Introducción
El presente texto tiene como objetivo describir la dinámica demográfica de las empresas mexicanas en el periodo 1980 a 2007, entendiendo por dinámica demográfica la relación entre la creación y la extinción de empresas. Generalmente el estudio de la dinámica demográfica en los seres humanos está relacionado con la natalidad, la mortalidad y la migración. En este estudio no se investigó sobre la migración de las empresas debido a que no hay datos disponibles, aunque sin duda sería interesante conocer el comportamiento de esta variable en la población.
La inquietud por realizar un estudio con técnicas demográficas en una población diferente a la de los seres humanos es desafiante ya que en México no se había hecho un estudio de estas características en una población de empresas. Dicha inquietud se basa en la carencia de respuestas sobre qué pasa con la dinámica empresarial mexicana, y tiene como antecedente la existencia de literatura sobre demografía de negocios en países europeos y americanos. Las personas saben que las empresas son generadoras de empleos, son el motor de la economía y crean y satisfacen necesidades; pero desafortunadamente no había datos disponibles sobre la cantidad de empresas que existen en nuestro país, ni sobre el tiempo que tenían funcionando o la velocidad con la que se crearon o extinguieron.
Con el fin de encontrar respuestas al respecto, se realizó este estudio que requirió de la obtención de datos precisos y confiables sobre las empresas mexicanas. En nuestro país todas las empresas legalmente constituidas deben inscribirse en el Registro Federal de Contribuyentes (RFC) que administra el Servicio de Administración Tributaria (SAT).1 Para la realización de este estudio dicha institución nos facilitó una base de datos con registros de empresas, la cual no permite hacer ninguna identificación de contribuyentes; únicamente sirve para realizar análisis estadísticos como el que aquí se presenta. La base de datos contiene más de un millón trescientos mil registros que incluyen información de empresas que continuaban activas al 31 de diciembre de 2007, y además de aquellas que ya se habían extinguido en el pasado. Estos registros de empresas que cerraron en algún punto del tiempo permitieron realizar el análisis relacionado con la extinción de empresas en el periodo de referencia.
Población empresarial en México 1980-2007
En este apartado se presenta la respuesta al cuestionamiento ¿cuántas empresas legalmente constituidas tuvo México durante el periodo 1980-2007?, es decir, ¿cuál fue el volumen de población de empresas mexicanas en ese periodo?
Para lograr obtener datos sobre el volumen de la población de empresas mexicanas se clasificaron e identificaron en un diagrama de Lexis las empresas que se crearon año con año y además aquellas que se extinguieron en un punto en el tiempo, creando así una doble clasificación que permite realizar análisis por cohorte, periodo y cohorte-periodo, imprescindibles para este estudio.
El volumen de población de empresas a mitad de año -de aquí en adelante llamadopoblación- calculado para 1980, 1990, 2000 y 2007 se muestra en el cuadro 1, el cual proporciona una descripción de su evolución. En 1980 la población sumaba 118 138 unidades, con una edad promedio de 10.2 años. El 30% de ellas se situaba entre las edades dos y tres, 50% entre los cinco y seis años, mientras que para las edades de 22 y 23 años se encontraba 90% de la población empresarial. Diez años después, en 1990, la población acumulaba un total de 285 653 unidades, con una edad promedio de 8.9 años, la cual disminuyó 1.3 años en comparación con el año de 1980.
El porcentaje acumulado de esta población muestra que antes del segundo y quinto año se localizaba 30 y 50% respectivamente. Entre los 20 y 21 años se situó 90%. Para el año 2000 México ya contaba con una población de 645 653 empresas con una edad promedio de 10 años, ganando así 1.1 años respecto de su valor de 1990. Cabe destacar que en veinte años la población se había incrementado en 527 515 unidades, generando así una sólida población empresarial que contribuyó con el fortalecimiento económico del país.
En 2007 la población a mitad de año era de 913 475 unidades, y la edad promedio se situó en la cifra más alta desde 1980, la cual fue de 11.6 años. En cuanto al porcentaje acumulado de población, 30% se localizaba entre los tres y cuatro años de edad, 50% entre los ocho y nueve años, y antes de los 25 años se contabiliza 90% de las empresas mexicanas. Lo anterior muestra que la población en general es joven, ya que nueve de cada diez empresas de nuestro país se sitúan en edades tempranas.
