Servicios Personalizados
Revista
Articulo
Indicadores
Links relacionados
-
Similares en
SciELO
Compartir
Revista mexicana de micología
versión impresa ISSN 0187-3180
Rev. Mex. Mic vol.34 Xalapa dic. 2011
Revisión
Biologically active metabolites of the genus Ganoderma: Three decades of mycochemistry research
Metabolitos biológicamente activos del género Ganoderma: tres décadas de investigación micoquímica
Ángel Trigos1,2, Jorge Suárez Medellín1,3
1 Laboratorio de Alta Tecnología de Xalapa, Universidad Veracruzana. Calle Médicos, 5, Col. Unidad del Bosque. C.P. 91010, Xalapa, Veracruz, México.
2 Instituto de Ciencias Básicas, Universidad Veracruzana, Av. Dos Vistas s/n, Carretera XalapaLas Trancas, 91000 Xalapa, Veracruz, México.
3 Unidad de Investigación y Desarrollo en Alimentos, Instituto Tecnológico de Veracruz. Av. Miguel A. de Quevedo # 2779 Col. Formando Hogar, C. P. 91680 Veracruz, Veracruz, México.
Autor para correspondencia:
Ángel Trigos atrigos@uv.mx
Recibido 17 de marzo 2011;
aceptado 17 de noviembre 2011.
Resumen
Desde la antigüedad en la medicina tradicional de oriente, hasta los tiempos modernos, los hongos pertenecientes al género Ganoderma se han utilizado para el tratamiento y la prevención de diversas enfermedades como cáncer, hipertensión y diabetes, entre muchas otras afecciones. Así, a partir de los cuerpos fructíferos, micelio y esporas de diferentes especies de Ganoderma se han aislado más de 140 triterpenoides biológicamente activos y 200 polisacáridos, al igual que proteínas y otros metabolitos diversos. Por lo que el objetivo de este trabajo, es mostrar un panorama general de los principales metabolitos biológicamente activos aislados de los miembros de este género hasta la fecha, aunque sin pretender constituir una revisión exhaustiva, ya que tal cosa sería imposible dado el impresionante dinamismo del tema de investigación.
Palabras clave: compuestos bioactivos, hongos medicinales, metabolitos terapeúticos, polisacáridos, triterpenoides.
Abstract
The fungi belonging to the genus Ganoderma have been used since ancient times in Eastern traditional medicine in the treatment and prevention of several diseases such as cancer, hypertension and diabetes, among many other conditions. More than 140 biologically active triterpenoids and 200 polysaccharides, as well as proteins and miscellaneous metabolites have been isolated from the fruiting bodies, mycelium and spores of different species of Ganoderma. The aim of this study is to summarize the main biologically active metabolites isolated from members of this genus to date, yet without pretending to be an exhaustive review, since that would be impossible due the dynamism of the field.
Key words: bioactive compounds, medicinal mushrooms, polysaccharides, therapeutic metabolites, triterpenoids.
Introduction
The fungi belonging to the genus Ganoderma (especially G. lucidum), have been used since ancient times in Eastern traditional medicine, until modern days in the treatment and prevention of several diseases such as cancer, hypertension, chronic bronchitis and asthma, among many other conditions,as well as being a key ingredient in the formulation of tonics and sedatives (Lee et al., 2005). More recently, different preparations made from mycelium, fruiting bodies and spores of G. lucidum have been marketed as nutriceuticals or dietary supplements due their antitumor, immunomodulatory and free radical scavenging abilities (Mau et al., 2002; WachtelGalor et al., 2004; Wasser et al., 2000). The market for dietary supplements made from G. lucidum has been estimated at about 5 to 6 billion dollars per year, of which 1.6 billion correspond only to its consumption within the United States (Zjawiony, 2004). In addition to G. lucidum, some other species belonging to this genus have be seen to exert diverse salutary effects on human health, including G. tsugae, G. applanatum, G. colossum, G. concinna, G. pfeifferi and G. neojaponicum (Gan et al., 1998; González et al., 2002; Kleinwátcher et al., 2001; Lee et al., 2005; Mau et al., 2002; Mothana et al., 2000; Zjawiony, 2004).
The genus Ganoderma has been studied from many different points of view, depending on the interests of each research group:
a) As a source of drugs and nutraceuticals (Boh, et al., 2007; Fujita et al., 2005; Han and Yuan, 2005; Joseph et al., 2009; Lindequist et al., 2005; Mau et al., 2002; Mizuno et al., 1995; SuárezMedellín et al., 2007; Sliva et al., 2003; Tang et al., 2005; Tasaka et al., 1988; Trigos and SuárezMedellín, 2010; WachtelGalor et al., 2004; Wang et al., 2005; Wasser et al., 2000; Yang, 2005).
b) As plant pathogens on crops like oil palm, coconut, rubber, tea, coffee, cocoa and forest trees (Karthikeyan et al., 2009; Paterson, 2007; Zakaria et al., 2005).
c) As a cause of asthma due to the airborne dispersal of spores (Craig and Levetin, 2000).
d) As a source of ligninolytic enzymes with potential applications in pulping, textile dyes, detoxification of polluted water and other biotechnological procedures (Hong and Jung, 2004; Songulashvili et al., 2006; Teerapatsakul et al., 2007; Wang and Ng, 2006).
e) And even as a dietary supplement for farm chickens (Ogbe et al., 2008).
The aim of this study, is to summarize the main biologically active metabolites isolated from members of Ganoderma genus to date, in order to show an overview of the state of art about the mycochemical research of this genus and its potential use as a natural resource.
The text is divided into two main sections. First are presented the biologically active metabolites isolated from Ganoderma lucidum complex, including nonpolar metabolites (mostly lanosterol derivatives and related compounds) and polar metabolites (polysaccharides, peptides and proteins). Then are listed the metabolites isolated from other members of this genus, yet without pretending to be an exhaustive review, since that would be impossible due the dynamism of the field.
Biologically active compounds isolated from Ganoderma lucidum complex
The most studied members of Ganodermataceae family are without any doubt, the laccate species belonging to Ganoderma lucidum (Curtis) complex. These fungi, named Reishi in Japan and Lingzhi in China, have been known since ancient times, and were even mentioned in the famous medical books Shen Nong Ben Cao Jing, (written during the Eastern Han Dynasty) and Ben Cao GangMu (written around 1590 A.C.). Among the wide range of diseases claimed to be successfully treated by G. lucidum are found be: hepatitis, hypercholesterolemia, diabetes, neoplasm, immunodeficiency, leukopenia, atherosclerosis, hemorrhoids, chronic fatigue, insomnia and dizziness caused by neurasthenia, in addition to the previously mentioned cancer, bronchitis and hypertension (Bao et al., 2001; Fujita et al., 2005; Gao et al., 2002; Hajjaj et al., 2005; Lu et al., 2003; Sliva et al., 2003;You and Lin, 2002).
This surprising versatility is due to the large number of bioactive compounds isolated from this fungus. Overall, most of the biologically active metabolites reported for G. lcidum fall into two main groups: those derived from lanosterol (mostly ganoderic acids and related compounds) and polysaccharides (Cole and Schweikert, 2003; Paterson, 2006). However, there are also reports of low molecular weight peptides and proteins (Sripuan et al., 2003; Sun et al., 2004; Wang and Ng, 2006). It has been shown that aqueous extracts of G. lucidum are particularly effective in inhibiting the growth of sarcoma, while nonpolar extracts are not, although the latter show strong activity against lipid peroxidation as well as scavenging hydroxyl and superoxide free radicals, among other properties (Jones and Janardhanan, 2000; Lu et al., 2003).
Triterpenoids derived from lanosterol (ganoderic acids and related compounds)
From the nonpolar fractions of G. lucidum extracts, more than 130 different triterpenoids have been isolated. All of them are highly oxygenated lanosterol derivatives with pharmacological activity, known as ganoderic acids, ganoderiols, ganolucidic acids, lucidones and lucidenic acids (Cole and Schweikert, 2003).
According to Shiao (2003), among the triterpenoids isolated from this fungus, are predominate pairs of C3 α/β stereoisomers and C3/C15 positional isomers. Ganodermic acids S (1) and R (2) (Figure 1) are a good example of this. The biological activity of the main compounds of this group is summarized in Table 1.
