Introducción
En el 2018 la producción mundial de pimentón (Capsicum annuum L.) fue de aproximadamente 36 millones de toneladas, con rendimiento promedio de 30 Mg ha-1. Los principales productores fueron China, México, Turquía, Indonesia y España, quienes concentraron el 76% de la producción. Colombia, ocupa el lugar 68 y aporta menos del 1% (FAO, 2020); en el año 2019, los departamentos con más producción de pimentón fueron Antioquia con 29 942 t y rendimiento de 24.3 Mg ha-1, seguido de Cundinamarca con 1992 t y 10.8 Mg ha1 (AGRONET, 2020).
El pimentón pertenece a la familia Solanaceae, se cultiva de 0 a 3000 m de altitud (Angmo, Dolkar, Norbu, Kumar y Stobdan, 2018). La mayoría de los chiles cultivados pertenecen a la especie C. annuum L., que incluye al pimentón, pimiento y chile (Barchenger y Bosland, 2019). Los frutos son importantes en la dieta de los aborígenes cuyo uso depende de la variedad. Actualmente, es consumido por la población mundial por sus múltiples usos como verdura, colorante, especia y en la medicina alternativa, para tratar enfermedades como: artritis reumatoide, dolores de cabeza y neuropáticos por su contenido de carotenoides, vitamina A, antioxidantes y capsaicina (Angmo et al., 2018; Barchenger y Bosland, 2019).
Los cultivares de pimentón dulce que se siembran en Colombia, se caracterizan por tener frutos de tamaño grande, con alto contenido de capsaicina. El tipo Lamuyo produce frutos alargados de 14 a 16 centimetros de longitud y de 6 a 8 cm de diámetro, con pulpa gruesa, mientras que el tipo California, Bloque o Cuadrado tienen un tamaño de 7 a 10 cm y de 6 a 9 cm, respectivamente; se diferencian del Lamuyo por tener cuatro hombros definidos (Casilimas et al., 2012).
Uno de los problemas que afecta la agricultura de Colombia es la ausencia de material vegetal certificado para las zonas productoras y la falta de programas de mejoramiento genético. Lo que ha ocasionado que las compañías semilleras importen, de manera indiscriminada, cultivares no aptos para las condiciones del país. Esta situación ha provocado que los agricultores sigan estableciendo materiales de bajo potencial agronómico y económico; mientras que, los cultivares locales con características sobresalientes, no se cultivan (Kwatei et al., 2014).
Se requieren de cultivares de pimentón de alta productividad, estabilidad genética y amplia adaptación a diversas condiciones ambientales. En ese sentido, se han realizado investigaciones enfocadas a estudiar la capacidad productiva y adaptativa de los cultivares en regiones potenciales para su producción. Al respecto, en El Salvador Linares (2004) evaluó, en campo abierto, cuatro cultivares, tres tipo Lamuyo (Nathalie, Lido, Quetzal) y uno tipo Bloque (Tikal) y encontró que los pimentones tipo Lamuyo presentaron el mejor rendimiento promedio, con 24.1 Mg ha-1, en 16 cosechas realizadas. Por el contrario, en Monagas Venezuela, Montaño y Belisario (2012) evaluaron los cultivares Cacique (tipo Lamuyo), Esmeralo y Prima donna (tipo Bloque), donde encontraron que los pimentones tipo bloque presentaron el mayor rendimiento (12.4 Mg ha-1), con frutos de 9.2 y 6.7 cm de longitud y diámetro respectivamente.
Dado el desconocimiento del comportamiento agronómico de los híbridos de pimentón comercializados en las zonas productivas del país, sembrados tanto en campo abierto como en condiciones protegidas con ventilación natural, se planteó el siguiente objetivo: evaluar el comportamiento agronómico de cuatro cultivares de pimentón (BG2, Cuadrado rojo, Cacique y Nathalie) producidos en tres ambientes: campo abierto en el 2014 y protegido en dos ciclos (2013 y 2014); en la zona productora de Rionegro, Antioquia, Colombia. Como hipótesis se planteó que: la interacción de los genotipos con los ambientes donde se desarrollan los híbridos importados de pimentón puede afectar su comportamiento agronómico.
Materiales y Métodos
Los experimentos se realizaron en el Centro de Investigación (C.I.) La Selva de AGROSAVIA localizado en el municipio de Rionegro (Antioquia, Colombia), a 06° 08’ 06’’ N, 75° 25’ 03’’ O y 2120 m de altitud. La temperatura media anual fue de 14 ºC, precipitación de 1917 mm, humedad relativa de 78%, brillo solar de 1726 h año-1 y la evapotranspiración de 1202 mm.
Tratamientos, siembra y trasplante
Los experimentos se establecieron en tres condiciones ambientales: las dos primeras fue en un ambiente protegido, con dos ciclos productivos; el primero entre agosto-2013 y mayo-2014 (protegido-2013) y el segundo ciclo entre julio-2014 y abril-2015 (protegido-2014), en una estructura tipo doble capilla, con techo plástico y ventilación natural (Orozco y Lozano, 2022). La tercera condición ambiental fue a libre exposición o campo abierto (abierto-2014) y se realizó solo en el segundo ciclo.
Para conformar los cuatro tratamientos, se trabajó con los cultivares tipo Cuadrado: BG2 (accesión del banco de germoplasma vegetal con código BP-017 ILS 2682) y cuadrado Asti Rojo (C-rojo) junto con dos del tipo Lamuyo: Nathalie y Cacique. Inicialmente fueron sembrados en bandejas de 23 alvéolos, con sustrato compuesto por suelo, turba y arena en proporción 3:1:1. El trasplante se realizó a los 43 y 36 días después de siembra (d.d.s.) para el primer y segundo ciclo respectivamente. El establecimiento temprano de las plántulas, en su sitio definitivo, favoreció su adaptación, al disminuirse el estrés causado por esta práctica agronómica.