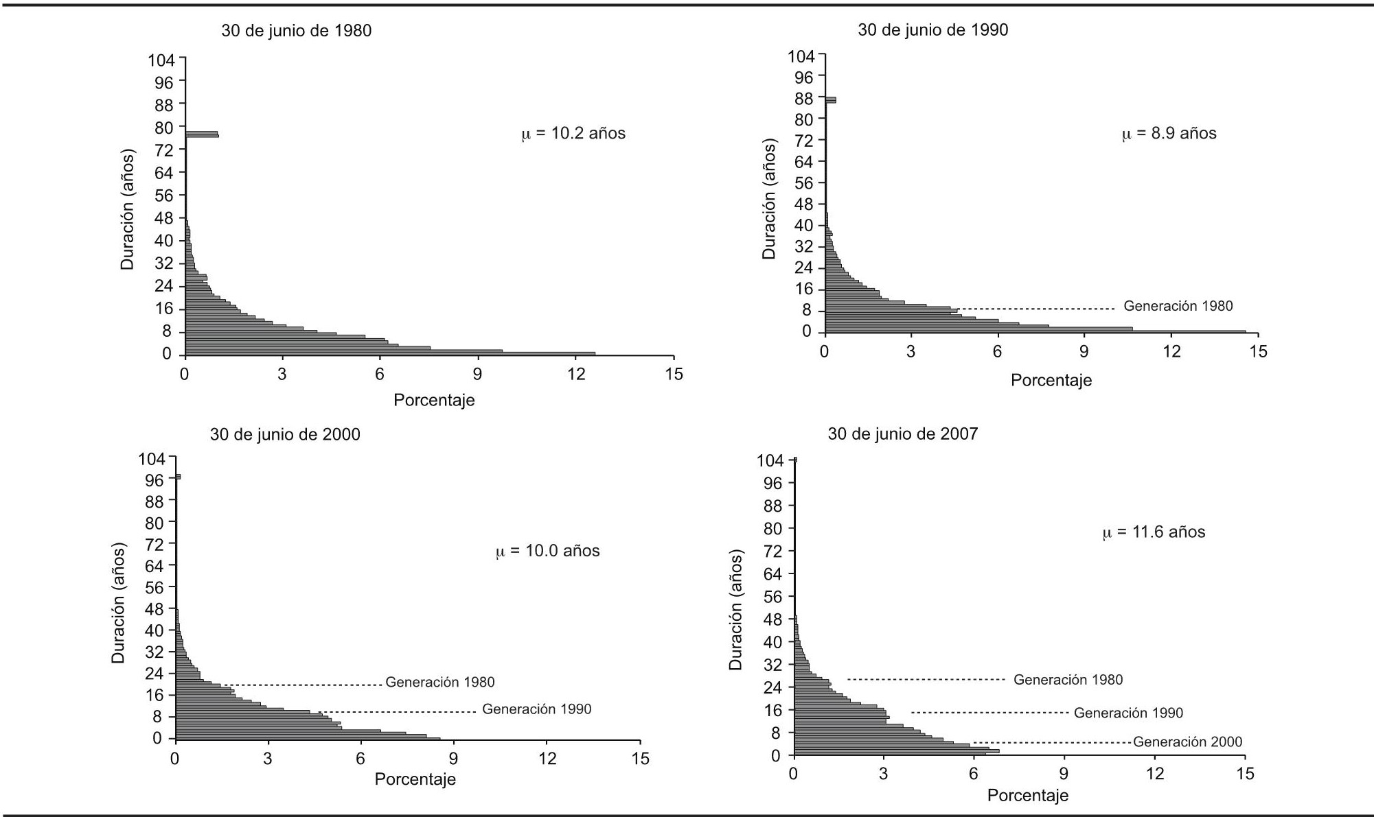
En la gráfica 1 se pueden observar los respectivos volúmenes de población para 1980, 1990, 2000 y 2007, medidos en porcentaje y por duración (años). En el recuadro superior izquierdo se muestra la población al 30 de junio de 1980, y se observa que en la duración cero se localizaba más de 12% de empresas; en la duración uno cerca de 10%, mientras que en la dos la cifra superaba el siete por ciento.