The Isolation of ganoderic acids A (3) and B (4) (Figure 2), was first reported by Kubota et al. (1982) from the chloroform extract of dried fruit bodies of G. lucidum. Since then, the discovery of new lanosterol derivatives in this group of fungi, has carried on with almost no interruption until today.
Toth et al. (1983) showed the occurrence of six polyoxygenated lanostanoids in fruit bodies of G. lucidum, which were named ganoderic acids T (5), V (6), W (7), × (8), Y (9) and Z (10), respectively and Shiao et al. (1988) identified the five compounds from basidiocarps of G. lucidum: Lanosta7,9(11),24trien3β,15α,22βtriacetoxy26oic acid (11), lanosta7,9(11),24trien15αacetoxy3αhydroxy23oxo26oic acid (12), lanosta7,9(11), 24trien3α,15αdiacetoxy23oxo26oic acid (13), lanosta7,9 (11), 24trien3αacetoxy15αhydroxi23oxo26oic acid (14), and lanosta7,9(11),24trien3αacetoxy15α,22pdihydroxy26oic acid (15) (Figures 1 and 2).
ElMekkawy et al. (1998) later reported the isolation of 13 metabolites from G. lucidum, which were identified as ganoderic acids α (16), A (3), B (4), C1 (17) and H (18); ganoderiols A (19), B (20) and F (21); ganodermanontriol (22), ergosterol (23), ergosterol peroxide (24), cerevisterol (25) and 3β5αdihydroxy6βmethoxyergosta7,22diene (26). This research group found also that ganoderiol F, ganodermanontriol and to a lesser extent ganoderic acids B, C, α and H, ganoderiols A and B, as well as 3β5αdihydroxy6βmethoxyergosta7,22diene, showed antiviral activity against HIV1.
One year later González et al. (1999), reported the isolation of ergosta7,22dien3one (27); ergosta5,7dien3βol,(28) fungisterol (29); ergosterol (23), ergosterol peroxide (24), ergosta4,6,8(14),22tetraen3one (30), ganodermadiol (31), ganodermenonol (32); ganoderic acid DM (33), lucidadiol (34) and lucidal (35) from G. lucidum.
Another report was made by Min et al. (2000), on the isolation of ganoderic acids γ (36), δ (37), ε (38), ζ (39), η (40) and θ (41),in addition to ganolucidic acids D (42) and C2 (43) from spores of G. lucidum, as well as their citotoxic activity against tumor cell lines MethA and LLC.
Wu et al. (2001) then isolated lucidenic acids A, C, N (44), lucidolactone, methyl lucidenate F (45) and ganoderic acid E (46) from dried basidiocarps of G. lucidum. Lucidenic acids A and N, and ganoderic acid E showed citotoxic activity against tumor cell lines Hep G2, Hep G2.2.15 and P388 and Gao et al. (2002) isolated three lanosterol derivatives from fruit bodies of G. lucidum, known as lucialdehydes A (47), B (48) and C, which was previously named lucidal (35) by González et al., (1999), respectively. This research group also reported the finding of ganodermanonol (32), ganodermadiol (31), ganodermanondiol (49), ganodermanontriol (22), ganoderic acid A (3), ganoderic acid B8 (50) and ganoderic acid C1 (17). Lucialdehydes B and C (or lucidal), as well as ganodermanonol and ganodermanondiol showed citotoxic effects in vitro against Lewis lung carcinoma cells, sarcoma 180, tumor cell lines T47D and MethA (Gao et al., 2002). In a subsequent study performed on antler shaped basidiocarps, these researchers also found lucidimol B (51) and ganodermatriol (52), which showed citotoxicity against Lewis lung carcinoma cells (Gao et al., 2006).
Akisha et al. (2005) reported the occurrence of seven triterpenoids in basidiocarps of G. lucidum, which were identified as: 20(21)dehydrolucidenic acid A (53), methyl20(21)dehydrolucidenate A (54), 20hydroxilucidenic acid D2 (55), 20hydroxilucidenic acid F (56), 20hydroxilucidenic acid E2 (57), 20hydroxilucidenic acid N (58), and 20hydroxilucidenic acid P (59).
During that same year Hajjaj et al. (2005) isolated ganoderol A (32) and ganoderol B (31), also known as ganodermanonol and ganodermadiol respectively (González et al., 1999), ganoderal A (60) and ganoderic acid Y (9), from the methanol extract of G. lucidum. These metabolites showed an inhibitory effect on in vitro cholesterol synthesis, by inhibiting the enzyme lanosterol14αdesmetilase, which transforms 24,25dihydrolanosterol into cholesterol.
Liu and coworkers (2006a, 2006b), described the inhibitory effect on the enzyme 5αreductase, induced by lanosterol derivatives such as ganoderic acids TR (61), DM (33), A (3), B (4), C2 (62), D (63), I (64) and 5αlanosta7,9 (11),24trien15α,26dihydroxi3one (120). These researchers found that compounds with a carbonyl group at C3 and a carbonyl group α, β unsaturated at C26, exhibited greater inhibitory effect against that enzyme, which might give them therapeutic and preventive qualities against androgen related diseases such as prostate cancer, male baldness and acne.
Guan and coworkers found two novel triterpenoids in G. lucidum fruiting bodies, identified as 23Shydroxy3,7,11,15tetraoxolanost8,24£diene26oic acid (65) and 12βacetoxy3βhydroxy7,11,15,23tetraoxolanost8,20Ediene26oic acid (66) (Guan et al., 2008).
Seo and coworkers isolated three steroids and five triterpenoids from the fruiting bodies of G. lucidum, which were identified as ergosterol (23), ergosterol peroxide (24), stella sterol, also known as ergosta7,22dien3βol (96), ganoderic acids A (3), C1 (17) and Sz (67), methyl ganoderate A (68) and lucidenic acid A (69). (Seo et al., 2009).
Adams et al. (2010) isolated three new lanostanoids and a benzofuran derivative from the fruiting bodies of G. lucidum, which were named ganoderic acid TR1 (70), ganoderic aldehyde TR (71), 23hydroxyganoderic acid S (72) and ganofuran B (73).
Weng and coworkers (2010) found two novel sterols with antiaging effect on yeast, which were identified as ganodermasides A (74) and B (75).
Lee an coworkers (2010a), reported the isolation of four new lanostane triterpenes, known as butyl ganoderate A (76), butyl ganoderate B (77), butyl lucidenate N (78), and butyl lucidenate A (79), from the fruiting bodies of Ganoderma lucidum, which exhibited considerable inhibitory effects on adipogenesis in 3T3L1 cells. This effect was achieved through downregulation of SREBP1c (Lee et al., 2010a and 2010b). The same research team, isolated methyl 7β, 15αisopropylidenedioxy3,11,23trioxo5αlanost8en26oate (80) and nbutyl 12βacetoxy3βhydroxy7,11,15,23tetraoxo5αlanost8en26oate (81). Both compounds exhibiting specific antiacetylcholinesterase activity (Lee et al., 2011).
In addition, Cole and Schweikert (2003), reported several other metabolites isolated from basidiocarps, spores and mycelium of G. lucidum, (like) such as ganoderic acids E (46), F (82), G (83), J (84), K (85), L (86), Ma (87) and U (88), among many others (Figures 1 and 2).
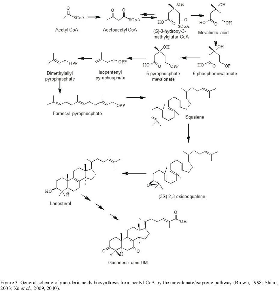
Moreover, all ganoderic acids (G.A) and related compounds are biosynthesized by the mevalonate/isoprene pathway, which involves the conversion of farnesyl diphosphate to squalene and then to 2,3 epoxysqualene. The enzyme (S) 3hydroxy3methylglutarylCoA reductase (HMGR) catalyzes the first specific step of the isoprenoid biosynthesis, the squalene synthase (SQS) catalyzes the first enzymatic step from the central isoprenoid pathway to the sterol and triterpenoid biosynthesis and the lanosterol synthase (LS) catalyzes the cyclization of 2,3 epoxysqualene to yield lanosterol, which is the basic skeleton of ganoderic acids and related compounds (Figure 3). Even when it is known that ganoderic acids are synthesized from lanosterol, the final steps of their biosynthetic pathway include several acylation, oxidation and reduction reactions, which are not yet fully understood. However, it is known that stereoisomers belonging to 3a series are obtained from 3p (Brown, 1998, Shiao, 2003; Xu et al., 2009, 2010).
