Introduction
Heavy metal contamination is a global problem as large amounts of these pollutants have been and continue to be released into the environment by industrial activities (Yuang et al. 2014, Mahu et al. 2015). Long-term inputs of heavy metals have resulted in variations in their bioavailability to organisms, changes in metal distribution patterns, and alterations in biogeochemical cycles (Valdés et al. 2005, Boyd et al. 2017). The study of sediments as a record of contamination in marine environments has been widely used in environmental assessments, monitoring programs, and environmental risk assessments (Abrahim and Parker 2008, Muñoz-Barbosa et al. 2012, Maanan et al. 2014, Yuang et al. 2014, Birch 2017); however, it requires reference values and comparisons with control sites in order to detect changes in pollutant concentrations.
In Venezuela, oil exploration and exploitation began in 1878 (Lieuwen 1955), but it is offshore oil activities, which began about 20 years ago, that have rapidly increased the input of organic and inorganic pollutants in marine environments (GESAMP 2007, García et al. 2011). Among the activities of greatest influence in the incorporation of metallic elements are the discharge of drilling gravel, which usually has high contents of barite, cadmium, and mercury (Olsgard and Gray 1995, Neff 2005); sediment dredging, which removes and exposes the entire sediment matrix that was at rest, increasing the bioavailability of some elements; and pipe laying and testing.
The metallic elements that enter these environments are mainly associated with particulate and colloidal matter, which then promote the formation of flocs that precipitate into the sediments (Loring and Rantala 1992). Of the metals accumulated in marine sediments, it is difficult to discern what proportion of the metallic charge comes from a natural source and what is anthropogenic. In addition, the nature of the sediments varies spatially, so the concentration of metallic elements is also variable and depends on several factors, such as the type and quantity of the terrigenous input, contributions by anthropogenic activities, and currents. For these reasons, it has become necessary to create pollution indicators such as the enrichment factor (Sinex and Helz 1981) and the geoaccumulation index (Müller 1969), which allow estimating the additional input of metals to the environment using reference elements such as aluminum, iron, and other metals that are largely abundant in the Earth’s crust (Turekian and Wedepohl 1961, Valdés et al. 2005, Abrahim and Parker 2008).
We present the most updated and extensive baseline of metal pollution in Venezuelan sediments. Here, we show the concentrations of 9 heavy metals (barium, mercury, copper, nickel, chromium, cadmium, zinc, lead, and vanadium) and the degree of contamination they produce in different coastal areas of Venezuela. These results may serve as reference for determining the quality of marine sediments in Venezuela and in other areas of the Caribbean.
Materials and methods
Study area
Venezuela has 4,261 km of coastline, of which 3,499 km correspond to continental coasts and 762 km to insular coasts (Ramírez 2001). The sampling sites were distributed along the continental coasts of the western (Gulf of Venezuela), central (state of Falcón), and eastern (3 blocks: state of Anzoátegui, Gulf of Paria, and mouth of the Orinoco River Delta) regions, and the insular region (Los Roques Archipelago National Park) (Fig. 1). These regions are described within the marine ecoregions of Venezuela (Miloslavich and Klein 2008). The eastern region included the Orinoco Delta and the eastern upwelling ecoregion, which are highly influenced by discharge from the Orinoco Basin and well-marked upwelling periods. The central region comprised the Triste Gulf ecoregion and is characterized by a relatively extensive, shallow continental shelf, moderate secondary production, and prevalent sandy beaches. The western region included the Golfete de Coro, Gulf of Venezuela, and Paraguaná ecoregions. Golfete de Coro is characterized by shallow waters, muddy bottoms with high sedimentary loads due to resuspension, and some sandy beaches and mangrove systems. Paraguaná is characterized by rocky coastlines with high macroalgae cover and sandy beaches with high carbonate content. The insular region comprised Los Roques Archipelago National Park, an area characterized by coral reef communities and seagrass meadows, with high biodiversity and high proportion of calcareous sediments in sandy beaches (Cervigón 1995, Miloslavich and Klein 2008).