Fuente: Morales, 2008: 67
Gráfica 1. Población de empresas a mitad de año; México, 1980, 1990, 2000 y 2007
Entre estas tres duraciones se podía contabilizar cerca de 30% del total de empresas para ese año. La distribución general de las frecuencias simula perfectamente una semipirámide poblacional ya que en la base se acumula una mayor cantidad de empresas, y a medida que la edad se incrementa las proporciones en esas duraciones son cada vez menores.
Al cabo de 10 años más, en 1990, la población se había multiplicado 2.5 veces. En la duración cero la población ascendió a 14.6% del total, proporción que claramente se puede identificar en el recuadro superior derecho; en la duración cinco se acumula 50% de la población, mientras que 75% se alcanzó en la duración once años cumplidos.
Puede identificarse también la silueta formada por la población empresarial que sobrevivía y fue creada antes de 1980, iniciando en la parte superior de la semipirámide hasta la línea punteada de la generación 1980, mientras que la población sobreviviente de la década de los ochenta se localiza por debajo de dicha línea. Se puede apreciar un gran volumen de población acumulada hasta la duración 10 que suma en total 72.1%, lo que indica que en 1980 la población empresarial era joven, es decir, tres de cuatro empresas tenían cuando mucho diez años de edad.
En el año 2000 la población en número de unidades era de 645 653 empresas, dando como resultado un incremento de 2.3 veces respecto a la población de 1990, pero a pesar del robusto valor unitario de la población, el valor porcentual en las primeras duraciones disminuyó considerablemente. En la edad exacta uno se localizaba 8.6% de las empresas, lo que indica una fuerte disminución a esta edad y en general en los primeros cinco años de duración respecto de las mismas duraciones en 1990. En el año 2000 la mitad de la población se situaba entre los seis y siete años de edad. Además se contabilizaron 9 433 empresas que tenían 20 años de duración, las cuales representan una proporción de 64.5% de sobrevivientes respecto de las 14 620 creadas en 1980. De forma general la gráfica 1 permite identificar las siluetas generadas por la población del periodo de referencia; en la semipirámide del recuadro inferior derecho se puede apreciar el total de la población al 30 de junio de 2007, la cual está conformada por las empresas sobrevivientes de años anteriores. Con líneas punteadas se destaca la generación de 1980, 1990 y 2000 con el fin de mostrar la evolución en el tiempo de la población empresarial mexicana. Claramente se aprecia que la población es joven, ya que 92.5% de las empresas tiene menos de 27 años de edad, y 7.5% corresponde a las que se fundaron antes de 1980 y pueden considerarse como las maduras o las consolidadas en el mercado.
Es importante mencionar que en 2007 el porcentaje de población en las primeras duraciones disminuyó considerablemente. En ese año se puede identificar que la mitad de la población tenía menos de nueve años de edad y 75% menos de 16 años. Como punto de comparación, en 1980 casi 67% de las empresas se localizaba en la edad de nueve años, y a los 16 años se sobrepasaba 82% del total de la población. Otro punto de comparación importante es el porcentaje de empresas de duración cero entre 1990 y 2007 (14.6 y 6.4% respectivamente). Estas cifras indican una importante desaceleración en términos relativos en la creación de empresas y su sobrevivencia durante el primer año de operaciones.
Creación y cierre de empresas
En el cuadro 2 se presenta información respecto a la cantidad de empresas que se crearon y cerraron en México desde 1980 a 2007; en la columna “Población a mitad de año” se observa un incremento constante del volumen de la población empresarial. En 1980 había poco más de 116 mil empresas; en 1996 se superó la cifra de 500 mil; en 2003 se contabilizaban poco más de tres cuartos de millón (758 867), y finalmente en 2007 la población llegó a su nivel más alto al contar con poco más de 913 mil empresas. Las cifras concernientes a la creación de empresas en el periodo de referencia presentan altibajos propios de las condiciones económicas vividas por nuestro país en el pasado.
En el inicio de la década de los ochenta se crearon 16 101 empresas y al final de esa década dicha cifra se duplicó hasta alcanzar las 37 323 nuevas empresas, lo que evidencia una época favorable para su creación. Además, en 1988, 1989 y 1990 se crearon alrededor de 10 mil empresas más cada año (26 313; 37 323; y 47 123 unidades respectivamente), es por ello que en estos años se localizan las tasas de creación más altas de la década (11.9, 15.1 y 16.5% respectivamente).
