Introducción
El valle de Mexicali, ubicado al noroeste de México, es una región que produce gran variedad de cultivos extensivos como el algodón (Gossypium hirsutum, L.), trigo (Triticum aestivum) y alfalfa (Medicago sativa), con superficies de siembra establecidas de 13 631, 14 919 y 36 661 hectáreas respectivamente (SIAP, 2024). Sin embargo, actualmente, este valle se encuentra sufriendo una reconversión de cultivos encabezado principalmente por los establecidos en la temporada de otoño invierno. Entre estos cultivos se encuentran las brassicas, como brócoli (Brassica oleracea var. italica), coliflor (Brassica oleracea var. botrytis) y repollo (Brassica oleracea var. capitata). Durante el ciclo de producción 2020-21, la superficie establecida de estos cultivos fue de 565, 90 y 64 hectáreas, con una tasa de crecimiento anual de alrededor del 10% (Representación Agricultura, 2021).
El repollo es un cultivo cuyo producto cosechado se lleva a cabo durante su etapa vegetativa. Las hojas compactadas que forman la cabeza es la parte comestible de este cultivo. El rendimiento puede variar dependiendo de manejo del nitrógeno aplicado (Sanchez, Roth y Gardner, 1994), la densidad de población (Barrett et al., 2015), y el uso de tecnología como lo es el acolchado del suelo con plástico (Ponjičan et al., 2021). La dosis de nitrógeno necesaria para producir cada cabeza de repollo varía por su tamaño, mientras que este a su vez varía por la distancia a la que se desarrolla entre cada planta (Paranhos, Barrett, Zotarelli, Darnell, Migliaccio y Borisova, 2016). La dosis de fertilizante nitrogenado para obtener alto rendimiento puede variar entre 170 a 280 kg ha-1. (Sanchez, et al., 1994; Ribeiro da Silva, Candian, Zotarelli, Coolong y Christensen, 2020).
La densidad de población depende grandemente de la disponibilidad de energía lumínica recibida por las plantas. Una adecuada distribución de plantas en la cama de siembra provee de espacio suficiente para el desarrollo de las mimas obteniendo uniformidad de los repollos cosechados (Červenski, Danojević, Medić-Pap y Savić, 2018). Por otra parte, el acolchado plástico mejora la mineralización del nitrógeno, haciéndolo más disponible para las plantas lo que puede repercutir en una mejora del rendimiento. Algunos estudios demuestran que, con el uso de acolchado plástico en suelo, se incrementa la temperatura del suelo en etapas tempranas del cultivo, se aumenta el uso eficiente del agua y el nitrógeno total del suelo se mineraliza en gran proporción en comparación con el suelo desnudo (Hai et al., 2015).
La interrelación que guardan estos factores, influye en el desarrollo de las plantas para cada condición edafoclimática en particular. Las variables que pueden resultar afectadas son el crecimiento y desarrollo de las plantas (cobertura foliar y tamaño de las cabezas cosechables) (Ji et al., 2017), la concentración de nutrientes minerales en el extracto celular de peciolo (especialmente macronutrientes) (Huett y Rose, 1989), uso agronómico de los fertilizantes (Luiz-Cavarianni, Castro y Mendoza, 2007), entre otros. Por lo anterior, el objetivo de este trabajo de investigación fue evaluar el efecto interactivo de la densidad de población y el manejo del nitrógeno (el cual incluyó dosis y un tratamiento con acolchado plástico) en el crecimiento y rendimiento del cultivo de repollo.
Materiales y Métodos
Ubicación del estudio
El experimento realizó en el campo experimental del Instituto de Ciencias Agrícolas de la Universidad Autónoma de Baja California, ubicado en el valle de Mexicali, Baja California, México, (32° 24’ 09” N, 115° 11’ 45” O) durante la temporada de otoño-invierno de 2016. El tipo de suelo es vertisol, con textura arcillosa de color café con tonalidades grisáceas, un pH de 7.8 y una salinidad de 6.48 dS m-1 y 44, 1190, 4682, 1198, 457 mg kg-1 de fósforo-Olsen, potasio, calcio, magnesio y sodio, respectivamente. El agua utilizada para riego provenía del Rio Colorado y contenía un pH de 8.04, una conductividad eléctrica de 1.42 dS m-1 y 184.0, 96.4, 338.5, 378.2, 560.9, 475.2 mg L-1 de calcio, magnesio, sodio, bicarbonatos, cloruros y sulfatos, respectivamente. Las variables de temperatura y grados día, se tomaron de una estación meteorológica ubicada a 420 m de distancia.
