Servicios Personalizados
Revista
Articulo
Indicadores
-
Citado por SciELO -
Accesos
Links relacionados
-
Similares en
SciELO
Compartir
Ciencias marinas
versión impresa ISSN 0185-3880
Cienc. mar vol.38 no.1a Ensenada mar. 2012
Efectos de los huracanes sobre la estabilidad de paisajes asociados con arrecifes coralinos*
Effects of hurricanes on the stability of reefassociated landscapes
R RiojaNieto1*, X ChiappaCarrara1, C Sheppard2
1 Unidad Multidisciplinaria de Docencia InvestigaciónSisal, Universidad Nacional Autónoma de México, Puerto de Abrigo s/n, CP 97355 Sisal, Yucatán, México. * Corresponding author. Email: rrioja@ciencias.unam.mx
2 Department of Biological Sciences, University of Warwick, Coventry CV4 7AL, United Kingdom.
Received August 2010
Received in revised form September 2011
Accepted October 2011
RESUMEN
Se evaluó el efecto del huracán Emily (julio de 2005, categoría 4) en nueve distintos tipos de sustrato bentónico del paisaje arrecifal de la isla de Cozumel (México) al comparar la cobertura del sustrato, antes (diez meses) y después (dos meses) del huracán, en distintos sitios a lo largo de la costa oeste de la isla. Cuatro tipos de sustrato mostraron diferencias significativas (prueba de rangos con signo de Wilcoxon, P < 0.05). La cobertura de arena y arena sobre roca aumentó, mientras que la de pastos marinos y corales disminuyó. Los efectos del huracán sobre los corales blandos disminuyeron por debajo de los 10 m de profundidad. Aquellos sitios localizados entre 0.5 y 5.5 m fueron menos afectados hacia el suroeste de la isla, donde los arrecifes de coral están más desarrollados. Después de dos meses la cobertura de las macroalgas presentó valores similares a los observados antes del huracán, lo que sugiere una rápida recolonización algal. Los arrecifes de Cozumel se consideran saludables; sin embargo, un aumento en la abundancia de macroalgas como resultado de huracanes acoplado con actividades turísticas no reguladas adecuadamente podría favorecer un cambio de fase en este sistema.
Palabras clave: huracanes, paisaje arrecifal, Cozumel.
ABSTRACT
The effects of Hurricane Emily (July 2005, Category 4) on nine different benthic substrates in the reefassociated landscape along the west coast of Cozumel (Mexico) were evaluated by comparing the cover of nine types of substrate on groundtruthed sites before (ten months) and after (two months) the hurricane. Four substrates showed significant differences (Wilcoxon signedrank test, P < 0.05). Coverage of sand and sand over rock increased, while that of seagrass and hard corals decreased. The effects of the hurricane on soft corals diminished below 10 m depth. Sites between 0.5 and 5.5 m were less affected towards the southwest of the island, where the reefs are more developed. Algal cover was similar to prehurricane values after two months, which suggests fast algal recolonization. Cozumel reefs are considered to be healthy; however, a possible increase in the abundance of macroalgae as a result of hurricanes coupled with poorly regulated tourism activities could eventually favor a phase shift in the system.
Key words: hurricane effects, coral reef landscape, Cozumel.