El año menos favorable en cuanto a creación de empresas fue 1995, claramente relacionado con una de las peores crisis financieras que vivió el país en el siglo pasado. Diez años más tarde, en 2005, se llegó a la cifra máxima de creación de empresas, que rondó las 70 mil. En los dos años siguientes la tendencia fue a la baja; en 2007 la apertura de nuevas empresas disminuyó casi en 16 mil empresas en comparación con 2005.
En el cuadro también se pueden observar las cifras concernientes a las empresas que cerraron en el periodo de referencia. En 1980 sólo 810 empresas cerraron sus puertas; en los siguientes dos años la cifra se incrementó ocho veces, llegando a 6 500 unidades cerradas, lo que representa una de las mayores tasas de cierre pues de cada 100 empresas existentes en ese año, cinco se extinguían. Asimismo en 1987 se registró la mayor tasa de cierre en el periodo y el mayor número de empresas cerradas en esa década (estos años están estrechamente relacionados con las crisis económicas que vivió el país durante 1982 y 1986).
Durante los primeros tres años de la década de los noventa hubo un ligero incremento en el cierre de empresas, pero a partir de 1992 se aceleró en gran magnitud. Las cifras de 1992 se cuadruplicaron al final del milenio, al pasar de las 6 624 a poco más de 25 mil. En el presente siglo las tasas de cierre se han mantenido estables ya que tres de cien empresas tuvieron que cerrar sus puertas. La mayor cantidad de empresas cerró en 2005 (cerca de 30 mil); en los dos años siguientes las cifras se redujeron ligeramente.
La dinámica presentada por los valores de apertura y cierre de empresas muestra claramente que hay mayor incidencia en la creación de nuevos negocios que en su extinción, lo que sin duda impacta en el volumen de la población empresarial mexicana que se incrementa año con año.
Edad de las empresas mexicanas
Un asunto de gran importancia para los emprendedores de negocios y creadores de empresas es conocer las perspectivas de crecimiento y sobrevivencia de las empresas que pudieran establecerse. Es por ello que inevitablemente surgen algunas preguntas como ¿qué edades tienen?, ¿qué tan jóvenes o viejas son? Para dar respuesta a lo anterior se utilizó la estructura por edad de la población ya que con ello se logra visualizar y presentar detalladamente su magnitud.
La gráfica 2 muestra la estructura de la población empresarial al 30 de junio de 2007. La semipirámide que se dibuja muestra el volumen de la población; se toma como punto de referencia la crisis financiera de 1995 (considerada como una de las más crudas de la historia económica del país), con el fin de realizar una descripción por edad de las empresas antes y después de dicho evento. Las empresas que sobrevivieron a esta crisis financiera sumaban 367 828, que conforman un grupo de doce y más años de edad, y representan 40% del total de la población. Con esta misma lógica se observa a un total de 68 268 empresas que vivieron la gran industrialización del país, el modelo económico de sustitución de importaciones y por supuesto la crisis financiera de 1995; sus edades inician en 28 años y concluyen en los 106 años de edad. Cabe mencionar que en la punta de la semipirámide se contabiliza un total de 2 081 empresas de más de 90 años, las cuales iniciaron sus operaciones antes y durante la revolución mexicana (1910-1917).

Fuente: Cuadro A1 del anexo.
Gráfica 2. México: estructura de la población empresarial al 30 de junio de 2007
La población empresarial que inició sus operaciones después de la crisis financiera de 1995 representa 60% del total, y en conjunto suman un total de 545 647 unidades económicas de entre cero y once años de edad.
Como se observa en la gráfica 2, una gran cantidad de empresas son de reciente creación; afortunadamente aún sobrevive un volumen considerable de empresas que se fundaron durante el siglo pasado y a comienzo del presente.
¿En qué edad o edades cierran más empresas en México?
Así como es importante conocer el volumen de la población empresarial y su edad en un momento en el tiempo, también lo es saber la edad en que las empresas cierran sus operaciones y los patrones que indican las edades más vulnerables para su sobrevivencia. Se sabe que el riesgo de cerrar una empresa está siempre latente y que a diario una gran cantidad de empresas terminan sus operaciones independientemente de su edad. Es por ello que resulta importante conocer la edad o edades en que una mayor cantidad de empresas tiene que cerrar sus negocios. ¿Tendrán mayor riesgo de extinguirse las empresas de reciente creación o aquellas que ya tuvieron algunos años de sobrevivencia en el mercado? Para conocer lo anterior es fundamental analizar las tasas de extinción para empresas conforme a cuatro edades, en particular durante el periodo 1980-2007. Las primeras dos edades elegidas fueron de reciente creación y las dos restantes mayores a los cinco años de edad.
