INTRODUCCIÓN
La circulación en la capa superficial de los grandes giros es conducida principalmente por el viento (Huang y Russell 1994) que gira alrededor de los centros de alta presión llamados anticiclones. El movimiento vertical y horizontal en estos giros cumple un rol fundamental en el control de la interacción entre el océano y la atmósfera, y es de gran importancia para la comprensión de la circulación oceánica general y la variabilidad climática a diferentes escalas de tiempo. En la cuenca del Pacífico Sur, el Anticiclón Subtropical del Pacífico Sudeste (ASPS) es el forzamiento dominante del giro subtropical, el cual en su flanco derecho está constituido por el sistema de las corrientes del Pacífico sudeste conformado por la corriente de chorro de Humboldt, corriente oceánica de Humboldt, corriente costera de Humboldt, contracorriente Perú-Chile, corriente subsuperficial PerúChile, corriente costera de Chile, corriente del Pacífico Sur y corriente ecuatorial del Sur (Strub et al. 1998, Fuenzalida et al. 2008).
El ASPS tiene ciclos estacionales, interanuales y decadales (interdecadales). A escala estacional, en el verano austral, el ASPS es más intenso frente a la costa centro-sur de Chile (aproximadamente 35º S) y en invierno es más intenso frente a la costa de La Serena (norte de Chile, aproximadamente 30º S) (Taljaard 1972). Frente a las costas del Perú, el ASPS provoca vientos favorables a la surgencia que son más intensos en el invierno que en el verano. Estos vientos paralelos a la costa advectan agua hacia el norte y ocasionan un transporte de Ekman costa afuera, y se genera un consecuente afloramiento de estratos más profundos (Croquette et al. 2007). El patrón estacional de los vientos tiene una variabilidad baja entre los 18º y 28º S (Pizarro et al. 1994), mientras que entre los 30º y 40º S, esta variabilidad se incrementa (Fig. 1) e incluso promueve hundimiento durante el invierno (Garreaud y Muñoz 2005, Sobarzo et al. 2007). Cuando el ASPS se fortalece, se incrementa la magnitud de los vientos provenientes del sur y, por tanto, hay un mayor transporte de aguas del polo y más eventos de surgencia (Croquette et al. 2007). Por el contrario, al debilitarse el ASPS, los vientos provenientes del sur decrecen en magnitud y la incidencia del transporte de Ekman es menor.

Figura 1 Magnitud (color) y dirección (vectores) del promedio anual del esfuerzo del viento en el Pacífico oriental con base en QuickSCAT (Piolle y Bentamy 2002). Las elipses muestran la varianza de la climatología mensual del esfuerzo del viento. Los contornos muestran el promedio anual de la presión del aire a nivel del mar (hPa) con base en NCEP/NCAR (Kalnay et al. 1996). La escala para la dirección del esfuerzo del viento y las elipses de varianza se muestran en la esquina superior derecha. La escala de la elipse representa un eje mayor de 0.03 Pa y un eje menor de 0.015 Pa, y la elipse rota 90º desde el norte. La A representa el centro anual del Anticiclón Subtropical del Pacífico Sudeste.
A escala interanual, durante la fase cálida de El Niño Oscilación del Sur (ENOS), la intensidad del ASPS disminuye, y en el Pacífico sudeste, la surgencia lleva aguas menos frías hacia la superficie debido a que la termoclina se profundiza (e.g., Blanco et al. 2002, Carr et al. 2002). Además, también ocurre una menor advección de aguas hacia el ecuador que incluso podrían dirigirse hacia el polo, como lo ocurrido durante El Niño 1997-1998 (Carr et al. 2002). Ambos mecanismos tienden a calentar las aguas superficiales costeras. Durante la fase fría de ENOS (La Niña), la intensidad del ASPS aumenta y ocurren condiciones oceanográficas opuestas a El Niño.
La escala decadal (interdecadal) es asociada con un modo de la cuenca del Pacífico conocido comúnmente como Oscilación Decadal del Pacífico (ODP) (Deser et al. 2010), Oscilación Interdecadal del Pacífico (Power et al. 1999, England et al. 2014) o varibilidad parecida a ENOS (Zhang et al. 1997). Esta oscilación inicialmente se refería a una variabilidad climática océano-atmósfera centrada sobre las latitudes medias de la cuenca del Pacífico Norte (Mantua et al. 1997), pero se ha reconocido su extensión hacia el Pacífico Sur (Montecinos et al. 2003, Shakun y Shaman 2009). Durante la fase cálida (fría) de la ODP, se presentan anomalías negativas (positivas) de temperatura superficial del mar (TSM) y un reforzamiento (debilitamiento) del esfuerzo de los vientos del oeste en la parte central del Pacífico Norte que coinciden con anomalías positivas (negativas) de TSM a lo largo de las costas de América del Norte y Sur (Mantua y Hare 2002) (Fig. 2a).

