Introducción
México presenta contrastes y carencias respecto al agua, tanto en calidad como en cantidad, la disponibilidad y cuantía son importantes para satisfacer las necesidades sociales, puesto que es una condición necesaria para hacer viable el desarrollo social, económico y ambiental (Mancilla-Villa, 20121). La problemática de la degradación, por efectos antropogénicos, en lo que respecta al estado de calidad y cantidad del recurso hídrico superficial y subterráneo, es motivo de gran preocupación. Hasta hace algunos años fue poco investigada y se consideraba poco susceptible a la polución; en la actualidad se conoce que su contaminación es originada por políticas de explotación nacional e inclusive mundial, filtración de aguas que contienen contaminantes provenientes de desechos industriales o por lavado de sustancias en suelos agrícolas (Cardona et al., 1992).
La Comisión Nacional del Agua considera que la insuficiencia en algunas zonas del agua subterránea, es debido al aumento poblacional y a su aplicación indiscriminada en los diferentes usos que propicia un suministro continuo de aguas subterráneas, provocando sobreexplotación y disminución de la calidad natural del recurso hídrico (CONAGUA, 2008). En México tan solo en 2001 el número de acuíferos sobreexplotados osciló anualmente entre 100 y 106 pozos, para diciembre de 2013 se reportaron 106 acuíferos sobreexplotados; de los cuales se extrae 55.2% del agua subterránea y en los cuales la extracción sobrepasó 10% de su recarga natural (CONAGUA, 2014). Can-Chulim et al. (2014) mencionan que de la extracción depende el desarrollo de la actividad agrícola, independientemente de su adaptabilidad de su uso, y a su concentración de iones específicos. Mancilla-Villa et al. (2014) mencionan que dependiendo del tipo y la cantidad de sales que estén presentes en el agua, estos propiciaran que la calidad del recurso varíe de una clasificación a otra. Para la calidad de aguas subterráneas, el contenido de sales y otros iones específicos son de gran importancia, debido a que permite su clasificación en aguas dulces, ligeramente salobres, salobres y salinas; en resumen, el estado óptimo o calidad del agua está relacionada con las diferentes concentraciones en el aspecto químico y mineralógico.
En el caso del recurso hídrico para riego, la condición de calidad mala se produce por adición de sales a los suelos (salinización), filtración de aguas contaminadas en el suelo y por toxicidad ocasionada por metales pesados y iones; esto ocasiona afectaciones fisiológicas a las plantas, provocando bajo rendimiento de las cosechas (Mancilla-Villa, 20121). Se debe de tener en cuenta las condiciones físicas y el tipo de suelos, la mineralogía, el cultivo que se establecerá y sus requerimientos nutricionales, para conocer las necesidades de las diferentes plántulas o restringir la plantación y producción de cultivos, y para no contribuir a la contaminación del suelo (García, 2012).
La calidad del agua se define por el uso específico al cual se destinará el recurso hídrico, en este sentido el agua subterránea para riego agrícola se pondera en importancia las concentraciones de CO3 2-, HCO3 -, Cl-, SO4 2-, Ca2 +, Mg2+, Na+, K+, y con una menor relevancia en algunos estudios se adhieren a la determinación de N, P y B+ (Massone y Martínez, 2008; Mancilla-Villa, 20121; Martínez y Osterrieth, 2013). Caracterizar el contenido iónico de las aguas subterráneas que se destinaran para uso en riego agrícola, proporciona la información necesaria para inferir las posibles problemáticas, tanto en los cultivos como en los suelos agrícolas, ya que algunos cultivos son más susceptibles a sufrir daños fisiológicos por el contenido de iones y sales presentes en el recurso hídrico, esto además de dañar los cultivos, genera salinización de suelos y por ende perdidas económicas para los productores (Doneen, 1975; Can-Chulim et al., 2014; Mancilla-Villa et al., 2014). En el estado de Jalisco se tienen 59 acuíferos, de los cuales 33 se encuentran con baja disponibilidad y 26 están sobreexplotados, con un déficit del orden de 343.69 hectómetros cúbicos, aunado a esta problemática de sobreexplotación y déficit, los estudios sobre la calidad del agua subterránea para riego agrícola son muy pocos (Ramos-Olmos et al., 2003; CONAGUA, 2015). En este sentido, el principal objetivo del presente estudio fue evaluar la calidad del agua subterránea que se destina para uso en riego agrícola con la finalidad de generar conocimiento respecto al uso de las aguas analizadas.
