Servicios Personalizados
Revista
Articulo
Indicadores
-
Citado por SciELO -
Accesos
Links relacionados
-
Similares en
SciELO
Compartir
Ciencias marinas
versión impresa ISSN 0185-3880
Cienc. mar vol.40 no.1 Ensenada mar. 2014
https://doi.org/10.7773/cm.v40i1.2345
Artículos
Obtención de perfiles de biomasa fitoplanctónica en bahía San Jorge (Antofagasta, Chile) a partir de imágenes en color
Phytoplankton biomass profiles in San Jorge Bay (Antofagasta, Chile) based on color imagery
Paola M. Dávila1,4,*, Sue-Hellen Díaz2, Jorge Valdés3,4
1 Departamento de Ciencias Acuáticas y Ambientales, Facultad de Ciencias del Mar y de Recursos Biológicos, Universidad de Antofagasta, Casilla 170, Antofagasta, Chile.
2 Facultad de Ciencias del Mar y de Recursos Biológicos, Universidad de Antofagasta, Casilla 170, Antofagasta, Chile.
3 Instituto de Ciencias Naturales Alexander von Humboldt, Facultad de Ciencias del Mar y de Recursos Biológicos, Universidad de Antofagasta, Casilla 170, Antofagasta, Chile.
4 Laboratorio Mixto Internacional PALEOTRACES (Institut de Recherche pour le Développment, Univeridade Federal Fluminense, Universidad de Antofagasta), Casilla 170, Antofagasta, Chile.
* Corresponding author.
E-mail: paola.davila@uantof.cl
Received September 2013
Accepted January 2014.
RESUMEN
Se realizaron mediciones de clorofila a mediante flurometría (CTD) con el fin de ajustar un modelo gaussiano y posteriormente obtener la distribución vertical de la biomasa fitoplanctónica en bahía San Jorge (norte de Chile) a partir de imágenes satelitales en color (MODIS-Aqua). Se realizó una calibración con datos in situ a partir de dos bases de datos. Los perfiles de clorofila a fueron suavizados con un promedio móvil, y se les ajustó un modelo gaussiano. Se obtuvieron los parámetros gaussianos promedio para ambas bases de datos. El modelo gaussiano promedio obtenido para una de las bases de datos fue válido para un intervalo de clorofila a de 1.17 a 51.8 mg m-3, y la máxima concentración subsuperficial se ubicó a los 19.20 y 0.25 m de profundidad, respectivamente. En la imagen en color del 20 de enero de 2011 analizada para el área de estudio, se observaron concentraciones de clorofila a con valor modal de 0.78 mg m-3, y el 95% de los datos fluctuó entre 0.5 y 20.0 mg m-3. El modelo gaussiano promedio ajustado fue válido para el 80.26% del área estudiada. Se amplió este estudio para el resto de enero (14 imágenes), y el modelo gaussiano fue válido para el 84.40% (±12.48%) del área estudiada. Al realizar un procedimiento similar sin aplicar un promedio móvil a los datos in situ, el modelo gaussiano ajustado promedio fue válido para el 93.72% (±8.89%) del área de estudio. Aún se requieren estudios sobre las propiedades ópticas del agua para mejorar la interpretación de las imágenes en color de este sistema costero.
Palabras clave: clorofila α, bahía Antofagasta, MODIS-Aqua, detección remota.
ABSTRACT
Fluorometric measurements were taken from a CTD at San Jorge Bay (northern Chile) to adjust a Gaussian model, in order to determine the vertical distribution of phytoplankton biomass using satellite-derived chlorophyll a data. Calibration was done using two in situ data sets. Each chlorophyll a profile was smoothed by a moving average and adjusted with a Gaussian model, obtaining the mean Gaussian parameters for both data sets. The mean Gaussian model obtained for one of the data sets was valid for a chlorophyll a range between 1.17 and 51.8 mg m-3, and the maximum concentration was located at 19.20 and 0.25 m depth, respectively. The 20 January 2011 color image was analyzed for the study area, and the modal concentration was 0.78 mg m-3, with 95% of the data varying between 0.5 and 20.0 mg m-3. The adjusted mean Gaussian model was valid for 80.26% of the study area. The analysis was expanded to the rest of January 2011 (14 images), and the model was valid for 84.40% (±12.48%) of the study area. The same procedure was followed but without applying the moving average to the in situ data, and the Gaussian model obtained in this case was valid for 93.72% (±8.89%) of the study area. Other studies of the optical properties of water are required for a better interpretation of the color images for this coastal system.
Key words: chlorophyll α, Antofagasta Bay, MODIS-Aqua, remote sensing.
INTRODUCCIÓN
En las zonas costeras se desarrolla el mayor número de actividades antropogénicas (industriales, portuarias, pesqueras y recreativas) (Holt et al. 2009), y es por ello que se necesitan herramientas para monitorear y estudiar las características bio-oceanográficas asociadas a los procesos dinámicos costeros. Es importante monitorear la distribución de la biomasa fitoplanctónica porque el fitoplancton constituye un componente esencial de los ecosistemas marinos, ya que transforma los nutrientes inorgánicos en compuestos orgánicos (Hecky y Kilham 1988). La biomasa fitoplactónica se define como el peso total del fitoplancton por unidad de volumen o de área, pero también puede ser estimada mediante la concentración de clorofila a, aun cuando la clorofila a representa sólo el 1% del peso seco de una célula (Cullen 1982). Hoy en día, la detección remota basada en radiometría permite medir concentraciones de clorofila a en la primera profundidad óptica del océano, la cual representa entre el 20% y 22% de la capa eufótica (Ulloa et al. 1995).