According to Shiao (2003), the action of ganoderic acids against tumor cell growth might be related to their inhibitory effect on cholesterol synthesis. It is known that several triterpenoids found in G. lucidum inhibit cholesterol biosynthesis at a postmevalonate step. Mevalonate is an obligatory intermediate step required by normal and cancer cells for cholesterol synthesis, protein prenylation (Ras and G proteins), and DNA synthesis. Deprivation of mevalonate causes cell growth arrest and apoptosis. Since the demands of mevalonate may not be equal between normal and cancer cells, the sensitivity to mevalonate deprivation is greater among the latter, thus causing the observed reduction in tumor cell growth. In addition, G. lucidum triterpenoids inhibit farnesyl protein transferase (FPT) the catalyzed post translational farnesylation of Ras protein. FPT inhibitors have been demonstrated to block Ras dependent cell transformation and therefore represent a potential therapeutic strategy for the treatment of human cancer.
Ganoderma lucidum polysaccharides
Besides the previously discussed triterpenoids, the occurrence of more than 200 polysaccharides has been reported with antitumor and immunomodulatory activity, in the polar extracts of G. lucidum. The main bioactive polysaccharides isolated from this fungus are Dglucanes with β13 and β16 glycosidic bonds. The basic structure of these carbohydrates is conformed by β 13Dglucopyrane and side chains with 1 to 15 units of β 16 monoglucosyls with an average molecular weight of 1,050,000 Da (Sone et al., 1985; Yuen and Gohel, 2005).
It is generally accepted that the antitumor activity of Ganoderma polysaccharides is due to their positive effect on the consumer's immune system, rather than direct citotoxicity against cancer cells (Lin and Zhang, 2004).
Among the biological activities reported for the polysaccharides fraction obtained from this fungus the following are to be found: immunomodulation, antihepatotoxicity, free radical scavenging, influence on cell cycle and transduction of cell signals, inhibition of leukemic cell growth, induction of leukemic cells differentiation into monocyte/macrophages, inhibition of blood platelets aggregation, inhibition of the interaction between virus and cell membranes with an increase in the production of IL2. It was also found that the watersoluble extract of G. lucidum mycelium, and in a dose dependent manner, significantly reduces the incidence and size of tumors induced by azoxymethane and N,N' dimethylhydrazine in male F344 rat colon cells (Lu et al., 2003; Paterson, 2006; Shiao et al., 2003; Sripuan et al., 2003).
Bao et al., (2001, 2002), reported the occurrence of a Dglucose polysacharide known as PSGLI1A, isolated from watersoluble extract of G. lucidum spores, which exerts a stimulating effect on Tlymphocytes. Previously, the same research group found another polysaccharide named PGL, which had a distinct structure with pD (16) bonds, branched with glucosyl side chains linked by p (13) and p (14) bonds. According to these authors, PGL supresses the proliferation of Tlymphocytes. Hung and coworkers (2008) analyzed the polysaccharide fraction of G. lucidum, and confirmed the presence of 13 and 16 linkages.
Some other effects attributed to G. lucidum polysaccharides are: antiviral, antiinflammatory, antioxidant, hypoglycemic, and protection against radiation and DNA damage (Paterson, 2006).
Peptides and proteins
A protein with mitogenic activity named LZ8 was isolated from G. lucidum mycelium. This polypeptide consists of 110 aminoacid residues with an acetylated amine ending, and has a molecular weight of 12 kDa (Paterson, 2006).
You and Lin (2002) reported the occurrence of a polysaccharideprotein complex known as GLPP that has the ability of neutralizing the damage caused by Reactive Oxygen Species (ROS) in rat macrophages. GLPP has an average molecular weight of 5.13x105 Da and includes the following aminoacids: Asp 8.49, Thr 3.58, Ser 3.93, Glu 5.81, Gly 3.50, Ala 3.84, Cys 1.06, Val 2.68, Met 5.33, IsoLeu 0.25, Leu 1.5, Phe 1.99, Lys 3.30, His 1.21, Arg 3.94, Pro1.22 (mg/g). The polysaccharide in the complex is made of ramnose, xylose, fructose, galactose and glucose with a molarity of 0.549:3.614:3.167:0.556:6.89, linked by βglycosidic bonds.
Sripuan et al. (2003) isolated from wild G. lucidum basidiocarps, a αgalactosidase enzyme, able to hydrolyze αnitrophenylαDgalactopyranoside, as well as melibiose, raffinose and stachyose. In addition to this, a peptideglycan with a hypoglycemic activity known as ganoderan C has been isolated from this fungus. The glycan of this molecule is composed of Dglucose (69.6% of peptideglycan) and Dgalactose (2.9 %). Both the backbone and side chains of ganoderan C contained Dglucopyranosyl β 13 and β 16, linkages as well as a Dgalactopyranosil α 16 linkage.
Additionally, the occurrence of a lowweight peptide has been proven known as GLP, in the watersoluble extract of this fungus, which is believed to be the main element responsible for G. lucidum antioxidant activity. GLP has shown to play an important role in the inhibition of lipid peroxydation in vivo, due their antioxidant, metalchelating and free radical scavenging activities (Sun et al., 2004).
Liu and coworkers (2004) reported the isolation of a proteoglycan with a carbohydrate ratio of 10.4:1 from the cultivated mycelia of G. lucidum. This proteoglycan showed antiviral activities against herpes simplex virus types 1 and 2. According to this research group, the proteoglycan inhibits viral replication by interfering with the early events of viral adsorption and entry into target cells (Liu et al., 2004).
Wang and Ng (2006) described the isolation of a ligninolytic enzyme from G. lucidum fresh fruiting bodies, which also exerted a potent inhibitory effect against HIV1 reverse transcriptase. In addition, there are previous reports of the isolation and characterization of some other laccase isozymes (Ko et al., 2001).
Du et al. (2006) showed that G. lucidum is able to biotransform inorganic selenium into organic selenium, which is stored in a watersoluble protein. These researchers isolated a seleniumcontaining protein, belonging to the family of D I N G proteins.
This protein in its native state was identified as a monomer of 36,600 Da and has a remarkable quality in scavenging superoxide and hydroxyl radicals.
Biologically active compounds isolated from other members of Ganoderma genus
G. lucidum is not the only member of the Ganoderma genus able to produce bioactive metabolites. There are several other species of Ganoderma that have proven to be a valuable source of substances with pharmacological potential.
For instance, Lee et al. (2005) reported the occurrence of several substances that are shown to exert potent rat lens aldose reductase inhibition in vitro, in the ethyl acetate extract of G. applanatum (Pers.) basidiocarps. Among those compounds can be found: Dmannitol (89), 2methoxy fatty acids (90), cerebrosides (91), daucosterol (92), 2,5dihydroxyacetophenone (93), 2,5 dihydroxybenzoic acid (94) and protocatechualdehyde (95) (Figure 4).
The same fungus, commonly known as "artist's conk", has the sterols 5αergost7en3βol (29), 5αergost7,22dien3βol (96), 5,8epidioxy5α,8αergost6,22dien3βol (24) and a lanostanoid (97) that showed remarkable antibiotic activity against gram positive bacteria. Although some polysaccharide have been isolated from the watersoluble extract of G. applanatum, none of them has shown antitumor activity, unlike those isolated from G. lucidum. However, applanoxidic acids A (98), B (99), C, D, E, F, G (100) and H, isolated from a nonpolar fraction of this fungus, proved to be effective against skin tumors in mice. On the other hand, it has been reported that G. applanatum extracts have an inhibitory effect on metaloendopeptidase encefalinase EC 3.4.24.11, which might suggest a potential application for this fungus in pain treatment. Furthermore, the occurrence of ergosterol (23), 24ζmethyl5alanosta25one (101), ergosta7,22dien3one (27), friedelin (102), alnusenone (friedoolean5en3one) (103), ganoderic acid F (82), ganoderenic acid A (104) and lucidenic acid D1 (105) has been reported for G.applanatum (Boh et al., 2000; Chairul and Hayashi, 1994; Cole and Schweikert, 2003; Gan et al, 1998; Melzig et al, 1996; Zjawiony, 2004).
