades of progress", Psychological Bulletin, vol. 125, núm. 2, 1999, pp. 276-302. [ Links ]
Dorsch, Friedrich, Diccionario de psicología, Herder, Barcelona, 1976. [ Links ]
Easterlin, Richard, "Income and happiness: towards and unified theory", Economic Journal, vol. 11, 2001, pp. 465-484. [ Links ]
----------, "Will raising the incomes of all increase the happiness of all", Journal of Economic Behavior and Organization, vol. 27, 1995, pp. 35-48. [ Links ]
Elliott, Richard, "Existential consumption and irrational desire", European Journal of Marketing, vol. 31, núm. 3, 1997, pp. 285-296. [ Links ]
Fernández-Abascal, E., María Dolores Martín y Javier Domínguez, Procesos psicológicos, Pirámide, Madrid, 2001. [ Links ]
Ferrater, José, Diccionario de Filosofía, 2 vols., Alianza Editorial, Madrid, 1990. [ Links ]
Frank, Robert, Luxury fever: money and happiness in an era of excess, Free Press, Nueva York, 1999. [ Links ]
Frey, Bruno y Alois Stutzer, Happiness and economics: how economy and institutions affect well-being, Princeton University Press, Princeton, Oxford, 2002. [ Links ]
Fullerton, Sam; Kathleen Kerch y Robert Dodge, "Consumer ethics, an assessment of individual behavior in the market place", Journal of Business Ethics, vol. 15, 1996, pp. 805-814. [ Links ]
Galindo, Miguel Ángel, "Ética del consumo y del crecimiento", Ética y empresa, núm. 823, junio, ICE, Madrid, 2005. [ Links ]
Gordon, Scott, Historia y filosofía de las ciencias sociales, Ariel, Barcelona, 1995. [ Links ]
Hall, Robert y John B. Taylor, Macroeconomics: theory, performance and policy, WW Norton & Company, Nueva York, 1991. [ Links ]
Headey, Bruce, "Life goals matter to happiness: a revision of set-point theory", Social Indicators Research, vol. 86, 2008, pp. 213-231. [ Links ]
Hirschberger, Johannes, Historia de la filosofía, vol. 1, Herder, Barcelona, 1997. [ Links ]
Hirschman, Albert, Interés privado y acción pública, Fondo de Cultura Económica, México, 1986. [ Links ]
Inglehart, Ronald, "Modernization, postmodernization and changing perceptions of risk", International Review of Sociology, vol. 7, 1997, pp. 449-459. [ Links ]
Jay, Michael; Pedro Quellas, Jorge Pinto y Nicola Higgskleyn, "Consumer ethics in the European Union. A comparison of the northern and southern views", Journal of Business Ethics, vol. 31, 2001, pp. 117-130. [ Links ]
Kahneman, Daniel, "Mapas de racionalidad limitada: psicología para una economía conductual", Revista Asturiana de Economía, núm. 28, 2003, pp. 181-225. [ Links ]
Karlsson, N., P. Dellgran, B. Klingander y T. Gärlin, "Household consumption: influences of aspiration level, social comparison, and money management", Journal of Economic Psychology, vol. 25, núm. 6, 2004, pp. 753-769. [ Links ]
Knobloch, Ulrike, Theorie und Ethic des Konsums. Reflexionen auf die normativen Grundlagen socialökonomischer Konsumtheorie, Haupt, Berna, 1994. [ Links ]
Lane, Robert, The loss of happiness in market democracies, Yale University Press, New Haven and London, 2000. [ Links ]
Lane, Robert, The market experience, Cambridge University Press, New York, 1991. [ Links ]
Layard, Richard, La felicidad. Lecciones de una nueva ciencia, Taurus, México, 2005. [ Links ]