Manejo agronómico del cultivo
Los surcos y calles se cubrieron con acolchado plástico bicolor tipo plata/negro, residuos de malezas y cosechas anteriores, con el fin de evitar el crecimiento de arvenses y conservar la humedad del suelo. Se aplicó riego por goteo con base en el requerimiento del cultivo. Los goteros fueron establecidos cada 20 cm y flujo promedio de 1.2 L h-1. La lámina de riego se calculó usando la evapotranspiración de referencia con la ecuación de Penman - Monteith, empleando el programa CROPWAT 8.0 (Allen, Pereira, Raes y Smith, 2006); con eficiencia del 90%. Las plantas se tutoraron en doble espaldera y se podaron a tres tallos (Orozco y Lozano, 2022; Álvarez y Pino, 2018).
El análisis químico de suelos no mostró contenidos de aluminio, e indicó bajos niveles de Mg (1.5 cmol kg-1) y K (0.1 cmol kg-1) en protegido-2014 y de Mn (3.4 mg kg-1 promedio) en los tres ambientes. El resto de los nutrientes (N, P, Ca, Fe, B, Zn, Fe, S, Cu y la CICE) presentaron niveles entre medio y alto, sin generar deficiencias. La textura por el método organoléptico fue limosa, con alto contenido de materia orgánica (17.9%). No fue necesario aplicar enmiendas como cal y materia orgánica. El pH fue de 6.0 promedio (moderadamente ácido), sin presentar limitaciones a los cultivares en la absorción de nutrientes (ICA, 1992). Los cálculos de la necesidad de fertilización (NF), basados en las fuentes recomendadas, su eficiencia, dosis y frecuencias se efectuaron con base en lo descrito por Orozco y Lozano (2022) y Lozano, Orozco y Montoya (2018), quienes evaluaron cultivares de pimentón con diferentes podas y niveles de fertilización en campo abierto y bajo condiciones protegidas con ventilación natural.
Variables evaluadas
Se realizaron 13 cosechas de frutos de pimentón, iniciando a los 127 días después de trasplante (ddt) promedio en los dos ciclos. Se determinó el número de frutos mediante el conteo por planta. La longitud y el diámetro ecuatorial de los frutos fue expresado en cm y se midió con un vernier digital REALTHE-Mechanies. El peso fresco de frutos por planta en gramos (g) se cuantificó en una balanza analítica Fenix-plus, marca Lexus y el rendimiento total se expresó en Mg ha-1. Los frutos se clasificaron en las categorías: extra (mayor a 160 g), primera (entre 120-159 g), segunda (entre 70-119 g), tercera (menor a 70 g), descarte y comercial (suma de todas las categorías sin incluir los descartes) según la Norma Técnica Colombiana 3634-1 (ICONTEC, 2001) y la Norma Standard FFV-28 (UNECE, 2017). Semanalmente se evaluó la incidencia de plagas y enfermedades con la metodología descrita por Orozco y Lozano (2022).
Diseño y análisis estadístico
Para los dos ciclos de producción y en los diferentes ambientes, los cultivares se establecieron en un diseño de bloques completos al azar, empleando como criterio de bloqueo el largo de la cubierta plástica, los surcos y la dirección de las cintas de goteo, por su diferencial de temperatura y humedad. La unidad experimental (U E) fue de 9.6 m2, la distancia de siembra de 1.2 m entre surcos y 0.4 m entre plantas, para una densidad de 2 plantas m-2. Solo varió el número de repeticiones que para el primer ciclo fue de cinco y para el segundo de tres. En el primer ciclo se establecieron los cuatro cultivares bajo el ambiente protegido, con cinco repeticiones, para un total de 20 U E. Para el segundo ciclo se sembraron los cuatro cultivares tanto en la condición protegida como a campo abierto, con tres repeticiones, para un total de 24 U E (12 por ambiente).
El manejo de los datos se realizó con el método de análisis de experimentos múltiples o multilocaciones, aplicado a ensayos desarrollados en espacios y tiempos diferentes (Gomez y Gomez, 1984). Se definió por localidad el factorial entre ambiente y los ciclos de establecimiento según la metodología de Romaina (2012) y Moore y Dixon (2015). Para la prueba de separación de medias, se empleó Tukey con α = 0.05 para los ambientes y el ajuste Tukey-Kramer en la interacción ambiente por cultivar.
En las variables de rendimiento acumulado e incidencias de plagas y enfermedades se utilizó el análisis de varianza de medidas repetidas, con pruebas de separación de medias de Bonferroni. La adaptabilidad y estabilidad de los cultivares se determinó con la metodología de Zobel, Wright y Gauch (1988), implementando el análisis de efectos aditivos principales e interacciones multiplicativas (AMMI) con el algoritmo de Vargas y Crossa (2000). El análisis estadístico de los datos se realizó con el programa Statical Analysis Software SAS versión 9.4 (SAS, 2018).
Resultados y Discusión
Características climáticas de los ambientes
Bajo la condición protegida se registraron los mayores valores y fluctuaciones de temperatura. A libre exposición en 2013 fue de 17.1 °C, con un máximo de 21.9 y mínimo de 13 °C, que fueron superados por el ambiente protegido-2013 con una media de 20.5 °C, máxima de 31.1 y mínima de 13.5 °C. En abierto-2014 la temperatura promedio fue de 17.2 °C, con máximo y mínimo de 22.2 y 12.5 °C respectivamente, superados por protegido-2014 con valores medios de 19.6 °C, máximos de 36.0 y mínimo de 11.1 (Figuras 1A y C). La humedad relativa promedio a libre exposición en 2013 fue de 79.4% y en protegido-2013 de 77.3%, mientras que en el 2014 fue de 77.5 y 75.3%, respectivamente, siendo los ambientes protegidos más secos en 1.9 y 2.0 % respecto a los valores medios obtenidos en campo abierto (Figura 1B y C).