Wang and Liu (2008), found two new highly oxygenated lanostane type triterpenoids named ganoderic acid AP2 (106) and AP3 (107) from the fruiting bodies of the fungus G. applanatum. In addition, these researchers reported the isolation of ganoderenic acids A (104), B (108), D (109) and G (110) (Figure 17) and Gan et al., (1998) isolated from Ganoderma neojaponicum (Imazeki) the following metabolites: ganoderal A (60), ganodermadiol (31), ergosta7,22dien3βyl palmitate (111), ergosta7,22dien3one (27), ergosta7,22dien3βol (96), ergosta4,6,8(14),22tetraen3one (30), and a steroid identified as 2β, 3 ,9 trihydroxyergosta7,22diene (112). Besides, Paterson (2006) reports that two drimanelike sesquiterpenes known as cryptoporic acids H and I, have been isolated from this fungus.
Kleinwätcher et al. (2001) reported the occurrence of seven triterpenoids in G. colossus (Fr.), which were named colosolactones A (113), B (114), C (115), D (116), E (117), F (118) and G (119) (Figure 5). These colosolactones did not show antibiotic activity, but showed moderate citotoxicity against L929, K562 and HeLa cells, with IC50 values from 15 to 35 µg/mL. Beside, these substances the 3αhydroxysteroid dehydrogenase (3αHSD) inhibited in concentrations comparable to indomethacin as a standard drug, suggesting antiinflammatory properties.
According to González et al. (2002), 15 compounds have been isolated from G. concinnum (Ryvarden), 12 of them have been previously reported: ganodermanonol (32), ganodermadiol (31), ganoderic acid Y (9), ganoderiol F (21), ganodermatriol (52), ganodermanontriol (22), ganoderiol A (19), ganoderiol B (20), ergosta7,22dien3one (27), fungisterol (29) and ergosterol peroxide (24). Several of these compounds have proven to exert biological activity in G. lucidum based studies. The other three metabolites were identified as 5αlanosta7,9(11),24trien3βhydroxy26al (47), 5αlanosta7,9(11), 24trien15α26dihydroxy3one (120), and 8α, 9αepoxy4,4,14αtrimethyl3,7,11,15,20pentaoxo5αpregnane (121), and exhibit apoptosisinducing activity against myeloid leukemia HL60 cells.
The isolation of ganomycin A (122) and B (123) (Figure 5) has been reported from the European fungus Ganoderma pfeifferi (Bres.). These metabolites showed antibiotic activity against B. subtilis, S. aureus, and Micrococcus flavus, among other bacteria. There were also reports on the isolation of ganodermadiol, and lucidadiol, both showing antiviral activity against influenza virus type A and HSV1 (Mothana et al., 2000; Zjawiony, 2004).
In addition, Niedermeyer et al. (2005), isolated from G. pfeifferi basidiocarps, the previously known metabolites: ergosta7,22dien3one (27); ergosta4,6,8(14),22tetraen3one (30), 5 ,8αepidioxyergosta6,22dien3βol (24), lucialdehyde B (48), ganoderol A (32), ganoderol B (31), ganoderal A (60), ergosta7,22dien3βol (96) and applanoxidic acids A (98), C and G (100), as well as the new triterpenoids lucialdehyde D (3,7,11trioxo5αlanosta8,24dien26al) (124), ganoderone A (5αlanosta8,24dien26hydroxy3,7dione) (125) and ganoderone C (5αlanosta8en24,25epoxi26hydroxy3,7,dione) (126).
As regards to Ganoderma mastoporum (Lév.), Cole et al. (2003), reported the occurrence of ganomastenol A (rel3 a,8,9 atrihydroxycadin4,10(15)diene) (127), ganomastenol B (rel3β,8β,9αtrihydroxicadin4,10(15)diene) (128), ganomastenol C (rel3β,8β,9αtrihydroxicadin10(15)ene) (129) and ganomastenol D (rel8β,9αdihydroxycadin4hydroxymethylcadin4,10(15)diene) (130).
Meanwhile, Ganoderma australe (Fr.) has triterpenoids with citostatic activity against tumor cells, as ganoderic acids Z (10), Y (9), × (8), W (7), V (6) and T (5), as well as lucialdehydes A (47), B (48) and C (35) (León et al., 2003). From the same fungus AlbinoSmania et al. (2007) isolated 5αergost7en3βol (29), 5αergost7,22dien3βol (96), 5,8epidioxy5α, 8αergost6,22dien3βol (24), applanoxidic acids A (98), C, F, G (100) and H; as well as australic acid (131) and methyl australate (132) (Figure 5). Both australic acid and methyl australate have activity against bacteria and fungi. In addition to that, Elissetche et al. (2007) isolated two laccase enzymes from G. australe.
During an exhaustive bibliographic review of that genus, Paterson (2006) mentions that from G. lipsiense (Batsch) the following compounds: ergosterol (23); 5αergosta7,22dien3βol (96), ergosta7,22dien3one (27), as well as ganoderic acids A (3) and D (63) and their methyl esters have been isolated. The same author, reported on the occurrence of ergosta7,22dien3βol (96), ergosta7,22dien3βyl palmitate (111), 26,27dihydroxylanosta7,9(11),24trien3,16dione (133), methyl oleate (134) and glyceryl trioleate (135) in G. carnosum (Pat.) (Figure 25). Beside, in G. amboinense (Lam.) has been described the occurence of: ergosta7,22dien3βol (96), ergosta7,22dien3βyl palmitate (111), ergosta7,22dien3βyl linoleate (136), 2p,3 ,9αtrihydroxy5αergosta7,22diene (112), 5α,8αepidioxyergosta6,9(11),22trien3βol (24), 2βmethoxyl3 ,9αdihydroxyergosta7,22diene (137) and ganoderic acid AM, also known as 3βhydroxy7,11,15,23tetraoxolanosta8en26oic acid (138) (Figures 5 and 6) (Paterson, 2006). The powder made by grounding the basidiocarps of Ganoderma amboinenese, has shown to excert a preventive effect on acetaminopheninduced acute liver injury (Hsu et al., 2008).
Meanwhile, Shen et al. (2008) reported the isolation and identification of the sterol ergosta4,6,8(14),22tetraen3one (30), from G. atrum (Zhao).
Niu and coworkers (2006), found three new prenylated phenolic compounds named fornicins A (139), B (140) and C (141) with moderate cytotoxic activity in Hep2 cells, in the mushroom Ganodermafornicatum (Fr.).
The fungus Ganoderma tsugae (Murr.), which was also used in Eastern traditional medicine just like G. lucidum, has a high antioxidant activity, reducing power, scavenging and chelating abilities and total phenol content. There were reports about the isolation of several lanostanoids with citotoxic activity in vitro from G. tsugae basidiocarps (Figure 6), including tsugaric acids A (142), B (143) and C (144), and tsugarosids A, B and C, in addition to four previously known metabolites: 3βhydroxy5αlanosta8,24dien21oic acid (145), 3oxo5αlanosta8,24dien21oic acid (146),ergosta7,22dien3βol (96), and 2β,3α,9αtrihydroxy5αergosta7,22diene (112). On the other hand, Chen and Chen (2003) reported the isolation of ganoderic acids A (3), B (4), C1 (17), C5 (147), C6 (148), D (63), E (46) and G (83), as well as ganoderenic acid D (109), from G. tsugae fruiting bodies (Chen and Chen, 2003; Mau et al, 2002; Su et al, 2000).
Qiao et al. (2007) isolated two triterpenoids from Ganoderma sinense (Zhao), which were identified as ganolactone B (149) and ganoderiol A triacetate (150). Sato et al. (2009b) reported that five new highly oxygenated lanostanetype triterpenoids known as ganoderic acid GS1 (151), ganoderic acid GS2 (152), ganoderic acid GS3 (153), 20(21)dehydrolucidenic acid N (154) and 20hydroxylucidenic acid A (155) were isolated from the fruiting body of G. sinense, together with known compounds including six triterpenoids and three sterols. Among these, ganoderic acids GS2 and 20(21)dehydrolucidenic acid N, inhibited the human immunodeficiency virus1 protease with IC50 values of 20 to 40 µM.