Data
The data set included metal concentrations from 110 sites pooled across the 4 study regions. The data were extracted from 18 technical reports made by the Institute of Technology and Marine Sciences (INTECMAR, for its acronym in Spanish) at Simón Bolívar University across the years from 2005 to 2014. All analyzed metals, except mercury, were measured by inductively coupled plasma optical emission spectrometry (Optima 2100 DV, Perkin Elmer; USA), using HNO3 for acid digestion in an ETHOS microwave (Advanced Microwave Labstation, Milestone; Italy). The concentrations were determined from the calibration curve constructed with the standard (AccuStandard ICP multielement standard solution IV, catalog number MES-04-1) and were verified with the Laboratory Performance Check Standard (AccuStandard LPCS-01R-1). The detection limit was 0.5 µg·L-1 in solution for barium, cadmium, copper, nickel, chromium, zinc, and vanadium, and 1.0 µg·L-1 for lead. Mercury concentrations were determined using a direct mercury analyzer (DMA-80, Millestone; Italy) with a detection limit of 10 ppb, and the AccudStandard PE-ICS18 HG-ASL-1 was used for the calibration curves. Three replicates were taken per site and samples were read in triplicate. All metal data were expressed on a dry weight basis. Data were classified into 4 geographic regions: western coast, central coast, eastern coast, and insular. These categories were further classified as intervened areas (IT) when data came from exploration and exploitation sites, and as non-intervened areas (NI) when data came from sites with no record of oil activity.
Enrichment factor
The enrichment factor (EF) was used to measure the contribution of different metals from unnatural sources to marine environments. It was calculated with Equation (1), using aluminum as a reference element (because its diagenetic alteration is more attractive than that of iron) (Sinex and Helz 1981, Birch 2020):
where X is the average concentration of the studied metal and Al is the concentration of aluminum. The concentrations of metals in the Earth’s crust were obtained from the tables for marine sediments of Turekian and Wedephol (1961). Aluminum was chosen as the reference element because its abundance by natural origin is larger than that by anthropogenic origin (Reimann and de Caritat 2005) and it is the most frequent reference element in the data matrix. A value of EF = 1 denotes no enrichment or reduction of the examined metal with respect to the natural abundance in the Earth’s crust. This value was not calculated for the insular region because sediments there are dominated by calcium carbonate. The scale used to weigh enrichment was the one established by Birth (2003).
Geoaccumulation index
The geoaccumulation index (Igeo) of Müller (1969) has been used to determine heavy metal contamination in terrestrial, marine, and freshwater sediments, and it compares the concentration of the metal under study with the metal concentration in the Earth’s crust. It differs from EF in that it incorporates a correction factor of 1.5, which corresponds to the possible fluctuations of the concentration in the Earth’s crust due to the lithological effect. This Igeo is calculated as follows:
where C n is the concentration of the metal in the sediment and B n is the concentration of the metal in the Earth’s crust. The values given in the tables of Turekian and Wedepohl (1961), which correspond to marine sediments, were used as reference concentration values in the Earth’s crust to estimate the degree of metal contamination. Although sedimentary cores for determining background concentrations locally is currently in common use (e.g., the OSPAR Coordinated Environmental Monitoring Programme [CEMP] has background metal concentrations for the entire northeastern Atlantic region), there have been no such studies in Venezuela to date and we therefore did not have a more appropriate approximation of the natural contribution of these elements in our sediments (Birch 2017, Pérez-Fernández et al. 2019). The classification for the degree of contamination according to the Igeo is described in Table 1.
Table 1 Contamination categories based on the geoaccumulation index (Igeo), after Müller (1969).
| Value | Classification |
| Igeo ≤ 0 | Uncontaminated |
| 0 < Igeo < 1 | Uncontaminated to moderately contaminated |
| 1 < Igeo < 2 | Moderately contaminated |
| 2 < Igeo < 3 | Moderately to strongly contaminated |
| 3 < Igeo < 4 | Strongly contaminated |
| 4 < Igeo < 5 | Strongly to extremely contaminated |
| 5 > Igeo | Extremely contaminated |
Mean effects range median quotients
Sediment quality guidelines have been developed by different organizations in North America using different approaches and they have been used to evaluate the quality of marine, estuarine, and freshwater sediments (CCME 2001). From the sediment quality guidelines, we chose the effects range median (ERM) quotient (ERMQ) method to calculate the degree of heavy metal contamination in sediments, according to the toxicity in marine organisms. The calculation was made using the following equations:
where C i is the concentration of the studied metal, ERM i is the reference value of the ERM in marine sediments for each metal according to the National Oceanic and Atmospheric Administration (NOAA) Screening Quick Reference Tables (Buchman 2008), and n is the total number of metals analyzed at each site. The classification was made according to Table 2. We considered the risk percentages to be relative to the probability that ERMQ values were toxic in amphipod survival bioassays (Long et al. 1998).