Figura 2 Promedio de las anomalías de la variabilidad espacial climática asociada a la fase cálida de (a) la Oscilación Decadal del Pacífico (1975-1998) y (b) el Modo Anular del Sur (1993-2001). En (a) se muestra la temperatura superficial del mar (TSM, ºC) y en (b) la presión del aire a nivel del mar (PA, hPa). Los vectores representan el esfuerzo del viento. El promedio de las anomalías en cada punto se multiplicó por el promedio de la anomalía climática asociada a cada índice. Los datos de PA y el esfuerzo del viento fueron obtenidos de NCEP-NCAR (Kalnay et al. 1996) y los datos de TSM de ERSST v3b (Smith et al. 2008), y sus anomalías fueron basadas en la climatología del periodo 1949-2012.
El Modo Anular del Sur (MAS) es una oscilación que tiene variabilidad interanual e interdecadal y que afecta el océano Pacífico Sur. Esta oscilación es descrita como una alternación a gran escala de la masa atmosférica de la presión superficial entre las latitudes medias y altas (Gong y Wang 1999). A escala interdecadal, se ha observado que cuando el MAS está en su fase positiva, se fortalecen los vientos provenientes del oeste (65º S hacia el sur, fig. 2b) y, como resultado, hay un incremento del transporte de Ekman hacia el norte. Además, el MAS produce divergencia del transporte superficial cercano a la Antártica y aceleramiento de la corriente circumpolar. Más hacia el norte, alrededor de los 40º S, esta oscilación produce un incremento en la convergencia de Ekman, la TSM y los flujos hacia el oeste (Hall y Visbeck 2002).
En la costa oeste de Sudamérica, la ODP produce anomalías de TSM, las cuales se originan a través del forzamiento atmosférico que genera advección de aguas provenientes del giro subtropical en su camino hacia los trópicos (White y Cayan 1998). En este sentido, hay evidencias de un decrecimiento en las temperaturas de las aguas superficiales del Pacífico Sudeste en las recientes décadas (Willis et al. 2004, Schneider et al. 2007, Falvey y Garreaud 2009) que han sido relacionadas con una aceleración de la circulación del giro subtropical. Esta aceleración sería causada por la intensificación del esfuerzo del viento (Roemmich et al. 2007, Schneider et al. 2007) ligado al reforzamiento del ASPS (Falvey y Garreaud 2009).
Los principales cambios interanuales e interdecadales de la TSM a lo largo de la costa centro-norte de Chile se han asociado al ciclo ENOS y a la ODP, respectivamente. La variabilidad relacionada con ENOS decrece hacia los polos, mientras que la variabilidad interdecadal incrementa hacia las zonas subtropicales. Ambas oscilaciones afectan el campo de presiones del ASPS al producir anomalías en la magnitud y dirección de los vientos a gran escala, modificando tanto las pesquerías como la flora y fauna (Yáñez 1991, Hayward 1997, Thiel et al. 2007). Hay pocos estudios centrados en la variabilidad del ASPS a escala interanual y decadal. Un estudio detallado sobre el flanco derecho del ASPS, el cual controla la surgencia impulsada por el viento, mejorará el entendimiento de la TSM en la parte centro-norte de Chile.
En la presente investigación se realiza un análisis de la intensidad y posición del ASPS desde la escala estacional hasta interdecadal mediante el estudio de la presión a nivel del mar y su relación con los índices ENOS, ODP y MAS en el periodo 1949-2012. Se establece el impacto que tienen las fluctuaciones del esfuerzo del viento, originado por los cambios en el ASPS, en la disminución de la TSM observada en los últimos años a lo largo de la costa centro-norte de Chile.
MATERIALES Y MÉTODOS
Bases de datos
Para el presente estudio se utilizó información meteorológica y oceanográfica correspondiente a presión del aire a nivel del mar para el periodo 1949-2012, magnitud y dirección del esfuerzo del viento superficial y TSM para el periodo 2000-2012. Además, se utilizó información sobre tres índices: ODP, MAS e Índice del Niño Oceánico (INO). Se usó información mensual excepto para la TSM, cuyos registros fueron diarios y promediados por mes.
Información meteorológica y oceanográfica
Presión del aire a nivel del mar
Los datos de la presión del aire a nivel del mar (PA, resolución espacial de 2.5º × 2.5º) proceden del proyecto de reanálisis National Centers for Environmental Prediction/ National Center for Atmospheric Research (NCEP/NCAR). Este proyecto consiste en un modelo físico sometido a reajustes permanentes a través de la comparación entre datos in situ y satelitales de temperatura, vientos, presión y otros (Kalnay et al. 1996).