The same research group, also isolated three new lanostanetype triterpenoids having farnesyl hydroquinone moieties, named ganosinensins A (156), B (157) and C (158), from the same fungus (Sato et al., 2009a). Subsequently, Wang et al. (2010) reported on the isolation of three new triterpenoids containing a fourmembered ring from the same fungus named methyl ganosinesate A (159), ganosinesic acid A (160) and ganosinesic acid B (161) (Figure 6).
Finally, Welti et al. (2010), reported the isolation of ganoderic acid FWI (162) (Figure 4) from Ganoderma tuberculosum (Murr.). According to these researchers G. tuberculosum extracts might inhibit the growth of cancer cells as well as or even better than those from G. lucidum. Since it has been isolated only from G. tuberculosum, ganoderic acid FWI might be used also as a chemotaxonomic marker.
Conclusions
As we can see, during the last thirty years or so, the genus Ganoderma has been extensively researched in order to find new therapeutic metabolites. This research has lead to the isolation of hundreds of new compounds with medicinal value, most of them being either lanosterol derivatives (ganoderic acids and related molecules) or polysaccharides. Among the main biological activities exerted by the lanosterol derivatives are cytotoxicity against several lines of cancer cells, antiinflammatory, antiviral and hepatoprotective activity, as well as inhibition of 5αreductase and cholesterol biosynthesis. The polysaccharides on the other hand, are known to enhance the immune system and exert free radical scavenging activity. However, since this genus is one of the largest belonging to the ganodermataceae family, there is still plenty of room for further research.
Even though there is a strong body of evidence suggesting the curative potential of some substances occurring in most members of this genus, it does not necessarily mean that every Ganoderma fungus is always a panacea. First, because those compounds that would exert a positive effect on human health, might actually not be there at all in certain preparations, since the conditions needed for their production are not yet clear (which is by the way, what happens with many secondary metabolites). Second, as Paterson (2006) pointed out, because the toxicology of each particular fungal species has received little attention or none at all. Nevertheless, it is evident that further mycochemical and pharmacological research will lead to a better understanding (and hence safer use) of these and other related issues.
References
Adams, M., M. Christen, I. Plitzco, S. Zimmermann, R. Brun, M. Kaiser, M. Hamburguer, 2010. Antiplasmodial lanostanes from the Ganoderma lucidum mushroom. Journal of Natural Products 73(5): 897900. [ Links ]
Akihisa T., M. Tagata, M. Ukiya, H. Tokuda, T. Suzuki, Y. Kimura, 2005 Oxygenated LanostaneType Triterpenoids from the Fungus Ganoderma lucidum. Journal of Natural Products 68: 559563. [ Links ]
AlbinoSmania, E. F., F. DelleMonache, R. A. Yunes, R. Paulert, Smania A. Jr., 2007. Antimicrobial activity of methyl australate from Ganodema australe. Brazilian Journal of Pharmacognosy 17(1): 1416. [ Links ]
Bao, X., J. Fang, X. Li, 2001. Structural characterization and immunomodulating activity of a complex glucan from spores of Ganoderma lucidum. Bioscience, Biotechnology and Biochemistry 65: 23842391. [ Links ]
Bao, X., Y. Zhen, L. Ruan, J. Fang, 2002. Purification, characterization and modification of T lymphocytestimulating polysaccharide from spores of Ganoderma lucidum. Chemistry and Pharmacology Bulletin 50: 623629. [ Links ]
Boh, B., D. Hodzar, D. Dolnicar, M. Berovic, F. Pohleven, 2000. Isolation and quantification of triterpenoid acids from Ganoderma applanatum of Istrian origin. Food Technology and Biotechnology 38(1): 1118. [ Links ]
Boh, B., M. Berovic, J. S. Zhang and L. Z. Bi, 2007. Ganoderma lucidum and its pharmaceutically active compounds. Biotechnology Annual Review 13:265301. [ Links ]
Brown, G., 1998. The biosynthesis of steroids and triterpenoids. Natural Products Reports 15: 653696. [ Links ]
Chairul S. M., Y. Hayashi, 1994. Lanostanoid triterpenes from Ganoderma applanatum. Phytochemistry 35:13051308. [ Links ]
Chang, U. M., C. H. Li, L. I. Lin, C. P. Huang, L. S. Kan, S. B. Lin, 2006. Ganoderiol F, a ganoderma triterpene, induces senescence in hepatoma HepG2 cells. Life Sciences 79: 11291139. [ Links ]
Chen, D. H., W. K. D. Chen, 2003. Determination of ganoderic acids in triterpenoid constituents of Ganoderma tsugae. Journal of Food and Drug Analysis 11(3): 195201. [ Links ]
Cole, R.J., M. A. Schweikert, 2003. Handbook of Secondary Fungal Metabolites, Vol. II, Academic Press, San Diego. 816 pp. [ Links ]
Cole, R.J., B. B. Jarvis, M. A. Schweikert, 2003. Handbook of Secondary Fungal Metabolites, Vol. III, Academic Press, San Diego. 672 pp. [ Links ]
Craig, R. L., E. Levetin, 2000. Multiyear study of Ganoderma aerobiology. Aerobiologia 16: 7581. [ Links ]
Du, M., L. Zhao, C. Li, G. Zhao, X. Hu, 2007. Purification and characterization of a novel fungi Secontaining protein from Seenriched Ganoderma Lucidum mushroom and its Sedependent radical scavenging activity. European Food Research and Technology 224: 659665. [ Links ]
Elissetche, J. P., A. Ferraz, J. Freer, J. Rodríguez, 2007. Enzymes produced by Ganoderma australe growing on wood and in submerged cultures. World Journal of Micrbiology and Biotechnology 23: 429434. [ Links ]
ElMekkawy, S., M. R. Meselhy, N. Nakamura, Y. Tezuka, M. Hattori, N. Kakiuchi, K. Shimotohno, T. Kawahata, T. Otake, 1998. AntiHIV1 and AntiHIV1Protease Substances from Ganoderma lucidum. Phytochemistry 49(6): 16511657. [ Links ]
Fujita, R., J. Liu, K. Shimizu, F. Konishi, K. Noda, S. Kumamoto, 2005. Antiandrogenic activities of Ganoderma lucidum. Journal of Ethnopharmacology. [ Links ]
Gan K. H., S. H. Kuo, C. N. Lin, 1998. Steroidal Constituents of Ganoderma applanatum and Ganoderma neojaponicum. Journal of Natural Products 61:14211422. [ Links ]
Gao, J., B. Min, E. Ahn, N. Nakamura, H. Lee, M. Hattori, 2002. New triterpene aldehydes, lucialdehydes AC from Ganoderma lucidum and their cytotoxicity against murine and human tumor cells. Chemistry and Pharmacology Bulletin 50: 837840. [ Links ]
Gao, J., A. Hirakawa, B. Min, N. Nakamura, M. Hattori, 2006. In vivo antitumor effects of bitter principles from the antle red form of fruiting bodies of Ganoderma lucidum. Journal of Natural Medicines 60: 4248. [ Links ]
González A. G, F. León, A. Rivera, C. M. Muñoz, J. Bermejo, 1999. Lanostanoids triterpenes from Ganoderma lucidum. Journal of Natural Products 62(12): 17001701. [ Links ]