INTRODUCCIÓN
Los vientos de alta velocidad y las olas altas, lluvias torrenciales y mareas de tormenta asociadas con huracanes afectan las comunidades marinas someras, lo cual se refleja en cambios en la cobertura de organismos bentónicos, la distribución local de las especies y la diversidad de hábitat (Connell 1978, Woodley et al. 1981, Massel y Done 1993, Adams 2001, Fourqurean y Rutten 2004, Gardner et al. 2005). Varios estudios han evaluado los efectos de los huracanes más fuertes sobre los arrecifes coralinos, pero pocos han estudiado el impacto sobre los hábitats localizados en la zona posterior de los arrecifes. En general, los efectos sobre los sistemas arrecifales tienden a ser muy variables (Fenner 1991, Bythell et al. 1993, Fourqurean y Rutten 2004) dependiendo de las características del huracán y de las condiciones locales, incluyendo la profundidad, pendiente arrecifal, ancho de la plataforma, exposición (arrecife anterior o posterior), presencia de material desprendido (Woodley et al. 1981), y el tamaño, forma, fuerza estructural y grado de fijación al sustrato de los organismos (Massel y Done 1993, Fourqurean y Rutten 2004, CruzPalacios y van Tussenbroek 2005). En las praderas de pastos marinos y macroalgas el daño parece ser específico de cada especie y los efectos incluyen defoliación, exposición de las partes bajo tierra, desprendimiento, enterramiento, abrasión de arena y mortalidad causada por una disminución de la salinidad y un aumento de la turbidez del agua (Ballantine 1984, Preen et al. 1995, CruzPalacios y van Tussenbroek 2005). Las macroalgas bentónicas del Caribe logran su recuperación entre tres semanas (Ballantine 1984) y ocho meses (Mumby et al. 2005). Las comunidades de pastos marinos recuperan su estatus prehuracán después de un año (Fourqurean y Rutten 2004). En décadas recientes, los arrecifes coralinos del Caribe no se han recuperado plenamente (Connell 1997, Gardner et al. 2005). Tras la mortalidad de los corales, los arrecifes pueden convertirse en un "estado alternativo", comúnmente dominado por macroalgas (Knowlton 1992, Hughes 1994, Bellwood et al. 2004, Rogers y Miller 2006), que puede llegar a ser persistente (Aronson y Precht 2006, Steneck 2006). En el Caribe mexicano, las estimaciones de la tasa de retorno de huracanes varían de uno cada 7.5 años a uno cada 18.5 años (JordánDahlgren y RodríguezMartínez 2003). Para la zona de Cozumel, la tasa de retorno se ha estimado en uno cada 7.5 años (Fenner 1998). Sin embargo, la frecuencia de las tormentas en la región del Atlántico ha aumentado desde 1995 (Emanuel 2005, Klotzbach y Gray 2008) y se espera que esta tendencia se mantenga en el futuro (Smith et al. 2010); por lo tanto, es probable que aumente el impacto de los huracanes en las comunidades bentónicas marinas de la región. En 2005, la isla de Cozumel se vio directamente afectada por dos de los huracanes más fuertes registrados para la región, Emily y Wilma, con sólo tres meses de diferencia entre ellos. ÁlvarezFilip et al. (2009) evaluaron el efecto de ambos huracanes sobre seis arrecifes de barrera. La cobertura coralina disminuyó sustancialmente (reducción de cobertura acumulada de 56%) y los huracanes expusieron una gran cantidad de sustrato. Fenner (1991) estudió el efecto de un huracán en Cozumel (huracán Gilbert en 1988) y observó una reducción de la cobertura coralina promedio. A la fecha, los estudios de los efectos de huracanes en Cozumel se han enfocado en los arrecifes de coral y ninguno ha evaluado el impacto sobre los hábitats asociados con los arrecifes, los cuales, desde una perspectiva de paisaje, tienen mayor cobertura que los propios arrecifes (RiojaNieto 2007).
En el presente trabajo se evaluaron los cambios en la cobertura de nueve tipos de sustratos bentónicos asociados con los arrecifes de coral de la isla de Cozumel (México) después de que el huracán Emily afectó el área al alcanzar la categoría 4 con vientos sostenidos de entre 210 y 249 km h1 (Franklin y Brown 2006). La zona estudiada contiene parches de corales y está dominada principalmente por macroalgas, pastos marinos, y arena y roca con vegetación limitada (RiojaNieto 2007), típico de muchos sistemas arrecifales del Caribe.