Results
Concentration
The concentration of metals varied in the different coastal localities and between IT and NI within each region. Barium, chromium, cadmium, zinc, copper, nickel, and vanadium showed higher concentrations in IT (Fig. 2). However, metal concentrations never exceeded the limits established by NOAA for ERMQ in marine sediments (Buchman 2008). It is important to note that metals such as barium do not have an established concentration limit for the ERM and that the high concentrations (50 mg·kg-1) observed on both the eastern and the western coasts are likely associated with the discharges of drill cuttings in these locations. Contrary to that observed for most metals, mercury concentrations were higher in NI, particularly on the western and eastern coasts, but they were higher in IT on the central coast (Fig. 2).

Figure 2 Mean metal concentrations in the superficial sediments of the Venezuelan coast. Values are given in a dry weight basis (mg·kg-1). Error bars represent the standard deviation. EC, eastern region; I, insular region; CC, central region; WC, western region.
In the western region most metals (except mercury) showed strong, positive correlations with the fine fraction of the sediments (mud percentage), while in the eastern region there was no such obvious association between the fine fraction and the evaluated metals, except for aluminum and iron. On the other hand, in the insular region there were strong, positive correlations between metals but there was a negative relationship between metals and the mud percentage and total organic carbon, probably related to the nature of the carbonate sediments.
Enrichment factor
The EFs clearly indicated that there was moderate to severe enrichment of copper, zinc, lead, and vanadium in the central coast of Venezuela in comparison with the eastern and western coasts (Fig. 3). Similarly, mercury showed severe enrichment but on the central and eastern coasts (Fig. 3). Finally, cadmium showed a particular behavior, with severe enrichment in all the study areas (Fig. 3). Other metals, such as barium and nickel, showed little to no signs of enrichment in most of the study areas (Fig. 3).
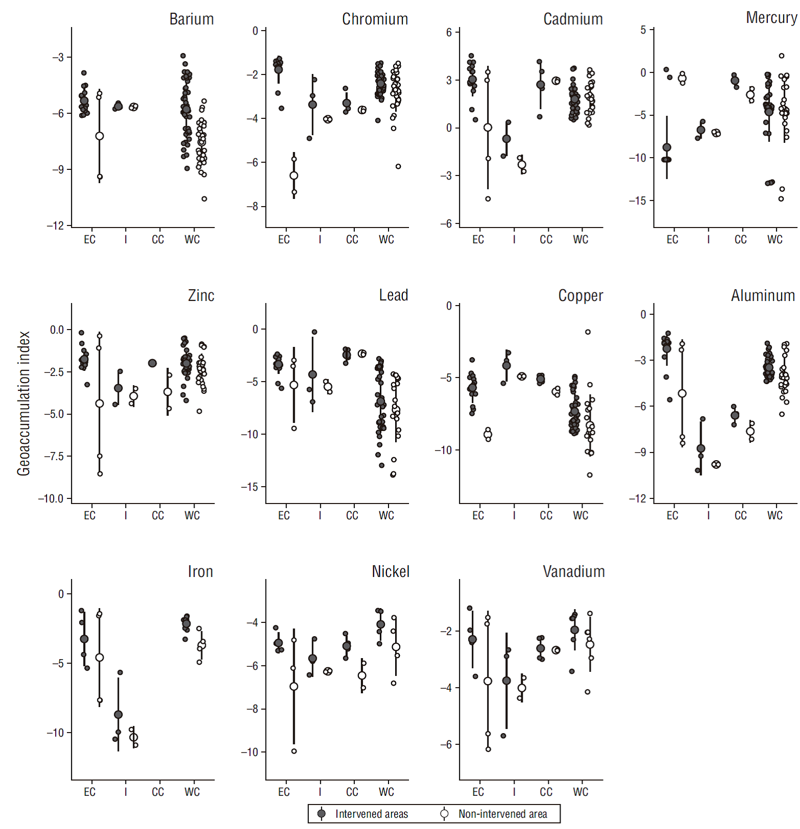
Geoaccumulation index
The Igeo proposed by Müller (1969) is another measure of heavy metal contamination levels in the sedimentary matrix. Most sediments along the coast of Venezuela fell in the category of uncontaminated in the case of most metals, except for cadmium (Fig. 4). Sediments were moderately contaminated with cadmium on the western coast and moderately to strongly contaminated with cadmium on the central and eastern coasts (Fig. 4). It is important to note that this pollution estimator considers the variability that may exist in the lithology between the different sediments, so the results were different from what was found with the EF.