González A. G., F. León, A. Rivera, J. Padrón, J. GonzálezPlata, J. Zuluaga, J. Quintana, F. Estévez, J. Bermejo, 2002. New lanostanoids from the fungus Ganoderma concinna. Journal of Natural Products 65: 417421. [ Links ]
Guan, S.H., J.M. Xia, M. Yang, X.M. Wang, X. Liu, D.A. Guo, 2008. Cytotoxic lanostanoids triterpenes from Ganoderma lucidum. Journal ofAsian Natural Products Research 10(8): 695700. [ Links ]
Hada H,, W. Tokumoto, T. Namba, 1989. Dental caries prevention by traditional medicines. XII. Effect of components of Ganoderma lucidum on glucosyltransferase from Streptococcus mutans. Journal of Medical and Pharmaceutical Society for WakanYaku 6:100107. [ Links ]
Hajjaj H., C. Macé, M. Roberts, P. Niederberger, L. B. Fay, 2005. Effect of 26Oxygenosterols from Ganoderma lucidum and their activity as cholesterol synthesis inhibitors. Applied and Environmental Microbiology 71:36533658. [ Links ]
Han, J. R., C. H., J. M. Yuan, 2005. Solidstate fermentation of cornmeal with the basidiomycete Ganoderma lucidum for degrading starch and upgrading nutritional value. Journal of Applied Microbiology 99: 910915. [ Links ]
Hong, S. G., H. S. Jung, 2004. Phylogenetic analysis of Ganoderma based on nearly complete mitochondrial smallsubunit ribosomal DNA sequences. Mycologia 96(4): 742755. [ Links ]
Hsu, C., K. Lin, Z. Wang, W. Lin, M. Yin, 2008. Preventive effect of Ganoderma amboinense on acetaminopheninduced acute liver injury. Phytomedicine 15: 946950. [ Links ]
Hung, W.T., S. H. Wang, C. H. Chen, W. B. Yang, 2008. Structure Determination of âGlucans from Ganoderma lucidum with Matrixassisted Laser Desorption/ionization (MALDI) Mass Spectrometry. Molecules 13:15381550. [ Links ]
Jiang, J., B. Grieb, A. Thyagarajan, D. Sliva, 2008. Ganoderic acids suppress growth and invasive behavior of breast cancer cells by modulating AP1 and NFkB signaling. International Journal of Molecular Medicine 21: 577584. [ Links ]
Jones S., K. K. Janardhanan, 2000. Antioxidant and antitumor activity of Ganoderma lucidum (Curt.: Fr.) P. Karst. Reishi (Aphyllophoromycetidae) from south India. International Journal of Medicinal Mushrooms 2:195200. [ Links ]
Joseph, S., B. Sabulal, V. George, T. P. Smina, K. K. Janardhanan, 2009. Antioxidative and antiinflammatory activities of the chloroform extract of Ganoderma lucidum found in South India. Scientia Pharmaceutica 77: 111121. [ Links ]
Karthikeyan, M., K. Radhika, R. Bhaskaran, S. Mathiyazhagan, R. Velazhahan, 2009. Rapid deection of Ganoderma lucidum and assessment of inhibition effect of various control measures by immunoassay and PCR. African Journal of Biotechnology 8(10): 22022208. [ Links ]
Kin D. H., S. B. Shi, N. J. Kim, O. S. Jang, 1998. βGlucuronidaseinhibitory activity and hepatoprotective effect of Ganoderma lucidum. Biological and Pharmaceutical Bulletin 22:162164. [ Links ]
Kleinwätcher P., N. Anh, T. T. Kiet, B. Schlegel, H. M. Dahse, A. Härtl, U. Gräfe, 2001. Colossolactones, new triterpenoid metabolites from a vietnamese mushroom Ganoderma colossum. Journal of Natural Products 64: 236239. [ Links ]
Ko, E. M., Y. E. Leem, H. T. Choi, 2001. Purification and characterization of laccase isozymes from the whiterot basidiomycete Ganoderma lucidum. Applied Microbiology and Biotechnology 57: 98102. [ Links ]
Kobori M., M. Yoshida, M. OhnishiKameyama, H. Shinmoto, 2007. Ergosterol peroxide from an edible mushroom suppresses inflammatory responses in RAW264.7 macrophages and growth of HT29 colon adrenocarcinoma cells. British Journal of Pharmacology 150: 209219. [ Links ]
Kohda H,, W. Tokumoto, K. Sakamoto, M. Fujii, Y. Hirai, K. Yamasaki, Y. Komoda, H. Nakamura, S. Ishihara, M. Uchida,1985. The biologically active constituents of Ganoderma lucidum (Fr.) Karst. Histamine releaseinhibitory triterpenes. Chemistry and Pharmacology Bulletin 33:13671374. [ Links ]
Kubota, T., Y. Asaka, I. Miura, H. Mori, 1982. Structures of ganoderic acid A and B, two new lanostane type bitter triterpenes from Ganoderma lucidum (Fr.) Karst. Helvetica Chimica Acta 65(2): 611619. [ Links ]
Lee, M. K., T. M. Hung, T. D. Cuong, M. Na, J. C. Kim, E. J. Kim, H. S. Park, J. S. Choi, I. Lee, K. Bae, M. Hattori, B. S. Min, 2011, Ergosta7,22diene2β,3α,9αtriol from the fruit bodies of Ganoderma lucidum induces apoptosis in human myelocytic HL60 cells. Phytotherapy Research, 25: n/a. doi: 10.1002/ptr.3447. [ Links ]
Lee, I. S., J. P. Kim, I. J. Ryoo, Y. H. Kim, S. J. Choo, I. D. Yoo, B. S. Min, M. K. Na, M. Hattori, K. H. Bae, 2010. Lanostane triterpenes from Ganoderma lucidum suppress the adipogenesis in 3T3L1 cells through downregulation of SREBP1c. Bioorganic and Medicinal Chemical Letters 18(20): 55775581. [ Links ]
Lee, I. S., J. J. Seo, J. P. Kim, H. J. Kim, U. J. Youn, J. S. Lee, H. J. Jung, M. K. Na, M. Hattori, B. S. Min, K. H. Bae 2010. Lanostane triterpenes from the fruiting bodies of Ganoderma lucidum and their inhibitory effects on adipocyte differentiation in 3T3L1 cells. Journal ofNatural Products 73 (2): 172176. [ Links ]
Lee S., S. Shim, J. Kim, K. Shin, S. Kang, 2005. Aldose reductase inhibitors from the fruiting bodies of Ganoderma applanatum. Biological Pharmacology Bulletin 28: 11031105. [ Links ]
León F., M. Valencia, R. Augusto, I. Nieto, J. Quintana, F. Estévez, 2003. Novel cytostatic lanostanoid triterpenes from Ganoderma australe. Helvetica Chemical Acta 86: 30883095. [ Links ]
Li, C. H., P. Y. Chen, U. M. Chang, L. S. Kan, W. H. Fang, K. S. Tsai, S. B. Lin, 2005. Ganoderic acid X, a lanostanoid triterpene, inhibits topoisomerases and induces apoptosis of cancer cells. Life Sciences 77: 252265. [ Links ]
Lin C. N., W. P. Tome, S. J. Won, 1991. Novel cytotoxic principles of Formosan Ganoderma lucidum. Journal of Natural Products 54:9981002. [ Links ]
Lin, Z.B., H. N. Zhang, 2004. Antitumor and immunoregulatory activities of Ganoderma lucidum and its possible mechanisms. Acta Pharmacologica Sinica 25(11): 13871395. [ Links ]
Lindequist, U., T.H.J. Niedermeyer, W.D. Jülich, 2005. The pharmacological potential of mushrooms. Evidencebased Complementary And Alternative Medicine 3:285299. [ Links ]
Liu, J., K. Kurashiki, K. Shimizu, R. Kondo, 2006. 5αreductase inhibitory effect of triterpenoids isolated from Ganoderma lucidum. Biology and Pharmacology Bulletin 29: 392395. [ Links ]
Liu, J., K. Kurashiki, K. Shimizu, R. Kondo, 2006. Structureactivity relationship for inhibition of 5areductase by triterpenoids isolated from Ganoderma lucidum. Bioorganic & Medicinal Chemistry 14: 86548660. [ Links ]
Liu, J., J. Shiono, K. Shimizu, A. Kukita, T. Kukita, R. Kondo, 2009. Ganoderic Acid DM: Antiandrogenic osteoclastogenesis inhibitor. Bioorganic and Medicinal Chemistry Letters 19: 21542157. [ Links ]