Esfuerzo del viento superficial
La magnitud y dirección del esfuerzo del viento superficial mensual corresponden a productos desarrollados por el Instituto Francés de Investigación para la Explotación del Mar (IFREMER). Estos productos fueron interpolados mediante el método objetivo y basados en los obtenidos por los escaterómetros a bordo de los satélites QuikSCAT (sensor SeaWind) (Piolle y Bentamy 2002) y MetOP (sensor ASCAT) (Bentamy y Fillon 2012). Ambos productos tienen una resolución espacial de 0.25º × 0.25º.
Se utilizó la información registrada por QuikSCAT entre enero de 2000 y noviembre de 2009 (tiempo en que dejó de operar) y por ASCAT entre mayo de 2007 (tiempo en que comenzó a funcionar) y diciembre de 2012. La correlación (error cuadrático medio) entre ambas bases de datos fue de 0.73 (0.0064) para el esfuerzo del viento zonal y 0.93 (0.0086) para la componente meridional en el periodo de superposición a lo largo de la costa centro-norte de Chile (17-40º S y los primeros 100 km de la costa). Todas las correlaciones tuvieron un nivel de significación del 95%. La información que se presenta corresponde a los productos derivados del satélite QuikSCAT y a los datos obtenidos después de noviembre de 2009 mediante regresión lineal entre las dos bases de datos en donde las variables independientes fueron los productos derivados de ASCAT.
Variables derivadas del esfuerzo del viento superficial
Se calculó el transporte superficial de Ekman perpendicular a la costa (Mx , m2 s-1) y el bombeo de Ekman (We, m s-1) para cada punto de la(s) componente(s) del campo del viento de acuerdo con Talley et al. (2011 (ecuación 1) y Chereskin y Price (2001) (ecuación 2), respectivamente:
donde ρ es la densidad del agua de mar (1026.97 kg m-3), f = 2Ωsenθ es el parámetro de coriolis (donde Ω es la velocidad angular de la Tierra [7.27 × 10-5 rad s-1] y θ es la latitud de cada punto de grilla) y ∇ ×
es el rotor del esfuerzo del viento. El rotor del esfuerzo del viento se calculó mediante diferenciación centrada de primer orden, lo cual implicó que no se pudieron evaluar los puntos de grilla más cercanos a la costa.
Temperatura superficial del mar
Los datos de TSM procesados mediante interpolación óptima fueron obtenidos de NOAA/NESDIS/NCDC (resolución espacial de 0.25º × 0.25º). Estos datos fueron derivados del sensor Advanced Very High Resolution Radiometer (AVHRR) y sus sesgos fueron corregidos con la información in situ procedente de barcos y boyas (Reynolds et al. 2007).
Índices
Índice del Niño Oceánico
El INO es definido como la media móvil de tres meses de las anomalías de la TSM promedio de la región del Niño 3.4 (5º N-5º S, 120º-170º W). Las anomalías se basan en un conjunto de análisis de TSM históricos homogéneos mejorados de la base datos ERSST.v3b (Smith et al. 2008). Este índice fue obtenido del Climate Prediction Center de la NOAA, y es la medida principal utilizada para el seguimiento, la evaluación y la predicción de ENOS.
Índice de la Oscilación Decadal del Pacífico
El índice de la ODP es el resultado de un análisis de funciones empíricas ortogonales (FEO) correspondiente a valores estandarizados del primer componente principal de las anomalías de TSM en el Pacífico Norte (desde los 20º N hasta el polo). Este índice fue obtenido del Joint Institute for the Study of the Atmosphere and Ocean. Antes de realizar el análisis de FEO, se sustrajeron las medias mensuales globales de las anomalías de TSM para evitar el efecto de un posible calentamiento global (Mantua et al. 1997).
Índice del Modo Anular del Sur
El índice del MAS, también llamado Oscilación Antártica, es el resultado de la diferencia del promedio zonal de presiones a nivel del mar entre 40º S y 65º S. Se utilizó el índice calculado por Marshall (2003), quien usó información de PA obtenida de los modelos de reanálisis NCEP/NCAR, ERA-15 y ERA-40 validados con información de estaciones in situ.