En la gráfica 3 se presentan las curvas de las duraciones uno, dos, seis y nueve años, durante el periodo. Se identifican los siguientes patrones:
1) Las tasas de extinción de empresas de los años 1980 a 1987 presentan cierta homogeneidad, es decir, las cuatro curvas mencionadas se ubican entre los valores de 30 a 65 empresas cerradas de mil existentes, dibujando claramente una silueta en forma de “M”.
2) A partir de 1988 hay una fuerte disminución en todas las duraciones hasta 1997; se visualiza una fuerte caída en los valores de las tasas que presentan una forma de “U”.
3) En el periodo de 1988 a 2007 las curvas de la duración uno y la duración dos se ubican como las tasas de más alto valor, mientras que las curvas de las duraciones seis y nueve años presentan cifras menores; además se aprecia una brecha importante entre las empresas de reciente creación y las que sobrevivieron por lo menos cinco años.

Fuente: Morales, 2008: 79.
Gráfica 3. Tasas de extinción de empresas por periodo y duración seleccionadas, México
Lo anterior indica que si en la actualidad las empresas sobreviven a los primeros dos años de duración tienen mayores probabilidades de sobrevivir en el futuro. Surgen entonces los siguientes cuestionamientos: ¿cuál es la proporción de empresas sobrevivientes después de dos años de su creación?, ¿cuál es el comportamiento de la probabilidad de sobrevivencia en años subsecuentes?
Proporción de empresas sobrevivientes después de dos años de su creación
Con base en la información de los valores de las proporciones de empresas sobrevivientes en el periodo se realizó una comparación por cohorte. En el cuadro 3 se presentan las cohortes de 1980 a 2005 separadas en intervalos de cinco años cada una, así como también las duraciones que van desde cero hasta diez años de edad. El límite de diez años se eligió para facilitar la comparación con trabajos anteriores, cuyos estudios se refieren a duraciones de entre dos y hasta seis años.2
El cuadro muestra que en la duración uno las cohortes más viejas tenían mayores posibilidades de sobrevivencia. En 1980 sobrevivía 99.3% de las empresas creadas en ese año, en contraste con la cohorte de 2005, donde sólo 95.2% logró cumplir un año de duración.
Cuadro 3. Proporción de empresas sobrevivientes;a México, cohortes 1980-2005

a Por cada 100 empresas creadas.
b Dado que la información del estudio comprende hasta el año 2007, las cohortes de 2000 y 2005 aún no sobrepasaban las duraciones que faltan en el cuadro.
Fuente: Morales, 2008: 81.
En la duración dos las cohortes de 1995 y 2005 presentan el menor porcentaje de empresas sobrevivientes, donde más de 10% ya se había extinguido. A los cuatro años de duración entre el 15 y 20% de las empresas de todas las cohortes ya habían cerrado sus puertas. Al sexto año de edad sobrevivía más de 70% de las empresas creadas. La cohorte con mayor porcentaje de empresas sobrevivientes a la duración diez es la de 1985 (81.6%), que contrasta con las cohortes de 1980, 1990 y 1995, cuyo porcentaje de sobrevivencia era menor al 70 por ciento.
Cabe destacar que las cifras de sobrevivencia en nuestro país son elevadas en comparación con los estudios de Headd (2003) y Knaup (2005), en los que se menciona que sólo 66% de las empresas sobrevive a los dos primeros años de vida (en México sobrevivía más de 90%). Asimismo en el estudio de Crespi (2003) se afirma que 20% de las empresas chilenas de la cohorte de 1996 cerró antes del primer año, mientras que en nuestro país las empresas de la cohorte de 1995 sólo se extinguieron en poco más de cuatro por ciento.