Materiales y Métodos
Descripción del área de estudio
Según la Comisión Estatal del Agua del Estado de Jalisco (CEA, 2015) el municipio de Zacoalco de Torres Jalisco está situado al sureste del estado, en las coordenadas geográficas 20° 01’ 30” a 20° 21’ 05” N y 103° 30’ 30” a 103° 41’ 25” O; con altitud promedio de 1354 m. Presenta clima semiárido cálido con precipitación media anual de 828 mm y promedio de temperatura anual de 20.2 °C (Figura 1). El municipio de Autlán de Navarro se encuentra localizado al suroeste del estado entre las coordenadas extremas 19° 34’ 30” a 19° 53’ 45” N, y 104° 07’ 00” a 104° 27’ 35” O. Su clima de influencia es semiseco y semicalido con precipitación media de 719.9 mm, temperatura media anual de 23.5 °C, con altitud promedio de 900 m (H. Ayuntamiento de Autlán de Navarro, 20162). La zona de estudio se encuentra conformada por suelos feozems, regosoles y cambisoles principalmente; aunque en menor proporción se presentan los vertisoles, luvisoles y litosoles. El origen de estos suelos se debe a la presencia de roca ígnea extrusiva, suelos aluviales, roca caliza riolita, andesita y basalto entre otros (CONAGUA, 2018). En el estudio se analizaron 24 pozos de agua, de los cuales 12 se encuentran ubicados en el municipio de Zacoalco de Torres y los restantes se distribuyen sobre el municipio de Autlán de Navarro. Los pozos seleccionados en el municipio de Zacoalco de Torres se encuentran en un área en donde se cultiva alfalfa, caña, aguacate, zarzamora, arándano, higo y limón. En el municipio de Autlán de Navarro los pozos se distribuyen en su mayoría sobre el valle donde se desarrollan actividades agrícolas como el cultivo de caña, hortalizas, rábanos y maíz, entre otros.
Muestreo de agua y métodos de análisis
Para el presente estudio se eligieron 24 sitios de colecta por temporada, 12 sitios se establecieron en el municipio de Zacoalco de Torres y 12 sitios en el de Autlán de Navarro, Jalisco. Estos sitios se ubicaron y eligieron por ser pozos de agua subterránea y norias, la información de estos sitios se obtuvo de las capas de aprovechamientos subterráneos inscritos en el Registro Público de Derechos de Agua (REPDA) en formato KMZ, y a través del Sistema de Información Geográfica del Agua (SIGA) obtenidos de CONAGUA (2015), todos los sitios fueron georreferenciados mediante GPS (Figura 1).
El muestreo de las aguas subterráneas se llevó acabo siguiendo los lineamientos de la Norma Mexicana NMX-AA-034-SCFI-2015 (Norma Mexicana, 2015), se realizaron dos muestreos de tipo probabilístico aleatorio dirigido, en la estación seca y lluviosa en el año 2017. Para la recolección de las muestras se emplearon frascos de polietileno de alta densidad con capacidad de 500 mL, las metodologías empleadas se presentan en el Cuadro 1.
Cuadro 1: Métodos utilizados para las determinaciones de parámetros químicos y fisicoquímicos en las muestras de agua de pozo colectadas en los municipios de Autlán de Navarro y Zacoalco de Torres, Jalisco, México.
Table 1: Methods used for the determinations of chemical and physicochemical parameters in well water samples collected in the municipalities of Autlan de Navarro and Zacoalco de Torres, Jalisco, Mexico.