Preparación del suelo y trasplante
Se levantaron camas de 60 cm de ancho y 18.0 m de longitud y con separación de 1.60 m. Cada parcela experimental consistió en dos camas. Se colocaron dos cintillas por encima de cada cama. La cintilla contaba con emisores separados cada 20 cm. El gasto por emisor fue de 0.5 L h-1. Se utilizaron plántulas de 45 días de edad de la variedad Charmant (Grupo Sakata, México S.A. de C.V.). El trasplante se realizó en forma manual el 29 de septiembre de 2016.
Diseño experimental y tratamientos
Los tratamientos evaluados fueron manejo del nitrógeno (parcela principal) y densidades de población (sub-parcelas). Los tratamientos sobre manejo de nitrógeno fueron plantas cultivadas en suelo desnudo con tres dosis de nitrógeno (0, 125 y 250 kg N ha-1) y, además, un cuarto tratamiento utilizando acolchado plástico trasparente sobre el suelo y fertilizado con 250 kg N ha-1. La sub-parcela consistió en dos densidades de población (3.12 y 6.25 plantas m2), (Figura 1). Las dosis de fertilizante nitrogenado fueron fraccionadas y aplicadas en forma semanal utilizando urea (46-00-00), sulfato de amonio (21-00-00) y UAN 32 (32-00-00). Adicionalmente se aplicaron 30 kg·ha-1 de fósforo utilizando como fuente ácido fosfórico (H3PO4). El criterio de aplicación de nutrientes fue de acuerdo a la demanda nutrimental propuesta por (Welch, Tyler Y Ririe, 1985).
Manejo del Riego
Previo al trasplante se realizó un riego con una lámina de 72 mm con el objetivo de formar bulbo de humedad y realizar el trasplante. A los 10 días después del trasplante (ddt) la frecuencia de riego fue diferente para las plantas cultivadas en suelo desnudo y las cultivadas bajo acolchado plástico. Para las plantas crecidas en los tratamientos con suelo desnudo se instaló un tensiómetro a una profundidad de 30 cm. Por otra parte, en el tratamiento de acolchado plástico y 250 kg N ha-1, se instaló otro tensiómetro. Los riegos se realizaron cuando las lecturas de los tensiómetros alcanzaron los 20 kPa. La lámina de reposición en cada riego fue de 2.0 mm y la frecuencia varió entre tratamientos (desnudos-acolchados) según las lecturas de los tensiómetros.
Variables evaluadas
Temperatura foliar. A los 15, 41 y 68 ddt, se le realizaron mediciones de temperatura en 10 plantas por repetición. Se escogió la hoja más recientemente madura y al momento de realizar el análisis estadístico, se consideró el valor promedio de las 10 plantas. La temperatura se determinó con un termómetro digital infrarrojo de pistola láser (DAN-tronics modelo P045440, México). Las mediciones se realizaron a un ángulo promedio de 30° y a una distancia de 30 cm entre el sensor y la hoja.
Índice de vegetación de diferencia normalizada (NDVI, por sus siglas en inglés). Previamente, se comparó el valor de NDVI con el área foliar y el peso seco de diez grupos de diez plantas de repollo de diferente tamaño. El NDVI se obtuvo con el sensor Greenseeker (Sunnyvale, CA. E.U.). El área foliar se determinó utilizando un medidor de área Licor-3100C (LI-COR Biosciences, Nebraska E.U.). Posteriormente, las mismas plantas se cosecharon y se sometieron a secado en estufa a aire forzado 72 horas hasta obtener peso constante. Se realizó regresión lineal entre NDVI y el área foliar, así como con la biomasa seca. El resultado fue significativo (P < 0.001) de tal manera que se consideró el NDVI como medida de crecimiento del cultivo (Mendoza-Pérez, Valle, Samaniego, Ruelas y Nuñez, 2024). Las lecturas de NDVI se tomaron a los 22, 41 y 68 ddt. Se consideraron los valores de NDVI en diez plantas por repetición.
