Introducción
El cacao (Theobroma cacao L.) es un importante cultivo para la industria alimenticia y farmacéutica debido a sus propiedades organolépticas y nutracéuticas (Castillejos-Mijangos, Acosta, Gallardo, Osorio, Jiménez, 2022). En Ecuador el cacao es uno de los principales cultivos de importancia económica, su superficie agrícola en 2019, abarcó 601 954 ha, representando el 4% del uso total de la tierra, lo que convierte al cacao en la mayor área dedicada a un cultivo permanente (Avadí, 2023).
Entre las principales enfermedades que afectan al cultivo cacao se encuentra la moniliasis ocasionada por el fitopatógeno Moniliophthora roreri (Espinoza-Lozano et al., 2022; Gómez-de la Cruz et al., 2023). Se ha reportado que M. roreri ocasiona daños de hasta 80% en la producción (Sánchez-Mora y Garcés-Fiallos, 2012).
M. roreri ocasiona deformaciones, necrosis y descomposición de los frutos (Pérez-Vicente, 2018). Además, los frutos infectados presentan pigmentación irregular y manchas oscuras (Gómez-de la Cruz et al., 2023). El inóculo de M. roreri puede sobrevivir más de siete meses en frutos momificados, los cuales aportan niveles elevados de esporas durante todo el periodo de fructificación (Phillips-Mora, Castillo, Krauss, Rodríguez y Wilkinson, 2005).
El principal método de control de M. roreri es mediante productos químicos sintéticos (Gómez-de la Cruz et al., 2023). Sin embargo, estos productos se acumulan en el suelo y modifican su pH, dañan el medio ambiente y ocasionan resistencia en los fitopatógenos (Torres-Rodriguez, Reyes, Quiñones y Hernandez, 2022).
Una alternativa a la aplicación de productos químicos sintéticos son los compuestos a base de silicio (Si), (Verma et al., 2021). El Si es el segundo elemento más abundante en la corteza terrestre (Bist et al., 2020). Aunque no es un elemento esencial para las plantas, presenta efectos favorables en el crecimiento, desarrollo y rendimiento de diferentes cultivos en condiciones de estrés (Reyes-Pérez, Tipán, Llerena, Hernandez y Rivas, 2023), por lo tanto, se considera como un elemento benéfico (Zhang et al., 2019).
La aplicación de Si mejora las características fisicoquímicas del suelo y la fertilidad al transformar los nutrientes en formas disponibles para las plantas (Greger, Landberg y Vaculík, 2018; Rajput et al., 2021). Además, mediante sus iones aleja a los elementos que generan toxicidad en las plantas y favorece la producción de fitoalexinas (Cázarez-Flores et al., 2022). La aplicación de Si refuerza la pared celular de las plantas, actuando como una barrera física que dificulta la penetración e infección de los fitopatógenos (Kang, Dutta y Lee, 2023).
También, se ha demostrado que la aplicación del Si induce respuestas de defensa en las plantas como la producción de enzimas antimicrobianas (polifenol oxidasa, glucanasa, peroxidasa, fenilalanina amonio-liasa), fitoalexinas y proteínas relacionadas con la patogenicidad, regulando positivamente varias vías de señalización de defensa como acido salicílico (SA), ácido jasmónico (JA) y etileno (ET) (Gulzar, Ali, Shah y Kamili, 2021; Verma et al., 2021).
Por lo tanto, el objetivo de este trabajo es determinar el efecto del silicio como bioestimulante en el cultivo de cacao y agente de control biológico de M. roreri.
Materiales y Métodos
Localización del área experimental
La investigación se realizó en la Hacienda La Margot, perteneciente al señor German Villena Solano, ubicada en el recinto Matilde Esther, localizada en las coordenadas 2º 6’ 31.81” S y 79° 15’ 8.04” O, a 14 m de altitud, con topografía irregular, tipo de suelo Franco arcilloso. La zona presenta un clima tropical húmedo con una temperatura media anual de 24.60 °C, y precipitación media anual de 1650.30 mm, humedad relativa de 85.02 por ciento.
Material genético
El material genético utilizado fue el clon CNN-51 de alta productividad. La CCN-51 tiene excelente índice de mazorcas por kilogramos de cacao seco. Es una planta de crecimiento erecto, pero de baja altura lo que facilita las labores agronómicas tales como poda y cosecha, entre otras (Crespo y Crespo, 1997; Fuentes y Castelblanco, 2011).
