Introducción
La erosión del suelo es uno de los principales problemas ambientales a nivel mundial, sus efectos negativos se perciben no sólo en los ecosistemas que se desarrolla, ya que la pérdida progresiva de suelo y nutrientes constituyen un foco de contaminación difusa para otros sistemas, el ambiente y potencial biológico del suelo (FAO, 1997; Den Biggelaar et al., 2004; Almorox et al., 2010), por otro lado la erosión genera pérdidas económicas considerables a nivel nacional y, sobre todo, a los actores a nivel local (Cotler et al., 2011). Las valoraciones de erosión consideran, en su mayoría, sólo el suelo removido y desestiman las propiedades de los sedimentos erosionados (Leal et al., 2007), pese al conocimiento del enriquecimiento de los sedimentos con nutrientes del suelo (Sharpley, 1985). Tal es el caso de la microcuenca de San Andrés Azumiatla localizada en el municipio de Puebla, México; cuenta con alta actividad agrícola; sin embargo, el crecimiento constante y desmesurado de la población ha desplazado a los campesinos a las laderas de los lomeríos que rodean la ciudad, lo que ha originado un serio proceso erosivo en la región, pese a ello, nulos son los estudios acerca de esta degradación, que disminuye de forma paulatina y silenciosa la productividad y favorece la migración, por tanto el objetivo del presente trabajo fue evaluar la producción de sedimentos y la pérdida de nutrientes durante un año (2013) en tres sistemas agrícolas representativos de esta microcuenca.
Materiales y Métodos
La microcuenca de San Andrés Azumiatla se localiza al sur de la Presa Miguel Ávila Camacho, a 13 km de la ciudad de Puebla, México; enmarcada dentro de las coordenadas geográficas 18º 48’ y 18º 56’ N y 98º 11’ y 98º 17’ O; con un área aproximada de 5158 ha, a una altitud de 800 m, precipitación media anual de 800 mm y temperatura promedio de 16 °C (INEGI, 2000). Se seleccionaron tres sistemas agrícolas representativos de la microcuenca: maíz, maíz-calabaza y maíz-avena; y se instalaron tres parcelas experimentales de 3 m de ancho por 9 m de largo por cada sistema, con inclinación de pendiente homogénea (9%) (Almorox et al., 2010), durante el año 2013; para conocer las características de los suelos de las parcelas se tomaron por triplicado de cada parcela muestras compuestas a 30 cm de profundidad, según el muestreo conocido como “cinco de oro”, el cual consiste en tomar una muestra en cada esquina y centro de la parcela, se mezclan juntas y se obtiene una muestra compuesta; posteriormente se etiquetan y trasladan al laboratorio para su posterior análisis.
Las parcelas experimentales se delimitaron con láminas galvanizadas; cada parcela tenía un sistema de drenaje paralelo a la pendiente, conectado a dos depósitos cerrados con capacidad de 65 L ubicados al pie de las parcelas, con la finalidad de obtener los sedimentos y escorrentía generados en los eventos pluviales (Adema et al., 2001). Posterior a cada lluvia se tomaron por triplicado muestras de sedimentos de 0.75 L cada una, se etiquetaron de acuerdo al uso de suelo, fecha y volumen total de escorrentía. En el laboratorio los sedimentos y las muestras compuestas de suelo se secaron, disgregaron y pasaron por tamiz de 2 mm de diámetro para realizar determinaciones de textura, materia orgánica, nitrógeno total y fósforo disponible de acuerdo a la NOM-021-SEMARNAT-2000 (NOM, 2000). La información analítica permitió calcular el coeficiente de enriquecimiento, definido como el cociente de la concentración de un producto químico “X” en el sedimento transportado y la concentración de ese mismo producto químico “X” en el suelo. Los registros de precipitación fueron a través de un pluviómetro ubicado a 200 m de cada parcela (Almoza et al., 2008). La producción de sedimentos por sistema agrícola se expresa en Mg ha-1. Se realizaron análisis de varianza y comparación de medias con la prueba de tukey con nivel de significancia del 5%, correlaciones y regresión lineal entre las variables evaluadas.
Resultados y Discusión
La precipitación acumulada durante el período de observación (un año) fue de 745 mm, con un índice de erosividad de 10 128.51 Mj mm ha-1, considerado como muy alto (Rivera y Gómez, 1991; Lobo y Bonilla, 2015); se registraron un total de 58 precipitaciones, de las cuales el 55% superó los 10 mm de lluvia; el 10% fue mayor a los 30 mm y, sólo el 5% rebasó los 50 mm; las precipitaciones fueron variables y típicas del clima templado subhúmedo de la zona de estudio, con tormentas torrenciales breves, que causaron bajas tasas de infiltración, y alto riesgo de erosión. El Cuadro 1 presenta los promedios del volumen de escorrentía y producción de sedimentos durante el total de estas precipitaciones (58), hubo diferencias entre los sistemas agrícolas evaluados (P ≤ 0.05); la escorrentía (54.6 mm) y arrastre de sedimentos (37.9 Mg ha‑1) fueron superiores en maíz y menores en maíz-calabaza, con 35.9 mm de escorrentía y 13.9 Mg ha‑1 de sedimentos, esto demostró que la siembra de maíz sin cobertura asociada favorece el proceso de erosión, ya que al sembrarse con avena o calabaza los efectos fueron menos severos. Los análisis de correlación demostraron que la acumulación de sedimentos estuvo asociada en los tres casos (maíz, maíz-calabaza y maíz-avena) a la precipitación, ya que la mayor cantidad de transporte de sedimentos coincide con el mes más lluvioso que fue julio (r = 0.80, 0.86 y 0.88, respectivamente) (P ≤ 0.05); sin embargo, en todos los casos la correlación es fuerte, ya que a pesar que la asociación maíz-calabaza da mayor protección al suelo, los surcos de siembra están realizados a favor de la pendiente, por lo que el suelo es removido y trasladado con facilidad.