MATERIALES Y MÉTODOS
La isla de Cozumel se encuentra aproximadamente a 20 km de la costa de Quintana Roo, en el Caribe mexicano (INE 1998). La temporada de huracanes comienza en junio y dura hasta finales de noviembre, con mayor actividad en agosto y septiembre (LugoFernández y Gravois 2010). Los hábitats marinos en el área contienen una mezcla de arrecifes marginales, arrecifes de parche y corales mixtos sobre sustrato duro, que se encuentran junto con praderas algales y de pastos marinos, así como zonas de manglar. El somero talud sublitoral tiende a ser estrecho y desciende gradualmente de la costa, encontrándose los arrecifes más desarrollados a lo largo del borde de la plataforma insular suroccidental (Fenner 1988, JordánDahlgren 1988).
Se construyó un Sistema de Información Geográfica (SIG) del paisaje arrecifal de la isla de Cozumel como una herramienta de manejo para el Parque Nacional Arrecifes de Cozumel (RiojaNieto y Sheppard 2008). Se delinearon los límites de los hábitats marinos (polígonos) a partir de fotografías aéreas para representar los hábitats marinos someros de la isla. Entre septiembre y noviembre de 2004, se examinaron 56 transectos en la costa oeste de la isla, abarcando 318 polígonos. La verificación en campo (ground truth) se realizó mediante buceo con esnórquel de la costa hacia el mar, registrándose estimaciones cuantitativas del porcentaje de cobertura de los sustratos bentónicos (tabla 1) hasta una distancia de 10 m a cada lado del observador. Al observarse un cambio de hábitat se registraron la latitud, longitud y profundidad, y los transectos continuaron hasta alcanzar un acantilado submarino o una profundidad de 21 m. Los sitios examinados fueron usados para obtener los principales tipos de sustratos y construir el SIG. Dos meses después del huracán Emily, se reexaminaron 71 de los sitios en septiembre y octubre de 2005, antes del paso del huracán Wilma. La alineación de la costa de Cozumel es aproximadamente de norte a sur y los sitios revisitados se distribuyeron a lo largo de 30 km de la costa oeste de la isla, por lo que la latitud se usó como una medida de la localización espacial (ver abajo).
La cobertura de los diferentes sustratos no presentó una distribución normal (P < 0.05) y ninguna transformación corrigió esta condición. Se realizó una prueba de suma de rangos de Wilcoxon para datos apareados para determinar si la cobertura promedio de cada sustrato evaluado cambió después del huracán. Se estimó el cambio porcentual para cada tipo de sustrato como el valor absoluto de la diferencia entre la cobertura porcentual antes y después del huracán. El porcentaje acumulado de cambio para cada sitio revisitado se calculó como la suma del cambio porcentual de cobertura para cada tipo de sustrato en cada sitio. Se realizó un análisis de correlación de rangos de Spearman para establecer si el cambio acumulado observado para cada sitio presentaba un patrón horizontal (ubicación) y/o vertical (profundidad). Este estadístico también se usó para analizar las relaciones de la profundidad y latitud con cada tipo de sustrato.