Determinación |
Método |
Referencia |
pH |
Potenciometría. |
Trujillo-Piña et al., 2014. |
Conductividad eléctrica |
Conductimetría, mediante conductímetro con puente Wheastone con celda de vidrio. |
Rodríguez-Pozueta, 2016; Richards, 1990. |
Calcio y magnesio |
Volumetría títulación con EDTA y eriocromo negro T como indicador, para Ca+Mg y Murexida para Ca. |
González-Peréz, 2016; APHA, 1995. |
Sodio y potasio |
Flamometría, mediante flamómetro IL Autocal Flame Photometer 643, L=589 nm, calibrado con soluciones estándar de 145 mmolc L-1 para Na y de 5 mmolc L-1 para K. |
BVSDE, 2016; APHA, 1995. |
Carbonatos |
Volumetría mediante titulación de ácido sulfúrico y fenolftaleína como indicador. |
Severiche Sierra et al., 2013; APHA,1995. |
Bicarbonatos |
Volumetría mediante titulación de ácido sulfúrico y anaranjado de metilo como indicador. |
APHA,1995. |
Cloruros |
Volumetría títulación con nitrato de plata y cromato de potasio al 5% como indicador. |
González-Peréz, 2016; APHA, 1995. |
Sulfatos |
Turbidimetría, mediante el espectrofotómetro modelo Perkin Elmer 35, L=420 nm. |
Ucroz-Peréz, 2014; APHA, 1995. |
Parámetros de calidad
Clasificación hidrogeoquímica y balance de cationes-aniones. Los estudios de hidrogeoquímica sirven para determinar el origen de la composición química del agua y la relación entre el agua y la constitución química de las rocas, el método gráfico más utilizado es el diagrama triangular de Piper y Durov (Can-Chulim et al., 2014). Se entiende por composición química al conjunto de substancias (generalmente inorgánicas) incorporadas al agua por procesos naturales, la composición química del agua subterránea natural se define a partir de los análisis de muestras recogidas adecuadamente, y se cuantifica por medio de la concentración de cada constituyente analizado (Freeze y Cherry, 1979). Como constituyentes mayoritarios o fundamentales se consideran los siguientes: Aniones: (HCO3 - +CO4 -), Cl-, SO4 2-, NO3 - y Cationes: Ca2+, Mg2+, Na+, K+, NH4 + (García-Hidalgo, 2015).
Conductividad eléctrica. La concentración total de sales solubles, para fines de diagnóstico y clasificación, se pueden expresar en términos de conductividad eléctrica y, de acuerdo con Richards (1990) se dividen en cuatro: agua de salinidad baja (C1: < 250 mS cm‑1), agua de salinidad media (C2: 250-750 mS cm-1), agua de salinidad alta (C3: 750-2250 mS cm-1) y agua de salinidad muy alta (C4: > 2250 mS cm-1) (Pérez-León, 2011; Can-Chulim et al., 2014). La salinidad se evalúa mediante los índices de conductividad eléctrica, y en algunas ocasiones se emplean índices de salinidad efectiva y salinidad potencial (Pérez-León, 2011). La conductividad eléctrica es uno de los índices más frecuentes para analizar el riesgo de salinización, basándose como tal en la propiedad de conducir corriente eléctrica cuando existen iones disueltos (Mancilla-Villa, 20121). En lo referente al potencial de hidrogeno (pH), el agua se puede clasificar según Steiner (1968) en: fuertemente ácida < 5, moderadamente ácida 5.1‑6.5, neutra 6.6-7.3, medianamente alcalina 7.4 a 8.5 y fuertemente alcalina > 8.5. Para utilizar el recurso hídrico en el riego agrícola se recomiendan valores que oscilen entre 5.5 y 6.5 ya que la mayoría de los iones se encontrarán disponibles para la planta (Silva-García et al., 2006; Ortiz-Vega et al., 2019).