Tratamientos y diseño experimental
En la investigación se evaluaron los efectos de cuatro dosis de Si utilizando cinco tratamientos. Se aplicó un Diseño de Bloques Completos al Azar con cinco tratamientos y cinco repeticiones. El tratamiento T1: (4.00 kg ha-1), T2: (3.00 kg ha-1), T3 (2.00 kg ha-1), T4 (1.5 kg ha-1) y T5 (tratamiento control-sin aplicación).
Donde: yij = son las variables productivas sometidas al i-ésimo tratamiento en el j-ésimo bloque; μ = Valor de la media general; ti = el efecto del i-esimo tratamiento; βj= es el efecto del j-ésimo bloque; ϵij= es el error experimental.
Método de aplicación
La aplicación de Si se realizó en el inicio de la floración con más 50% de plantas de cacao con flores. A partir de este momento se aplicó cada 30 días con un total de 6 aplicaciones del producto hasta los 180 días. El método de aplicación fue a través del empleo de una mochila marca CP3 con capacidad de 20 L con movimientos verticales de la varilla y bordeando en circulo la copa de las plantas para garantizar una distribución uniforme en el área foliar. La distancia desde la varilla de la mochila y la copa de las plantas fue de aproximadamente de un metro.
Variables evaluadas
Indicadores de producción y rendimiento. El número de mazorca (NM) se determinó en 25 plantas por conteo durante el período de evaluación, donde cada planta se consideró como una unidad experimental. Para la determinación del peso fresco de almendras (PFA) (gr), de las mazorcas cosechadas (25 plantas) en cada unidad experimental, se seleccionaron de forma aleatoria 25 mazorcas y se extrajeron todas las almendras para posteriormente pesarse en una balanza digital (Santorius de 2 kg ± 1 g). Para el peso seco de las almendras, éstas se secaron en una estufa (memmert, 60 °C, 72 h), posteriormente se pesaron hasta alcanzar un peso constante, indicativo de la completa eliminación de la humedad presente en las muestras. El rendimiento se estimó en toneladas de cacao en grano seco, se calculó como el 40% del peso fresco del cacao, multiplicando el peso fresco del cacao por planta por 0.40 (factor de conversión para obtener el peso seco).
Incidencia de la enfermedad (IE) por M. roreri en el cultivo de cacao. Para determinar la incidencia de la enfermedad se contabilizó el número de mazorcas enfermas y el número de mazorcas sanas, con los datos obtenidos se procedió a calcular el porcentaje de incidencia de M. roreri. La evaluación de incidencia de la enfermedad se realizó a los 60, 120 y 180 días (Sánchez-Mora y Garcés-Fiallos, 2012).
En el que IE = Incidencia de la enfermedad (%); Me = Mazorcas enfermas y Ms = Mazorcas sanas.
Severidad externa (SE) de M. roreri en mazorcas de cacao. Para la evaluación de severidad externa de la enfermedad en las mazorcas en cada árbol, se tuvo en cuenta el grado de infección de la mazorca y se utilizó la escala arbitraria de 1 a 5 (Villamil-Carvajal, Viteri y Villegas, 2015). La evaluación de la severidad de la enfermedad se realizó a los 60, 120 y 180 días (Cuadro 1).
Cuadro 1: Escala de evaluación de severidad de la infección de M. roreri.
| Grado | Descripción |
| 0 | Ningún síntoma aparente |
| 1 | Pequeños y pocos puntos aceitosos |
| 2 | Puntos aceitosos bien definidos y abundantes, más deformación o madurez irregular |
| 3 | Necrosis sin esporulación |
| 4 | Necrosis más esporulación en un área menor de la cuarta parte de la superficie necrótica |
| 5 | Necrosis más esporulación en un área mayor de la cuarta parte de la superficie necrótica, esto en relación con el porcentaje de tejido de la mazorca afectado externamente |
Para la obtención de los datos la severidad externa de la infección se utilizó la siguiente fórmula:
En el que n = número de mazorcas, E = valor de la escala SE (0-5), y N = número total de mazorcas evaluadas.