Comportamiento del Anticiclón Subtropical del Pacífico Sudeste
Para establecer la ubicación e intensidad del ASPS, se promediaron anualmente los datos de PA para el área de mayor influencia (15º-50º S, 150º-69º W) y luego se obtuvo el valor máximo. Este valor máximo anual fue considerado el centro del ASPS y fue utilizado para establecer su posición en latitud y longitud a través del tiempo. Para determinar si existen diferencias significativas entre las fases cálida y fría de la ODP, se separaron las series de tiempo en ambas fases de acuerdo con el índice de la ODP. Luego se aplicó una prueba de normalidad a ambos grupos. Se aplicó una prueba t de Student a los grupos con distribución normal y una prueba de suma de rangos de Mann-Whitney cuando la distribución no fue normal.
Para determinar la variabilidad interanual e interdecadal del ASPS, se obtuvieron series de tiempo anuales promediando los datos mensuales de PA en cada uno de los puntos de grilla sobre el área de mayor influencia. A éstas series de tiempo anuales se les removió la tendencia lineal y luego se les aplicó dos veces un promedio móvil de siete años para obtener series de tiempo interdecadales. Las series de tiempo interanuales se generaron restando las series anuales sin tendencia lineal de las series interdecadales. Ambos procedimientos se realizaron en una investigación similar por Montecinos et al. (2003). Después de estos procesos, el periodo de las series interanuales e interdecadales se redujo a 1953-2010 y 1955-2006, respectivamente. A las series obtenidas se les aplicó un análisis de FEO (Emery y Thomson 2004). Se aplicó la misma técnica para obtener la serie de tiempo interanual del INO y las series de tiempo interdecadales de los índices ODP y MAS. Debido a que las señales analizadas (interanual e interdecadal) podrían proyectarse sobre otros modos de FEO, se promediaron las series interanuales e interdecadales de PA para obtener una sola serie de tiempo interanual e interdecadal representativa del campo analizado, lo cual equivaldría a la(s) componente(s) temporal(es) del análisis de FEO. Además, para obtener la estructura espacial del campo de PA y su relación con ENOS (ODP y MAS), se realizó un análisis de correlación entre las series interanuales (interdecadales) de PA de cada uno de los puntos de la grilla y la serie interanual (interdecadal) del (de los) INO (índices de la ODP y MAS), lo cual sería semejante al (los) componente(s) espacial(es) del análisis de FEO. Se utilizó el ánalisis de correlación de Sperman con un nivel de significación mayor que 95%.
Finalmente, se realizaron climatologías mensuales del centro del ASPS para todo el periodo de estudio y para los años de fase cálida y fase fría de la ODP señalados en la página de internet http://www.nwfsc.noaa.gov/research/divisions/fe/estuarine/oeip/ca-pdo.cfm.
Series de tiempo y tendencias de variables meteorológicas y oceanográficas
Se establecieron series de tiempo de las anomalías mensuales de la TSM, del transporte superficial de Ekman perpendicular a la costa y del bombeo de Ekman a lo largo de la costa centro-norte de Chile (17-40º S y los primeros 100 km de la costa). Además, se estableció una serie de tiempo mensual de las anomalías de la intensidad del ASPS. A cada una de éstas series de tiempo se le ajustó una tendencia lineal entre 2000 y 2012.
RESULTADOS
Variabilidad estacional del Anticiclón Subtropical del Pacífico Sudeste
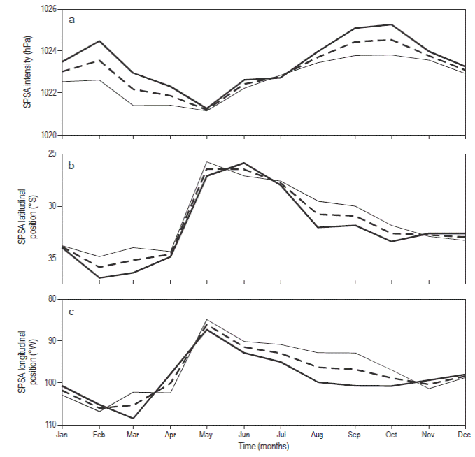
La variabilidad estacional de la intensidad del ASPS mostró un comportamiento semianual con una intensidad máxima durante febrero y octubre. En febrero y marzo, el ASPS se localizó en la parte más austral (~37º S) y lejana del continente (~108º W), mientras que en mayo, cuando se observaron las menores intensidades, se localizó en la parte más norteña (~26º S) y cercana al continente (~86º W) (Fig. 3).