Liu, J., F., Yang, L. B. Ye, X. J. Yang, K. A. Timani, Y. Zheng, Y. H. Wang, 2004. Possible mode of action of antiherpetic activities of a proteoglycan isolated from the mycelia of Ganoderma lucidum in vitro. Journal of Ethnopharmacology 95 (2004) 265272. [ Links ]
Lu, H., E. Kyo, T. Uesaka, O. Kato, H. Watanabe, 2003. A watersoluble extract from cultured medium of Ganoderma lucidum (Reishi) mycelia suppresses azoxymethaneinduction of colon cancers in male F344 rats. Oncology Reports 10: 375379. [ Links ]
Mau J. L., H.C. Lin, C. C. Chen, 2002. Antioxidant properties of several medicinal mushrooms. Journal of Agricultural and Food Chemistry 50: 60726077. [ Links ]
Melzig M. F., S. Pieper, W. E. Siems, G. Heder, A. Bötger, K. Liberra, 1996. Screening of selected basidiomycetes for inhibitory activity on neural endopeptidase (NEP) and angiotensinconverting enzyme (ACE). Pharmazie 51:501503. [ Links ]
Min, B. S., J. J. Gao, N. Nakamura, M. Hattori, 2000. Triterpenes from the spores of Ganoderma lucidum and thieir citotoxicity against MethA and LLC tumor cells. Chemical and Pharmaceutical Bulletin 48(7): 10261033. [ Links ]
Mizushina, Y., N. Takahashi, L. Hanashima, H. Koshino, Y. Esumi, J. Uzawa, F. Sugawara, K. Sakaguchi, 1999. Lucidenic acid O and lactone, new terpene inhibitors of eukaryotic DNA polmerases from a basidiomycete Ganoderma lucidum. Bioorganic and Medicinal Chemistry 7(9): 20472052. [ Links ]
Mizuno, T., G. Wang, J. Zhang, H. Kawagishi, T. Nishitoba, J. Li, 1995. Reishi, Ganoderma lucidum and Ganoderma tsugae: bioactive substances and medicinal effects. Food Reviews International 11(1): 151166. [ Links ]
Mothana R. A. A., R. Jansen, W. D. Jülich, U. Lindequist, 2000. Ganomycins A and B, new antimicrobial farnesyl hydroquinones from the basidiomycete Ganoderma pfeifferi. Journal of Natural Products 63: 416418. [ Links ]
Morigiwa A,, K. Kitabatake, Y. Fujimoto, N. Ikekawa, 1986. Angiotensin converting enzymeinhibitory triterpenes from Ganoderma lucidum. Chemistry and Pharmacologyt Bulletin 34:30253028. [ Links ]
Niedermeyer, U. Lindequist, R. Mentel, D. Gördes, E. Schmidt, K. Thurow, M. Lalk, 2005. Antiviral terpenoid constituents of Ganoderma pfeifferi. Journal of Natural Products 68: 17281731. [ Links ]
Niu, X. M., S. H. Li, H. D. Sun, C. T. Che, 2006. Prenylated phenolics ffrom Ganodermafornicatum. Journal of Natural Products 69(9): 13641365. [ Links ]
Ogbe, A. O., L. O. Mgbojikwe, A. A. Owoade, S. E. Atawodi, P. A. Abdu, 2008. The effect of a wild mushroom (Ganoderma lucidum) supplementation of feed of the immune response of pullet chickens to infectious bursal disease vaccine. Electronic Journal of Environmental, Agricultural and Food Chemistry 7(4): 28442855. [ Links ]
Paterson, R. R. M., 2006. Ganoderma a therapeutic fungal biofactory. Phytochemistry 67:19852001. [ Links ]
Paterson, R. R. M., 2007. Ganoderma disease of oil palm A white rot perspective necessary for integrated control. Crop Protection 26:13691376. [ Links ]
Qiao, Y., X. M. Zhang, M. H. Qiu, 2007. Two novel lanostane triterpenoids from Ganoderma sinense. Molecules 12: 20382046. [ Links ]
Sato, N., C. M. Ma, K. Komatsu, M. Hattori, 2009. Triterpenefarnesyl hydroquinone conjugates from Ganoderma sinense. Journal of Natural Products 72:958961. [ Links ]
Sato, N., Q. Zhang, C. M. Ma, M. Hattori, 2009. Antihuman immunodeficiency virus1 protease activity of new lanostane type triterpenoids from Ganoderma sinense. Chemical and Pharmaceutical Bulletin 57(10): 10761080. [ Links ]
Seo, H. W., T. M. Hung, M. K. Na, H. J. Jung, J. C. Kim, J. S. Choi, J. H. Kim, H. K. Lee, I. S. Lee, K. I. Bae, M. Hattori, B. S. Min, 2009. Steroids and triterpenes from the fruit bodies of Ganoderma lucidum and their anticomplement activity. Archives of Pharmacal Research 32(11):15731579. [ Links ]
Shiao, M. S., 2003. Natural products of the medicinal fungus Ganoderma lucidum: Occurrence, biological activities, and pharmacological functions. The Chemical Record 3: 172180. [ Links ]
Shiao, M. S., L. J. Lin, S. F. Yeh, 1988. Triterpenes from Ganoderma lucidum. Phytochemistry 27(9): 29112914. [ Links ]
Shen, M., M. Xie, S. Nie, Y. Wang, J. Chen, C. Li, J. Li, 2008. Separation and identification of ergosta4,6,8(14),22tetraen3one from G an o derma atrum by high s peed countercurrent chromatography and spectroscopic methods. Chromatographia 67(11/12): 9991001. [ Links ]
Sliva, D., 2003. Ganoderma lucidum (Reishi) in cáncer treatment. Integrative Cancer Therapies 2(4):358364. [ Links ]
Sliva, D., M. Sedlak, V. Slivova, T. Valachovicova, F. P. Lloyd, N.W.Y. Ho, 2003. Biologic activity of spores and dried powder from Ganoderma lucidum for the inhibition of highly invasive human breast and prostate cancer cells. Journal of Alternative and Complementary Medicine 9(4):491497. [ Links ]
Sone, Y., R. Okuda, N. Wada, E. Kishida, A. Misaki, 1985. Structures and antitumor activities of the polysaccharides isolated from fruiting body and the growing culture of mycelium of Gandorema lucidum. Agricultural Biology and Chemistry 49(9): 26412653. [ Links ]
Songulashvili, G., V. Elisashvili, S. Wasser, E. Nevo, Y. Hadar, 2006. Laccase and manganese peroxidase activities of Phellinus robustus and Ganoderma adspersum grown on food industry wastes in submerged fermentation. Biotechnology Letters 28: 14251429. [ Links ]
Sripuan, T., K. Aoki, K. Yamamoto, D. Tongkao, H. Kumagai, 2003. Purification and characterization of thermostable αgalactosidase from Ganoderma lucidum. Bioscience, Biotechnology and Biochemistry 67: 14851491. [ Links ]
Su C. Y., M. S. Shiao, C. T. Wang, 1999. Predominant inhibition of ganodermic acid S on the thromboxane A2dependent pathway in human platelets response to collagen. Biochemistry and Biophysics Acta 1437: 223234. [ Links ]
Su H. J., Y. H. Fann, M. I. Chung, S. J. Won, C. N. Lin, 2000. New lanostanoids of Ganoderma tsugae. Journal of Natural Products 63: 514516. [ Links ]
SuárezMedellín, J., F. Guadarrama, Á. Trigos, 2007. Los Hongos, ¿Alimentos Milagrosos? Pp 5360. In. El Maravilloso Mundo de los Hongos. Eds R. Zulueta, D. Trejo, Á. Trigos. Universidad Veracruzana, Xalapa Mexico. [ Links ]
Sun J., H. He, B. J. Xie, 2004. Novel antioxidant peptides from fermented mushroom Ganoderma lucidum. Journal of Agricultural and Food Chemistry 52:66466652. [ Links ]
Takaku, T., Y. Kimura, H. Okuda, 2001. Isolation of an antitumor compound from Agaricus blazei Murrill and its mechanism of action. The Journal ofNutrition 14091413. [ Links ]
Tang, W., Y. Gao, G. Chen, H. Gao, X. Dai, J. Ye, E. Chan, M. Huang, S. Zhou, 2005. A randomized, doubleblind and placebocontrolled study of a Ganoderma lucidum polysaccharide extract in neurastenia. Journal of Medicinal Food 8: 5358. [ Links ]
Tang W., J. W. Liu, W. M. Zhao, D. Z. Wei, J. J. Zhong, 2006. Ganoderic acid T from Ganoderma lucidum mycelia induces mitochondria mediated apoptosis in lung cáncer cells. Life Sciences 80:205211. [ Links ]