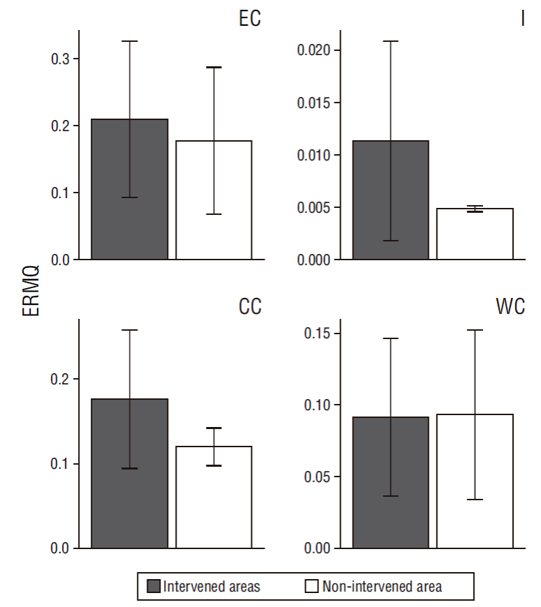
Percentage of risk
Both the EF and the Igeo show the concentration of metals in sediments without considering their potential toxicity in organisms. The percentage of risk provides a biological approximation of the effect of some metals, using as reference values the ERMs established by NOAA in Buchman (2008). Our results indicate that the percentages of risk varied across regions. On the eastern and central coasts of Venezuela, the percentage of risk to marine organisms by metals was 30%, but it was less than 12% in the insular region and on the western coast (Fig. 5). It is important to point out that for the eastern and central coastal regions, where the percentage of risk was higher, this risk was also higher in IT than in NI.
Discussion
This analysis of metallic elements in the sediments of the Venezuelan coast clearly highlights the anthropogenic entry of these pollutants into marine ecosystems. In particular, metals such as lead, cadmium, zinc, vanadium, chromium, and mercury stood out for their high concentrations in some of the coastal areas.
Globally, heavy metal concentrations tend to increase in marine coastal environments, but concentrations of metals such as lead have decreased since 2002, when tetraethyl lead ceased to be used as a catalyst for gasoline (Cook and Gale 2005); this measure was implemented in Venezuela in 2005. Lead was considered the fifth most common metal used worldwide during the 20th century (Cheung and Cheung 2017). In 2001 high concentrations of this metal were found in Morrocoy National Park, in stations near the coast receiving high terrigenous influence (García et al. 2011). In recent studies in Venezuela, the concentrations of lead were relatively low, which is consistent with the reduction in its use (Bone 2012).
Cadmium, unlike lead, is present throughout the Venezuelan coast, except in the insular region. The cadmium concentrations reported for both IT and NI exceed the international standards established in the “Interim Sediment Quality Guidelines (ISQG) for total metals in superficial marine sediments” (ISQG: 0.7 mg·kg-1) and the threshold level of the probable effects on organisms (probable effect level [PEL]: 3.5 mg·kg-1) (CCME 2001). High cadmium concentrations have been previously reported in Venezuela for the western coast (García et al. 2011), lakes in the central region (García-Miragaya and Sosa 1994), the central coast (Jaffé et al. 1998), and the eastern coast (Toledo et al. 2000, Fuentes et al. 2010). The established reference for the cadmium incrustation factor for marine sediments is relatively low (0.42 ppm, Turekian and Wedepohl 1961) when compared with concentrations that are currently reported in marine sediments from different areas of the world. Calvert and Pedersen (1993) suggested that the high concentrations of cadmium and other elements along the coast are due to the large continental contribution and to the fact that cadmium accumulates in sediments when oxygen levels are low given its affinity to sulfides. This pattern of high cadmium concentrations has also been observed in locations such as the Gulf of California and coastal areas of Trinidad and Tobago (Mohammed et al. 2012), and in the marine and estuarine sediments of Galicia, Spain, which are highly influenced by industrial activities, including accidental oil spills (Monaco et al. 2017). High cadmium concentrations have also been reported for other coastal areas with high oil activity, such as Bahrain in the Arabian Gulf (Freije 2015); however, depending on the nature of the hydrocarbons, the highest toxicity could be found in the water column and not in the sediment, as was the case in the Prestige oil spill (Franco et al. 2006).
Contrary to cadmium, zinc is an essential element and is quite common in the earth’s crust. Its distribution on the Venezuelan coasts is homogeneous except on the insular coast, where concentrations are relatively low. Although enrichment of this element was observed on the central coast, the concentrations fell below the established limit at which zinc is considered a pollutant for marine sediments (ISQG: 121 ppm). Like zinc, nickel concentrations were relatively low and similar throughout the entire Venezuelan coast, with no enrichment in any of the sampling areas. The accumulation of zinc and nickel in marine sediments can also be associated with the formation of sulfides.