A lo largo de este documento se ha presentado información sobre el volumen y distribución por edad de las empresas mexicanas, así como de los fenómenos de creación, cierre y sobrevivencia que ha experimentado la población empresarial de nuestro país. En resumen, este estudio muestra que la población es joven y que un gran porcentaje de ella no tiene más de 25 años de existencia; se crean más negocios de los que cierran, por tanto, la población se incrementa y envejece con el paso del tiempo; además, las cifras de sobrevivencia en los primeros años de vida indican que un gran porcentaje de ellas logra superar adversidades y continúa en actividad.
Descripción comparativa entre México y países miembros de la Organización para la Cooperación y el Desarrollo Económico
La demografía de negocios requiere del estudio y descripción de indicadores tales como volumen de la población, tasas de creación y cierre, así como de proporciones de sobrevivencia aXaños de haberse creado las empresas; es por ello que a manera de comparación se utilizan dichos indicadores para la población empresarial de nuestro país y así poder ubicar su posición respecto de otros países miembros de la Organización para la Cooperación y Desarrollo Económico (OCDE) (cabe mencionar que México también es miembro de esta organización desde 1994).
En la gráfica 4 se presenta el volumen de la población empresarial para los países de la OCDE. Durante el periodo 2004-2007 México tuvo en promedio una mayor cantidad de empresas (859 468) que países como Luxemburgo, República Eslovaca, Portugal, Dinamarca, Austria, Holanda, Hungría, República Checa, Suecia y Finlandia, países que tienen en común un territorio relativamente pequeño con excepción de los dos últimos.
Por otro lado, el país con más unidades empresariales en promedio para el mismo periodo fue Estados Unidos con más de cuatro millones, en segundo lugar Italia con tres millones ochocientos mil, seguidos por España, Francia, Alemania, Inglaterra y Polonia, cuyos territorios son de los de mayor magnitud de Europa, y América en el caso de Estados Unidos.
Con base en los promedios de población en los periodos de 1996-1999, 2000-2003 y 2004-2007, en la gráfica 4 se pueden apreciar cuatro tipos de cambio en el comportamiento empresarial. Durante los tres periodos se percibe un cambio ligero en el crecimiento en países como Luxemburgo, República Eslovaca, Finlandia y Dinamarca.
Los países con un cambio moderado son Austria, Holanda, Hungría, Suecia, República Checa, Inglaterra y México; estos países cuentan con un mayor volumen de población y han crecido más en el último periodo.
Portugal, España, Francia e Italia, que representan la parte sur del continente europeo, han tenido un crecimiento acelerado en cada uno de los periodos, lo que indica que existió un gran dinamismo empresarial en esa región. En América, Estados Unidos también creció aceleradamente, en especial en el periodo 2004-2007.
Finalmente, Alemania y Polonia tuvieron un comportamientoirregularen virtud de que las cifras para el primero son altas en el siglo pasado, caen en los primeros tres años del presente y repuntan en el último periodo; por su parte Polonia crece ligeramente en el periodo 2000-2003 y disminuye en el siguiente, de modo que no se observa un crecimiento como en el resto de los países europeos.
En el cuadro 4 se presentan las tasas de creación y cierre de empresas en el lapso de 1995 a 2007, dividido en tres periodos: 1995 a 2000, 2001 a 2003 y 2005 a 2007. Los datos de estos dos últimos cuentan con mayor rigor metodológico, pues hubo continuas reuniones del organismo (OCDE: 2007) para definir y homologar los criterios de realización de los respectivos indicadores. Muestra de ello son las cifras de Polonia, Portugal y República Checa que presentan grandes diferencias entre periodos; el resto de los países tiene cifras más consistentes, a pesar de que para algunos no hubo datos disponibles.
Cuadro 4. Comparación de tasas de creación y cierre de empresas; México y OCDE

Fuentes: aEuropean Commission, 2002: 15-23. bOCDE, 2006: 404-405. cOCDE, 2010: 377-379. d Para el periodo 2005-2007, Office for National Statistics, 2008: 1. eMorales, 2008: 76 y 96.
En el primer periodo la tasa de creación promedio asciende a poco menos de doce empresas creadas por cada 100 que existían en el periodo 1995-2000; sólo Austria, Dinamarca, Italia, México y Suecia se ubicaban ligeramente por debajo del promedio, mientras que el resto de los países lo sobrepasaba. Polonia encabezaba la lista de creación de empresas seguido de Hungría y Alemania.