La relación de adsorción de sodio (RAS). Las concentraciones de sodio en el recurso hídrico se clasifican empleando el RAS con respecto a las concentraciones iónicas (CE), mediante el diagrama propuesto por Richards (1990); dicha clasificación se basa en los efectos que posee el ion sodio que se absorbe por el suelo sobre sus condiciones físicas, esta relación infiere el efecto del sodio del agua de riego, que pasará a formar parte del suelo. Con base al contenido de sodio (RAS) el agua para riego se puede clasificar en cuatro clases: agua baja en sodio (S1), agua media en sodio (S2), agua alta en sodio (S3) y agua muy alta en sodio (S4) (Can-Chulim et al., 2008; Pérez-León, 2011). El RAS se calcula mediante la siguiente ecuación, en sus valores originales sin considerar variaciones en las concentraciones de calcio y de magnesio:
dónde:
Na+, Ca2+ y Mg2+ se refieren a las concentraciones de los cationes solubles expresados en mEq L-1.
El carbonato de sodio residual (CSR). Autores como Richards (1990) recomiendan que, al evaluar la calidad del agua, se debe considerar la concentración de bicarbonatos con relación a la concentración de Ca y Mg. Dado que en el agua con altas concentraciones de iones bicarbonato existe la tendencia del calcio y del magnesio a precipitarse en forma de carbonatos, a medida que la solución del suelo se vuelve más concentrada (Can-Chulim et al., 2014). Eaton (1950) usa el término carbonato de sodio residual (CSR) al referirse a dicha reacción. Este índice se calcula con la siguiente fórmula, donde todos los constituyentes iónicos se expresan en mEq L-1.
Carbonato de sodio residual (CSR) = (CO3 2- + HCO3 -) - (Ca2+ + Mg2+).
Agua con valor < 1.25 se clasifica como de buena calidad para uso agrícola, entre 1.25 y 2.5 como condicionada y > 2.5 como no recomendable (Richards, 1990). Cuando la diferencia es negativa, no existe problema alguno y el valor de CSR puede inferirse como igual a cero. Cuando el valor es positivo, muestra que Ca y Mg se precipitarán como carbonatos, existiendo solo sales de sodio en la solución (Can-Chulim et al., 2014).
Análisis estadístico. Se utilizó el programa SPSS V 25.0, se llevó a cabo una prueba de varianza de medias (ANOVA), para comparar los resultados de las determinaciones de los parámetros analizados entre las dos temporadas de muestreo.
Resultados y Discusión
Clasificación hidrogeoquímica. La distribución iónica permite observar, con mayor claridad, el predominio de los iones en las muestras de agua subterránea en cada sitio de muestreo realizado en Zacoalco de Torres y Autlán de Navarro en la estación seca (Figura 2) y lluviosa (Figura 3) de 2017. Además, se observa que el equilibrio electrolítico, entre aniones y cationes, es correcto debido a la diferencia de concentración menor a 2%. En la composición iónica, respecto a los aniones predominó el ion cloruro (Cl-), mientras que en los cationes predominó el ion magnesio (Mg2+). Se observó que en las primeras muestras de cada municipio las concentraciones de cationes y aniones es baja, mientras que en las siguientes muestras la concentración es alta y variada, sin sobrepasar 30 mmolc L-1. El ion que presenta la concentración más alta es el magnesio, solo se encontraron diferencias significativas entre las temporadas de muestreo para los Cl- (F = 30.59; P = 0.01) y los SO4 2- (F = 16.73; P = 0.02).
Por otra parte, en el periodo de lluvia, para Zacoalco y Autlán, en cuanto a cationes el ion que presentó la concentración más alta fue el magnesio, seguido de calcio, sodio y potasio.