Lipovetsky, Gilles, La sociedad de la decepción. Entrevista con Bertrand Richard, Anagrama, Barcelona, 2008. [ Links ]
Lu, Lou; Robin Gilmore y Shu-Fang Kao, "Cultural values and happiness: an east-west dialogue", Journal of Social Psychology, vol. 141, núm. 4, 2001, pp. 477-493. [ Links ]
Lu, Luo y Jian B. Shih, "Source of happiness: a quantitative approach", Journal of Social Psychology, vol. 137, núm. 2, 1997, pp. 181-187. [ Links ]
MacDonald, Maurice y Robin Douthitt, "Consumption theories and consumers' assessments of subjective well-being", Journal of Consumers Affairs, vol. 26, 1992, pp. 243-266. [ Links ]
Martínez, Emilio, "Por una ética del consumo responsable", conferencia pronunciada en la Asamblea General de Facuaconsumur, Murcia, 12 de marzo de 2005. [ Links ]
McMahon, Darrin, Una historia de la felicidad, Taurus, Madrid, 2006. [ Links ]
McReynolds, P, "Hedonism, psychological", en Benjamin Wolman (ed.), International encyclopedia of psychiatry, psychology, psychoanalysis and neurology, New York Aesculapius Publisher, Inc., 1977. [ Links ]
Muncy, J. y Scott Vitell, "Consumer ethics, an investigation of the ethical beliefs of the final consumer", Journal of Business Research, vol. 24, 1992, pp. 297-311. [ Links ]
Norman, R., "Felicidad", en Ted Honderich (ed.), Enciclopedia Oxford de Filosofía, Tecnos, Madrid, 2001. [ Links ]
Oropesa, R.S., "Consumer possessions, consumer passions, and subjective well-being", Sociological Forum, vol. 10, 1995, pp. 215-244. [ Links ]
Ozawa, T. y Patrick Hoffstetter, "Use of Longitudinal Panel Data to Estimate the Effects of Adopting New Activities to Household Consumption Patterns and Happiness", Proceedings, International Workshop on Driving Forces of and Barriers to Sustainable Consumption, University of Leeds, Reino Unido, 2004, pp. 88-97. [ Links ]
Praag, B. van y P. Frijters, "The measurement of welfare and well-being: the Leyden approach", en Kahneman et al. (comps.), Well-being: the foundations of hedonic psychology, Rusell Sage Foundation, Nueva York, 1999. [ Links ]
Programa de las Naciones Unidas para el Desarrollo (PNUD), Informe sobre el desarrollo humano, Ediciones Mundi-Prensa, Madrid, 1998. [ Links ]
Programa de las Naciones Unidas para el Medio Ambiente (PNUMA), "Editorial", Tunza, vol. 2, núm. 3, 2004, p. 3. [ Links ]
Rojas, Mariano, "A conceptual-referent theory of happiness: heterogeneity and its consequences", Social Indicators Research, vol. 74, 2005, pp. 261-294. [ Links ]
----------, "Economía de la felicidad. Hallazgos relevantes respecto al ingreso y al bienestar", El Trimestre Económico, año 76, vol. 3, núm. 303, 2009, pp. 537-573. [ Links ]
----------, "Heterogeneity in the relationship between income and happiness: a conceptual-referent-theory explanation", Journal of Economic Psychology, vol. 28, núm. 1, 2007, pp. 1-14. [ Links ]
Schopenhauer, Arthur, El arte de ser feliz. Explicado en cincuenta reglas para la vida, Herder, España, 2000. [ Links ]
----------, El mundo como voluntad y representación, Círculo de Lectores/Fondo de Cultura Económica, Barcelona/Madrid, 2005. [ Links ]