La tasa promedio de cierre en este mismo periodo se ubica en siete empresas y también son Austria, Holanda, Italia, México y Suecia los países que presentan las tasas más bajas, además de la República Checa. Los países con cifras más altas al respecto son Alemania, España, Finlandia e Inglaterra. Lo anterior muestra que en general en todos los países se crean más empresas de las que se cierran, generando así poblaciones de empresas que incrementan sus volúmenes año con año.
En el segundo periodo, de 2001 a 2003, se notan ajustes en las tasas de creación y cierre de empresas en países como España, Finlandia, Hungría, Polonia, Portugal y la República Checa; las brechas entre cada uno de los datos se reducen, lo que indica una mayor coherencia entre ellos. Las cifras promedio de creación varían ligeramente entre los periodos, pero las de cierre se ubicaron en ocho empresas, una más respecto a la cifra del periodo anterior.
Alemania presenta la tasa de creación más alta (16.1), mientras que Portugal tiene la más baja (6.7); en cuanto a las tasas de cierre, México presenta la más baja del periodo, en contraste con República Eslovaca que presenta una tasa de 14.4 empresas cerradas por cada cien.
En el tercer periodo, de 2005 a 2007, Inglaterra tuvo la tasa de creación más alta (se crearon 12 empresas por cada 100), mientras que México tuvo la más baja (sólo 7 por cada 100). En Inglaterra se cerraron 10 empresas de cada 100, mientras que en nuestro país sólo 3 se extinguían. Cabe destacar el caso de España donde por cada 10 empresas creadas sobrevivían 3. Italia y Luxemburgo presentan tasas que indican una acumulación de su población ya que las tasas de creación son mayores a las de cierre. En Dinamarca y Estados Unidos las cifras de creación y extinción prácticamente se mantienen en sus mismos valores. Desafortunadamente no hubo datos disponibles en cuanto a la extinción de sus empresas en este periodo para Finlandia, Holanda, Polonia, Portugal, República Eslovaca, República Checa y Suecia.
Alemania, Inglaterra e Italia no presentan grandes cambios en sus cifras y se ubican en las primeras posiciones, es decir, en sus territorios se crea una gran cantidad de empresas pero también se cierra otro tanto aunque en menor proporción. Estados Unidos muestra un franco descenso en sus tasas para los dos periodos en los que se tuvo información disponible, pero la variación entre creación y cierre es mínima.
En el cuadro 5 se muestran las proporciones de sobrevivencia después de los dos años de creación de las empresas para las cohortes de 1998, 1999, 2000 y 2006; puede observarse que en España dicha sobrevivencia se incrementa 5.4 puntos porcentuales en 2006 respecto a su valor de 1998, pasando de 69.0 a 74.4% de empresas sobrevivientes. Italia presenta el mayor incremento en el periodo con 5.7 puntos porcentuales; en 1998 sobrevivía 67.5% de empresas italianas y para 2006 el porcentaje alcanzó la cifra de 73.2. Inglaterra también tuvo un incremento, aunque menor, al pasar de 79.1 a 80.4 y 82.0% en el año 2000, seis años después desciende 3.3 puntos para llegar a 78.7% de empresas sobrevivientes.
Cuadro 5. Proporción de empresas sobrevivientes a dos años de su creación; México y OCDE

Fuentes: aOCDE, 2006: 405. bOCDE, 2010: 377-379. c Para el año 2006: Office for National Statistics, 2008: 2. dMorales, 2008: 86.
En los años 1998 y 2000 México presenta las mayores cifras de sobrevivencia, 89.1 y 90.1% respectivamente. En 1999 Suecia supera ligeramente a nuestro país por la diferencia de 0.1 punto porcentual (prácticamente en ese año compartían el mismo nivel).
Lo anterior muestra que en otras latitudes la sobrevivencia de empresas es más precaria y que se extinguen a una mayor velocidad que en nuestro país. Probablemente este fenómeno se deba a que nuestros empresarios no dan de baja su registro ante el RFC cuando su empresa ha cerrado temporalmente por alguna causa y tengan la intención de continuar en un futuro, aunque no tenemos certeza de que este fenómeno también se dé en los países que se consideraron en el estudio.