Copper showed a particular distribution pattern, with high concentrations in the IT of the eastern, central, and insular coasts. This pattern was not observed on the western coast of Venezuela. Although enrichment was observed in the sediments from the central coast, copper concentrations fell below the established threshold at which it is considered a pollutant (ISQG: 18.7 ppm). Copper normally accumulates because it forms complexes with organic ligands or with clays in the sediments.
Vanadium and chromium showed similar behavior to that of copper, with moderate to severe enrichment in some areas of the eastern, central, and western coasts. Normally, these metals are found in seawater in at least 2 oxidation states, and they precipitate to the sediments in the least soluble state (Calvert and Pedersen 1993). The high concentrations of vanadium in marine sediments may be associated with the high presence of crude oil on the Venezuelan coasts. Crude oil has high concentrations of vanadium, around 100-1,000 ppm (Márquez et al. 1999), and it could be one of the main anthropogenic sources of vanadium inputs to the sediments. On the other hand, chromium is abundant in nature and is found in high proportions in basic and ultrabasic rocks (Wright and Welbourn 2002), which are found in the Gulf of Paria, on the eastern coast of Venezuela (González de Juana and Muñoz 1968). Chromium concentrations were higher in IT than in NI, and the values we report for eastern Venezuela were higher than the average reported by Norville (2005) for the Gulf of Paria (19.2 μg·g-1), where high chromium concentrations were associated with large river contributions; however, despite the fact that enrichment was observed, the reported concentrations did not exceed the established pollution limits for sediments (ISQG: 52.3 ppm). Both chromium and vanadium can accumulate in sediments in their reduced states when they precipitate as soluble oxides or hydroxides or are adsorbed on the surface of particles (Calvet and Pedersen 1993).
Iron and aluminum are found in high concentrations in the earth’s crust. They are therefore usually used as a reference in determining the input of other trace elements in different environments. It is important to highlight the high aluminum concentrations found on the eastern coast of Venezuela, which are associated with the large load of particles of terrigenous origin that is deposited into the coastal marine system by the Orinoco Delta.
Enrichment of mercury was observed on the eastern and central coasts and in some areas of the western coast. Mercury is one of the elements with the highest potential for bioaccumulation in marine organisms (Braune et al. 2015), and its mobility in the water column and sediments is highly variable because of methylation through microorganisms (Harding et al. 2018). The high concentrations of mercury in Venezuela may be associated with both natural inputs and the presence of fossil fuels, which are normally highly charged with this element. It is worth noting that the input of this element has been attributed to activities in the petrochemical industry on the central coast (Ramos et al. 2009).
Barium did not show enrichment on the Venezuelan coast, but the concentrations were higher in IT than in NI. The values observed in our study are similar to those reported for localities with high levels of oil intervention such as the Gulf of Mexico (Carriquiry and Horta-Puga 2010, Celis-Hernandez et al. 2018). This metal has been considered a marker element of pollution by oil activities due to the high content of barite in drilling fluids that most of the time are discharged to bodies of water and accumulate in sediments due to their poor solubility (Neff 2005). García (2011, 2014) found high barium concentrations (500-1,000 ppm) near areas with drilling platforms in the Gulf of Venezuela. Although there are no established limits for contamination by barium, it is an element with very high concentrations on the Venezuelan coast, and it is worth studying its potential effect on marine biota.
Metal correlations with mud percentage indicate that the dynamics of incorporation of these elements into the environment are associated with this fraction of the sediments. Particularly, iron on the eastern coast of Venezuela showed a strong correlation with mud percentage, and this element showed greater correlation with the other metals that are incorporated in marine sediments. This pattern can be explained by the release and transport of particles from sedimentary, volcanic, plutonic, and green shale rocks, and from the mining exploitation in the areas surrounding the Orinoco River, that later reach the sea (Márquez et al. 2012). The distribution and concentration of the studied metals clearly indicate a large degree of anthropogenic input along the Venezuelan coasts, where one of the main sources of pollution is the oil industry. There is also a large contribution of metallic elements by terrigenous discharges, likely associated with freshwater sources. Currently, metal concentrations do not seem to pose alarming threats to marine organisms, with risk percentages lower than 30% for the central and eastern coasts. However, the concentrations of metals must be permanently monitored given the extensive exploration and exploitation activities occurring in offshore areas that could potentially shift the patterns and dynamics of the concentrations and distribution of heavy metals along the Venezuelan coast.










texto en 