Figura 1: Comportamiento de las variables climáticas de los ambientes en los cuales se establecieron los ensayos de pimentón. Tem = Temperatura. Temperatura y brillo solar promedio mensual en el ambiente abierto (A). Humedad relativa y precipitación promedio mensual en abierto (B). Temperatura y humedad relativa promedio mensual en protegido (C). Fuente: Condiciones abiertas: IDEAM, estación meteorológica aeropuerto José María Córdoba, Rionegro (Antioquia), condiciones protegidas: datos medidos con Thermohigrómetros USB/Data logger, modelo CM-DT171.

Figure 1: Behavior of environmental climate variables in which the bell peppers trials were established. Tem = Temperature. Monthly average temperature and sunshine in the open environment (A). Monthly average relative humidity and precipitation in open field (B). Monthly average temperature and relative humidity in protected field (C). Source: Open conditions: IDEAM, José María Córdoba airport weather station, Rionegro (Antioquia), protected conditions: data measured with USB Thermohygrometers/Data logger, model CM-DT171.
El mayor número promedio de horas día-1 de brillo solar se presentó al principio y final del primer ciclo (agosto 2013 y abril 2014), mientras que, en el segundo ciclo, se presentó al inicio (julio-septiembre 2014) y mitad (diciembre 2014 y enero 2015); contrarios a los meses de mayor precipitación y nubosidad (Figura 1A y B). Para el primer ciclo las menores precipitaciones mensuales se presentaron entre enero-febrero 2014 y para el segundo entre diciembre 2014 y enero de 2015, con mínimas en enero para ambos ciclos. La mayor precipitación en el primer ciclo se presentó de agosto-noviembre 2013 y mayo 2014; mientras que, en el segundo fue de agosto-octubre 2014 y febrero 2015 (Figura 1B). Estos factores climáticos junto con la caracterización química de los suelos y el comportamiento de las plagas y las enfermedades, durante los ciclos del cultivo, permitieron determinar las variables contrastantes de los ambientes y su relación con el comportamiento agronómico de los cultivares.
Análisis descriptivo del rendimiento de pimentón
Los datos de rendimiento y número de frutos por planta presentaron una relación directamente proporcional (Pearson r > 0.8, P ≤ 0.05) y cumplieron con los supuestos de normalidad (Shapiro-Wilk, α = 0.05), homogeneidad de varianzas (test de Levene) e independencia de los residuos (D de Durbin-Watson), requeridos para el análisis de estadística paramétrica (P > 0.05).
La categoría tercera presentó la mayor variabilidad (C. V. = 109 y 111%) para el rendimiento y número de frutos, respectivamente; seguido de los descartes y las segundas. Mientras que los menores C.V. se presentaron en los frutos totales y comerciales. En el ANDEVA, el factor Ambiente solo presentó diferencias estadísticas significativas en el peso fresco del descarte con valores promedios en protegida-2014 de 1.2 Mg ha-1, protegida-2013 y abierto-2014 de 3.5 Mg ha-1 y en el número de frutos total; con el valor más alto en protegido-2013 de 8 frutos planta-1, seguido de abierto-2014 (P ≤ 0.05). El factor Cultivar presentó diferencias en todas las categorías; mientras que, la interacción Cultivar × Ambiente fue significativa en el número y peso fresco de frutos de las categorías total, comercial y extra (Cuadros 1 y 2).
Cuadro 1: Estadística descriptiva para variables del rendimiento de frutos frescos de pimentón, cultivados en tres ambientes y con poda a tres tallos.
Table 1: Descriptive statistics for fresh fruit yield variables of bell peppers grown in three types of environments and pruned to three stems.
| Pruebas | Rendimiento | ||||
| Total | Comercial | Extra | Primera | Descarte | |
| - - - - - - - - - - - - - - - - - - - - - - - - Mg ha-1 - - - - - - - - - - - - - - - - - - - - - - - | |||||
| - Coeficiente de variación | 15.2 | 16.6 | 27.1 | 44.8 | 71 |
| - Número de datos | 44 | 44 | 44 | 44 | 44 |
| - Normalidad (Shapiro-Wilk, α = 0.05, Pr ≤ W).† | 0.5 | 0.74 | 0.39 | 0.49 | 0.42 |
| - Homogeneidad de varianzas (Levene, α=0.05).‡ | 0.69 | 0.9 | 0.07 | 0.67 | 0.24 |
| - Independencia de los residuos (D de Durbin-Watson cercano a dos -2.0-). | 2.2 | 2.8 | 2.9 | 2.5 | 2.2 |
| - Prueba paramétrica: Medias de mínimos cuadrados para el efecto Ambiente del análisis de varianza (ANDEVA, α = 0.05, Pr > F). | 0.06 NS | 0.08 NS | 0.202 NS | 0.81 NS | 0.044* |
| - Prueba paramétrica: Medias de mínimos cuadrados para el efecto Cultivar del ANDEVA (α = 0.05, Pr > F). | ≤0.05*** | ≤0.05*** | ≤0.05*** | 0.002** | ≤0.05*** |
| - Prueba paramétrica: Medias de mínimos cuadrados para la interacción Ambiente x Cultivar del ANDEVA (α = 0.05, Pr > F). | ≤0.05** | 0.003** | 0.007** | 0.87 NS | 0.41 NS |
†. Calculado con base en los residuos; ‡. Calculado con base en el valor absoluto de los residuos; * = P ≤ 0.05; ** = P ≤ 0.01 y *** = P ≤ 0.001; NS = no significativo.
†. Calculated based on residuals; ‡. Calculated based on the absolute value of the residuals; * = P ≤ 0.05; ** = P ≤ 0.01 and *** = P ≤ 0.001; NS = not significant.
Cuadro 2: Estadística descriptiva para categorías del número de frutos frescos de pimentón por planta, creciendo bajo tres ambientes y con podas a tres tallos.