Scitovsky, Tibor, Frustraciones de la riqueza. La satisfacción humana y la insatisfacción del consumidor, Fondo de Cultura Económica, México, 1986. [ Links ]
Séneca, Lucio, "De la tranquilidad de ánimo", en Tratados morales, UNAM, México, 1991. [ Links ]
----------, Cartas a Lucilio, Juventud, Barcelona, 2000. [ Links ]
Senik, Claudia, "Is Man Doomed to Progress", Discussion Paper, núm. 2237, IZA, 2006. [ Links ]
Torres, Juan, "Teorías del consumidor frente a ética del consumo", Temas para el Debate, vol. 76, 2001, pp. 22-25. [ Links ]
Vitell, Scott, "Consumer ethics research. Review, synthesis and suggestions for the future", International Conference on Business Ethics in the Knowledge, 2002. [ Links ]
Weiner, Bernard, "Level of aspirations", en Antony Manstead y Miles Hewstones (eds.), The Blackwell Encyclopedia of Socialpsychology, Blackwell Publishers Ltd., Estados Unidos, 1999. [ Links ]
Weiss, A.; Timothy Bates y Michelle Luciano, "Happiness is a personal(ity) thing: the genetics of personality and well-being in a representative sample", Psychological Science, vol. 19, núm. 3, 2008, pp. 205-210. [ Links ]
* El autor agradece las observaciones y sugerencias de dos dictaminadores anónimos, así como los comentarios de Cosimo Perrotta a una versión previa del artículo.
1 Robert Hall y John B. Taylor, Macroeconomics: theory, performance andpolicy, WW Norton & Company, Nueva York, 1991, p. 30.
2 La fuente para estos cálculos es el banco de datos de la Organización de las Naciones Unidas [www.un.org].
3 Programa de las Naciones Unidas para el Desarrollo (PNUD), Informe sobre el desarrollo humano, Ediciones Mundi-Prensa, Madrid, 1998, p. 50.
4 Ibid., p. 6.
5 H. Cuadra y R. Florenzano, "El bienestar subjetivo: hacia una psicología positiva", Revista de Psicología, vol. 22, núm. 1, 2003, p. 83.
6 Guillermo Díaz, "El bienestar subjetivo: actualidad y perspectivas", Revista Cubana de Medicina General Integral, vol. 17, núm. 6, 2001, p. 572.
7 Ed Diener, Eunkook Suh, Richard Lucas y Heidi Smith, "Subjective well-being: three decades of progress", Psychological Bulletin, vol. 125, núm. 2, 1999, p. 277.
8 Bruno Frey y Alois Stutzer, Happiness and economics: how economy and institutions affect well-being, Princeton University Press, Princeton and Oxford, Estados Unidos, 2002, pp. 4 y ss.
9 Mariano Rojas, "Economía de la felicidad. Hallazgos relevantes respecto al ingreso y al bienestar", El Trimestre Económico, año 76, vol. 3, núm. 303, 2009, p. 545.
10 Por ejemplo: Lou Lu, Robin Gilmore y Shu-Fang Kao, "Cultural values and happiness: an east-west dialogue", Journal of Social Psychology, vol. 141, núm. 4, 2001, p. 477.
11 Las gráficas pueden verse en Abraham Aparicio, "Consumo y desarrollo humano integral: elementos para una hipótesis de trabajo", Tercera Semana sobre crecimiento, comercio y desarrollo económico: teoría y evidencia, Escuela Superior de Economía del Instituto Politécnico Nacional, Ciudad de México, 2 de septiembre de 2010.
12 Richard Easterlin, "Will raising the incomes of all increase the happiness of all", Journal of Economic Behavior and Organization, vol. 27, núm. 1, 1995, pp. 35-48; y Richard Easterlin, "Income and happiness: towards and unified theory", Economic Journal, vol. 111, 2001, pp. 465-484.