Con los datos satelitales de clorofila a, es posible estimar la biomasa fitoplanctónica distribuida en la columna de agua a través de algoritmos matemáticos que se ajusten a la distribución vertical y real de esta variable como, por ejemplo, las distribuciones gaussianas (Platt et al. 1988, Ulloa et al. 1995) o los modelos de regresión simple entre la concentración de clorofila superficial y su máxima concentración subsuperficial y/o la profundidad de esta última concentración (Millán-Núñez et al. 1996). La distribución de la clorofila a y la distribución vertical de la luz permiten estimar la productividad primaria de los océanos (Platt y Sathyendranath 1988, Longhurst et al. 1995). La distribución vertical de la clorofila a se caracteriza por un máximo subsuperficial, el cual depende de numerosos factores que presentan variabilidades espaciotemporales como la concentración de nutrientes, la distribución y extinción de la luz, la estabilidad de la columna de agua y las tasas de hundimiento del fitoplancton (Steel y Yentsch 1960, Cullen 1982, Varela et al. 1992).
En general, las zonas costeras presentan concentraciones de clorofila a de 0.5 a 10.0 mg m-3 (O'Reilly et al. 1998, Gohin et al. 2008, Patti et al. 2008), pero la concentración puede ser aún mayor en zonas afectadas por surgencias costeras. Las zonas oceánicas presentan menor productividad fitoplanctónica; las concentraciones de clorofila a varían de 0.01 a 0.3 mg m-3, alcanzando concentraciones de 1 mg m-3 en zonas de altas latitudes. Las concentraciones de clorofila dependen de la disponibilidad de nutrientes, micronutrientes y luz solar, entre otros factores (Mann y Lazier 1991). Es necesario estimar la biomasa fitoplanctónica en la columna de agua a través de datos satelitales de clorofila para determinar la productividad primaria (Platt et al. 1988, Ulloa et al. 1995). Si bien este tipo de metodología se aplica preferentemente en regiones oceánicas, es necesario evaluar sus resultados en zonas costeras para monitorear y estudiar la variabilidad de la biomasa fitoplanctónica en distintas escalas espaciotemporales.
Este trabajo tiene por objeto evaluar la distribución de la biomasa fitoplanctónica en la columna de agua a partir de estimaciones de clorofila obtenidas de imágenes satelitales en color durante el verano austral en la bahía San Jorge (norte de Chile).
MATERIALES Y MÉTODOS
Área de estudio
La bahía San Jorge (BSJ), también conocida como bahía Antofagasta, se ubica en el extremo sur de la península de Mejillones (Chile) (23° S, fig. 1), y está asociada al sistema de corriente de Humboldt (Strub et al. 1998, Escribano e Hidalgo 2001) y al desierto de Atacama. Es una de las pocas bahías de Chile orientada hacia el sur y, por lo tanto, está expuesta a los vientos del sur y suroeste (vientos favorables a la surgencia). Al norte y al sur de BSJ existen focos de surgencia como punta Angamos y punta Coloso, respectivamente, que afectan las características hidrográficas de la bahía (Rodriguez et al 1991, Escribano et al. 2002, Piñones et al. 2007).

Obtención de datos
Se obtuvieron perfiles de parámetros físico-químicos con un CTD Seabird SBE 19 plus en 20 estaciones localizadas dentro de BSJ (fig. 1). En este trabajo sólo se analizó la distribución de la clorofila a medida con flurómetro in situ. Se realizó un muestreo el 20 de enero y otro el 6 de abril de 2011, y se obtuvieron 20 y 18 perfiles, respectivamente. Los perfiles del 20 de enero corresponden a un intervalo de profundidad de 37 a 102 m (89.1 ± 15.93 m, promedio ± desviación estándar), y los del 6 de abril a un intervalo de profundidad de 20 a 97 m (81.17 ± 20.57 m). El 25 de marzo de 2011 se tomaron otras mediciones de clorofila a con el mismo CTD en 8 estaciones a lo largo de un transecto entre el puerto de Antofagasta y punta Jorge en BSJ (fig. 1); estos perfiles se obtuvieron entre 31 y 116 m de profundidad (83.125 ± 33.53 m). Del total de perfiles de flurometría analizados (enero, marzo y abril), se seleccionaron aquellos que presentaron preferentemente un máximo subsuperficial o, en última instancia, superficial para ajustar el algoritmo gaussiano. Se supuso que los 34 perfiles seleccionados representaban las condiciones del verano austral. La profundidad para este conjunto de perfiles varió entre 20 y 116 m (86.88 ± 22.97 m).
El CTD que se utilizó tenía un sensor de flurometría Wet Labs WETStar. La concentración de clorofila a (mg m-3) se obtuvo a partir de un algoritmo matemático que permite transformar el voltaje a concentración de clorofila a:

donde Vsalida es el voltaje de salida, Vblanco es el voltaje del blanco y FS es el factor de escala. El voltaje del blanco fue de 0.057 V y el factor de escala fue de 28.300 mg m-3 V-1, de acuerdo con la calibración realizada en fábrica el 27 de abril de 2010. Esto aplica para todos los perfiles de flurometría obtenidos en este estudio.
Se calculó el coeficiente de correlación de Pearson para medir la relación entre los datos bio-oceanográficos in situ (i.e., entre temperatura superficial y concentración de clorofila superficial y entre clorofila superficial y la concentración del máximo de clorofila subsuperficial). Se hizo una previa verificación de la normalidad con un nivel de significación del 95%, a partir de la base de datos ampliada (34 perfiles).