Table 2: Descriptive statistics for categories of number of fresh bell peppers fruits per plant, grown under three environments and pruned to three stems.
| Pruebas | Número de frutos por planta | ||||
| Total | Comercial | Extra | Primera | Descarte | |
| - - - - - - - - - - - - - - - - - - - - - No./planta - - - - - - - - - - - - - - - - - - - | |||||
| - Coeficiente de variación | 11.4 | 15.6 | 24.5 | 46.2 | 56.8 |
| - Número de datos | 44 | 44 | 44 | 44 | 44 |
| - Normalidad (Shapiro-Wilk, α = 0.05, Pr ≤ W).† | 0.58 | 0.26 | 0.78 | 0.64 | 0.08 |
| - Homogeneidad de varianzas (Levene, α = 0.05).‡ | 0.63 | 0.61 | 0.14 | 0.53 | 0.051 |
| - Independencia de los residuos (D de Durbin-Watson cercano a 2.0). | 2.3 | 2.8 | 3.0 | 2.6 | 2.7 |
| - Prueba paramétrica: Medias de mínimos cuadrados para el efecto Ambiente del ANDEVA (α = 0.05, Pr > F). | 0.04* | 0.16 NS | 0.37 NS | 0.94 NS | 0.081 NS |
| - Prueba paramétrica: Medias de mínimos cuadrados para el efecto Cultivar del ANDEVA (α = 0.05, Pr > F). | ≤0.05*** | ≤0.05*** | ≤0.05*** | 0.002** | ≤0.05*** |
| - Prueba paramétrica: Medias de mínimos cuadrados para el efecto de la interación Ambiente x Cultivar del ANDEVA (α = 0.05, Pr > F). | 0.01* | 0.047* | 0.005** | >0.05 NS | 0.22 NS |
† Calculado con base en los residuos; ‡ Calculado con base en el valor absoluto de los residuos. * = P ≤ 0.05; ** = P ≤ 0.01 y *** = P ≤ 0.001; NS = no significativo.
† Calculated based on residuals; ‡ Calculated based on the absolute value of the residuals. * = P ≤ 0.05; ** = P ≤ 0.01 y *** = P ≤ 0.001; NS = not significant.
Cacique
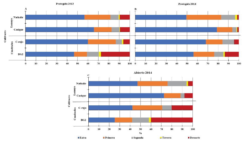
Este material fue el más rendidor en abierto-2014, con un total de 33.6 Mg ha-1 y 9 frutos planta-1. El 92% correspondió a frutos comerciales (31 Mg ha-1) con 8 frutos planta-1. En la categoría extra, el rendimiento fue mayor en abierto-2014, con 24.3 Mg ha-1, siendo el 72% del total, con longitud de 12.9 y diámetro de 12.2 cm; sin presentar diferencias entre los ambientes (Figura 2, 3 y 4), (P > 0.05).
Figura 2: Rendimiento fresco por categoría de cuatro cultivares de pimentón, tipo Lamuyo y Cuadrado, cultivados en condiciones protegidas-2013 (A), protegido-2014 (B) y abierto-2014 (C). Letras diferentes en la misma serie, relacionadas con el cultivar, indican diferencias estadísticas significativas (Tukey-Kramer P ≤0 .05). Barras del promedio del error estándar (SE) con n≈4.

Figure 2: Fresh yield by category of four bell pepper cultivars: Lamuyo and Square type, growing under protected field-2013 (A) protected-2014 (B) open-2014 (C) conditions. Different letters in the same series, related to each cultivar, indicate significant statistical differences (Tukey-Kramer P ≤ 0.05). Bars of the average standard error (SE) with n≈4.
Figura 3: Número de frutos por planta por categoría, de cuatro cultivares de pimentón, tipo Lamuyo y Cuadrado, creciendo en condiciones protegidas-2013 (A), protegido-2014 (B) y abierto-2014 (C). Letras diferentes en la misma serie, relacionadas con el cultivar, indican diferencias estadísticas significativas (Tukey-Kramer P ≤ 0.05). Barras del promedio del error estándar (SE) con n≈4.

Figure 3: Number of fruits per plant per category of four bell pepper cultivars, Lamuyo and Square type, grown under protected-2013 (A), protected-2014 (B) open-2014 (C) conditions. Different letters in the same series, related to each cultivar, indicate significant statistical differences (Tukey-Kramer P ≤ 0.05). Bars of the average standard error (SE) with n≈4.
Los frutos de descarte fueron menores, con 1.6%, en protegido-2014 y mayores, con 9.3%, en protegido-2013. El rendimiento de los frutos de primera fue levemente mayor en abierto-2014 (5.4 Mg ha-1), las segundas en protegido-2013 (2.1 Mg ha-1) y las terceras en abierto-2014 (0.20 Mg ha-1). Es importante señalar que estas categorías no presentaron diferencias estadísticas significativas (P > 0.05) entre los ambiente. Sin embargo, para Cacique, la condición de campo abierto representó una ventaja comparativa en el rendimiento y número de frutos total, comercial y extras (Figuras 2 y 4).
Nathalie
En protegido-2013 presentó el mayor rendimiento total (31.8 Mg ha-1) y comercial (31.0 Mg ha-1), con 10 frutos planta-1, seguido de la producción en abierto-2014 (25.8 Mg ha-1 total); sin diferencias con Cacique, pero estadísticamente diferente en el número de frutos bajo esta condición, con respecto a los cultivares BG2 y C-rojo (P ≤ 0.05). En la categoría extra, el mayor rendimiento se obtuvo en protegido-2013 (18.0 Mg ha-1), con frutos de 13.3 y 12.4 cm de longitud y diámetro, representado el 56.6% del total, con 4 frutos planta-1, seguido de la producción en abierto-2014 (12.1 Mg ha-1 y 3 frutos planta-1). El mayor descarte (3.0 Mg ha-1) se encontró en la condición protegido-2013 equivalente a 9.5% (Figuras 2, 3 y 4).