13 La vertiente más estudiada por los economistas dentro del tema del bienestar subjetivo es el nivel de ingreso (o el crecimiento de la economía). Algunos trabajos sobresalientes son los de la llamada "Escuela de Leyden" (B. van Praag y P. Frijters, "The measurement of welfare and well-being: the Leyden approach", en Daniel Kahneman et al. (comps.), Well-being: the foundations of hedonicpsychology, Rusell Sage Foundation, Nueva York, 1999). Puede encontrarse una relación de resultados de diversos estudios acerca del ingreso y la felicidad en Bruno Frey y Alois Stutzer, Happiness and economics: how economy and institutions affect well-being, Princeton University Press, Princeton and Oxford, 2002; Robert Frank, Luxury fever: money and happiness in an era of excess, Free Press, Nueva York, 1999, y Richard Layard, La felicidad. Lecciones de una nueva ciencia, Taurus, México, 2005, pp. 42 y 44 especialmente.
14 Ronald Inglehart, "Modernization, postmodernization and changing perceptions of risk", International Review of Sociology, vol. 7, núm. 3, 1997, pp. 449-459.
15 R.S. Oropesa, "Consumer possessions, consumer passions, and subjective well-being", Sociological Forum, vol. 10, 1995, pp. 215-244.
16 Richard Layard, La felicidad. Lecciones de una nueva ciencia, Taurus, Mexico, 2005, p. 72.
17 Luo Lu y Jian B. Shih, "Source of happiness: a quantitative approach", Journal of Social Psychology, vol. 137, num. 2, 1997, p. 182.
18 Maurice MacDonald y Robin Douthitt, "Consumption theories and consumers' assessments of subjective well-being", Journal of Consumers Affairs, vol. 26, 1992, p. 260.
19 Toshisuke Ozawa y Patrick Hoffstetter, "Use of Longitudinal Panel Data to Estimate the Effects of Adopting New Activities to Household Consumption Patterns and Happiness", Proceedings, International Workshop on Driving Forces of and Barriers to Sustainable Consumption, University of Leeds, Reino Unido, 2004, pp. 88-97.
20 Fundada por Aristipo de Cirene (435-355 a. c.).
21 En sentido estricto toda doctrina que considera al placer (hedoné) como el fin supremo de la vida es una doctrina hedonista, pero como existen muchas maneras de entender el placer, también hay muchas formas de hedonismo.
22 Una vertiente contemporánea del hedonismo cirenaico es el hedonismo psicológico, el cual sostiene que los actos son motivados exclusivamente por el placer que se espera obtener derivado de cualquier acción en el tiempo. Cf. P. McReynolds, "Hedonism, psychological", en Benjamin Wolman (ed.), International encyclopedia of psychiatry, psychology, psychoanalysis and neurology, Aesculapius Publisher, Inc. Nueva York, 1977, p. 336.
23 Jeremy Bentham (1748-1832) es considerado el fundador del utilitarismo aunque fue Francis Hutcheson quien acuñó el lema del credo utilitarista: "la máxima felicidad para el máximo número". Bentham construyó sobre el principio utilitarista un edificio de análisis social positivo y normativo que sus seguidores perfeccionaron y ampliaron a lo largo de los siglos XIX y XX, y que todavía hoy tiene gran influencia en el pensamiento político y económico. Véase Scott Gordon, Historia y filosofía de las ciencias sociales, Ariel, Barcelona, 1995, p. 274.
24 Ibid., p. 273; y Richard Norman, "Felicidad", en Ted Honderich (ed.), Enciclopedia Oxford de Filosofa, Tecnos, Madrid, 2001, p. 371.
25 Introducción a los principios de la moraly de la legislación, 1780, citado en Scott Gordon, Historia y filosofía de las ciencias sociales, op. cit., p. 275.
26 Fundada por Antístenes de Atenas (445-365 a.c.) quien enseñaba en cinosargos a las afueras de Atenas, de donde les derivó el título de cínicos.