Eficiencia del tratamiento. Se determinó la eficiencia de la aplicación de Si hacia M. roreri en el cultivo de cacao mediante la siguiente fórmula propuesta por Abbott (1925).
Donde: E= Eficiencia (%); FIWoS = Porcentaje de incidencia final sin aplicación de Si; FIWS = Porcentaje de incidencia final con aplicación de Si.
Análisis estadístico
Se determinó la normalidad de los datos mediante la prueba de Shapiro-Wilk y la homogeneidad de las varianzas mediante la prueba de Bartlett. Los datos se analizaron mediante análisis de varianza unidireccional (ANOVA) utilizando el sof tware STATISTICA 10.0 (StatSof t, 2011) y se utilizó la prueba de comparación múltiple de media de Fisher (P < 0.05).
Resultados y Discusión
Efecto bioestimulante del Si en el cacao
Los máximos resultados en los indicadores número de mazorca (NM) (24.17), peso fresco de almendra (PFA) (1846.17 g), peso seco de almendra (PSA) (846.17 g) y el peso de 100 almendra (PS 100) se obtuvieron mediante la aplicación de 4.00 kg ha-1 de Si diferenciándose significativamente (P ≤ 0.05) con el resto de los tratamientos. Los menores resultados en las variables evaluadas se obtuvieron con la menor dosis de Si (1.50 kg ha-1). Los tres tratamientos restantes (3, 2 y 1.50 kg ha-1 Si) fueron superiores al tratamiento control en las variables NM, PFA, PSA y PS 100. Los resultados obtenidos demuestran una correlación positiva entre la aplicación de Si y el incremento de las variables evaluadas (Cuadro 2).
Table 2: Effect of Si on production indicators of cocoa cultivation.
| Tratamientos | NM | PAF | PAS | PS 100 |
| kg ha-1 | - - - - - - - - - - - - - - g - - - - - - - - - - - - - - - | |||
| T1 (4.00) | 24.17±2.48 a | 1846.17±1.19 a | 846.17±1.19 a | 192.17±1.72 a |
| T2 (3.00) | 18.83±2.32 b | 1795.83±2.08 b | 795.83±1.08 b | 180.83±1.47 b |
| T3 (2.00) | 18.17±0.75 bc | 1767.67±1.98 b | 767.67±1.98 c | 179.67±1.03 b |
| T4 (1.50) | 16.33±1.63 c | 1726.33±1.88 d | 726.33±1.88 d | 172.17±1.17 c |
| T5 (Control) | 13.33±1.97 d | 1634.17±2.43 e | 610.83±1.77 e | 163.33±1.21 d |
NH = número mazorca; PFA = peso fresco de almendra; PSA = peso seco de almendra; PS 100 = peso seco de 100 almendra. Medias con letras iguales en las columnas no difieren significativamente según Fisher (P ≤ 0.05), ± Desviación estándar.
NH = healthy ear number; PFA = almond fresh weight; PSA = almond dry weight; PS 100 = dry weight of 100 almonds. Means with the same letters in the columns do not differ significantly according to Fisher (P ≤ 0.05). ± Standard deviation.
Los efectos beneficiosos del Si están relacionados con efectos indirectos. El Si mejora los componentes de producción de los cultivos al aumentar la actividad fotosintética y activar los mecanismos naturales de defensa de las plantas contra la infección de fitopatógenos (Muneer, Park, Kim y Jeong, 2017).
El Si puede afectar positivamente la translocación de nutrientes en las plantas activando las H+-ATPasas en la membrana, ayuda en la división celular, una mayor absorción de nutrientes y agua, incrementando los indicadores de producción (Buchelt et al., 2020). También, se ha demostrado que incrementa la estructura del cloroplasto y el contenido de clorofila y, por tanto, mejora la actividad fotosintética de las plantas (Pavlovic, Kostic, Bosnic, Kirkby y Nikolic, 2021).
El Si puede mejorar la división celular, absorción de nutrientes y la eficiencia en el uso del agua (Zhu y Gong, 2014). También, mejora del estado hídrico de la planta, debido a la formación de una doble capa de cutícula de sílice bajo la epidermis de la hoja, lo que reduce las pérdidas de agua a través de la transpiración cuticular (Gong, Chen, Chen, Wang y Zhang, 2003). Un estado hídrico mejorado asegura un suministro constante de agua durante etapas cruciales del desarrollo, como la floración y el cuajado de frutas, favoreciendo la formación de un mayor número de mazorcas. Además, su influencia positiva en la actividad fotosintética y la translocación de metabolitos puede tener efectos directos en el aumento de las variables de producción, como el número y tamaño de los frutos (Lalithya, Bhagya y Choudhary, 2014).