En frutos de primera y tercera (datos sin graficar) no se presentaron diferencias estadísticas significativas (P > 0.05) entre los materiales en los ambientes evaluados. Nathalie obtuvo la mayor cantidad de frutos de primera, con 7.9 Mg ha-1 en protegido-2013 y 7.4 Mg ha-1 en abierto-2014, con un tamaño de fruto de 12.4 a 11.7 cm de longitud y de 6.5 a 5.9 cm de diámetro; representando el 29% de la producción total. Por otro lado, fue el más rendidor en frutos de segunda producidos en abierto-2014, con 4.7 Mg ha-1 y 2 frutos planta-1, representando el 18% del total (Figuras 2, 3 y 4). Resultados similares reportaron Elizondo y Monge (2017) con el hibrido XC-425, tipo Lamuyo, que produjo el mayor número de frutos planta-1, en 20 cosechas realizadas. También, Linares (2004) con Nathalie obtuvo la mejor productividad con 14 frutos planta-1.
BG2
Los resultados mostraron una leve adaptación de los cultivares tipo Cuadrado (BG2 y C-rojo) a la condición protegida, sin ser diferentes a los obtenidos en campo abierto (P > 0.05). En condiciones protegidas se presentó el mayor rendimiento y la menor cantidad de frutos descarte. BG2, produjo 8 frutos planta-1, con rendimiento de 24.2 Mg ha-1, del cual el 78.8% correspondió a frutos comerciales y el 51% a la categoría extra. El rendimiento más bajo se registró en abierto-2014, con 17.5 Mg ha-1 y 7 frutos planta-1 (Figura 3C) y fue donde se alcanzó el mayor porcentaje de frutos descarte con un 40.0% de la producción; mientras que, el menor porcentaje se observó en protegido-2014, con 13.5% (Figuras 2, 3 y 4).
Cuadrado rojo
C-rojo, fue el cultivar de menor rendimiento, su mayor producción se registró en protegido-2013, con 17.4 Mg ha-1 y 5 frutos planta-1. El 93.9% correspondió a frutos comerciales (16.4 Mg ha-1), mientras que, el menor rendimiento se observó en abierto-2014 con 15.0 Mg ha-1 y 5 frutos planta-1, sin presentar diferencias significativas por efecto del ambiente (P > 0.05). En cuanto a frutos extras, el mayor rendimiento del cultivar se presentó en protegido-2014 con 11.7 Mg ha-1 (68.0%) y el mayor porcentaje de frutos descarte (3.0 Mg ha-1) en abierto-2014, que correspondió al 20.1% de la producción total del híbrido (Figuras 2, 3 y 4).
En protegido-2014, se obtuvieron los menores valores de frutos de primera (1 frutos planta-1) con 2.8 Mg ha-1 de rendimiento, mientras que en protegido-2013 se tuvo el menor número de frutos de segunda (0.5 frutos planta-1) con 1.0 Mg ha-1 (Figuras 2 y 3), (P ≤ 0.05).
Estos resultados contrastan con lo reportado por Elizondo y Monge (2017), en dos híbridos tipo Lamuyo y 13 Cuadrados; donde, en ambos tipos, no se presentaron diferencias en el rendimiento de 20 cosechas, en condiciones protegidas, sin podas y con densidad de 2.6 plantas m-2. Se confirma que el rendimiento total de pimentones, con densidades de 1.5 a 4.0 plantas m-2, oscilan entre 13.7 y 171.8 Mg ha-1, y los comerciales de 10.3 a 108.4 Mg ha-1; dependiendo de los ambientes en que se desarrollen, el manejo agronómico y otros factores determinantes como la temperatura, la humedad y la fertilidad de los suelos (Elizondo y Monge, 2017; Lozano et al., 2018 y Orozco y Lozano, 2022). En cuanto a Nathalie cultivado en campo abierto, los rendimientos promedio alcanzados fueron similares a los encontrados por Linares (2004), con la misma densidad de siembra y número de cosechas.
En general los cultivares tipo Lamuyo (Cacique y Nathalie) presentaron los mayores rendimientos en los ambientes evaluados (Figura 2 y 3). Al ser frutos más largos sus rendimientos fueron superiores, coincidiendo con los resultados de Dhaliwal, Garg, Jindal y Cheema (2015), quienes evaluaron 11 genotipos elites en campo abierto, con alta densidad de plantas donde los cultivares de frutos largos fueron los más rendidores. También, Elizondo y Monge (2017) y Linares (2004) reportaron que híbridos de pimentón tipo Lamuyo (Nathalie, Lido y Quetzal) presentaron el mayor rendimiento y número de frutos por planta, que los Cuadrados. Por el contrario, Montaño y Belisario (2012) encontraron que los híbridos Esmeralo (12.5 Mg ha-1) y Prima donna (12.4 Mg ha-1), tipo Cuadrado, rindieron más que Cacique (8.6 Mg ha-1).
Producción mensual acumulada
Mediante el ANDEVA de medidas repetidas en el tiempo y ajustando la estructura de covarianzas con modelos mixtos se obtuvo el menor valor de AIC (Akaike’s Information Criterion) con la modelación no estructurada. Las varianzas fueron diferentes (esfericidad de Mauchly P ≤ 0.05), lo que permitió el usó de Greenhouse-Geisser para el cálculo del F. Se encontraron diferencias significativas entre los factores Ambiente, Cultivares y la interacción Ambiente x Cultivar, a través de las cosechas (P ≤ 0.05). El factor Cultivar explicó el 72% de la varianza del experimento (Eta cuadrado parcial: η2 = 0.72).
Los resultados de los análisis indicaron que los cultivares tipo Lamuyo presentaron los mayores rendimientos en las tres condiciones evaluadas durante la mayoría de las cosechas realizadas (Boferroni, P ≤ 0.05). En el segundo mes (156 ddt) los cultivares en protegido-2013 presentaron valores entre 8.4 y 22.9 Mg ha-1 para C-rojo y Cacique respectivamente. En ese momento, Cacique superó en un 49 y 61% respectivamente, al Cacique producido en protegido-2014 y en abierto-2014 (Figura 5), (P ≤ 0.05).