Imágenes en color
Se utilizaron imágenes en color obtenidas del sensor MODIS (Moderate Resolution Imaging Spectroradiometer) montado en el satélite Aqua de la NASA (disponibles en http://oceancolor.gsfc.nasa.gov/). Este sensor mide la radiancia emitida desde la superficie del océano en 36 bandas espectrales con longitudes de onda de entre 0.4 y 14.4 |am. Las imágenes corresponden a la estimación de clorofila a obtenida con el algoritmo OC3 propuesto por O'Reilly et al. (2000). En este algoritmo se utilizó la radiancia emitida por el agua de mar en tres longitudes de onda: 443, 488 y 551 nm, correspondientes a las bandas 9, 10 y 12, respectivamente. Aqua transita de sur a norte por la zona del Ecuador durante las horas de luz; por lo tanto, las imágenes aquí analizadas se tomaron entre las 18:00 y 19:00 horas UTM, es decir, entre 15:00 y 16:00 hora local. Se utilizaron datos de clorofila a estimados del nivel 2, los cuales tienen una resolución de 1 km e incluyen las correcciones atmosféricas correspondientes. Las imágenes utilizadas se procesaron con el programa SeaDAS v6.0 (http://seadas.gsfc.nasa.gov/). Para ello, se seleccionó un área representativa de la bahía (23.4-24° S, 71.0-70.2° W).
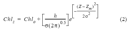
Para estimar la biomasa fitoplanctónica distribuida en la columna de agua a partir de imágenes satelitales de clorofila a, se seleccionaron los perfiles de flurometría in situ que presentaron preferentemente un máximo subsuperficial. A cada perfil se le ajustó un algoritmo gaussiano que describe la distribución de la clorofila en la columna de agua de acuerdo con la metodología propuesta por Platt et al. (1988) y Ulloa et al. (1995), y utilizada por Hidalgo-González y Álvarez-Borrego (2008) en el golfo de México, según la siguiente ecuación:

donde Chlz(mg m-3) es la distribución de la clorofila a en la columna de agua, Chlo (mg m-3) es un valor de clorofila a base o constante, h es la concentración de clorofila a integrada bajo la curva gaussiana (mg m-2) por arriba de Chlo, σ (m) controla el grosor de la capa de la profundidad del máximo de clorofila, Z (m) es la variable de profundidad y Zm(m) es la profundidad donde se ubica la máxima concentración subsuperficial de clorofila a (MCSC).
A partir del total de las curvas gaussianas ajustadas, se obtuvo un modelo gaussiano promedio representativo de todos los perfiles calculando los valores promedio de todos los parámetros gaussianos definidos en la ecuación 2 (Chl0, Zm, σ, h). Finalmente, con los datos de clorofila superficial extraídos de la imagen satelital (Chlsat) del día en el cual se realizaron las mediciones in situ, se calculó el valor de la profundidad de MCSC de acuerdo con la ecuación 3 y considerando los valores de los parámetros gaussianos representativos:

Por lo tanto, con la ecuación 3 se obtienen varios valores de Zm según el valor de clorofila observado en las distintas imágenes satelitales. La distribución de la biomasa fitoplanctónica en la columna de agua se puede estimar aplicando los valores estimados de Zm a la ecuación 2, además de los valores de los parámetros gaussianos promedio representativos del área de estudio. Todas las variables hidrográficas medidas en todas las estaciones fueron suavizadas considerando un promedio móvil de5 m en su distribución vertical; sin embargo, para la base de datos del 20 de enero de 2011, también se trabajó sin aplicar un promedio móvil para verificar el resultado sin aplicar un suavizado.
Los parámetros gaussianos obtenidos de la curva ajustada promedio fueron utilizados para estimar la profundidad del máximo de clorofila a a partir de datos de clorofila superficial obtenidos de las 14 imágenes satelitales de distintas fechas de enero de 2011. Se calculó el porcentaje de válidez del modelo gaussiano para el intervalo de clorofila a de cada imagen en el área de estudio. Se analizó la variabilidad tanto temporal diaria como espacial de la biomasa fitoplanctónica en la BSJ.
RESULTADOS
Los datos de clorofila a in situ del 20 de enero de 2011 sin la aplicación del promedio móvil mostraron que las concentraciones variaron entre 0.62 y 15.32 mg m-3 (4.78 ± 4.18 mg m-3) en la superficie, y entre 2.48 y 33.88 mg m-3 (15.12 ± 8.86 mg m-3) a 1 m de profundidad. Los perfiles presentaron una distribución tipo gaussiana, y la MCSC varió entre 21.04 y 142.32 mg m-3; estos valores se registraron a 11 m de profundidad en las estaciones 7 y 11, respectivamente (fig. 1), pero las otras MCSC se encontraron entre 4 y 13 m de profundidad. Por debajo de los 50 m, las concentraciones de clorofila a fueron menores que 1 mg m-3, excepto en las estaciones 2 y 4 (fig. 1), que presentaron concentraciones superiores a 1.5 mg m-3 pero inferiores a 2 mg m-3.
Con la aplicación de un promedio móvil de 5 m de extensión, las concentraciones de clorofila a variaron entre 2.87 (estación 20) y 50.62 mg m-3 (estación 8) (27.21 ± 13.80 mg m-3) a 1 m de profundidad, y entre 2.59 y 62.67 mg m-3 (34.54 ± 17.45 mg m-3) a 2 m de profundidad. La MCSC varío entre 14.03 y 125.78 mg m-3; estos dos valores se registraron a los 11 y 6 m de profundidad en las estaciones 20 y 9, respectivamente. La MCSC para la totalidad de las estaciones se ubicó entre 2 y 11 m de profundidad. Por debajo de los 45 m de profundidad, las concentraciones de clorofila a fueron inferiores a 1 mg m-3, excepto en las estaciones 2 y 4 en donde se mantuvieron cercanas a 2 mg m-3. La concentración mínima de clorofila a para este conjunto de datos fue de 0.28 mg m-3.
Con la base de datos ampliada (34 perfiles), se observó una correlación inversa entre la temperatura y la concentración de clorofila a, ambas medidas a 1 m de profundidad (r = -0.435; P = 0.010), mientras que la correlación entre la clorofila a (a 1 m de profundidad) y la MCSC fue positiva, aunque de menor significancia (r = 0.302; P = 0.083).