Tasaka K., M. Mio, K. Izushi, M. Akagi, T. Makino, 1988. Antiallergic constituents in the culture médium of Ganoderma lucidum: the inhibitory effect of cyclooctasulfur on histamine release. Agents Actions 23:157160. [ Links ]
Teerapatsakul, C., R. Parra, C. Bucke, L. Chitradon, 2007. Improvement of laccase production from Ganoderma sp. KUAlk4 by medium engineering. World Journal of Microbiology and Biotechnology 23. 15191527. [ Links ]
Toth, J., B. Luu, G. Ourisson, 1983. Les acides ganoderiques T à Z: triterpenes cytotoxiques de Ganoderma lucidum (polyporacée). Tetrahedron Letters 24(10): 10811084. [ Links ]
Trigos, A., J. SuárezMedellín, 2010. Los hongos como alimentos funcionales y complementos alimenticios. In: D. MartínezCarrera, N. Curvetto, M. Sobal, P. Morales, V. M. Mora (Eds.) Hacia un Desarrollo Sostenible del Sistema de ProducciónConsumo de los Hongos Comestibles y Medicinales en Latinoamérica: Avances y Perspectivas en el Siglo XXI. Red Latinoamericana de Hongos Comestibles y MedicinalesCOLPOSUNSCONACYTAMCUAEMUPAEPIMINAP, Puebla, pp. 5976. [ Links ]
WachtelGalor, S., B. Tomlinson, I.F.F Benzie, 2004. Ganoderma lucidum ('Lingzhi'), a Chinese medicinal mushroom: biomarker responses in a controlled human supplementation study. British Journal of Nutrition 91(2): 263269. [ Links ]
Wang, C. Z., D. Basila, H. H. Aung, S. R. Mehendale, W. T. Chang, E. McEntee, X. Guan, C. S. Yuan, 2005. Effects of Ganoderma lucidum extract on chemotherapyinduced nausea and vomiting in a rat model. American Journal of Chinese Medicine 33(5): 807815. [ Links ]
Wang, C.F., J. Q. Liu, Y. X. Yan, J. C. Chen, Y. Lu, Y. H. Guo, M. H. Qiu, 2010. Three new triterpenoids containing fourmembered ring from the fruiting body of Ganoderma sinense. Organic Letters 12(8):16561659. [ Links ]
Wang, G., J. Zhao, J. Liu, Y. Huang, J.J. Zhong and W. Tang, 2007. Enhancement of IL2 and IFNy expression and NK cells activity involved in the antitumor effect of ganoderic acid Me in vivo. International Immunopharmacology 7:864870. [ Links ]
Wang, H. X., T. B. Ng, 2006. A laccase from the medicinal mushroom Ganoderma lucidum. Applied Microbiology and Biotechnology 72: 508513. [ Links ]
Wang, F., J. K. Liu, 2008. Highly oxygenated lanostane type triterpenoids from the fungus Ganoderma applanatum. Chemistry and Pharmacology Bulletin 56(7): 10351037. [ Links ]
Wasser S. P., E. Nevo, D. Sokolov, S. Reshetnikov, M. TimorTismenetsky, 2000. Dietary supplements from medicinal mushrooms: Diversity of types and variety of regulations. International Journal of Medicinal Mushrooms 2: 119. [ Links ]
Welti, S., P. A. Moreau, N. Azaroual, A. Lemoine, N. Duhal, M. Kouach, R. Millet, R. Courtecuisse, 2010. Antiproliferative activities of methanolic extracts from a neotropical Ganoderma species (aphyllophoromycetidae): Identification and characterization of a novel ganoderic acid. International Journal of Medicinal Mushrooms 12(1): 1731. [ Links ]
Weng, C. J., G. C. Yen, 2010. The in vitro and in vivo experimental evidence disclose the chemopreventive effects of Ganoderma lucidum on cancer invasion and metastasis. Clinical and Experimental Metastasis 27:361369. [ Links ]
Weng, Y., L. Xiang, A. Matsuura, Y. Zhang, Q. Huang, J. Qi, 2010. Ganodermasides A and B, two novel antiaging ergosterols from spores of a medicinal mushroom Ganoderma lucidum on yeast via UTH1 gene. Bioorganic and Medicinal Chemistry 18: 9991002. [ Links ]
Weng, C. J., C. F. Chau, Y. S. Hsieh, S. F. Yang and G. C. Yen, 2008. Lucidenic acid inhibits PMAinduced invasion of human hepatoma cells through inactivating MAPK/ERK signal transduction pathway and reducing binding activities of NFκB and AP1. Carcinogenesis 29(1): 147156. [ Links ]
Wiseman, H., 1993. Vitamin D is a membrane antioxidant: ability to inhibit irondependent lipid peroxidation in liposomes compared to cholesterol, ergosterol and tamoxifen and relevance to anticancer action. FEBS Letters 326, 285288. [ Links ]
Wu T. S., L. S. Shi, S. C. Kuo, 2001. Cytotoxicity of Ganoderma lucidum triterpenes. Journal of Natural Products 64: 11211122. [ Links ]
Xu, J. W., Y. N. Xu, J. J. Zhong, 2009. Production of individual ganoderic acids and expression of biosynthetic genes in liquid static and shaking cultures of Ganoderma lucidum. Applied Microbiology Biotechnology. http://www.springerlink.com/index/u60834p823437117.pdf. [ Links ]
Xu, J.W., W. Zhao, J. J. Zhong, 2010. Biotechnological production and application of ganoderic acids. Applied Microbiology & Biotechnology 87:457466. [ Links ]
Yang, H., 2005. Ganoderic acid produced from submerged culture of Ganoderma lucidum induces cell cycle arrest and cytotoxicity in human hepatoma cell line BEL7402. Biotechnology Letters 27: 835838. [ Links ]
Yazawa, Y., M. Yokota, K. Sugiyama, 2000. Antitumor promoting effect of an active component of Polyporus, ergosterol and related compounds on rat urinary bladder carcinogenesis in a shortterm test with concanavalin A. Biology & Pharmacology Bulletin 23:12981302. [ Links ]
You Y. H., Z. B. Lin, 2002. Protective effects of Ganoderma lucidum polysaccharides peptide on injury of macrophages induced by reactive oxygen species. Acta Pharmacologica Sinica 23: 787791. [ Links ]
Youen, J. W. N., M. D. I. Gohel, 2005. Anticancer effects of Ganoderma lucidum: a review of scientific evidence. Nutrition and Cancer 53(1): 1117. [ Links ]
Yuan, J. P., J. H. Wang, X. Liu, H. C. Kuang, X. N. Huang, 2006. Determination of ergosterol in Ganoderma spore lipid from the germinating spores of Ganoderma lucidum by highperformance liquid chromatography. Journal of Agriculture and Food Chemistry 54: 61726176. [ Links ]
Yue, Q. X., Z. W. Cao, S. H. Guan, X. H. Liu, L. Tao, W. Y. Wu, Y. X. Li, P. Y. Yang X. Liu, D. A. Guo, 2008. Proteomic characterization of the cytotoxic mechanism of ganoderic acid D and computer automated estimation of the possible drugtarget network. Molecular and Cellular Proteomics 7:949961. [ Links ]
Zakaria, L., H. Kulaveraasingham, T. S. Guan, F. Abdullah, O. H. Wan, 2005. Random amplified polymorphic DNA (RAPD) and random amplified microsatellite (RAMS) of Ganoderma from infected oil palm and coconut stumps in Malaysia. Asia Pacific Journal of Molecular Biology and Biotechnology 13(1): 2334. [ Links ]
Zhang, Q., F. Zuo, N. Nakamura, C. M. Ma and M. Hattori, 2009. Metabolism and pharmacokinetics in rats of ganoderiol F, a highly cytotoxic and antitumor triterpene from Ganoderma lucidum. Journal of Natural Medicine 63:304310. [ Links ]
Zjawiony J. K., 2004. Biologically active compounds from Aphyllophorales (Polypore) fungi. Journal of Natural Products 67:300310. [ Links ]