Figura 5: Rendimiento mensual acumulado de los cultivares bajo los ambientes protegido-2013 (A), protegido-2014 (B) y abierto-2014 (C). M1, M2…, M5 = Mes 1, 2…, 5 respectivamente. ddt = días después del trasplante. Promedios con letras iguales en diferentes híbridos y ambientes, a través de las cosechas, no presentan diferencias estadísticas significativas (Bonferroni, P > 0.05). C

Figure 5: umulative monthly yield of cultivars under protected-2013 (A), protected-2014 (B) open-2014 (C) environments. M1, M2..., M5 = Month 1, 2..., 5 respectively. ddt = days after transplant Averages with equal letters in different hybrids and environments through harvests show no significant statistical differences (Bonferroni, P > 0.05).
A partir del tercer mes de cosecha (186 ddt) Nathalie, en protegido-2013, fue el cultivar más rendidor y Cacique rindió más en protegido y abierto 2014 (P ≤ 0.05). Por otro lado, el material menos sobresaliente en los ambientes fue C-rojo. Cacique en abierto-2014, durante el último mes de cosecha, superó a los más productivos de los ambientes protegidos 2013 y 2014, con 33.6 Mg ha-1 (Figura 5), (P ≤ 0.05).
Método de los efectos aditivos principales e interacciones multiplicativas (AMMI)
El rendimiento de los cultivares cambió en las condiciones evaluadas. El análisis de varianza combinado permite cuantificar solamente la interacción y los efectos principales, sin embargo, no explica la interacción Cultivar por Ambiente (Kaya, Palta y Taner, 2002). Para explicar dicha interacción, se utilizó el análisis AMMI que determina la contribución de cada componente en la variación total, por la partición de la varianza de la interacción Ambiente (A) × Cultivar (C) (Valencia y Ligarreto, 2010).
El gráfico de dos dimensiones (biplot) del AMMI muestra las diferencias entre ambientes, el grado de interacción de los cultivares con los ambientes, junto con la estabilidad y las adaptaciones específicas de los genotipos a determinado ambiente (Jiménez y Ruiz, 2006). Los componentes del modelo en el análisis combinado de varianza (Ambiente, Cultivares e interacción Ambiente x Cultivar) fueron altamente significativos para el peso fresco de frutos total (Cuadro 3), (P ≤ 0.01).
Cuadro 3: Análisis de varianza combinado para el peso frescos de frutos total de pimentón de cuatro cultivares, establecidos en distintos ambientes.
Table 3: Combined analysis of variance for fresh weight of total bell pepper fruits of four cultivars, established in different environments.
| Factores | GL† | Suma de cuadrados | Cuadrado medio | Valor F | Pr > F | % de A + C + A x C |
| SS | % | |||||
| Modelo | 15 | 1657.5 | 110.5 | 8.6 | ≤0.0001*** | |
| Ambiente (A) | 2 | 145.5 | 72.8 | 5.7 | 0.0086** | 9 |
| Cultivar (C) | 3 | 1135.2 | 378.4 | 29.5 | ≤0.0001*** | 69 |
| Ambiente x Cultivar (A x C) | 6 | 358.4 | 59.7 | 4.7 | 0.0021** | 22 |
| Error | 28 | 359.8 | 12.9 | |||
| Total corregido | 43 | 2017.4 |
† Grados de libertad. * = P ≤ 0.05; ** = P ≤ 0.01 y *** = P ≤ 0.001; NS = no significativo.
† Degrees of freedom. * = P ≤ 0.05; ** = P ≤ 0.01 and *** = P ≤ 0.001; NS = not significant.
El factor Cultivar explicó el 69% de la variación de la suma de cuadrados (SS) de los tres factores (A + C + A × C), mientras que, Ambiente explicó el 9% y la interacción A × C el 22%; estos resultados demuestran que el ambiente tuvo un bajo efecto en el rendimiento de los cultivares (Cuadro 3). El comportamiento de los cultivares se debió principalmente al efecto genético y no a los cambios ambientales. Resultados similares fueron reportados por Dhaliwal et al. (2015) y Uma, Surya y Venkata (2011), quienes encontraron que el rendimiento, la longitud, el diámetro, número y peso de frutos de genotipos de C. annuum, presentaron heredabilidad y coeficiente de variación genotípica altos; indicando que estos caracteres son poco influenciados por el ambiente.
Los dos primeros términos del AMMI (DIM1 y DIM2) fueron altamente significativos (P ≤ 0.01) y explicaron el 100% de la SS total de la interacción A × C (DIM1 = 70.1 % y DIM2 = 29.9%). Los coeficientes del DIM1 y el promedio del rendimiento presentaron una correlación de r = -0.25, mientras que, para el DIM2, fue mayor (Pearson r = -0.70, P ≤ 0.05). Al ser mayor la correlación del DIM2, este componente representó significativamente el rendimiento de los cultivares y permitió emplearlo en los biplot para identificar los materiales superiores (Crossa, Cornelius y Yan, 2002), (Cuadro 4).
Cuadro 4: Resultados de los puntajes para la construcción de la gráfica Biplot del peso fresco total de cuatro cultivares de pimentón, establecidos en distintos ambientes.