La tabla 1 muestra los parámetros gaussianos promedio de la base de datos ampliada (34 perfiles) y de la base de datos del 20 de enero de 2011 (20 perfiles, con y sin aplicación del promedio móvil). Con la estimación de Zm, se determinó el intervalo de la concentración de clorofila estimada de datos satelitales necesario para que los valores del Zm estimados sean números reales, los cuales pueden variar entre 1.55 y 47.8 mg m-3. Esto implica que la profundidad de MCSC podrá variar entre 18.38 y 0.19 m, respectivamente. Sin embargo, al considerar los parámetros gaussianos promedio sólo para la base de datos del 20 de enero de 2011 (20 perfiles), las concentraciones de clorofila estimadas de datos satelitales variaron entre 1.17 y 51.8 mg m-3 y, en consecuencia, la profundidad de MCSC se ubicó a 19.20 m y 0.25 m, respectivamente. Cabe destacar que el valor de concentración mínima de clorofila a se ubicó a mayor profundidad (19.20 m) que en el caso anterior (18.38 m). La tabla 2 muestra los valores de la Zm estimada para distintas concentraciones de clorofila superficial, tanto para la base de datos ampliada como para la base de datos del 20 de enero de 2011 (con y sin el promedio móvil). Se observó una relación inversa entre ambas variables; es decir, que a medida que la concentración de la clorofila superficial se incrementó, la profundidad del máximo de concentración de clorofila fue más somera.
A modo de ejemplo, en la figura 2 se muestra el perfil de clorofila a del 20 de enero de 2011 para las estaciones 3 (98 m de profundidad) y 4 (72 m de profundidad) con aplicación de un promedio móvil de 5 m de extensión, el modelo gaussiano ajustado para cada perfil y el modelo gaussiano ajustado promedio de la base de datos de 20 perfiles. El perfil in situ y el modelo gaussiano ajustado mostraron que el máximo de clorofila se ubicó a los 9 y 6 m de profundidad en las estaciones 3 y 4, respectivamente. Las concentraciones máximas a estas profundidades fueron 52.31 y 75.23 mg m-3, mientras que cerca de la superficie se registraron valores de 13.45 y 46.8 mg m-3 en las estaciones 3 y 4, respectivamente.
La figura 3 muestra el modelo gaussiano ajustado promedio, obtenido de las curvas ajustadas a cada uno de los perfiles de clorofila a considerados para la base de datos del 20 de enero de 2011 con el promedio móvil (tabla 1), y el modelo gaussiano estimado para distintas concentraciones de clorofila superficial obtenidas a partir de los datos de la imagen satelital. A medida que la concentración de clorofila (valor superficial satelital) se incrementó, la profundidad de MCSC fue más somera. La forma de la curva gaussiana se conservó, registrándose sólo un desplazamiento vertical del máximo de clorofila. El ajuste del modelo promedio gaussiano obtenido para la base de datos de enero de 2011 fue aplicable para un intervalo más extenso de concentraciones de clorofila estimadas de datos satelitales al considerar el modelo gaussiano ajustado sin el promedio móvil; la clorofila varió entre 0.7 y 62.8 mg m-3, pero con un intervalo de extensión vertical más estrecho (entre 17.0 y 0.17 m, respectivamente).
La figura 4 muestra la imagen MODIS-Aqua de clorofila a del 20 de enero de 2011 para BSJ. La concentración máxima y mínima para el área específica (23.4-24° S, 70.7-70.2° W) fue de 201.29 y 0.65 mg m-3, respectivamente; sin embargo, se destaca que el 95.83% de las concentraciones de clorofila a variaron entre 0.50 y 20.0 mg m-3, y sólo el 0.47% de las concentraciones fueron superiores a 100 mg m-3. El valor medio fue de 7.02 mg m-3, la moda de 0.78 mg m-3 y la media aritmética de 4.47 mg m-3, lo cual indica una distribución tipo asimétrica positiva de la concentración de clorofila a. Según las lecturas con disco de Secchi, el grosor estimado de la capa fótica fue de 4.95 ± 1.99 m, y el espesor de la primera profundidad óptica fue de aproximadamente 1.1 m. Por otra parte, los datos de clorofila a satelitales que se ubicaron en el intervalo de clorofila para el cual el modelo ajustado promedio fue válido (1.17-51.8 mg m-3) representaron un 80.26% del total de datos de clorofila a extraídos del área de estudio. Al considerar sólo los datos cercanos a la posición de cada una las 20 estaciones hidrográficas, en un radio de 0.02° (aproximadamente 2.22 km), y al analizar el valor promedio máximo (19.05 ± 17.84 mg m-3) y mínimo (1.37 ± 0.18 mg m-3) en torno a cada una de las 20 estaciones, se observó que todos se encontraron dentro del intervalo para el cual el modelo gaussiano encontrado fue válido. Al considerar este mismo procedimiento para las 14 imágenes satelitales, 8 imágenes presentaron valores promedio de clorofila alrededor de las 20 posiciones hidrográficas (radio de 0.02°) comprendidos en el intervalo de validez del modelo gaussiano estimado con base en los datos del 20 de enero de 2011 con el promedio móvil; 2 imágenes (21 y 22 de enero de 2011) presentaron 18 posiciones hidrográficas comprendidas en dicho intervalo de validez; y 4 imágenes presentaron 17 ó 19 estaciones bajo ese intervalo. Las estaciones 12 y 17 presentaron los valores máximos de clorofila a, mientras que las estaciones 16 y 20 presentaron los valores mínimos.