Variabilidad interanual y decadal del centro del Anticiclón Subtropical del Pacífico Sudeste y su relación con la Oscilación Decadal del Pacífico
En general, se observó una relación inversa entre la intensidad del ASPS y la ODP: cuando la intensidad del ASPS se incrementó, la ODP estuvo en su fase fría y viceversa (R = -0.45) (Fig. 4). Al contrario, se observó una correlación directa entre la posición latitudinal del centro del ASPS y la ODP: cuando el centro del ASPS tendió a dirigirse hacia el ecuador, la ODP se encontró en su fase positiva y viceversa (R = -0.32) (Fig. 4). Además, se encontró una relación entre la posición latitudinal y longitudinal del centro del ASPS: cuando éste se desplazó hacia el sur también lo hizo hacia el oeste (R = -0.59). Las pruebas de significación determinaron que existieron diferencias significativas entre las fases cálida y fría de la ODP en cuanto a la intensidad (P < 0.001), posición latitudinal (P = 0.011) y posición longitudinal (P = 0.012) del ASPS, lo cual confirma las relaciones encontradas.

Figura 4 Series de tiempo anuales de (a) la intensidad del Anticiclón Subtropical del Pacífico Sudeste (SPSA), (b) el índice de la Oscilación Decadal del Pacífico (PDO), (c) la posición latitudinal del SPSA y (d) la posición longitudinal del SPSA.
Como se mostró, existió una fuerte correlación entre la intensidad y posición del ASPS con la ODP; sin embargo, las señales interanuales y decadales estaban mezcladas y, por tanto, se realizaron los ánalisis de FEO y correlación explicados en la metodología. La correlación entre la serie interanual de PA representativa del campo y la serie interanual del INO presentó una relación inversa (R = -0.75) (Fig. 5a). Por lo tanto, la principal fuente de variabilidad interanual sobre esta área fue ENOS, que explicó el 57% de la varianza interanual. La estructura espacial del análisis de correlación entre el campo de PA interanual y la serie interanual del INO mostró una relación inversa en toda el área, excepto una pequeña zona localizada al sur de 48º S. ENOS afectó principalmente a la zona oceánica (R < -0.8), localizada al noroeste del centro del ASPS (Fig. 5b). En el análisis de FEO, el primer modo temporal y espacial fue muy parecido a los resultados obtenidos con el análisis de correlación (figura no mostrada).

Figura 5 (a) Series de tiempo interanuales de la presión del aire a nivel del mar (AP) representativa del campo analizado y del Índice Oceánico El Niño (ONI). (b) Estructura espacial de la correlación entre cada una de las series interanuales del campo de AP y la serie interanual del ONI.
El análisis de correlación entre la serie interdecadal de PA representativa del campo y el índice interdecadal de la ODP presentó una relación inversa (Fig. 6a). La principal fuente de variabilidad interdecadal sobre esta área fue la ODP, con un R = -0.70, que explicó el 49% de la varianza decadal. El resultado no fue significativo (R = 0.01) cuando se relacionó con la serie interdecadal del índice del MAS. Sin embargo, se observó un desfase de seis años (Fig. 6a) que produjo una relación directa, con un R = 0.63, que se corresponde con el 40% de la varianza decadal, lo cual indica que los cambios del MAS preceden a los del ASPS.

Figura 6 (a) Series de tiempo interdecadales de la presión del aire a nivel del mar (PA) representativa del campo analizado (línea gruesa y línea discontinua [retrasado seis años]), el índice de la PDO/2 (línea punteada) y el índice del Modo Anular del Sur (SAM) (línea delgada). (b) Estructura espacial de la correlación entre cada una de las series interdecadales del campo de AP y la serie interdecadal del índice de la Oscilación Decadal del Pacífico (PDO). (c) Estructura espacial de la correlación entre cada una de las series interdecadales del campo de PA retrasadas seis años y la serie interdecadal del índice del SAM.
La estructura espacial del análisis de correlación entre el campo de PA interdecadal y la serie interdecadal del índice de la ODP fue parecida a lo que se mostró a escala interanual. Las mejores correlaciones negativas se obtuvieron hacia el sudoeste y norte del centro del ASPS (R < -0.8). Sin embargo, hubieron pequeñas zonas cerca de la costa hacia el norte de 38º S y sur de 45º S en las cuales se obtuvieron correlaciones positivas (Fig. 6b). Un análisis realizado para este mismo campo de presiones, en donde se promediaron los periodos cálidos y fríos de la ODP, presentó un resultado similar; es decir, se observó un descenso (aumento) generalizado de PA durante la fase cálida (fría) de la ODP (figura no mostrada). Como se observó este desfase entre PA y el MAS, el análisis de correlación espacial se realizó entre el campo de PA interdecadal con el retraso de seis años y la serie interdecadal del índice del MAS (Fig. 6c). Las mejores correlaciones (R > 0.6) se observaron hacia el sur y sudoeste del centro del ASPS y en una región muy cercana de la costa entre 33º y 24º S; sin embargo, también se observaron algunas zonas que tuvieron correlaciones negativas que coincidieron aproximadamente con aquellas correlaciones positivas que se obtuvieron con la ODP cercanas a la costa, además de un sector hacia el noroeste del centro del ASPS. En el análisis de FEO, el primer modo temporal y espacial correspondió a la ODP y el segundo modo al MAS, semejante a los resultados encontrados en el análisis de correlación. En el modo temporal del MAS también se observó un desfase (figura no mostrada).