Table 4: Score results to create the total fresh weight Biplot graph of four bell pepper cultivars established in different environments.
| Factores | Tipo | Nombre | Peso fresco | DIM1 | DIM2 |
| Mg ha-1 | |||||
| Cultivar | Cuadrado | BG2 | 22.8 | 1.13 | 1.31 |
| Cuadrado Rojo (C-Rojo) | 16.7 | -0.42 | 0.85 | ||
| Lamuyo | Cacique | 30.2 | -2.16 | -0.55 | |
| Nathalie | 27.1 | 1.44 | -1.61 | ||
| Ambiente | Protegido-2013 | 25.8 | 2.32 | -0.18 | |
| Protegido-2014 | 22.7 | -0.97 | 1.72 | ||
| Abierto-2014 | 22.9 | -1.35 | -1.54 |
El ambiente protegido-2013 fue el más discriminante al presentar el mayor valor en DIM1 (2.32) y el más cercano a cero en el DIM2 (-0.18), asimismo, en este se obtuvo el promedio más alto de rendimiento (25.8 Mg ha-1), seguido por el cultivo en abierto-2014. En cuanto a los cultivares, Nathalie presentó el mayor rendimiento en protegido-2013 y el más bajo en protegido-2014; mientras que Cacique sobresalió en abierto-2014. Esto muestra que los ambientes de producción fueron contrastantes, ubicándose en cuadrantes diferentes del biplot, por lo que el sembrar bajo condiciones protegidas, con techo plástico y ventilación natural, no representó una ventaja significativa en relación con las condiciones de campo abierto (Cuadro 4 y Figura 6).
Para seleccionar los cultivares que mejor se comportaron en los diferentes ambientes, se empleó la interpretación del gráfico biplot del análisis AMMI propuesto por Yan, Hunt, Sheng, Szlavnics y June (2000). Al comparar el rendimiento de los cultivares en protegido-2014, trazando una línea que une el marcador del ambiente y el origen de la gráfica y luego trazando líneas perpendiculares desde el marcador de los cultivares hasta dicha línea; se corroboró que Cacique y BG2 presentaron el rendimiento más alto en dicha condición (Figura 6A).
La metodología de análisis a partir de un ambiente referenciado permite ver el comportamiento de los mejores cultivares (Yan et al., 2000). Al compararse los cultivares con el ambiente protegido-2013, Nathalie y BG2 presentaron los mayores rendimientos; mientras que, Cacique y Nathalie se destacaron en abierto-2014. El hibrido BG2 sobresalió en la condición protegida, en contraste, Cacique y Nathalie se adaptaron en ambos ambientes (Figura 6A).
Este análisis ratifica que el ambiente no presentó un efecto significativo en el rendimiento de los cultivares. Resultados similares encontraron Krishna, Topno y Bahadur (2021) evaluando la naturaleza y magnitud de la variabilidad genética en 15 genotipos de C. annuum, sembrados a una densidad de 6 plantas m-2. Dichos autores encontraron que el avance genético (porcentaje de la media), vario en 93% para la variable rendimiento de frutos y 40% para el número de frutos por planta; lo que representó un predominio de la acción génica aditiva y una menor influencia de los factores ambientales en la expresión de estas variables.
La metodología de análisis a partir de un cultivar referenciado, permite seleccionar los mejores ambientes para su desarrollo (Yan et al., 2000). Cuando se compara el desempeño relativo de BG2 con los ambientes, trazando una recta desde su marcador hasta el origen de la gráfica y perpendiculares desde los marcadores hasta dicha recta, por la longitud de sus proyecciones, se verificó que en las condiciones protegida-2013 y 2014, el cultivar se expresó mejor. El rendimiento más bajo de BG2 se presentó en abierto-2014 por ello se ubicó por debajo de la línea discontinua. Al realizar este análisis con Cacique se corroboró que, debido a su mejor desempeño tanto en abierto como en protegido, este cultivar obtuvo la mayor adaptabilidad (Figura 6B).
Incidencia de factores fitosanitarios limitantes
El comportamiento de los cultivares no presentó diferencias por la incidencia de agentes fitosanitarios, por lo que se analizaron de forma general en los ambientes. La modelación con estructura simétrica compuesta fue la de menor valor de AIC en el ANDEVA de medidas repetidas. La esfericidad no se cumplió, y para el cálculo de F se empleó Greenhouse-Geisser. Para el factor ambiente las pruebas de efectos inter-sujetos mostraron un η2 superior a 73%, excepto en Ácaros (19%) lo que indicó que los ambientes no influyeron en su presencia.
Los insectos plaga de mayor incidencia fueron en su orden: trips, ácaros, Copitarsia sp. y áfidos. La única enfermedad con un nivel de importancia encontrada fue cenicilla (Oidiopsis sp.). En términos generales, la incidencia de las plagas y cenicilla se presentó con mayor frecuencia en el ambiente protegido debido a las altas temperaturas alcanzadas, entre 31 y 36 °C promedio en el primero y segundo ciclo respectivamente, con humedad relativa superior a 70%, con excepción de los áfidos y Copitarcia que fue mayor en abierto-2014 (Figura 1 y 7), (P ≤ 0.05).
Áfidos. Se presentaron incidencias mayores de 20% en abierto-2014 a partir de los 70 ddt. En condición protegida, su presencia fue más baja, manteniéndose en menos de 5% en el ciclo 2013; mientras que, en el ciclo 2014, se observaron daños desde el inicio del desarrollo del cultivo (Figura 7A). Su importancia en Capsicum radica en que son vectores de enfermedades.
Figura 7: Porcentaje promedio de incidencia de las principales plagas y enfermedades de cuatro híbridos de pimentón establecidos bajo condición protegida y a campo abierto: Áfidos (A), Ácaros (B), Trips (C), Copitarsia sp (D), Mosca blanca (E) y Oidiopsis sp. (F). Promedios en series con el mismo nombre del patógeno y entre ambientes con letras iguales no son estadísticamente diferentes a través de los días después del trasplante -ddt- (Bonferroni, P > 0.05).

Figure 7: Average incidence percentage of the main pests and diseases of four hybrids of bell pepper grown under protected environments and open field: Aphids (A), Mites (B), Thrips (C), Copitarsia sp (D), Whitefly (E) and Oidiopsis sp. (F). Averages in series (same pathogen and environments with the same name) are not statistically different through the days after transplanting -DDT- (Bonferroni, P > 0.05).