El aumento en el número y peso de los frutos podría atribuirse al efecto beneficioso del Si en la planta, como la mejora de la arquitectura al mostrar hojas más erectas, que interceptan mayor luminosidad solar aumentando la eficiencia de la fotosíntesis y mayor contenido de clorofila (Vijayan, Sriramachandrasekharan, Manivannan y Shakila, 2021).
Actualmente, hay información limitada sobre la aplicación de Si como bioestimulante en los cultivos de árboles frutales. En el cultivo de zapote (Manilkara zapota L.), se observó que la aplicación de Si ayudó a mejorar las características de los frutos como el peso del fruto (Lalithya et al., 2014), resultados similares a los reportados en este trabajo, pero con el peso de las almendras. La aplicación de Si en el cultivo de café (Cof fea arabica L.) aumentó el número y porcentaje de frutos maduros (Parecido, Soratto, Perdoná y Gitari, 2022). También, en el cultivo de tomate (Solanum lycopersicum L.) el Si aumentó los componentes de producción como el número de frutos, longitud del fruto y rendimiento en comparación con el tratamiento control, resultados en correspondencia a los reportados en este trabajo (Reyes-Pérez et al., 2023).
Efecto del Si en el rendimiento del cultivo del cacao
El rendimiento del cultivo de cacao se vio directamente afectado por la aplicación de diferentes dosis de silicio (Si). Los tratamientos experimentales exhibieron rendimientos que oscilaron entre 1 y 2.23 Mg ha-¹. Se destacó un rendimiento máximo (P ≤ 0.05) en los frutos de cacao cuando se aplicaron 4.00 kg ha-¹ de Si, alcanzando un valor de 2.23 Mg ha-¹, evidenciando diferencias significativas (P ≤ 0.05) con respecto a los demás tratamientos. Aunque los tratamientos 3.00 y 2.00 kg ha-¹no presentaron diferencias significativas entre sí (P ≥ 0.05), sí exhibieron diferencias respecto al tratamiento control. Estos resultados refuerzan la influencia positiva de la aplicación de silicio en el aumento de los rendimientos de frutos, con implicaciones importantes para la optimización de la producción de cacao (Figura 1).
El incremento de los rendimientos agrícolas alcanzados en esta investigación mediante la aplicación de dosis crecientes de Si puede estar relacionado a su relación con la regulación del metabolismo, actividad fisiológica, bioquímica y antioxidante en las plantas (Liang et al., 2015). El mayor rendimiento de frutos también podría deberse a una mejor disponibilidad de nutrientes en el suelo para una mayor absorción, al aumento de la capacidad fotosintética y la disminución de la tasa de transpiración (Greger et al., 2018; Cázarez-Flores et al., 2022). La aplicación de Si es beneficiosa para el rendimiento y la calidad de la fruta, porque previene el estrés oxidativo y el pardeamiento fenólico de la fruta (Yamaji, Chiba, Mitani y Feng, 2012). Además, el Si aumenta la disponibilidad de Ca y Mg intercambiables y P, nutrientes esenciales para el desarrollo de las plantas (Korndörfer, Pereira y Camargo, 2002). Fiori (20061) informó que el aumento en el rendimiento de frutos se debe al aumento en el número y tamaño de los frutos, lo que se atribuye al aumento en la disponibilidad de Si en el suelo. Se ha demostrado que el Si aumenta el rendimiento del banano, mediante un análisis de regresión se demostró que el incremento del rendimiento se debió al silicio disponible, al contenido de silicio y a la absorción (Vijayan et al., 2021). También, Lalithya et al. (2014) reportaron el mayor rendimiento de frutos de zapote con aspersión foliar de Si respecto al tratamiento control. La aplicación de ácido silícico incremento el rendimiento en el cultivo de mango (Mangifera indica L.) (More, Gokhale, Shinde y Korake, 2015), estos resultados son similares a los obtenidos en este trabajo, donde la aplicación de Si logró incrementar el rendimiento en el cultivo de cacao.