La clasificación de las aguas que desarrollan diferentes tipos de salinización se numeran en: 1. Clorhídricas, 2. Sulfático-clorhídricas, 3. Clorhídricas-sulfáticas, 4. Sulfáticas, 5. Sulfáticas-sódicas, de tal manera que la salinidad se relaciona con el contenido y predominio de los iones mayoritarios en disolución (Mancilla-Villa, 20121; Herrera-Apablaza et al., 2018). En este caso, la composición de las aguas subterráneas de Zacoalco como Autlán se clasifican como magnésicas-clorhídricas. Mancilla-Villa et al., 2017) realizaron un estudio en aguas superficiales en el río Ayuquila-Tuxcacuesco-Armería, en el cual encontraron que las concentraciones de cationes y aniones fueron relativamente bajas ya que no sobrepasó 30 mmolc L-1; sin embargo, el catión predominante es el magnesio y como anión los sulfatos, seguido de los bicarbonatos y los cloruros. Además, mencionan que la mayoría de las muestras que presentaron concentraciones iónicas altas corresponden a pozos y norias. Atribuyen estas concentraciones a las aguas que están en contacto con materiales de origen volcánico, ya que son de baja concentración iónica y por lo tanto de baja solubilidad. El magnesio lo atribuyen a los minerales ferromagnesianos constituidos por basaltos, entre los que se encuentran los piroxenos (Al, Mg, Fe, Mn, Cr, Sc, Ti) (Si, Al)2 O6), los cuales son removidos por el agua originando la presencia de magnesio en solución.
Conductividad eléctrica, sólidos totales disueltos y pH. En el Cuadro 2, se muestra la clasificación de acuerdo a la CE (µS cm-1) y sólidos totales disueltos (STD), de las aguas subterráneas de Zacoalco de Torres y Autlán de Navarro en ambos periodos de muestreo.
Cuadro 2: Clasificación de las aguas subterráneas de acuerdo con la conductividad eléctrica (CE) y sólidos totales disueltos (STD) de Zacoalco y Autlán de Navarro, Jalisco, México.
Table 2: Groundwater classification according to electrical conductivity (CE) and total dissolved solids (STD) in Zacoalco and Autlan de Navarro, Jalisco, Mexico.
Clasificación |
CE a 25 °C |
Concentraciones de sal |
Localidad |
||||
Zacoalco |
Autlán |
||||||
µmhos cm-1 |
g L-1 |
Número de muestras |
|||||
C1: Agua de salinidad baja |
0 - 250 |
< 0.2 |
3 |
0 |
0 |
0 |
|
C2: Agua de salinidad media |
250 - 750 |
0.2-0.5 |
4 |
8 |
3 |
9 |
|
C3: Agua de salinidad alta |
750 - 2250 |
0.5 – 1.5 |
5 |
4 |
9 |
3 |
|
C4: Agua de salinidad muy alta |
> 2250 |
1.5 – 3.0 |
0 |
0 |
0 |
0 |
|
S = temporada seca; LL = temporada lluviosa.
S = dry season; LL = rainy season.
En el Cuadro 2 se observa que la mayoría de las aguas subterráneas tanto en Zacoalco como en Autlán, se clasifican en aguas de salinidad alta, teniendo una variación entre 0.5-1.5 g L-1 de sales en las aguas y C.E. de entre 750 a 2250 µmhos cm-1, esto significa como tal, un riesgo alto de salinización de suelos, así como la restricción al establecimiento de cultivos sensibles; por lo que será necesario optar por cultivos tolerantes a las sales que componen el agua subterránea. No se encontraron diferencias significativas en los valores de C.E. entre las temporadas de muestreo (F = 0.17; P = 0.60). Pérez-Díaz (20183) menciona que las sales en el agua son originadas a partir de procesos de intemperismo de los minerales y rocas y se encuentran dentro la composición de la corteza terrestre, y son las que pasan a formar parte de las soluciones acuosas, y que posteriormente son transportadas como agua de riego produciendo la salinización de los suelos. Además, menciona que los cloruros, nitratos, sulfatos y carbonatos de iones alcalinotérreos, son las sales que se forman con mayor facilidad como consecuencia del intemperismo. Con base en lo anterior, la salinidad de las aguas subterráneas de los municipios se atribuye a la composición iónica predominante, originada por procesos de intemperismo de las rocas como depósitos minerales en abundancia del subsuelo de los municipios, así como la lixiviación por productos agrícolas en los mantos acuíferos. En cuanto al pH, se encontró en las aguas valor promedio de 7.7 lo que las clasifica como ligeramente alcalinas, se encontraron diferencias significativas entre ambas temporadas de muestreo (F = 27.2; P = 0.01).