Letras distintas indican diferencias significativas (P < 0.05).
Cuadro 1: Sedimentos y escorrentía en los diferentes sistemas agrícolas evaluados.
La pérdida de nutrientes depende de la cantidad de suelo erosionado y la concentración inicial de nutrientes (Morgan, 1997; Michelena, 2013); al inicio de la experimentación se realizó la caracterización físico-química de los suelos en los sistemas agrícolas evaluados (Cuadro 2), observando que hubo concentraciones de materia orgánica y nitrógeno bajas; el fósforo mostró cantidades medias en los cultivos de maíz-avena y calabaza; sin embargo, los valores fueron significativamente mayores en la parcela de maíz (18.8 mg L‑1) (NOM, 2000), debido a que el productor aplica periódicamente altas cantidades de abono orgánico (1500 Mg ha-1, aproximadamente) (Pinos-Rodríguez, 2012).

Los resultados son el promedio de tres repeticiones ± la desviación estándar.
Cuadro 2: Propiedades físico-químicas de los suelos de los sistemas agrícolas evaluados.
Los sedimentos de los tres sistemas agrícolas fueron caracterizados al final de la fase experimental, se encontraron ligeramente enriquecidos en la fracción arcilla, tuvieron la misma clase textural que el suelo inicial con excepción de la parcela de maíz que pasó de clase franco-arcillosa a arcillosa, el efecto de remoción y arrastre de las partículas más finas acumuló 11.7 % de arcillas en sedimentos (Cuadro 3).

Los resultados son el promedio de tres repeticiones ± la desviación estándar. Letras distintas indican diferencias significativas (P < 0.05).
Cuadro 3: Propiedades físico-químicas de los sedimentos de los sistemas agrícolas evaluados.
Los coeficientes promedio de enriquecimiento de los sedimentos erosionados (Cuadro 3, Figura 1) fueron en su mayoría superiores a uno, por tanto la erosión no sólo es un proceso cuantitativo de pérdidas de suelo, sino también cualitativo, ya que los sedimentos poseen mayor calidad físico-química que la matriz del suelo (Nadeu et al., 2010).
La pérdida de materia orgánica fue mayor (P ≤ 0.05) en maíz (8.9%), maíz-avena y maíz-calabaza no presentaron diferencias (P ≤ 0.05). El coeficiente de enriquecimiento de fósforo disponible fue superior (P ≤ 0.05) en la parcela de maíz-calabaza (1.14), mientras que los sedimentos de las parcelas de maíz y maíz-avena presentaron coeficientes de enriquecimiento parecidos, 0.17 y 0.19; enriquecimientos de fósforo fueron menores a la unidad para las parcelas con maíz y maíz-avena, debido a la concentración inicial en el suelo asociada a la aplicación de estiércol. Similar comportamiento se presentó en el caso de nitrógeno, el coeficiente de enriquecimiento fue mayor (P ≤ 0.05) en la parcela de maíz-calabaza (2.70) que en maíz (1.18) y maíz-avena (1.20). En consecuencia, los resultados muestran que si bien la asociación maíz-calabaza impide el arrastre de partículas de suelo y materia orgánica, no sucede lo mismo con la pérdida de macronutrientes como fósforo y nitrógeno, debido a que las hojas anchas de la calabaza amortiguan el impacto de las gotas de lluvias, por lo que la disgregación y la desestabilización de la estructura del suelo es baja, sin embargo, no impide la disolución de nitrógeno y fósforo en el agua de escorrentía.
En el Cuadro 4 pueden observarse elevadas correlaciones entre producción de sedimentos y pérdidas de materia orgánica, nitrógeno y fósforo. Los tres sistemas evaluados presentaron alta correlación entre producción de sedimentos y pérdida de materia orgánica (0.97), la pérdida de nitrógeno presentó valores más altos con los cultivos de maíz-calabaza (0.98) y maíz-avena (0.98); y el fósforo disponible con cultivo de maíz (0.97).