En maíz (Zea mays L.) se incrementó el rendimiento del cultivo con la aplicación de Si, resultados en correspondencia con los obtenidos en este trabajo, donde la aplicación de Si incrementó el rendimiento respecto al tratamiento control (Antúnez-Ocampo, Sabino, Hernández y Espinosa, 2023). Jarosz (2014) obtuvo un aumento significativo en el rendimiento del cultivo de tomate fertilizado con una solución nutritiva enriquecida con Si respecto al tratamiento control, resultados en correspondencia a los obtenidos en este experimento donde la aplicación de Si incrementó los rendimientos respecto al tratamiento sin aplicación (control).
Incidencia de M. roreri en el cultivo de cacao con aplicación de Si
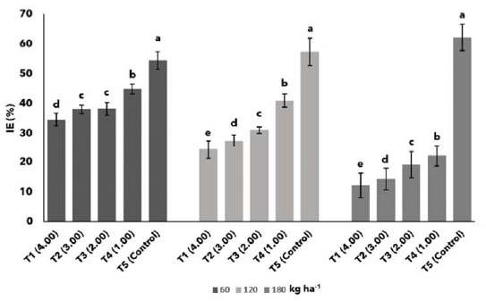
El tratamiento control (sin aplicación de Si) presentó el mayor porcentaje de incidencia de la enfermedad (IE) a los 60, 120 y 180 días. Los menores resultados de la IE se obtuvieron con el tratamiento 4.00 kg ha-1, obteniéndose a los 60, 120 y 180 días valores de 34.51, 24.22 y 12.13% respectivamente, mostrando diferencias significativas (P ≤ 0.05) con el resto de los tratamientos de Si. El tratamiento 1.50 kg ha-1 de Si presentó la mayor IE a los 60, 120 y 180 días, sin embargo, mostró diferencias significativas (P ≤ 0.05) con el tratamiento control (Figura 2).
Figura 2: Incidencia de la enfermedad a los 60, 120 y 180 días con aplicación de Si. Medias con letras iguales en las columnas no difieren significativamente según Fisher (P ≤ 0.05). ± Desviación estándar. T1 = 4.00 kg ha-1; T2 = 3.00 kg ha-1; T3 = 2.00 kg ha-1; T4 = 1.50 kg ha-1; T5 = Control (sin aplicación).

Figure 2: Incidence of the disease at 60, 120 and 180 days with Si application. Means with the same letters in the columns do not differ significantly according to Fisher (P ≤ 0.05). ± Standard deviation. T1 = 4.00 kg ha-1; T2 = 3.00 kg ha-1; T3 = 2.00 kg ha-1; T4 = 1.50 kg ha-1; T5 = control (without application).
En la actualidad se han realizado estudios del empleo del Si en la agricultura, debido a los beneficios que ha mostrado en la inducción de respuesta de defensa de las plantas como la producción de enzimas antimicrobianas y proteínas relacionadas con la patogenicidad, haciendo más resistente a las plantas al ataque de los fitopatógenos y reduciendo la incidencia de las enfermedades (Kang et al., 2023; Riseh, Vatankhah, Hassanisaadi y Kennedy, 2023). La acumulación de Si en la pared celular de la planta huésped forma una doble capa de sílice que dificulta la penetración de fitopatógenos, reduciendo así la incidencia de enfermedades (Rajput et al., 2021). Se ha señalado que el Si incrementa el crecimiento, desarrollo y respuesta positiva de las plantas a diferentes tipos de estrés (Zhang et al., 2019).
También, el Si mejora la rigidez de las paredes celulares, aumenta la capa de corteza, impidiendo la propagación de estructuras fitopatógenas, mejorando así la capacidad de defensa contra insectos, hongos, podredumbres y enfermedades bacterianas (Bakhat et al., 2018; Albalawi et al., 2022).