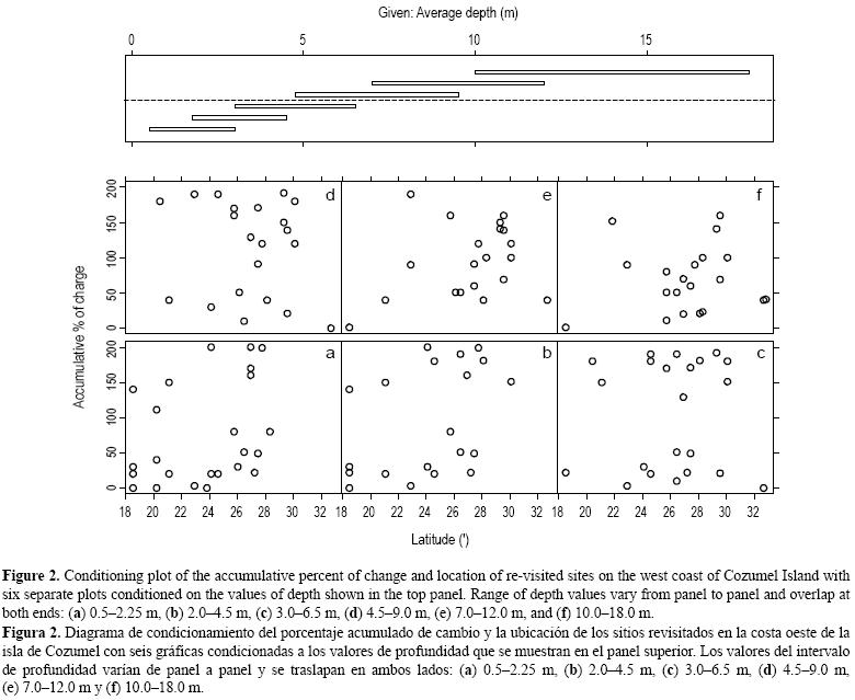
Dado que los arrecifes de coral pueden actuar como barreras naturales que reducen el impacto del oleaje y las corrientes (HoeghGuldberg 1999, Sheppard et al. 2005) y que los arrecifes más desarrollados de Cozumel se encuentran en el borde de la plataforma insular suroccidental (Fenner 1988, JordánDahlgren 1988), se analizó el efecto de la ubicación geográfica (latitud) y la profundidad de los sitios revisitados sobre el porcentaje acumulado de cambio. Se usó un diagrama de condicionamiento, que relaciona el cambio de porcentaje acumulado para cada sitio con la latitud a diferentes profundidades (Crawley 2002), para evaluar el efecto combinado de estos dos parámetros sobre la magnitud del cambio causado por el huracán. Los análisis estadísticos se realizaron con el programa SPlus 6.2.
RESULTADOS
La cobertura de todos los sustratos evaluados difirió después del huracán (tabla 2) pero solamente cuatro sustratos cambiaron significativamente (P < 0.05): la cobertura de arena y arena sobre roca aumentó 22% y 109%, respectivamente, mientras que la de pastos marinos y corales duros disminuyó 56% y 63%, respectivamente (fig. 1).


No se observó ninguna correlación general entre la latitud de los sitios (rho de Spearman = 0.2307, P = 0.0536), ni su profundidad promedio (rho de Spearman = 0.0086, P = 0.9421), con respecto al porcentaje acumulado de cambio. Esto se investigó más a fondo incluyendo el efecto combinado de la profundidad y ubicación de los sitios (fig. 2). Se observó una dispersión considerable en cada uno de los seis intervalos de profundidad. No obstante, para los sitios más someros, entre 0.5 y 5.5 m (fig. 2ab), el porcentaje acumulado de cambio aumentó hacia el norte de la isla (P < 0.03). Para los sitios más profundos (fig. 2cf), no se observó ningún efecto evidente de la ubicación. Sólo un tipo de sustrato mostró una correlación con la ubicación o profundidad; éste fue el hábitat de corales suaves, que resultó menos afectado con el aumento de la profundidad (rho de Spearman = 0.41, P = 0.0425).
DISCUSIÓN
El incremento de la cobertura de los sustratos de arena y arena sobre roca era de esperarse, ya que los huracanes transportan una gran cantidad de sedimentos (Mah y Stearn 1986, Reading 1990), que cubren a los sustratos bentónicos (Fourqurean y Rutten 2004). Esto coincide con la alta erosión de los arrecifes de coral (ÁlvarezFilip y Gil 2006, Álvarez del CastilloCárdenas et al. 2008) y las playas arenosas (R Cudney, com. pers.) de Cozumel después del paso del huracán. En esta zona los desarrolladores turísticos comúnmente crean playas arenosas artificiales y durante las tormentas tropicales esta arena agregada artificialmente puede ser removida y sofocar los arrecifes de coral adyacentes, como se ha observado en Cancún (GonzálezCano, com. pers.). Esto pone de manifiesto la necesidad de considerar el riesgo que implica la construcción de playas artificiales.