Relación adsorción de sodio. Como resultado de los dos muestreos de 2017, en la temporada seca 100% de la clasificación de las aguas de acuerdo al RAS corresponden a S1 (aguas bajas en sodio). Mientras, para la temporada de lluvia en Zacoalco y Autlán, una muestra se clasificó en agua media en sodio. Se explica que la relación de las composiciones iónicas, presentan concentraciones importantes de magnesio y calcio en comparación a las del sodio. Por lo que las aguas subterráneas de ambos municipios, pueden usarse en casi todos los suelos, sin riesgo de que el nivel del sodio de intercambio se eleve. Es posible que las concentraciones bajas del sodio en las aguas subterráneas de los municipios estén directamente relacionadas con la composición del subsuelo, es decir no existe en gran abundancia depósitos minerales de este compuesto. Osicka y Giménez (2004), a diferencia de lo anterior, mencionan que las aguas subterráneas y los ríos superficiales de tierras bajas, presentan niveles más altos de sodio; mientras que, en tierras altas, muestran contenidos relativamente bajos y lo atribuyen a la abundancia de depósitos minerales o donde ha habido contaminación por filtración salina. En los dos muestreos realizados, la clasificación de las aguas subterráneas de acuerdo al RAS corresponde a S1 a diferencia que en el periodo de lluvias dos muestras son de S2; es decir, que en su mayoría corresponden a aguas bajas en sodio. En la Figura 4a y b, se presenta la clasificación de las aguas de riego de acuerdo al contenido de sodio y conductividad eléctrica en los dos periodos de muestreo. En ambas figuras se observa que el riesgo de sodificación disminuye a medida que se incrementa la CE del agua.
En general, las aguas subterráneas de los municipios presentaron bajos niveles de sodio en los dos periodos muestreados, considerándose aptas para el riego con escasa probabilidad de alcanzar altos niveles de sodio en los suelos. En cuanto a la salinidad, la mayoría de las aguas se clasificaron como C2, de salinidad media, es decir, que las aguas subterráneas de los municipios pueden usarse para riego, cuando haya una constante irrigación de suelo y se tengan cultivos moderadamente tolerantes a las sales. Para aquellos sitios que se concentraron en la clasificación C1, son aguas de baja salinidad, por lo que pueden usarse en la mayoría de los cultivos y tipos de suelo, con un riesgo mínimo de salinización, con respecto a las muestras que se clasificaron en C3, éstas son aguas altamente salinas no apropiadas para el riego, por lo que es necesario tomar en cuenta plantas tolerantes a muy tolerantes a la salinidad (Richards, 1990; Can-Chulim et al., 2011; Mancilla-Villa, 20121), por ejemplo tomate, trigo, sorgo, alfalfa y cebada (Can-Chulim et al., 2011). Can-Chulim et al. (2011) realizaron un estudio en agua subterránea de la cuenca Oriental de México, encontrando en la mayoría de las muestras la clasificación C2-S1 (aguas de salinidad media, baja en sodio), enseguida de C1‑S1 (aguas de baja salinidad, baja en sodio) y C3-S1 (aguas altamente salinas, medias en sodio) y menciona que las aguas que son de alta salinidad y mediana en sodio su uso debe ser condicionado y no debe utilizarse en suelos donde el drenaje es deficiente, pero puede usarse con especies vegetales tolerantes a la salinidad.
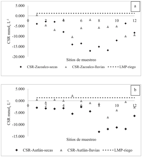
Carbonato de sodio residual. En la Figura 5a y b, se presenta la clasificación de las aguas subterráneas de Zacoalco y Autlán con base en el carbonato de sodio residual (CSR) expresada en mmolc L-1, para ambas temporadas de muestreo.