Concentración de elementos en el extracto celular. A los 83 ddt, se cosechó la hoja más recientemente madura de un grupo de cinco plantas por cada tratamiento. La toma de muestras se realizó en horario de las 8:00 a 9:00 h. A cada muestra se les extrajo el jugo celular de la nervadura central con un exprimidor de ajos. Posteriormente, se les determinó la concentración de nitratos (NO3), sodio (Na), Calcio (Ca) y potasio (K), utilizando los sensores Horiba en sus diferentes presentaciones (LAQUAtwin Kyoto, Japon) (Benavides-Mendoza, de Alba y Francisco, 2021). La determinación se realizó siguiendo el protocolo empleado por Flores-Bernal et al., (2021).
Rendimiento. A los 106 y 120 ddt, se cosecharon las plantas completas de cada tratamiento. Se le desprendieron las hojas extendidas y se pesó la cabeza resultante. El rendimiento comercial se consideró como aquel que contuvo repollos de un peso mayor a 1.2 kg, así como aquel que resultó de un diámetro ecuatorial mayor a 20 cm. En la evaluación se consideró el rendimiento total, el comercial y la rezaga. Los valores obtenidos fueron transformados a toneladas por hectárea.
Análisis estadístico. A cada variable obtenida, se les realizó análisis de varianza. Cuando se identificó diferencias significativas entre tratamientos, se realizó prueba de medias (Tukey, P ≤ 0.05) Se utilizó el paquete estadístico MINITAB 14® (Minitab, 2003).
Resultados y Discusión
Temperaturas y grados día
La Figura 2 muestra el comportamiento de la temperatura y los grados día acumulados durante el desarrollo del experimento. Las temperaturas máximas que transcurrieron fueron alrededor de los ≈35 °C, y conforme transcurrió el experimento se redujeron hasta alcanzar los ≈20 °C. Las temperaturas mínimas fluctuaron entre los ≈20 °C y los ≈5 °C. Por otro lado, la cantidad de grados día ocurridos durante el experimento fueron de un total de 2170. En general, el ambiente que prevaleció fue el que ha sido recomendado como óptimo para el desarrollo y crecimiento de este tipo de cultivos (Criddle, Smith y Hansen, 2017).
Temperatura foliar
El incremento en la temperatura foliar con respecto a la temperatura ambiental, es una variable que resulta afectada cuando el cultivo sufre de algún estrés hídrico, falta de desarrollo radicular o un área foliar pequeña (Katimbo et al., 2022). En el presente estudio, no se identificó un efecto en la interacción MN × DP. Tampoco se encontró efecto sobre el factor DP (P ≥ 0.089), únicamente se encontró respuesta al MN a los 68 ddt (P < 0.050), (Cuadro 1). Conforme la dosis de nitrógeno fue mayor, la temperatura de las hojas fue menor. Cuando se fertilizó con 250 kg N ha-1, y se utilizó acolchado plástico en el suelo, la temperatura de las hojas fue aún menor. Los valores encontrados, por ser tan bajos, no indicaron el resultado por algún tipo de estrés, más bien pudieron deberse a un menor crecimiento expresado por la planta en la fecha evaluada (68 ddt), (Escobosa-García et al., 2022).
Cuadro 1: Manejo del nitrógeno y densidad de plantación sobre la temperatura de las hojas (°C) en plantas del cultivo de repollo.
Table 1: Nitrogen management and plant density on leaves temperature in plants of cabbage crop.
| Tratamiento | Días después del trasplante | ||
| 15 | 41 | 68 | |
| Manejo del nitrógeno | |||
| 0 kg N ha-1 | 21.91 | 22.58 | 14.54 a† |
| 125 kg N ha-1 | 20.16 | 21.02 | 13.21 b |
| 250 kg N ha-1 | 19.84 | 20.40 | 12.08 b |
| Acolchado plástico (250 kg N ha-1) | 20.63 | 21.69 | 10.79 c |
| Densidad de plantación | |||
| 3.12 plantas m2 | 19.48 | 21.46 | 13.40 |
| 6.25 plantas m2 | 20.84 | 20.62 | 13.15 |
| Significancia | |||
| Manejo del nitrógeno (MN) | 0.642 | 0.057 | 0.014 |
| Densidad de plantación (DP) | 0.089 | 0.363 | 0.763 |
| MN × DP | 0.138 | 0.506 | 0.678 |
† Medias con letras diferentes en una misma columna son estadísticamente diferentes con base en la prueba de Tukey.