27 Del prefijo griego eu (bueno) y daímon (dios, espíritu, demonio). El daímon es un emisario de los dioses que cuida de cada uno de nosotros actuando de forma invisible. Tener mal daímon significa ser conducido por el mal camino, de ahí que se convirtiera en la raíz griega del actual término "demonio". El nombre Desdémona que utiliza Shakespeare para la desdichada esposa de Otelo es una variación de la palabra griega dysdaímon que significa ser conducido hacia la desgracia. Véase Darrin McMahon, Una historia de la felicidad, Taurus, Madrid, 2006, p. 21.
28 Escuela fundada por Zenón de Cito (340-264 a.C.) en la stoa poikile de donde se deriva el nombre de estoico. La escuela suele dividirse en tres periodos: el estoicismo antiguo (Zenón), el estoicismo medio (Panecio y Posidonio), y el estoicismo nuevo (Lucio Séneca). Si hacemos abstracción de las diferencias que separan a los citados periodos y de las particulares doctrinas o intereses de cada uno, puede considerarse como una doctrina unificada que ha sido una constante histórica en el pensamiento occidental, tal vez porque es una de las actitudes últimas que adopta el ser humano cuando, aparecida una desgracia, busca acomodarse a ella con un ideal provisional que tenga en lo posible la figura de una postura definitiva. Véase José Ferrater, Diccionario de Filosofía, 2 vols., Alianza, Madrid, 1990, pp. 1036-1040.
29 Johannes Hirschberger, Historia de la filosofía, vol. 1, Herder, Barcelona, 1997, pp. 231-232.
30 Lucio Séneca, "De la tranquilidad de ánimo", en Tratados morales, UNAM, México, 1991, p. 46; y Lucio Séneca, Cartas a Lucilio, Juventud, Barcelona, 2000, pp. 62, 74-75.
31 Epicuro (341-270 a.C.) fundó su escuela en una finca llamada "El Jardín".
32 José Ferrater, Diccionario de filosofía, 2 vols., Alianza, Madrid, 1990, pp. 955, 957.
33 Johannes Hirschberger, Historia de la filosofía, op. cit., p. 246.
34 J. Muncy y Scott Vitell, "Consumer ethics, an investigation of the ethical beliefs of the final consumer", Journal of Business Research, vol. 24, 1992, pp. 297-311; Ulrike Knobloch, Theorie und Ethic des Konsums. Reflexionen auf die normativen Grundlagen socialokonomischer Konsumtheorie, Haupt, Berna, 1994; Sam Fullerton, Kathleen Kerch y Robert Dodge, "Consumer ethics, an assessment of individual behavior in the market place", Journal of Business Ethics, vol. 15, 1996, pp. 805-814; D. Crocker y Toby Linden (eds.), Ethics of consumption. The good life, justice and global stewardship, Oxford, Rowman & Littlefield Publishers, Nueva York, 1998; A. Borgmann, "The moral complexion of consumption", Journal of Consumer Research, vol. 26, marzo, 2000, pp. 418-422; J. Torres, "Teorías del consumidor frente a ética del consumo", Temas para el Debate, vol. 76, 2001, pp. 22-25; Michael Jay, Pedro Quellas, Jorge Pinto y Nicola Higgskleyn, "Consumer ethics in the European Union. A comparison of the northern and southern views", Journal of Business Ethics, vol. 31, 2001, pp. 117-130; Scott Vitell, "Consumer ethics research. Review, Synthesis & Suggestions for the future", International Conference on Business Ethics in the Knowledge, 2002; M. Galindo, "Ética del consumo y del crecimiento", Ética y empresa, ice, Madrid, junio, 2005, núm. 823; y A. Argandoña, "La ética de la sociedad de consumo", Cuadernos Empresa y Humanismo, núm. 37, s/f.
35 Adela Cortina, Por una ética del consumo, Taurus, Madrid, 2002.
36 Emilio Martínez, "Por una ética del consumo responsable", conferencia pronunciada en la Asamblea General de Facuaconsumur, 12 de marzo de 2005, Murcia.