Estudios realizados han confirmado el potencial de la aplicación de Si para aumentar la resistencia a los fitopatógenos. Según Bekker, Labuschagne, Aveling y Kaiser (2007) la aplicación de Si soluble (silicato de potasio) aplicado al suelo, inhibió el 100% del crecimiento del fitopatógeno Phytoptora cinnamomi en aguacate (Persea americana M.), además, las plantas tratadas con Si tuvieron raíces y copas más vigorosas. Los resultados de estudios previos, como los realizados en plántulas de cacao inoculadas con Moniliphthora perniciosa, respaldan la eficacia de la aplicación de Si al aumentar las actividades de enzimas de defensas (peroxidasa, quitinasa y polifenoloxidasa) en las plantas, contribuyendo a la reducción de la enfermedad ocasionada por M. perniciosa (Fantinato et al., 2018), resultados en correspondencia a los obtenidos en este trabajo, donde la aplicación de Si redujo la incidencia de la enfermedad.
La aplicación de Si presentó efecto de biocontrol hacia Burkholderia glumae, reduciendo la incidencia de la enfermedad y promoviendo el crecimiento de las plantas (Kang et al., 2023). También se observó que la aplicación de Si redujo la infección de Magnaporthe oryzae en el cultivo del arroz (Oryza sativa L.) (Brunings et al., 2009). En el cultivo de café la aplicación de Si disminuyó el número de lesiones ocasionada por la roya en un 66% con la dosis más alta de silicio en comparación con el número de lesiones en las plantas de control (Martinati, Harakava, Guzzo y Tsai, 2008).
Además, se ha reportado que la utilización de compuestos de origen mineral y orgánico en el control de fitopatógenos tiene varios beneficios, como: baja toxicidad, bajo costo y no contaminan el medio ambiente (Ochoa-Fonseca, Ramírez, López, Moreno y Espinosa, 2015).
Severidad de moniliasis en las mazorcas de cacao con aplicación de Si
Los menores resultados en la severidad de moniliasis (SE) se obtuvieron con el tratamiento T1 (4.00 kg ha-1). A los 60 días el tratamiento 4.00 kg ha-1 no mostró diferencias significativas (P ≥ 0.05) con el tratamiento T2 (3.00 kg ha-1) y si con el resto de los tratamientos (P ≤ 0.05). A los 120 días el tratamiento 4.00 kg ha-1 presentó una SE de 1.75 presentando el menor daño ocasionado por M. roreri, mostrando diferencias significativas (P ≤ 0.05) con el resto de los tratamientos. A los 180 días el tratamiento 4.00 kg ha-1 no presentó diferencias significativas (P ≥ 0.05) con el tratamiento 3.00 kg ha-1 y si con el resto de los tratamientos. Los valores de SE más alto a los 60, 120 y 180 días con la aplicación de Si se obtuvieron con el tratamiento 1.50 kg ha-1 (Cuadro 3).
Cuadro 3: Severidad de M. roreri en las mazorcas de cacao 60, 120 y 180 días (DD) con la aplicación de Si.
Table 3: M. roreri severity in cocoa pods at 60, 120 and 180 days (DD) with the application of Si.
| Tratamientos | Severidad externa | ||
| kg ha-1 | 60 DD | 120 DD | 180 DD |
| T1 (4.00) | 1.50±1.08 c | 1.75±0.35 c | 2.00±0.59 d |
| T2 (3.00) | 1.75±1.23 c | 2.50±1.17 b | 2.50±0.11 cd |
| T3 (2.00) | 2.50±0.18 b | 2.75±0.82 b | 3.00±1.23 bc |
| T4 (1.50) | 2.75±1.46 b | 3.00b ±1.18 b | 3.50±0.37 b |
| T5 (Control) | 3.55±0.12 a | 3.75±1.30 a | 4.50±1.15 a |
Medias con letras iguales en las columnas no difieren significativamente según Fisher (P ≤ 0.05). ± Desviación estándar.
Means with the same letters in the columns do not differ significantly according to Fisher (P ≤ 0.05). ± Standard deviation.
La mayor parte de los suelos contiene menos de la mitad del Si requerido (Tubaña y Heckman, 2015). Las plantas que crecen con carencia de Si son más susceptibles a plagas, estrés, toxicidad por metales pesados y tienen un desarrollo débil (Raya-Pérez y Aguirre, 2012). El Si participa en el sistema de interacción entre plantas y fitopatógenos, al activar respuestas de defensa del huésped, como la producción de enzimas antimicrobianas, fenólicos, flavonoides, fitoalexinas y proteínas relacionadas con la patogenicidad (Gulzar et al., 2021; Rajput et al., 2021).