† Means with a different letter in the same column indicate significant differences according to the Tukey test.
NDVI (por sus siglas en inglés)
El NDVI es un índice que está relacionado con el crecimiento y verdor de las plantas sobre la superficie del suelo. En el presente estudio la validación de los valores NDVI de plantas de repollo, con respecto a la biomasa fresca y área foliar fue significativa (P < 0.050), por lo tanto, se consideró como una forma de estimar el crecimiento de repollo (Mendoza-Pérez et al., 2024). En general, las plantas de repollo respondieron en crecimiento al MN y no a la densidad de población (Cuadro 2). Durante los 22 y 41 ddt las plantas más pequeñas fueron las que tuvieron menor cantidad de nitrógeno (≤ 125 kg N ha-1) con excepción de aquellas cultivadas bajo suelo acolchado con plástico. Posteriormente a los 68 ddt, las plantas más pequeñas fueron aquellas que no recibieron nitrógeno.
Cuadro 2: Manejo del nitrógeno y densidad de plantación sobre el NDVI en plantas del cultivo de repollo.
Table 2: Nitrogen management and plant density on NDVI in plants of cabbage crop.
| Tratamiento | Días después del trasplante | ||
| 22 | 41 | 68 | |
| Manejo del nitrógeno | |||
| 0 kg N ha-1 | 0.33 b† | 0.53 b | 0.60 b |
| 125 kg N ha-1 | 0.32 b | 0.50 b | 0.63 a |
| 250 kg N ha-1 | 0.41 a | 0.55 a | 0.64 a |
| Acolchado plástico (250 kg N ha-1) | 0.27 b | 0.49 b | 0.63 a |
| Densidad de plantación | |||
| 3.12 plantas m2 | 0.37 | 0.52 | 0.62 |
| 6.25 plantas m2 | 0.34 | 0.54 | 0.62 |
| Significancia | |||
| Manejo del nitrógeno (MN) | 0.001 | 0.035 | <0.001 |
| Densidad de plantación (DP) | 0.275 | 0.213 | 0.585 |
| MN × DP | 0.512 | 0.151 | 0.284 |
† Medias con letras diferentes en una misma columna son estadísticamente diferentes con base en la prueba de Tukey.
† Means with a different letter in the same column indicate significant differences according to the Tukey test.
Al inicio del experimento, el menor crecimiento de las plantas establecidas en el tratamiento de suelo acolchado y fertilizado con 250 kg N ha-1, pudo haberse debido al estrés pos-trasplante que sufren los cultivos al ser introducidas a un suelo con acolchado trasparente. Usualmente, durante el verano o principios del otoño, la temperatura suele ser mayor en suelos con acolchado plástico que en suelos desnudos (Li et al., 2017). Los estudios indican que los suelos acolchados con plásticos trasparentes incrementan en hasta 4.0 °C la temperatura de la zona radicular del cultivo en comparación con suelos sin acolchar o suelos acolchados con plástico de color negro o blanco (Snyder, Grant, Murray y Wolff, 2015).
Minerales en el extracto celular
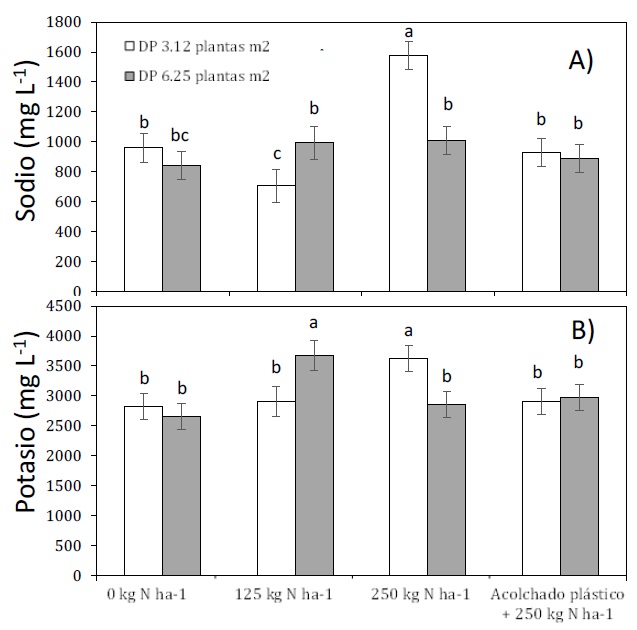
De los minerales evaluados en el extracto celular de la nervadura central de hojas de repollo, el sodio (Na) y el potasio (K) fueron los que presentaron efecto interactivo entre el MN × DP (P < 0.028), (Cuadro 3). La concentración de Na fue mayor en las plantas fertilizadas con 250 kg N ha-1 y con densidad de población de 3.12 plantas m2, mientras que concentraciones menores fueron para las plantas que recibieron 125 kg N ha-1 y una densidad de población de 3.12 plantas m2. El resto de las plantas mantuvieron una concentración de Na relativamente igual (Figura 3A, B). Por otro lado, las mayores concentraciones de K estuvieron en las plantas que recibieron 125 y 250 kg N ha-1 en ambas densidades de población. El resto de las plantas mantuvieron valores iguales de K en el extracto celular.