Impacto de la Oscilación Decadal del Pacífico sobre el ciclo estacional del Anticiclón Subtropical del Pacífico Sudeste
La estacionalidad del ASPS se mantuvo durante ambas fases de la ODP, sin embargo, la intensidad del ASPS fue mayor durante la fase fría que durante la fase cálida. En general, durante la fase cálida (fría) de la ODP, el ASPS tiende a dirigirse hacia el norte (sur) y más cerca (lejos) de la costa respecto a su climatología. En los primeros cuatro meses del año, durante la fase fría de la ODP, se observó un aumento de ~1.5 hPa en la intensidad del ASPS y un movimiento con dirección hacia el sur de ~2º con respecto a la fase cálida. Entre mayo y julio, el ASPS no varió mucho en su posición e intensidad entre ambas fases de la ODP. De agosto a octubre, durante la fase fría, nuevamente se observó un incrementó en la intensidad del ASPS de ~1.5 hPa y un desplazamiento hacia el sur (~2º) y lejos de la costa (~8º) en relación con la fase cálida (Fig. 3).
Anticiclón Subtropical del Pacífico Sudeste y su relación con la TSM frente a la costa centro-norte de Chile
Las anomalías de la intensidad del ASPS presentaron una tendencia al aumento de 0.0113 hPa por mes (1.36 hPa por década) entre 2000 y 2012, mientras que las anomalías de TSM presentaron una tendencia a la disminución de 0.0016 ºC por mes (0.19 ºC por década) (Fig. 7).

Figura 7 Series de tiempo de las anomalías mensuales de (a) la intensidad del Anticiclón Subtropical del Pacífico Sudeste (SPSA, presión del aire), (b) la temperatura superficial del mar (SST), (c) el transporte superficial de Ekman perpendicular a la costa y (d) el bombeo de Ekman frente a la costa centro-norte de Chile. La línea recta punteada representa la tendencia entre 2000 y 2012 de cada una de las variables y el ajuste se presenta en la esquina inferior izquierda.
El movimiento del ASPS (campo de presiones) afecta principalmente a la intensidad y dirección del esfuerzo del viento que eventualmente podrían incrementar el afloramiento costero debido al aumento del transporte superficial de Ekman hacia afuera de la costa y del bombeo negativo (succión) de Ekman. Ambos procesos podrían explicar el decrecimiento de la TSM observado. Por esta razón, se analizaron las anomalías del transporte y bombeo de Ekman (Fig. 7). Entre 2000 y 2012, el transporte de Ekman hacia afuera de la costa y la succión de Ekman tendieron a aumentar a un ritmo de 0.00005 m2 s-1 por mes (0.006 m2 s-1 por década) y 0.0016 m d-1 por mes (0.192 m d-1 por década), respectivamente.
Aunque se estableció que la TSM a lo largo de costa centro-norte de Chile disminuyó significativamente, no se conocían las zonas en donde los cambios fueron más drásticos. Por tanto, se realizó un análisis de tendencia espacial de la TSM y de las variables que podrían ocasionar tal efecto (Fig. 8). La TSM tendió a disminuir a lo largo de toda la costa, pero el descenso fue drástico (más de 0.6 ºC por década) en 32º-31º S, 23º-27º S y 20º-17º S. El transporte de Ekman hacia afuera de la costa tendió a incrementarse sólo hacia el sur de 33º S, y fue fuerte en 37º-38º S (más de 0.15 m2 s-1 por década). La succión de Ekman tendió a incrementarse a lo largo de casi toda la costa, sobre todo en 37º-33º S y en dos pequeños núcleos alrededor de 39º S y 29 ºS, en donde aumentó a más de 0.15 m d-1 por década.