La cobertura de corales duros decreció 63% después del huracán. Los hábitats coralinos en los ambientes postarrecifales están formados por colonias pequeñas dentro de sitios dominados por otros tipos de sustratos (i.e., arena, macroalgas y pastos marinos) más que de "verdaderas" zonas de arrecifes coralinos. Las colonias pequeñas son más susceptibles de ser enterradas (Woodley et al. 1981, Bythel et al. 1993, Massel y Done 1993) y, por ende, se puede atribuir la reducción de la cobertura de corales duros al incremento de la cobertura de arena. La cobertura en una plataforma arrecifal somera dominada por especies ramificadas de Porites se redujo en un 73%, lo que corresponde a la reducción de Porites porites observada por ÁlvarezFilip et al. (2009) en los arrecifes de barrera de Cozumel después del paso del huracán Emily. Los corales ramificados son muy susceptibles a la rotura provocada por el oleaje, y las corrientes y tormentas ayudan a la dispersión por fragmentación (Jackson 1991). Se ha sugerido que este tipo de coral puede jugar un papel importante en la recuperación de las comunidades arrecifales de Cozumel (ÁlvarezFilip et al. 2009). Estudios recientes indican que la frecuencia de huracanes de gran intensidad aumentará en el Atlántico (Bender et al. 2010), y los arrecifes dominados por especies coralinas ramificadas podrían ser más vulnerables a sus efectos que los dominados por corales masivos; sin embargo, esto necesita ser evaluado.
La cobertura de pastos marinos se redujo considerablemente (~56%); sin embargo, no se observó un cambio significativo en la cobertura de macroalgas dos meses después del huracán Emily. Este hecho contrasta con observaciones previas que muestran que, en general, los pastos marinos (particularmente Thalassia testudinum, comúnmente observado en el presente estudio) parecen ser menos susceptibles a los efectos de los huracanes ya que sus raíces y rizomas están profundamente enterrados (Fourqurean y Rutten 2004, CruzPalacios y van Tussenbroek 2005). Aunque no se distinguió entre las macroalgas psamofíticas y epilíticas (las algas de vida libre no fueron consideradas como un tipo de sustrato en este estudio), la constancia en la cobertura algal puede estar relacionada con una recuperación rápida de las macroalgas epilíticas dado que este grupo es capaz de recuperarse rápidamente después de una perturbación (Ballantine 1984, DiazPulido y McCook 2002) y probablemente se benefició del incremento repentino de sustrato disponible. Antes del huracán se observó un tamaño promedio de parche relativamente grande de ~0.02 km2 (RiojaNieto 2007) y se ha documentado que el tamaño del parche determina las tasas de recuperación y colonización de este tipo de sustrato al mantener esporas y propágulos disponibles para la recolonización del espacio perturbado (Mumby et al. 2005). Las macroalgas bentónicas asociadas con las comunidades postarrecifales y pendientes arrecifales del Caribe muestran una variación estacional (mayor abundancia en el verano y menor en el invierno), sin un patrón claro a través del tiempo (ColladoVides et al. 2005, Biber e Irlandi 2006, van Tussenbroek y van Dijk 2007). Los muestreos antes y después del huracán se realizaron en la misma temporada del año, por lo que las diferencias debidas a las variaciones estacionales pueden considerarse insignificantes.
Los sitios someros resultaron menos afectados hacia el sur de la isla y esto puede estar relacionado con la presencia de arrecifes muy desarrollados en esa zona (Fenner 1988, JordánDahlgren 1988). Los arrecifes de coral protegen los hábitats localizados del lado de sotavento y pueden actuar como barreras naturales que reducen el impacto de la acción del oleaje y las corrientes (HoeghGuldberg 1999, Sheppard et al. 2005). Esta parte de la isla cuenta con mucha infraestructura turística, como hoteles de lujo y clubes de playa; por ende, a fin de mantener los servicios ecológicos proporcionados por estos arrecifes de barrera, es importante minizar el impacto de las actividades turísticas, como el aumento de sedimentos suspendidos y la eutrofización de la columna de agua causada por la percolación de las aguas residuales de los hoteles, que suelen descargarse al subsuelo.