Cuadro 3: Manejo del nitrógeno y densidad de plantación sobre la concentración de nutrientes en el extracto celular del cultivo de repollo.
Table 3: Nitrogen management and plant density on mineral nutrient concentration in extract cellular of cabbage crop.
| Tratamiento | Días después del trasplante | |||
| NO3 | Na | Ca | K | |
| Manejo del nitrógeno | - - - - - - - - - - - - - - mg L-1 - - - - - - - - - - - - - - | |||
| 0 kg N ha-1 | 3150 b† | 901 b | 553 b | 2738 |
| 125 kg N ha-1 | 4116 b | 850 b | 635 b | 3283 |
| 250 kg N ha-1 | 4575 a | 1292 a | 881 a | 3237 |
| Acolchado plástico (250 kg N ha-1) | 5775 a | 907 b | 867 a | 2937 |
| Densidad de plantación | ||||
| 3.12 plantas m2 | 4079 | 1042 | 751 | 3035 |
| 6.25 plantas m2 | 4729 | 933 | 717 | 3063 |
| Significancia | ||||
| Manejo del nitrógeno (MN) | 0.009 | <0.001 | 0.002 | 0.079 |
| Densidad de plantación (DP) | 0.217 | 0.133 | 0.608 | 0.868 |
| MN × DP | 0.203 | 0.004 | 0.113 | 0.028 |
† Medias con letras diferentes en una misma columna son estadísticamente diferentes con base en la prueba de Tukey.
† Means with a different letter in the same column indicate significant differences according to the Tukey test.
Para el caso de la concentración de NO3 y calcio Ca, las plantas respondieron significativamente solo al MN (P ≤ 0.002). El manejo de la fertilización incrementó las concentraciones de NO3 en el extracto celular en un 70% en las plantas fertilizadas con 250 kg N ha-1 en comparación con las plantas fertilizadas con 0 y 125 kg N ha-1. Sin embargo, no se encontró diferencias entre las plantas fertilizadas con 250 kg N ha-1 cultivadas en suelo desnudo y aquellas que tuvieron suelo con acolchado plástico.
Lo anterior no concuerda con los resultados obtenidos por Escobosa-García et al. (2022). En su estudio, ellos compararon plantas de repollo cultivadas en suelo desnudo respecto a las plantas cultivadas en suelos con diferentes tipos de acolchados. Sus resultados mostraron que cuando se utilizó suelo con acolchado plástico negro, la concentración de NO3 en el extracto celular, se incrementó en un 50% en relación a las plantas cultivadas en suelo desnudo.
Para el caso de las concentraciones de Ca, los resultados fueron similares a aquellos obtenidos en la determinación de NO3. Se sabe que la absorción de Ca en plantas está condicionada al estrés por presencia de Na en suelo, al incremento de la salinidad en la solución del suelo (Ying, Jiashu y Guangwen, 1998), así como a un incremento de la transpiración de las hojas (Funk y Amatangelo, 2013). Probablemente la mayor cantidad de área foliar desarrollada por el cultivo bajo los tratamientos de 250 kg N ha-1, hayan influido en una mayor transpiración y translocación de Ca a las hojas a través del extracto celular.