Cuadro 4: Ecuaciones de regresión entre la producción de sedimentos, pérdida de materia orgánica, nitrógeno total y fósforo disponible.
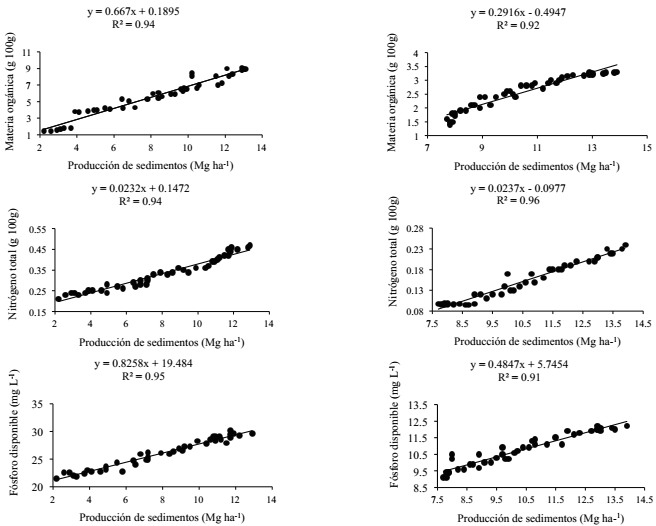
La relación de la pérdida de materia orgánica, fósforo y nitrógeno, en función de la producción de sedimentos en los tres sistemas fue lineal, se muestra en las Figuras 2 y 3; en consecuencia al incrementarse la producción de sedimentos por efecto de la precipitación, se elevó el arrastre de los nutrientes del suelo. Las ecuaciones que relacionan las pérdidas de nutrientes y la producción de sedimentos en los sistemas agrícolas maíz-avena y maíz-calabaza presentaron la más baja r2 en los casos de pérdida de materia orgánica y fósforo; sin embargo, en nitrógeno la r2 fue mayor en maíz-calabaza y maíz-avena, debido a que estos sistemas retienen por más tiempo el agua de escorrentía y se favorece la disolución de los nutrientes.

Figura 2: Regresión lineal entre la producción de sedimentos y las pérdidas de nutrientes para los sistemas agrícolas maíz y maíz-calabaza.
Conclusiones
- Se concluye que la producción de sedimentos y el volumen de escorrentía se correlacionan de forma importante con la precipitación. El cultivo de maíz sin protección es el que promueve en mayor medida la erosión del suelo, mientras que el sistema agrícola maíz-calabaza fue más eficiente para disminuir el arrastre de las partículas del suelo, pero no así para evitar la disolución de nutrientes como nitrógeno y fósforo en el agua de escorrentía. Los coeficientes de enriquecimiento de los sedimentos erosionados fueron, en su mayoría, superiores a la unidad, la materia orgánica tuvo los más altos coeficientes en los sistemas agrícolas estudiados.
- Los resultados obtenidos son importantes para establecer estrategias agrícolas para disminuir la degradación en zonas rurales de la ciudad de Puebla así como una evidencia de que los cultivos bajo las actuales formas de manejo, generan efectos negativos sobre el suelo por lo que se requiere promover manejos agrícolas sostenible.










nueva página del texto (beta)