El Si refuerza la pared celular de las plantas reduciendo la penetración e infección de los fitopatógenos (Pozza, Pozza y Botelho, 2015). La aplicación foliar de Si aumentó la prevención del mildiú polvoroso (Podosphaera fuliginea) en Vitis vinifera, Cucumis sativus y Cucumis melo (Gatarayiha, Laing y Miller, 2010; Sakr, 2016). La aplicación de Si en A. thaliana aumentó la síntesis de callosa, mejorando la resistencia a los fitopatógenos (Brugiére y Exley, 2017). La aplicación de Si en el cultivo de arroz, redujo la severidad de la mancha marrón, causada por Bipolaris oryzae y la decoloración del grano (Prabhu et al., 2012)., resultados en correspondencia a los reportados en este trabajo.
También, autores como Resende, Rodrigues, Gomes y Nascimento (2013)) demostraron que la aplicación de Si en sorgo redujo la severidad de antracnosis (Colletotrichum sublineolum) alrededor del 20%, resultados en correspondencia a los obtenidos en este trabajo.
Respecto a la eficiencia de diferentes tratamientos de Si para el control de M. roreri, los resultados obtenidos revelaron diferencias en la efectividad de cada tratamiento. Se observó que el tratamiento T1, con una concentración de 4.00 kg ha-1 de Si, alcanzó una eficiencia significativamente superior de 80.47% en comparación con los demás tratamientos. Le siguió la dosis de 3.00 kg ha-1 con 76.97%, 2 kg ha-1 con 69.26% y 1 kg ha-1 presentó la eficiencia más baja con 64.48%. Estas cifras ofrecen una clara indicación de que la dosis de 4.00 kg ha-1 exhibió la mayor eficacia en el control de M. roreri, subrayando la importancia de la concentración de Si como un factor determinante en la gestión de esta enfermedad en los cultivos (Figura 3).
Aunque varias plantas no requieren Si, el Si se absorbe como ácido monosilícico soluble, lo que da como resultado el fortalecimiento de la pared celular, aumentando la resistencia a estreses abióticos y bióticos en muchos cultivos (Bist et al., 2020; Vishwakarma et al., 2020; Raturi et al., 2021).
El Si presente en los tejidos de la planta atrae a los depredadores y parasitoides naturales durante la infestación de plagas para impulsar el biocontrol (Verma et al., 2021). El Si puede ayudar a las plantas a resistir la invasión de fitopatógenos a través de defensas estructurales (Rodrigues y Datnof f, 2015). Además, induce respuestas de defensa en las plantas, como la producción de compuestos antimicrobianos (Chen et al., 2015; Vivancos, Labbé, Menzies y Bélanger, 2015; Gulzar et al., 2021).
Conclusiones
En este estudio sobre el cultivo de cacao, se evaluó el impacto de la aplicación de silicio (Si) en diversos indicadores de producción y en la incidencia y la severidad de la moniliasis ocasionada por el fitopatógeno M. roreri. Los resultados indican que la aplicación de Si, especialmente a una dosis de 4.00 kg ha-¹, mejoró significativamente el número de mazorca, los rendimientos de frutos y la eficiencia en el control biológico de la moniliasis causada por M. roreri. Además, todos los tratamientos de Si fueron superiores al tratamiento control (sin aplicación de Si), respecto al incremento del rendimiento y en la reducción de la incidencia y la severidad de M. roreri. La investigación respalda la conexión positiva entre el Si y la productividad del cacao, subrayando su papel en fortalecer las defensas de las plantas. La aplicación de Si en el cultivo de cacao puede ser una opción como bioestimulante y agente de control biológico de Moniliophthora roreri.
Contribución de los Autores
Investigación, conceptualización, validación, administración del proyecto, adquisición de fondo: J.J.R.P. Escritura: revisión y edición: J.A.T.R. y T.R.G. Investigación, metodología: J.J.R.P. y R.A.R.R. Escritura: preparación del borrador original, escritura: revisión y edición: J.A.T.R. y T.R.G. Curación de datos, análisis de datos: J.J.R.P. y E.F.Q.L. Escritura, revisión, análisis formal: J.J.R.P., R.A.R.R. y E.F.Q.L.










nueva página del texto (beta)