Rendimiento
En general, el rendimiento total y comercial del cultivo de repollo se incrementó conforme se incrementó la dosis de N y la densidad de población (P ≤ 0.050), aunque sin efecto interactivo (P ≥ 0.051; Cuadro 4). El mayor rendimiento se alcanzó en los tratamientos que recibieron 250 kg N ha-1 (con o sin acolchado plástico), mientras que el menor rendimiento fue para el tratamiento sin fertilizante nitrogenado. Para el caso de la rezaga, los tratamientos que resultaron con un mayor número de toneladas fueron los que no recibieron nitrógeno o recibieron solo 125 kg N ha-1 (P ˂ 0.050).
Table 4: Nitrogen management and plant density yield of cabbage crop.
| Tratamiento | Rendimiento (Mg ha-1) | ||||
| Manejo del nitrógeno | Comercial | Total | Rezaga | ||
| 0 kg N ha-1 | 28.37 c† | 35.07 c | 6.69 a | ||
| 125 kg N ha-1 | 33.11 b | 38.58 b | 5.46 a | ||
| 250 kg N ha-1 | 57.83 a | 58.13 a | 0.29 b | ||
| Acolchado plástico (250 kg N ha-1) | 44.80 a | 47.51 a | 2.71 b | ||
| Densidad de plantación | |||||
| 3.12 plantas m2 | 32.94 a | 35.80 a | 2.72 a | ||
| 6.25 plantas m2 | 46.60 b | 53.84 b | 5.58 b | ||
| Significancia | |||||
| Manejo del nitrógeno (MN) | 0.012 | 0.050 | 0.043 | ||
| Densidad de plantación (DP) | 0.049 | 0.006 | 0.045 | ||
| MN × DP | 0.382 | 0.665 | 0.416 | ||
† Medias con letras diferentes en una misma columna son estadísticamente diferentes con base en la prueba de Tukey.
† Means with a different letter in the same column indicate significant differences according to the Tukey test.
La definición de dosis óptima de fertilización nitrogenada en cultivos depende del tipo de suelo, época de establecimiento durante la temporada del año (Shahandeh, Wright y Hons, 2011), sistema de riego utilizado (De Pascale, Dalla, Vallone, Barbieri y Maggio, 2011), incluso el tipo de cubierta de suelo empleada (Ponjičan et al., 2021). En el presente estudio, la dosis de 250 kg N ha-1, produjo un mayor rendimiento, aunque no resultó modificado por el uso del acolchado plástico. Lo anterior indicaría la no justificación del uso de plástico para lograr una mayor eficiencia agronómica del nitrógeno, al menos para estas condiciones de cultivo. Hai et al., (2015) indicaron que la mineralización de nitrógeno en suelos con acolchado plástico, se incrementa con el aumento de temperatura del suelo, y esta a su vez está asociada con el crecimiento inicial del cultivo. Sin embargo, al final del experimento esta última aseveración no resultó en algún impacto en el rendimiento.
Por otro lado, el duplicar la densidad de población incrementó el rendimiento, así como la cantidad de rezaga (P ≤ 0.049). No obstante, no significó duplicar el rendimiento comercial y total, aunque sí duplicó la rezaga del cultivo. Al respecto, (Barrett et al., 2015) indicaron que el aumento en la densidad de población en repollo es justificable cuando existen condiciones de alta radiación solar durante la temporada de cultivo. Lo anterior indicaría que la fecha de trasplante tiene gran influencia en mantener los rendimientos al evitar una menor cantidad de rezaga, sobre todo por la producción de repollos de tamaño chico (Paranhos et al., 2016).
Conclusiones
El manejo de la fertilización con nitrógeno modificó el crecimiento, el estado nutrimental y el rendimiento del cultivo de repollo. La densidad de población aumentó en rendimiento, aunque no en la misma proporción a la densidad de población. En el valle de Mexicali, el manejo de la fertilización incluyendo 250 kg N ha-1 y una densidad de población de 6.25 plantas m2, es lo recomendable para obtener el mayor rendimiento en el cultivo de repollo.
Contribución de los Autores
Conceptualización: F.N.R. y P.I.L.C. Metodología: S.S.G. Validación: R.E.V.G. y B.Y.S.G. Análisis formal: F.N.R. y P.I.L.C. Investigación: F.N.R. y P.I.L.C. Escritura: F.N.R. Preparación del borrador original: P.I.L.C. Escritura, revisión y edición: F.N.R. y I.E.G. Visualización: I.E.G.









nueva página del texto (beta)