Arana et al. (2015), reportaron a Myzus persicae (Sulzer) como transmisor del potyvirus causante de la reducción del rendimiento y muerte de la planta, en varias regiones productivas de Cuba. Al respecto, Castresan, Rosenbaum y González (2013) reportaron que el ambiente del invernadero favoreció el desarrollo de Aphis gossypii (Glover) y Macrosiphum euphorbiae (Thomas), en el hibrido Paloma (Tipo Lamuyo), además indicaron que, en Argentina, tratamiento con aceites de ajo, soya y eucalipto son una alternativa ecológica para su manejo.
Ácaros. Su incidencia en campo abierto-2014 fue baja, con respecto a la condición protegida, posiblemente por el efecto del control mecánico que provocan las lluvias en campo y de las altas temperaturas alcanzadas en la cubierta plástica. En protegido-2013 se presentaron picos de incidencia de los 40 a 50 ddt, entre 109 y 126 ddt y de los 151 ddt hasta la última cosecha, con una presencia superior a 60% (Figura 7B).
En protegido-2014, la incidencia se incrementó desde 30 hasta 60 y desde 70 a 80 ddt. A partir de los 120 ddt hasta el final del ciclo su frecuencia fue oscilatoria, alcanzando valores del 20% (Figura 7B), (P ≤ 0.05). Las especies de ácaros reportadas, que más limitan el cultivo de pimentón en campo abierto y ambiente protegido, son Polyphagotarsonemus latus y Tetranychus urticae (Paz, Melo y Café, 2003).
Trips y Copitarsia sp. Los trips fueron la plaga de mayor incidencia en los ensayos (superior a 80%) y no mostraron un comportamiento def inido, con oscilaciones en las condiciones de producción y que aumentaron a partir de los 50 ddt (Figura 7C). La especie Frankliniella occidentalis fue reportada en pimentón cultivar Clovis (Lamuyo), en condiciones protegidas, afectando hojas, frutos y flores, presentándose con mayor frecuencia en este último órgano de la planta (Belda, Cabello, Ortiz y Pascual, 1992).
Copitarsia se presentó con mayor incidencia en abierto-2014 con picos cercanos al 70% (P ≤ 0.05), mientras que, en ambiente protegido no se presentaron diferencias estadísticas (P > 0.05) y su incidencia no superó el 30% (Figura 7D). Este insecto es una plaga polífaga y ha sido reportada alimentándose de C. annuum, con una incidencia similar a la reportada en este estudio (Castro y Rodríguez, 2016; Orozco y Lozano, 2022).
Mosca blanca (Bemisia tabaci). En ambiente protegido-2014 presentó un pico de incidencia a los 26 ddt y en las demás evaluaciones permaneció por debajo del 15% hasta el final del ciclo (Figura 7E). Esta plaga se ha reportado en diferentes especies de Capsicum en México y su mayor daño está relacionado con la transmisión del Virus Huasteco del Chile (PHV), Virus Texano del Chile Variante Tamaulipas (TPV-T) y el Virus del Mosaico Dorado del Chile Variante Tamaulipas (PepGMV-Tam), que ocasionan la reducción del rendimiento (Chan et al., 2014).
En clima cálido y seco de Palmira Valle en Colombia, Grijalba, Bueno y Montoya (2013), cultivaron el hibrido ZEN F1 (Cuadrado), a una densidad de 3.8 plantas m-2 y observaron presencia de poblaciones naturales del biotipo B de B. tabaci, que provocaron el amarillamiento de la planta por la succión de savia, la pérdida de nutrientes y la generación de fumagina (Capnodium sp.); lo que provocó la disminución de su tasa fotosintética.
Cenicilla (Oidiopsis sp). Se detectó desde los 45 ddt en los diferentes ambientes, siendo mayor en protegido-2014 por las altas temperaturas registradas, con humedad relativa mayor de 70% y se mantuvo hasta el final del ciclo, llegando a 100% de incidencia. Estos resultados contrastan con los reportados por Paz, Lopes y Café (2004) quienes reportaron que la mayor incidencia de la enfermedad se tuvo en condiciones protegidas y se presentó durante la época seca, con baja humedad relativa.
En protegido-2014, entre los 40 y 110 ddt, la enfermedad se presentó con mayor frecuencia (P ≤ 0.05), y a partir de los 120 ddt en los ambientes de evaluación no se observaron diferencias (Figura 7F), (P > 0.05). Orozco y Lozano (2022) reportaron resultados diferentes en campo abierto, donde la mayor incidencia se presentó después de los 210 ddt. Estos datos muestran que la enfermedad se desarrolla en una amplia diversidad de condiciones agroclimáticas.
Conclusiones
En las condiciones agroecológicas del Centro de Investigación La Selva, Rionegro (Antioquia), los cultivares de pimentón tipo Lamuyo (Cacique y Nathalie) fueron los más rendidores sin importar el ambiente donde se cultivaron.
Los frutos con categoría extra y primera participaron con los mayores porcentajes en la conformación del peso fresco y número de frutos total de los cultivares, en los ambientes evaluados. No se presentaron ventajas significativas entre el desarrollo de los cultivares en ambientes protegidos y a campo abierto.
Los cultivares no presentaron niveles diferenciales de tolerancia a las plagas y al patógeno encontrado, siendo mayor sus incidencias bajo las condiciones protegidas con techo plástico y ventilación natural.
Disponibilidad de Datos
Los datos empleados y analizados en el presente estudio están en disponibilidad de los autores para solicitudes razonables.
Contribución de los Autores
En la formulación, ejecución, administración del proyecto, junto con la coordinación y planeación del manejo agronómico de los experimentos: L.F.O.O. y J.L.F.; obtención y registro de datos en campo, digitación y organización de bases de datos, interpretación de resultados y en la escritura del manuscrito: L.F.O.O., N.Y.G.V. y J.L.F.; análisis estadístico: J.L.F.










nueva página del texto (beta)