37 Friedrich Dorsch, Diccionario de psicología, Herder, Barcelona, 1976, p. 74.
38 Bernard Weiner, "Level of aspirations", en Antony Manstead y Miles Hewstones (eds.), The Blackwell Encyclopedia of Socialpsychology, Blackwell Publishers Ltd., Estados Unidos, 1999.
39 Idem.
40 Ernest Dichter, "Level of aspirations", en Raymond Corsini y Alan Auerbach (eds.), Concise encyclopedia of psychology, segunda edición, John Wiley and Sons, Estados Unidos, 1996, p. 524.
41 Idem.
42 E. Fernández-Abascal, María Dolores Martín y Javier Domínguez, Procesos psicológicos, Pirámide, Madrid, 2001, p. 264.
43 Friedrich Dorsch señala que un éxito previo aumenta el nivel de aspiraciones, y que un fracaso lo hace descender. Diccionario de psicología, op. cit., pp. 644-645. Esto explica porqué el nivel de aspiraciones se eleva conforme aumenta el nivel de realización efectiva, y porqué las personas que han experimentado fracasos con cierta frecuencia tienden a presentar niveles de aspiraciones alejados de la realidad (muy altos o muy bajos). Asimismo, dependiendo del nivel de aspiraciones, un mismo resultado puede interpretarse como éxito o fracaso. Todo esto sugiere que debe existir un valor central del nivel de aspiraciones alrededor del cual oscilan nuestras aspiraciones al ser aumentadas o disminuidas por las vivencias personales cotidianas. El estudio de los factores que definirían ese valor central es algo que rebasa el objeto del presente artículo. También sugiere que debe existir un efecto neto entre el descenso del nivel de aspiraciones debido al hecho de que las aspiraciones no han sido alcanzadas, por un lado, y el aumento del nivel de aspiraciones producto de los estímulos recibidos por el medio ambiente, el contexto social o el entorno cultural, por el otro. El argumento desarrollado a lo largo de este artículo supone implícitamente que el efecto neto es un aumento en el nivel de aspiraciones porque los elementos que estimulan las aspiraciones en la sociedad posmoderna tienen mayor peso que aquellos elementos que las reducen.
44 La relación entre las aspiraciones y la felicidad ya había sido expuesta, en un mismo sentido, tanto por Epicuro como por Zenón, quienes establecieron que la felicidad dependía de la proporción de los deseos satisfechos respecto de los deseos totales, por lo que, para ser felices, sólo se puede optar por una de dos opciones: aumentar los medios para alcanzar los deseos, o bien, reducir los deseos para que se adecuen a los medios. Darrin McMahon, Una historia de la felicidad, op. cit., p. 72.
45 Arthur Schopenhauer, El mundo como voluntad y representación, Círculo de Lectores/Fondo de Cultura Económica, Barcelona/Madrid, 2005, pp. 176-177.
46 Arthur Schopenhauer, El arte de ser feliz. Explicado en cincuenta reglas para la vida, Herder, España, 2000, pp. 38-39.
47 Arthur Schopenhauer, El mundo como voluntad y representación, op. cit., p. 176.
48 Abraham Aparicio, "Felicidad y aspiraciones crecientes de consumo en la sociedad posmoderna", Revista Mexicana de Sociologia, vol. 71, núm. 1, UNAM, México, 2009, pp. 131-157.
49 Gilles Lipovetsky, La sociedad de la decepción. Entrevista con Bertrand Richard, Anagrama, Barcelona, 2008, pp. 21 y 23.
50 Ibid., pp. 23 y 44.
51 Richard Elliott, "Existential consumption and irrational desire", European Journal of Marketing, vol. 31, núm. 3, 1997, p. 292.
52 Tibor Scitovsky, Frustraciones de la riqueza. La satisfacción humana y la insatisfacción del consumidor, Fondo de Cultura Económica, México, 1986.