Los arrecifes de Cozumel se consideran saludables (JordánDahlgren y RodríguezMartínez 2003, ÁlvarezFilip et al. 2009) y aún después del paso del huracán Wilma que tuvo un gran impacto sobre ellos (ÁlvarezFilip et al. 2009), parecen mostrar signos de recuperación (Álvarez del CastilloCárdenas et al. 2008). El huracán Emily causó reducciones marcadas o significativas de todas las categorías bióticas excepto las macroalgas en el paisaje postarrecifal, no sólo por la reducción de la cobertura de corales y pastos marinos sino también por el incremento sustancial de la cantidad de arena y arena sobre roca, un hábitat adecuado para mayor crecimiento algal. Nuestros resultados sugieren que hubo una recolonización más rápida de macroalgas, pero no se sabe si la abundancia de este tipo de sustrato aumentó con el tiempo por lo que es necesario evaluar esto. Un aumento de la abundancia de macroalgas en Cozumel como consecuencia de los huracanes junto con un incremento de actividades turísticas mal reguladas podría favorecer un cambio de fase en los sistemas postarrecifales. Por lo tanto, es importante considerar estrategias como un incremento de las áreas totalmente restringidas y el manejo sostenido y activo de grupos funcionales críticos (Bellwood et al. 2004), una mayor aplicación de reglamentos para limitar el impacto físico sobre los sustratos bentónicos (RiojaNieto y Sheppard 2008), y una planificación adecuada que incluya todos los niveles gubernamentales y actores involucrados en el uso de los arrecifes de Cozumel y los hábitats asociados.
AGRADECIMIENTOS
Se agradece al Consejo Nacional de Ciencia y Tecnología (CONACYT, México) la beca otorgada al primer autor; a R CudneyBueno, administrador del Parque Nacional Arrecifes de Cozumel, y el personal del área marina protegida su apoyo logístico durante el trabajo de campo; y a tres revisores anónimos sus comentarios valiosos que mejoraron el manuscrito original.
REFERENCIAS
Adams A. 2001. Effects of a hurricane on two assemblages of coral reef fishes: Multipleyear analysis reverses a false "snapshot" interpretation. Bull. Mar. Sci. 69: 341356. [ Links ]
Álvarez del CastilloCárdenas PA, ReyesBonilla H, ÁlvarezFilip L, MilletEncalada M, EscobosaGonzález LE. 2008. Cozumel Island, Mexico: A disturbance history. Proceedings of the 11th Inernational Coral Reef Symposium, Ft. Lauderdale, Florida, pp. 701705. [ Links ]
ÁlvarezFilip L, Gil I. 2006. Effects of Hurricanes Emily and Wilma on coral reefs in Cozumel, Mexico. Coral Reefs 25: 583. [ Links ]
ÁlvarezFilip L, MilletEncalada M, ReyesBonilla H. 2009. Impact of Hurricanes Emily and Wilma on the coral community of Cozumel Island, Mexico. Bull. Mar. Sci. 84: 296306. [ Links ]
Aronson RB, Precht WF. 2006. Conservation, precaution, and Caribbean reefs. Coral Reefs 25: 441450. [ Links ]
Ballantine DL. 1984. Hurricaneinduced mass mortalities to a tropical subtidal algal community and subsequent recoveries. Mar. Ecol. Prog. Ser. 20: 7583. [ Links ]
Bellwood DR, Hughes TP, Folke C, Nystrõm M. 2004. Confronting the coral reef crisis. Nature 429: 827833. [ Links ]