La tabla 3 muestra el valor modal de clorofila para las 14 imágenes satelitales encontradas en enero de 2011 y el porcentaje de datos satelitales de clorofila que se encontraron dentro del intervalo de validez del modelo gaussiano promedio ajustado (1.17-51.8 mg m-3) para el área de estudio. Este porcentaje fluctuó entre 54.54% y 99.3% (84.40 ± 12.48%), lo cual demuestra que el modelo gaussiano puede ser aplicado para un gran porcentaje de datos extraídos de cada una de las imágenes analizadas. Según el modelo gaussiano promedio ajustado sin el promedio móvil, el porcentaje de validez incrementó a 93.72% (±8.89%).
Con los parámetros gaussianos del modelo promedio ajustado con base en los perfiles de flurometría del 20 de enero de 2011, y los valores satelitales de clorofila superficial para tres estaciones hidrográficas representativas de tres áreas características de BSJ, se obtuvo la variabilidad diaria de la clorofila a y la profundidad de MCSC para enero de 2011. Se observó una relación inversa entre estas variables en las estaciones 12, 14 y 19. En la estación 12, se observaron las concentraciones máximas de clorofila a, entre 3.58 a 17.36 mg m-3, y fluctuaciones en la profundidad de MCSC de entre 7.0 y 11.5 m, mientras que en la estación 19, se observaron las concentraciones mínimas, entre 0.81 y 7.68 mg m-3, y fluctuaciones de MCSC de entre 10 y 20 m, aproximadamente. En la estación 14, la clorofila a varió de 2.55 a 12.0 mg m-3 y la profundidad de MCSC varió entre 8.17 y 12.47 m.
DISCUSIÓN
En BSJ, la clorofila a medida in situ, aplicando un promedio móvil de 5 m de extensión, muestra la típica distribución vertical gaussiana (Steele y Yentsch 1960, Cullen 1982) con una MCSC altamente variable, entre 14.04 y 125.78 mg m-3, destacando una relación inversa entre la temperatura y la clorofila superficial, y una relación directa entre la clorofila superficial y MCSC. La relación inversa entre las dos primeras variables se debe principalmente a que las aguas de surgencia son de menor temperatura con respecto a las del entorno y, por lo tanto, al poseer una mayor concentración de nutrientes (dado su origen subsuperficial), posibilitan la existencia de concentraciones de clorofila a más elevadas (Mann y Lazier 1991). La relación directa entre las concentraciones de la clorofila superficial y la MCSC obedece a la distribución gaussiana de la clorofila en la columna de agua observada en primavera y verano. Esta distribución también puede representarse a través de un ajuste lineal representativo de la fase creciente de la distribución de la clorofila con la profundidad hasta la ubicación de la MCSC; es decir, a través de una regresión simple entre las concentraciones de clorofila superficial y MCSC (Millán-Núñez et al. 1996). Por lo tanto, cuanto más somera la MCSC, mayor será la concentración de la clorofila superficial, tal como se encontró en este estudio a través del modelo gaussiano ajustado estimado (fig. 3).
Las concentraciones de clorofila a encontradas en este estudio son típicas de una zona de alta productividad biológica. Existen registros de concentraciones de clorofila a cerca de la zona de estudio que varían dependiendo del lugar y el momento de muestreo. Rodríguez et al. (1986) encontraron valores de clorofila a que variaron entre 0.5 y 10.1 mg m-3 en el nivel del 1% de penetración de la luz entre septiembre y octubre de 1983 en bahía Mejillones. Rodríguez et al. (1991) detectaron máximos de 45 mg m-3 durante una condición de marea roja frente al extremo norte de la península de Mejillones. Marín et al. (1993) observaron concentraciones máximas y mínimas de clorofila a de 10 mg m-3 y de 2 mg m-3, respectivamente, entre septiembre y octubre de 1990 en bahía Mejillones (fig. 1). Estos autores también registraron manchas de concentraciones de clorofila a superiores a 350 mg m-3, producto de una floración algal. Marín y Olivares (1999) encontraron concentraciones máximas de clorofila a de 307.6 mg m-3 en la superficie y concentraciones de 4 mg m-3 a 20 m de profundidad. Iriarte y González (2004) registraron valores de 10 a 80 mg m-3 (25.5 mg m-3 en promedio) durante condiciones normales de surgencia frente a Antofagasta. En este trabajo, MCSC varíó entre 21.04 y 142.32 mg m-3 utilizando el modelo sin el promedio móvil y entre 14.03 y 125.78 mg m-3 utilizando el modelo con el promedio móvil. Por lo tanto, las concentraciones observadas por Rodríguez et al. (1991), Marín y Olivares (1999) e Iriarte y González (2004) están dentro del intervalo observado para MCSC. Por otra parte, los promedios in situ a 1 m de profundidad fueron de 15.12 mg m-3 (±8.86 mg m-3), representativos de una zona de alta productividad primaria.
Las concentraciones de clorofila a encontradas en este estudio son típicas de zonas afectadas por surgencias costeras (eutróficas) con concentraciones mayores que 1 mg m-3. Por ejemplo, Morales et al. (2001) analizaron datos in situ recogidos en 1994 frente a las costas del centro-norte de Chile y observaron que las concentraciones más elevadas se localizaron en los primeros 25 m durante verano y otoño; además, observaron un máximo de clorofila en superficie y en el nivel subsuperficial, con valores de entre 16 y 20 mg m-3 durante febrero y marzo de 1994 y de entre 10 y 15 mg m-3 durante mayo de 1994. Escalante et al. (2013) y Álvarez-Molina et al. (2013) analizaron la distribución espaciotemporal de clorofila a en el golfo de California a partir de imágenes satelitales MODIS y SeaWiFS. Escalante et al. (2013) detectaron condiciones oligotróficas, mesotróficas y eutróficas; las características eutróficas (concentración promedio anual de 1.44 mg m-3) fueron observadas en la parte central del golfo de California, donde se ubica una serie de islas y canales. Álvarez-Molina et al. (2013), en su estudio focalizado en la parte central del golfo de California, explicaron como los factores físicos como la mezcla, estratificación y surgencia costera son responsables de la variabilidad espaciotemporal de la distribución de la clorofila a, observando concentraciones de hasta 9.7 mg m-3 en el lado oriental del golfo.