53 Albert Hirschman, Interés privado y acción pública, Fondo de Cultura Económica, México, 1986.
54 Robert Lane, The market experience, Cambridge University Press, Nueva York, 1991; y Robert Lane, The loss of happiness in market democracies, Yale University Press, New Haven/London, 2000.
55 Programa de las Naciones Unidas para el Medio Ambiente, PNUMA, "Editorial", Tunza, vol. 2, núm. 3, 2004, p. 3.
56 Véase Michael Argyle, La psicología de la felicidad, Alianza Editorial, Madrid, 1987, p. 221; y A. Campbell, P. Converse y W. Rodgers, The quality of american life, Russell Sage Foundation, Nueva York, 1976.
57 Ed Diener y F. Fujita, "Resources, personal striving, and subjective well-being: a nomothetic and idiographic approach", Journal of Personality and Social Psychology, vol. 68, núm. 5, 1995, pp. 926-935.
58 Emily Crawford, Ed Diener, Derrick Wirtz, Richard Lucas y Shigehiro Oishi, "Wanting, having, and satisfaction: examining the role of desire discrepancies in satisfaction with income", Journal of Personality and Social Psychology, vol. 83, núm. 3, 2002, pp. 725-734.
59 Luigino Bruni y Luca Stanca, "Income aspirations, television and happiness: evidence from the World Values Survey", Kyklos, vol. 59, núm. 2, 2006, pp. 209-255.
60 N. Karlsson, P. Dellgran, B. Klingander y T. Garlin,"Household consumption: influences of aspiration level, social comparison, and money management", Journal of Economic Psychology, vol. 25, núm. 6, 2004, pp. 753-769.
61 Michael Argyle, La psicología de la felicidad, op. cit., pp. 205-207.
62 Claudia Senik, "Is Man Doomed to Progress", Discussion Paper, núm. 2237, IZA, 2006.
63 Mariano Rojas, "A conceptual-referent theory of happiness: heterogeneity and its consequences", Social Indicators Research, vol. 74, 2005, pp. 261-294.
64 La teoría del punto central o del equilibrio dinámico sostiene que los eventos de la vida provocan fluctuaciones transitorias sobre un determinado nivel de felicidad, pero en el largo plazo, la felicidad tiende a ese nivel central. El nivel central de felicidad depende de las características propias de la personalidad de cada quien, lo que a su vez viene dado por factores genéticos. En otras palabras, el nivel estructural de felicidad se hereda y no es posible modificarlo de manera permanente. Para mayores detalles véase A. Weiss, T. Bates y M. Luciano, "Happiness is a personal(ity) thing: the genetics of personality and well-being in a representative sample", PsychologicalScience, vol. 19, núm. 3, 2008, pp. 205-210, y Breuce Headey, "Life goals matter to happiness: a revision of set-point theory", SocialIndicators Research, vol. 86, 2008, pp. 213-231. En el modelo propuesto el objetivo es "aislar" la brecha medios-aspiraciones para tratarla como variable explicativa no de los cambios en el nivel de bienestar subjetivo estructural, sino de los cambios en el bienestar subjetivo que lo hacen oscilar alrededor de su nivel estructural.
65 Se debe señalar que, de acuerdo con los descrubrimientos de Daniel Kahneman y Amos Tversky, las personas son más sensibles (o adversas) a las pérdidas que a las ganancias, lo que implicaría que la parte de la curva S que se encuentra a la izquierda de b = 0 debería tener una pendiente todavía más pronunciada. Para una introducción general a los trabajos de Kahneman y Amos Tversky, véase Daniel Kahneman, "Mapas de racionalidad limitada: psicología para una economía conductual", Revista Asturiana de Economía, núm. 28, 2003, pp. 181-225.
66 Mariano Rojas, "Heterogeneity in the relationship between income and happiness: a conceptual-referent-theory explanation", Journal of Economic Psychology, vol. 28, num. 1, 2007, pp. 1-14.