Bender MA, Knutson TR, Thomas R, Tuleya RE, Sirutis JJ, Vecchi GA, Garner ST, Held IM. 2010. Modeled impact of anthropogenic warming on the frequency of intense Atlantic hurricanes. Science 327: 454458. [ Links ]
Biber P, Irlandi EA. 2006. Temporal and spatial dynamics of macroalgal communities along an anthropogenic salinity gradient in Biscayne Bay (Florida, USA). Aquat. Bot. 85: 6577. [ Links ]
Bythell JC, Bythell M, Gladfelter EH. 1993. Initial results of a longterm coral reef monitoring program: Impact of Hurricane Hugo at Buck Island reef national monument, St. Croix, US Virgin Islands. J. Exp. Mar. Biol. Ecol. 172: 171183. [ Links ]
ColladoVides L, Rutten LM, Fourqurean JW. 2005. Spatiotemporal variation of the abundance of calcareous green macroalgae in the Florida Keys: A study of synchrony within a macroalgal functionalform group. J. Phycol. 41: 742752. [ Links ]
Connell JH. 1978. Diversity in tropical rain forests and coral reefs. Science 199: 13021310. [ Links ]
Connell JH. 1997. Disturbance and recovery of coral assemblages. Coral Reefs 16: S101S113. [ Links ]
Crawley MJ. 2002. Statistical computing: An introduction to data analysis using SPlus. John Wiley & Sons, Chichester, 761 pp. [ Links ]
CruzPalacios V, van Tussenbroek BI. 2005. Simulation of hurricanelike disturbances on a Caribbean seagrass bed. J. Exp. Mar. Biol. Ecol. 324: 4460. [ Links ]
DiazPulido G, McCook LJ. 2002. The fate of bleached corals: Patterns and dynamics of algal recruitment. Mar. Ecol. Prog. Ser. 233: 115128. [ Links ]
Emanuel KA. 2005. Increasing destructiveness of tropical cyclones over the past 30 years. Nature 436: 686688. [ Links ]
Fenner DP. 1988. Some leeward reefs and corals of Cozumel, Mexico. Bull. Mar. Sci. 42: 133144. [ Links ]
Fenner DP. 1991. Effects of Hurricane Gilbert on coral reefs, fishes and sponges at Cozumel, Mexico. Bull. Mar. Sci. 48: 719730. [ Links ]
Fourqurean JW, Rutten LM. 2004. The impact of Hurricane Georges on softbottom, back reef communities: Site and speciesspecific effects in South Florida seagrass beds. Bull. Mar. Sci. 75: 239257. [ Links ]
Franklin JL, Brown DP 2006. Tropical Cyclone Report Hurricane Emily 1121 July 2005. National Hurricane Center, NOAA, available at http://www.nhc.noaa.gov/pdf/TCRAL052005_Emily.pdf. Accessed 09 February 2012. [ Links ]
Gardner TA, Côté IM, Gill JA, Grant A, Watkinson AR. 2005. Hurricanes and Caribbean coral reefs: Impacts, recovery patterns, and role in longterm decline. Ecology 86: 174184. [ Links ]
HoeghGuldberg O. 1999. Climate change, coral bleaching and the future of the world's coral reefs. Mar. Freshwat. Res. 50: 839866. [ Links ]
Hughes TP. 1994. Catastrophes, phase shifts, and largescale degradation of a Caribbean coral reef. Science 265: 15471551. [ Links ]
INE. 1998. Programa de Manejo del Parque Marino Nacional Arrecifes de Cozumel, Quintana Roo, México. Instituto Nacional de Ecología, Mexico City, 164 pp. [ Links ]
Jackson JBC. 1991. Adaptation and diversity of reef corals. Bioscience 41: 475482. [ Links ]
JordánDahlgren E. 1988. Arrecifes profundos en la Isla de Cozumel, México. An. Inst. Cienc. Mar Limnol. Univ. Nac. Autón. Méx. 15: 195208. [ Links ]