DISCUSIÓN
Variabilidad estacional del Anticiclón Subtropical del Pacífico Sudeste
Se han realizado varios estudios para establecer la migración estacional del ASPS (e.g., Taljaard 1972, Batteen et al. 1995, Strub et al. 1998, Montecino et al. 2006). Estos estudios mostraron ciertas diferencias principalmente en las posiciones meridionales (variación en un intervalo estacional entre 25º S y 35º S) debido a que se utilizaron diversas variables (e.g., magnitud y dirección del viento, PA) y periodos de tiempo. Sin embargo, en general, estos estudios mostraron que el ASPS se encontró más hacia el sur, intenso y lejano del continente en verano y más hacia el norte, débil y cercano al continente en invierno, lo cual concuerda con nuestros resultados. Los trabajos mencionados describen cambios estacionales, en donde se pierde la variabilidad mensual. En el presente trabajo se observó un ASPS menos fortalecido, más hacia el norte y cerca del continente en mayo, pero más hacia el sur y lejano del continente en febrero, coincidente con el segundo máximo del ASPS.
Variabilidad interanual y decadal del Anticiclón Subtropical del Pacífico Sudeste
La principal fuente de variabilidad interanual del campo de presiones fue ENOS, como ha sido mostrado por otros autores (Rutllant 2004, Montecinos y Pizarro 2005, Garreaud y Aceituno 2007). ENOS explicó el 57% de la varianza interanual y afectó principalmente la intensidad del ASPS, la cual disminuyó (aumentó) durante la fase cálida (fría) de ENOS, similar a lo mostrado por Rutllant (2004). Sin embargo, la zona más afectada por ENOS no fue precisamente el centro del ASPS sino la región Niño 3.4, donde existe un anómalo ascenso (descenso) principalmente en la tropósfera media durante los eventos El Niño (La Niña) al debilitarse (intensificarse) la circulación de Walker (Lau y Yang 2003).
Respecto a la variabilidad decadal del ASPS, se encontraron dos fuentes de variabilidad: la ODP, que representó el 49% de la varianza, y el MAS que constituyó el 40% de la varianza pero con un desfase. Varios trabajos han mostrado que la ODP no sólo afecta el hemisferio norte sino también el hemisferio sur y, por tanto es, una oscilación que abarca todo el Pacífico (Shakun y Shaman 2009, Deser et al. 2010). El MAS es una fluctuación que afecta principalmente la circulación atmosférica de las latitudes medias y altas del Hemisferio Sur (Gong y Wang 1999, Marshall 2003, Gillett et al. 2006) y es dominado por una variabilidad decadal (Yuan y Li 2008).
La alta correlación entre la ODP y la variabilidad decadal del ASPS confirmaría lo que ha sido observado por muchos autores (Montecinos et al. 2003, Shakun y Shaman 2009), que la ODP se incrementa hacia los subtrópicos, precisamente en la región donde se encuentra localizado el ASPS.
Se observó que la variabilidad del MAS antecede por seis años a la del ASPS. Esto permite evidenciar que existe un vínculo desfasado cuya causa está fuera del alcance de esta investigación. Sin embargo, este resultado ayuda, en cierta medida, a mejorar los pronósticos a escala decadal y da indicios de una conexión del MAS con latitudes subtropicales del Pacífico sudeste.
Se encontró una muy buena correlación entre la intensidad del ASPS y la ODP, que concuerda con el fortalecimiento (debilitamiento) del ASPS durante las fases frías (cálidas) de ENOS y la ODP (Garreaud y Battisti 1999, Pezza et al. 2007). A escala decadal, se pudo corroborar que en promedio, durante la fase fría (cálida) de la ODP, el ASPS se desplazó hacia el sudoeste (noreste) al mismo tiempo que se intensificó (debilitó), especialmente de febrero a marzo y de septiembre a octubre (Fig. 3). Esto concuerda con el estudio realizado por Falvey y Garreaud (2009), quienes mostraron que durante la fase fría de la ODP hubo un mayor incremento de las presiones hacia el sudoeste y norte del ASPS, parecido a la estructura espacial de la ODP encontrada en nuestro estudio (Fig. 6b). También se encontró una correlación entre las posiciones zonales y meridionales, que no fueron altas debido a que, en general, durante las distintas fases ENOS y ODP, hay una expansión/contracción que no necesariamente involucra un movimiento del centro del ASPS (Miyasaka y Nakamura 2010).
Anticiclón Subtropical del Pacífico Sudeste y su relación con la TSM frente a la costa centro-norte de Chile
Desde 1977 a 1998, la ODP estuvo primero en fase cálida y posteriormente pasó a la fase fría (Fig. 4b). Durante la última parte, las tendencias reflejaron un aumento de la intensidad del ASPS y un descenso de las TSM a lo largo de la costa centro-norte de Chile. Falvey y Garreaud 2009 observaron un aumento similar (1.2 hPa por década) en PA in situ frente a la isla de Pascua, cercanas al centro del ASPS, entre 1979 y 2006. Los mismos autores analizaron temperaturas del aire de estaciones costeras entre los 17º y 37º S y observaron un descenso (0.2 ºC por década) parecido a nuestro resultado de la TSM.