El modelo gaussiano ajustado promedio obtenido para la base de datos ampliada y la del 20 de enero de 2011 muestra un máximo de clorofila de 50 mg m-3, el cual es típico de zonas de surgencia costera. Las concentraciones de clorofila a obtenidas en este estudio son superiores a las registradas por Hidalgo-González y Álvarez-Borrego (2008), cuyos modelos gaussianos promedio ajustados y obtenidos para diversas áreas del golfo de México presentaron valores del máximo de clorofila a que variaron entre 0.32 y 0.93 mg m-3, que son datos representativos de zonas tanto eutróficas como oligotróficas del golfo de México. Millán-Núñez et al. (1996) estimaron MCSC y su respectiva profundidad a partir de concentraciones de clorofila superficial medidas frente a las costas de California y obtuvieron regresiones altamente significativas. Los modelos de regresión simple permiten ajustar la distribución de la clorofila a entre la superficie y la profundidad de MCSC, mientras que los modelos gaussianos permiten lograr un mejor ajuste a la distribución real de la clorofila a en la columna de agua y estimar las concentraciones más allá de la ubicación de MCSC. El modelo gaussiano estimado a partir de los 20 perfiles de enero de 2011 aplicando el promedio móvil fue válido para el 80.26% de los datos de la imagen del 20 de enero de 2011 en el área de estudio y para el 84.40% (±12.48%) de los datos de las 14 imágenes de clorofila a de enero de 2011. Hay que considerar que se utilizaron imágenes reprocesadas (mayo de 2012: http:\\oceancolor.gsfc.nasa.gov/Wiki/ocreproc20120MA.html), dado que se implementó un nuevo instrumento de calibración, y los valores de clorofila a de estas imágenes presentaron concentraciones de clorofila a superiores a aquellas anteriores a la fecha de recalibración. En efecto, para las imágenes anteriores a la calibración de mayo de 2012, el modelo guassiano promedio ajustado estimado (de la base de datos del 20 de enero de 2011 y considerando el promedio móvil) sólo es aplicable en el 62.58% (±22.86%) del área de estudio.
La comparación de datos in situ con aquellos de una imagen satelital mediante la correlación de Pearson no fue significativa. Esto puede atribuirse a diversos factores, entre ellos, a que los datos son representativos de distintas escalas espaciales. Cada pixel es representativo de 1.21 km2 y, por tanto, la toma de un solo perfil de CTD no necesariamente va a coincidir con el valor de un determinando pixel de la imagen. Sólo se tomaron 20 perfiles de CTD para el 20 de enero de 2011, y no es un número suficiente para un estudio de correlación. Los datos in situ fueron recogidos entre las 10:20 y 17:00 horas, aproximadamente, mientras que la imagen se tomó a las 18:50 UTM (15:50 hora local). Las metodologías utilizadas para la estimación de clorofila a en cada caso fueron distintas; es decir, la imagen satelital mide la radiancia proveniente de la primera profundidad óptica, mientras que el sensor del CTD mide la flurometría. Por lo tanto, no se espera encontrar una alta correlación entre los datos in situ y aquellos de la imagen satelital. Sin bien se correlacionaron los datos satelitales de clorofila ubicados a 0.02° (2.2 km) alrededor de cada estación de CTD, las correlaciones no fueron significativas.
Existen varias razones por las cuales el uso de imágenes en color en zonas costeras está limitado. La presencia de sedimentos y materia orgánica disuelta coloreada puede modificar las propiedades ópticas del agua e introducir errores en la estimación de la concentración de clorofila a (Morel et al. 2006). La nubosidad impide captar la radiación emitida por la superficie acuosa, limitando la adquisición de este tipo de información, especialmente en invierno, cuando la frecuencia de cielo cubierto se incrementa. Por lo general, las imágenes en color, particularmente las imágenes MODIS-Aqua, utilizan el algoritmo OC3 para estimar la biomasa fitoplantónica a partir de una base global de datos biópticos, y éstos no siempre son representativos de las condiciones ópticas locales (Dogliotti 2007), como en el caso de la zona costera del norte de Chile. Es por ello que se necesitan imágenes en color de clorofila a de mayor resolución espacial para determinar la distribución horizontal heterogénea de las propiedades bio-oceanográficas que presentan las zonas costeras como consecuencia de los distintos procesos oceanográficos de menor escala. En la actualidad se está implementando el trabajo con imágenes de clorofila de mayor resolución espacial (Gitelson et al. 2011), lo cual permitirá observar diferencias de concentraciones con mayor precisión.
La zona de estudio presenta aguas con altas concentraciones de clorofila a (típicas de zonas de surgencia costera), nulo transporte de material suspendido por parte de ríos (Morel et al. 2006) y transporte de sedimento eólico poco significativo (Marín et al. 1993). Cerca del 30% de los sedimentos en bahía Mejillones son de origen terrígeno (Valdés et al. 2005), ya que los vientos del sur y suroeste que actúan sobre la península de Mejillones favorecen el transporte de sedimentos hacia el norte y su depósito en la bahía. El transporte eólico de sedimento en BSJ debiera ser aún menor que lo registrado para bahía Mejillones porque no hay una protuberancia costera tan significativa, como la península de Mejillones, en el límite sur. Se requieren realizar estudios para cuantificar el transporte eólico del sedimento tanto de este a oeste, debido principalmente a la brisa de tierra, como de sur a norte, típico del viento favorable para la surgencia, para estimar el porcentaje de sedimento terrígeno que podría estar introduciéndose en BSJ. Por otro lado, las aguas de BSJ pueden clasificarse como Caso II (Morel y Prieur 1977, Sathyendranath et al. 1989) por la turbidez debida a la alta densidad de organismos fitoplanctónicos, sedimentos y materia orgánica en suspensión. Todas estas características dificultan estimar las concentraciones de clorofila a a través de detección remota (Werdell et al. 2007). Sin embargo, Morel et al. (2006) consideran que las aguas costeras de alta concentración de clorofila asociadas a zonas áridas y sin efecto de drenaje de aguas continentales, como es el caso de BSJ, pueden considerarse como Caso I pero de alta concentración de clorofila. Las aguas clasificadas como Caso I son aquellas con baja concentración de clorofila, generalmente oligotróficas o mesotróficas y asociadas a aguas oceánicas. Esto explicaría por qué el modelo gaussiano ajustado para el interior de BSJ resultó satisfactorio en más de un 75%.