De acuerdo con el índice de carbonato de sodio residual, 100% de las muestras analizadas en los periodos establecidos, presentan clasificaciones buenas, para las aguas subterráneas del municipio de Zacoalco de Torres y Autlán de Navarro, debido a que exhibieron valores menores a 0, cuyo límite no supero a lo establecido para evaluar criterios de sodicidad mencionados por Can-Chulim et al. (2014). Por lo tanto, se concluye que las aguas subterráneas de las dos áreas de estudio son buenas y aptas para el riego agrícola, sin provocar peligros de sodicidad en el suelo (Can-Chulim et al., 2011; López-García et al., 2016). Almeida y Gisbert (2006), realizaron un estudio de calidad de agua de riego en un huerto de cítricos en España y encontraron valores de CSR menores a 0, y en la cual menciona ser apta para riego agrícola sin causar problemas de sodicidad en el suelo, resultados que coinciden con lo obtenido en las muestras de agua subterránea de los municipios de Zacoalco de Torres y Autlán de Navarro.
Conclusiones
Las aguas subterráneas de Zacoalco de Torres y Autlán de Navarro en ambas temporadas de muestreo, en cuanto al pH presentan aguas ligeramente alcalino-neutras, y presentan variabilidad en la dispersión de los datos.
La conductividad eléctrica (CE) en temporada secas y lluviosa presenta un promedio de 823 µS cm-1 y 680 µS cm-1, respectivamente, esto indica que las muestras son de salinidad media. La desviación estándar es de 271.24 µS cm-1 y 191.29 µS cm-1, respectivamente, los cuales señalan que la dispersión de los datos respecto a la media, presentan valores relativamente bajos.
En la composición iónica de las aguas subterráneas muestreadas en las dos temporadas, de Zacoalco de Torres y Autlán de Navarro, se clasifican como magnésicas-clorhídricas y bicarbonatadas-magnésicas.
En cuanto a CE y sólidos totales disueltos, la mayoría de las aguas subterráneas en ambos municipios en las dos temporadas muestreadas, se clasifican como aguas de salinidad alta, y presentan entre 0.5-1.5 g L-1 de sales en las aguas, por lo que existe un riesgo alto de salinización de suelos, así como la restricción al establecimiento de cultivos sensibles.
En cuanto a la relación de adsorción de sodio; en Zacoalco de Torres y Autlán de Navarro, en la temporada seca, 100% de las muestras se consideran como bajas en sodio. Mientras que en la temporada de lluvia dos sitios se clasificaron en aguas medias en sodio, por lo tanto, las aguas no presentan riesgo de que el nivel del sodio de intercambio se eleve.
Para la relación de adsorción de sodio (RAS) y CE, en ambas temporadas muestreadas Zacoalco y Autlán en la mayoría de las muestras presentan aguas de media salinidad y baja sodicidad (C2-S1), y en menor cantidad aguas de alta salinidad y baja sodicidad (C3 S1 y S2).
Las aguas subterráneas de las dos áreas de estudio en cuanto al índice de carbonato residual son buenas y aptas para el riego agrícola, sin provocar peligros de sodicidad en el suelo.
Declaración de Ética
En la presente investigación, no se involucran humanos o tejido humano, no se involucran animales o tejidos animales; por lo tanto “No aplicable en esta sección”.
Disponibilidad de Datos
Los conjuntos de datos generados o analizados durante el estudio actual no están disponibles públicamente debido [Se están trabajando en un proyecto macro del cual forma parte este artículo ] pero están disponibles del autor correspondiente a solicitud razonable.
Fondos
Las fuentes de financiamiento recibidas en esta investigación fueron otorgadas por las instituciones de adscripción de los autores.
Contribución de los Autores
Conceptualización: O.R.M.V., H.M.O.E., Á.C.Ch. y E.I.S.B. Metodología: H.F.M., R.D.G.G., O.H.V. y C.P.G. Investigación: B.N.A.C., O.R.M.V. y E.C.C. Curación de datos: O.H.V. e I.M.S. Escritura: preparación del borrador original: O.R.M.V., O.H.V. y Y.F.G. Escritura: revisión y edición: O.R.M.V. y O.H.V. Adquisición de fondos: Todos los autores.










nueva página del texto (beta)