Si bien se exploraron las tendencias del transporte de Ekman perpendicular a la costa y el bombeo de Ekman, se necesita realizar un balance de calor para cuantificar la tendencia a la disminución de la TSM costera entre 2000 y 2012. Los dos procesos analizados, los cuales tendieron a enfriar durante la última fase fría de la ODP pueden dar indicios de la disminución de la TSM. Al intensificarse el ASPS, el gradiente de presión entre su centro y la costa cambia con la consecuente modificación del viento geostrófico. Además, en la última década, el ASPS se ha dirigido más hacia el sudoeste (figura 4c, d). Por lo tanto, la intensificación y el movimiento del ASPS estarían aumentando (disminuyendo) los vientos hacia el ecuador (polo) hacia el sur (norte) de 33º S, disminuyendo (incrementando) la TSM debido al traslado hacia el sur del chorro costero atmosférico que se observa en la figura 1, el cual es manejado por el ASPS (Renault et al. 2009). Este mismo efecto ha sido proyectado en la parte sur de nuestro dominio bajo un escenario de cambio climático severo para el final del siglo 21 (Garreaud y Falvey 2009, Aiken et al. 2011). El mismo movimiento y cambio en la intensificación del ASPS también modifica el rotor del viento, lo cual crea condiciones de afloramiento por succión de Ekman y reduce la TSM a lo largo de gran parte de la costa y sobre todo hacia el sur de 33º S. El incremento de los vientos hacia el ecuador provocaría también una disminución de la TSM por flujos turbulentos (proporcionales a la magnitud del viento), especialmente por flujo de calor latente, cuya magnitud y tendencia a enfriar es mayor que la del flujo de calor sensible en esta zona (Garcés-Vargas y Abarca-del-Río 2012). Estos vientos podrían advectar aguas frías, disminuyendo aún más la TSM.
Hacia el norte de 33º S, la disminución de la TSM podría ser explicada principalmente por un transporte de aguas frías procedentes del sur, del flanco oriental del giro Subtropical del Pacífico Sur (corriente Perú-Chile) (Chaigneau y Pizarro 2005). Algunos autores han evidenciado un reforzamiento de este giro entre principios de la década de los noventa y principios de la primer década del siglo XXI (Roemmich et al. 2007, Schneider et al. 2007) y esto pudo ser mantenido entre 2000 y 2012 debido a los cambios del ASPS. Thomas et al. (2012) no encontraron una relación entre la ODP y la TSM a lo largo de las costa del oeste de América del Sur (5º-55º S) entre 1998 y 2010, probablemente debido a que consideraron un área muy amplia y no se centraron en la costa oeste subtropical de Sudamérica en donde la variabilidad interdecadal es más marcada (Montecinos et al. 2003).
Si bien éstas tendencias se han relacionado mejor con una intensificación y un desplazamiento hacia el sudoeste del ASPS y la fase fría de la ODP, lo más probable es que el MAS también esté modulando los vientos y las corrientes como lo sugiere Roemmich et al. (2007). Sin embargo, debido a que el MAS explica un menor porcentaje de la varianza a escala decadal que la ODP y su efecto es menor en zonas subtropicales, se esperaría que el impacto sea mucho menor. Esto se podrá verificar en las próximas décadas cuando se tengan mayores registros de información.
En resumen, con base en un análisis de PA, se caracterizó al ASPS y se lo relacionó con diferentes índices climáticos. Se determinó que, a escala interanual, el ENOS fue su principal forzante, explicando el 57% de la varianza. A escala decadal, se encontraron dos fuentes importantes de variabilidad: la ODP, que explicó el 49% de la varianza, y el MAS, que explicó el 40% pero con un desfase de seis años. Cuando la ODP se encontró en su fase positiva (negativa), el ASPS tendió a debilitarse (reforzarse) y a desplazarse hacia el noreste (sudoeste). El ASPS se intensificó y se dirigió hacia el suroeste en los últimos 13 años, durante la fase fría de la ODP. Esto produjo un mayor transporte de Ekman hacia afuera de la costa y una divergencia debida a la succión de Ekman, ambos procesos ligados al movimiento austral del chorro costero atmosférico, lo cual provocó un enfriamiento de la TSM al sur de 33º S de la costa central de Chile.
AGRADECIMIENTOS
Esta investigación fue financiada por la Dirección de Investigación y Desarrollo de la Universidad Austral de Chile. Se agradece al revisor anónimo por las críticas constructivas que mejoraron considerablemente el presente artículo.
English translation by Christine Harris.










nueva página del texto (beta)