JordánDahlgren E, RodríguezMartínez RE. 2003. The Atlantic coral reefs of Mexico. In: Cortés J (ed.), Latin American Coral Reefs. Elsevier, Amsterdam, pp. 131158. [ Links ]
Klotzbach PJ, Gray WM. 2008. Multidecadal variability in North Atlantic tropical cyclone activity. J. Clim. 21: 39393935. [ Links ]
Knowlton N. 1992. Thresholds and multiple stable states in coral reef community dynamics. Am. Zool. 32:674682. [ Links ]
LugoFernández A, Gravois M. 2010. Understanding impacts of tropical storms and hurricanes on submerged bank reefs and coral communities in the northwestern Gulf of Mexico. Cont. Shelf Res. 30: 12261240. [ Links ]
Mah AJ, Stearn CW. 1986. The effect of Hurricane Allen on the Bellairs fringing reef, Barbados. Coral Reefs 4: 169176. [ Links ]
Massel SR, Done TJ. 1993. Effects of cyclone waves on massive coral assemblages on the Great Barrier Reef: Meteorology, hydrodynamics and demography. Coral Reefs 12: 153166. [ Links ]
Mumby PJ, Foster NL, Gynn Fahy EA. 2005. Patch dynamics of coral reef macroalgae under chronic and acute disturbance. Coral Reefs 24: 681692. [ Links ]
Preen AR, Lee Long WJ, Coles RG. 1995. Flood and cyclone related loss, and partial recovery of more than 1000 km2 of seagrass in Hervey Bay, Queensland, Australia. Aquat. Bot. 52: 317. [ Links ]
Reading AJ. 1990. Caribbean tropical storm activity over the past four centuries. Int. J. Climatol. 19: 365376. [ Links ]
RiojaNieto R. 2007. Landscape ecology and conservation of the Cozumel Reefs National Park, Mexico. PhD thesis, Warwick University, UK, 150 pp. [ Links ]
RiojaNieto R, Sheppard C. 2008. Effects on management strategies on the landscape ecology of a Marine Protected Area. Ocean Coast. Manage. 51: 397404. [ Links ]
Rogers CS, Miller IR. 2006. Permanent "phase shifts" or reversible declines in coral cover? Lack of recovery of two coral reefs in St. John, US Virgin Islands. Mar. Ecol. Prog. Ser. 306: 103114. [ Links ]
Sheppard C, Dixon DJ, Gourlay M, Sheppard A, Payet R. 2005. Coral mortality increases wave energy reaching shores protected by reef flats: Examples from the Seychelles. Estuar. Coast. Shelf Sci. 64: 223234. [ Links ]
Smith DM, Eade R, Dunstone NJ, Fereday D, Murphy JM, Pohlmann H, Scaife AA. 2010. Skilful multiyear predictions of Atlantic hurricane frequency. Nat. Geosci. 3: 846849. [ Links ]
Steneck RS. 2006. Staying connected in a turbulent world. Science 311: 480481. [ Links ]
Van Tussenbroek BI, van Dijk JK. 2007. Spatial and temporal variability in biomass and production of psammophytic Halimeda Incrassata (Bryopsidales, Chlorophyta) in a Caribbean reef lagoon. J. Phycol. 43: 6977. [ Links ]
Woodley JD, Chornesky EA, Clifford PA, Jackson JBC, Kaufman LS, Knowlton N, Lang JC, Pearson MP, Porter JW, Rooney MC, Rylaarsdam KW, Tunnicliffe VJ, Wahle CM, Wulff JL, Curtis ASG, Dallmeyer MD, Jupp BP, Koehl MAR, Niegel J, Sides EM. 1981. Hurricane Allen's impact on Jamaican coral reefs. Science 214: 749755. [ Links ]
*Descargar versión bilingüe (InglésEspañol) en formato PDF.
Traducido al español por Christine Harris.