En conclusión, se obtuvo un modelo gaussiano promedio ajustado para cada una de las bases de datos válido para un intervalo considerable de clorofila satelital, el cual permite obtener las distribuciones verticales de clorofila a para un periodo particular del año. Sin embargo, la existencia de un único modelo para toda un área sólo permite encontrar un valor de MCSC, cuya ubicación en la columna de agua puede variar en función de las concentraciones de la clorofila satelital. Se requieren realizar más estudios que permitan comparar datos in situ con datos de imágenes satelitales, incluyendo estudios de las propiedades ópticas del agua, para tener una mejor interpretación de las imágenes en color representativas de este sistema costero.
AGRADECIMIENTOS
Este estudio fue financiado por los proyectos FNDRCONAMA BIP 30059576, FNDR-CONAMA (20072012) y MEL 4579 (2009). Se agradece a la Gobernación Marítima de Antofagasta el uso de sus embarcaciones para realizar este estudio. También se agradece la colaboración de Alexis Castillo, Alexis Maffet, Pablo Morales, Ignacio Cáceres, Gonzalo Gómez y Mauricio Espinoza en los muestreos oceanográficos. Se agradece especialmente a la National Aeronautics and Space Adminsitration (NASA) el facilitar las imágenes satelitales MODIS-Aqua.
REFERENCIAS
Álvarez-Molina LL, Álvarez-Borrego S, Lara-Lara JR, Marinone SG. 2013. Annual and semiannual variations of phytoplankton biomass and production in the central Gulf of California estimated from satellite data. Cienc. Mar. 39: 217-230. http://dx.doi.org/10.7773/cm.v39i2.2189 [ Links ]
Cullen JJ. 1982. The deep chorophyll maximum: Comparing vertical profiles of chlorophyll a. Can. J. Fish Aquat. Sci. 39: 791-803. [ Links ]
Dogliotti AI. 2007. Estimación de la biomasa fitplanctónica mediante sensoramiento remoto del color del mar y datos de campo en la plataforma continental patagónica. PhD thesis, Facultad de Ciencias Exactas y Naturales, Universidad de Buenos Aires, Argentina, 133 pp. [ Links ]
Escalante F, Valdez-Holguín JE, Álvarez-Borrego S, Lara-Lara JR. 2013. Temporal and spatial variations of sea surface temperatura, chlorophyll a, and primary productivity in the Gulf of California. Cienc. Mar. 39: 203-215. http://dx.doi.org/10.7773/cm.v39i2.2233 [ Links ]
Escribano R, Hidalgo P. 2001. Circulación inducida por el viento en Bahía de Antofagasta, norte de Chile (23°S). Rev. Biol. Mar. Oceanogr. 36: 43-60. [ Links ]
Escribano R, Marín VH, Hidalgo P, Olivares G. 2002. Physical-biological interactions in the pelagic ecosystem of the nearshore zone of the northern Humboldt Current System. In: JC Castilla, Lagier JL (eds.), The Oceanography and Ecology of the Nearshore and Bays in Chile. Ediciones Universidad Católica de Chile, Santiago, pp. 145-175. [ Links ]
Gitelson AA, Gao BC, Li RR, Berdnikov S, Saprygin V. 2011. Estimation of cholorophyll-a concentration in productive turbid waters using a hyperspectral imager for the coastal ocean: The Azov Sea case study. Environ. Res. Lett. 6: 024023 (6 pp). http://dx.doi.org/10.1088/1748-9326/6/2/024023 [ Links ]
Gohin F, Saulquin B, Oger-Jeanneret H, Lozac'h L, Lampert L, Lefebvre A, Riou P, Bruchon F. 2008. Towards a better assessment of the ecological status of coastal waters using satellite-derived chlorophyll a concentrations. Remote Sens. Environ. 112: 3329-3340. [ Links ]
Hecky RE, Kilham P. 1988. Nutrient limitation of phytoplnakton in freshwater and marine enviroments: A review of recent evidence on the effects of enrichment. Limnol. Oceanogr. 33: 796-822. [ Links ]
Hidalgo-González RM, Álvarez-Borrego S. 2008. Water column structure and phytoplankton biomass profiles in the Gulf of Mexico. Cienc. Mar. 34: 197-212. [ Links ]
Holt J, Harle J, Proctor R, Michel S, Ashworth M, Batstone C, Allen I, Holmes R, Smyth T, Haines K, Bretherton D, Smith G. 2009. Modelling the global coastal ocean. Philos. Trans. R. Soc. A 367: 939-951. [ Links ]
Iriarte JL, González HE. 2004. Phytoplankton size structure during and after the 1997/98 El Niño in a coastal upwelling area of the northern Humboldt Current System. Mar. Ecol. Prog. Ser. 269: 83-90. [ Links ]
Longhurst A, Sathyendranath S, Platt T, Caverhill C. 1995. An estimate of global primary production in the ocean from satellite radiometer data. J. Plankton Res. 17: 1245-1271. [ Links ]
Mann KH, Lazier JRN. 1991. Dynamics of Marine Ecosystems. Biological-physical Interactions in the Oceans. Blackwell Scientific Publications, Oxford, 563 pp. [ Links ]