Consideraciones finales
En este documento se da cuenta desde una perspectiva demográfica lo ocurrido a las empresas mexicanas durante un periodo de veintisiete años, en el que se han presentado todo tipo de situaciones que afectan la creación y vida de las empresas: años de bonanza económica como los delboompetrolero de los años ochenta; años de crisis como los de 1982, 1987 y 1995; tiempos de incertidumbre generados por un nuevo cambio de gobierno en nuestro país, así como una contracción económica internacional posterior al ataque terrorista al Centro Mundial de Comercio en septiembre de 2001.
Tomando en cuenta el contexto anterior se advierte que durante el periodo de 1980 a 2007 el volumen de la población de empresas mexicanas se incrementó en poco menos de 800 mil unidades (795 337). Prácticamente la población empresarial ha sido joven en todo el periodo, poco más de 90% de ellas estuvo situada entre los 20 y 25 años de edad y su promedio se sitúa alrededor de los 10 años.
El incremento de empresas creadas es constante durante el periodo, con excepción de los años de crisis (1987 y 1995); en 1980 se abrieron más de dieciséis mil negocios, y en 2005 la cifra se acercaba a los setenta mil. En los siguientes dos años las cifras se redujeron un poco, terminando en 2007 con un nivel de empresas similar al del año 2000 (poco más de cincuenta mil empresas creadas).
Así como las empresas creadas aumentaron durante el periodo, también las extinguidas se incrementaron constantemente (de menos de mil al inicio del periodo a casi treinta mil en 2005). Visto de otra manera, en 1995, año de una de las peores crisis financieras de nuestro país, cada 34 minutos una empresa cesaba sus operaciones; durante 2007 el tiempo en que se extinguía una empresa era de 20 minutos. Esto es, en la actualidad las empresas se extinguen a una velocidad mayor que en el pasado.
El rango de edad de las empresas en nuestro país al 30 de junio de 2007 fue de cero a 106 años de edad; en la edad uno se localizaba la cifra más alta con poco más de sesenta mil empresas que estaban en una edad crítica para su sobrevivencia; a partir de las edades subsecuentes la población disminuye constantemente.
Ahora los emprendedores de negocios pueden apreciar que 40% de las empresas mexicanas tiene más de doce años y el porcentaje restante tiene menos de eso, lo que indica que la población es joven y de reciente creación. Cuatro de cada diez sobrevivieron la crisis financiera de 1995 y por tanto puede presumirse que son empresas con un alto grado de resistencia a las condiciones del mercado mexicano.
El estudio sobre el riesgo de cerrar que vivieron las empresas durante el periodo evidenció que en casi en toda la década de los ochenta no hubo diferencia en la edad de una empresa al momento de extinguirse; es decir, las empresas de edades menores a los diez años tenían tasas de cierre muy similares. A partir de los años noventa se abre una brecha entre las empresas de reciente creación (uno y dos años) y las menores a diez (seis y nueve años); las primeras presentan tasas más altas de cierre en comparación con las segundas. Lo anterior indica que las empresas más jóvenes son más vulnerables y tienen mayor riesgo de terminar con sus operaciones.
La sobrevivencia de las empresas mexicanas no es diferente a las de otros países. En general, si sobreviven a los primeros dos años de edad tendrán una mayor probabilidad de continuar con sus operaciones. Al compararlo con los países miembros de la OCDE, nuestro país presenta un volumen mayor de empresas que los países más pequeños de Europa y menor que aquellos con mayor territorio; el crecimiento de la población nacional fue moderado al igual que el de Suecia, Holanda, República Checa e Inglaterra. Estados Unidos, Italia, España y Portugal, además de tener una gran población, tuvieron un crecimiento acelerado entre 1996 y 2007.
Por otro lado, México está por debajo del promedio de empresas creadas y también por debajo del promedio de empresas extinguidas; es decir, a pesar de que no se crea una gran cantidad de empresas, tampoco se cierran grandes cantidades, lo que permite ir acumulando población año con año.
Países como Alemania, Inglaterra y Estados Unidos presentan tasas de creación y cierre mayores que las de México. Cabe destacar el caso de España, donde por cada 10 empresas creadas sobrevivieron tres. Además, Suecia es el país europeo que tiene cifras muy similares a las nuestras.
Finalmente, la proporción de empresas que se extinguen en una misma cohorte es menor en México en comparación con países miembros de la OCDE; esto es, las cohortes de empresas mexicanas se extinguen a menor velocidad.










nueva página del texto (beta)