Marín VH, Olivares GR, 1999. Estacionalidad de la productividad primaria en Bahía Mejillones del Sur (Chile): Una aproximación proceso-funcional. Rev. Chil. Hist. Nat. 72: 629-641. [ Links ]
Marín VL, Rodríguez L, Vallejo L, Fuenteseca J, Oyarce E. 1993. Efectos de la surgencia sobre la productividad primaria primaveral de Bahía de Mejillones del Sur (Antofagasta, Chile). Rev. Chil. Hist. Nat. 66: 479-491. [ Links ]
Millán-Núñez R, Álvarez-Borrego S, Trees CC. 1996. Relationship between deep chlorophyll maximum and surface chlorophyll concentration in the California Current System. CalCOFI Rep. 37: 241-250. [ Links ]
Morales CE, Blanco JL, Braun M, Nelson S. 2001. Chlorophyll-a distribution and mesoescale physical processes in uppwelling and adjacent oceanic zones off northern Chile (summer-autumn 1994). J. Mar. Biol. Assoc. UK 81: 193-206. [ Links ]
Morel A, Prieur L. 1977. Analysis of variations in ocean color. Limnol. Oceanogr. 22: 709-722. [ Links ]
Morel A, Gentili B, Chami M, Ras J. 2006. Bio-optical properties of high chlorophyll Case 1 waters and of yellow-substance-dominated Case 2 waters. Deep-Sea Res. (I) 53: 1439-1459. [ Links ]
O'Reilly JE, Maritorena S, Mitchell BG, Siegel DA, Carder KL, Garver SA, Kahru M, McClain CR. 1998. Ocean color chlorophyll algorithms for SeaWiFS. J. Geophys. Res 103: 24937-24953. [ Links ]
O'Reilly JE, Maritorena S, Siegel D, O'Brien M, Toole DT, Mitchell BG, Kahru M, Chavez FP, Strutton P, Cota GF, Hooker SB, McClain CR, Carder KL, Muller-Karger FE, Harding L, Magnuson A, Phinney D, Moore GF, Aiken J, Arrigo KR, Letelier RM, Culver ME. 2000. Ocean color chlorophyll a algorithms for SeaWiFS, OC2 and OC4: Version 4. SeaWiFS Postlaunch Calibration and Validation Analyses, Part 3. NASA/ TM 206892 11: 9-23. [ Links ]
Patti B, Guisande C, Vergara AR, Riveiro I, Maneiro I, Barreiro A, Bonanno A, Buscaino G, Cuttitta A, Basilone G, Mazzola S. 2008. Factors responsible for the differences in satellite-based chlorophyll a concentrations between the major global upwelling areas. Estuar. Coast. Shelf Sci. 76: 775-786. [ Links ]
Piñones A, Castilla JC, Guiñez R, Largier JL. 2007. Nearshore surface temperatures in Antofagasta Bay (Chile) and adjacent upwelling centers. Cienc. Mar. 33: 37-48. [ Links ]
Platt T, Sathyendranath S. 1988. Oceanic primary production: Estimation by remote sensing at local and regional scales. Science 241: 1613-1620. [ Links ]
Platt T, Sathyendranath S, Caverhill CM, Lewis MR. 1988. Ocean Primary production and available light: Futher algorithms for remote sensing. Deep-Sea Res. 35: 855-879. [ Links ]
Rodríguez L, Zárate O, Oyarce E. 1986. Producción primaria del fitoplancton y su relación con la temperatura, oxígeno, nutrientes y salinidad en la Bahía de Mejillones del Sur. Rev. Biol. Mar. 22: 75-96. [ Links ]
Rodríguez L, Marín V, Farías M, Oyarce E. 1991. Identification of an upwelling zone by remote sensing and in situ measurements. Mejillones del Sur Bay (Antofagasta, Chile). Sci. Mar. 55: 467-473. [ Links ]
Sathyendranath S, Prieur L, Morel A. 1989. A three-component model of ocean colour and its applications to remote sensing of phytoplankton pigments in coastal waters. Int. J. Remote Sens. 10: 1373-1394. [ Links ]
Steele JH, Yentsch CS. 1960. The vertical distribution of chlorophyll. J. Mar. Biol. Assoc. UK 39: 217-226. [ Links ]
Strub PT, Mesías J, Montecinos V, Rutland J, Salinas S. 1998. Coastal ocean circulation off western South America. In: Robinson A, Brink K (eds.), The Sea. Vol. 11. J Wiley, New York, pp. 273-313. [ Links ]
Ulloa O, Platt T, Sathyendranath S. 1995. Determinación de la producción primaria mediante información satelital. In: Alveal K, Ferrario ME, Oliveira EC, Sar E (eds.), Manual de Métodos Ficológicos. Universidad de Concepción, Chile, pp. 375-386. [ Links ]
Valdés J, Vergara G, Sifeddine A, Ortlieb L, Guiñez M. 2005. Distribution and enrichment evaluation of heavy metals in Mejillones Bay (23°S), northern Chile: Geochemical and statistical approach. Mar. Pollut. Bull. 50: 1558-1568. [ Links ]
Varela RA, Cruzado A, Tintoré J, García-Ladona E. 1992. Modelling the deep chlorophyll maximum: A coupled physical-biological approach. J. Mar. Res. 50: 441-463. [ Links ]
Werdell PJ, Franz BA, Bailey SW, Harding Jr LW, Feldman GC. 2007. Approach for the long-term spatial and temporal evaluation of ocean color satellite data products in a coastal environment. SPIE Proc. 6680. [ Links ]
Nota
English translation by Christine Harris.












