Servicios Personalizados
Revista
Articulo
Indicadores
Links relacionados
-
Similares en
SciELO
Compartir
Ciencias marinas
versión impresa ISSN 0185-3880
Cienc. mar vol.36 no.4 Ensenada dic. 2010
Notas de investigación
La pesquería artesanal en la Bahía de La Paz y su área oceánica adyacente (Golfo de California, México)*
Artisanal fisheries in La Paz Bay and adjacent oceanic area (Gulf of California, Mexico)**
M VázquezHurtado, M MaldonadoGarcía*, CH LechugaDevéze, H AcostaSalmón, A OrtegaRubio
Centro de Investigaciones Biológicas del Noroeste SC (CIBNOR), Mar Bermejo 195, Col. Playa Palo de Santa Rita, La Paz, 23090, Baja California Sur, Mexico. * Email: minervarn04@cibnor.rnx
Received December 2009
Accepted September 2010
RESUMEN
Se analizaron datos de captura de la pesquería artesanal en la Bahía de La Paz (Baja California Sur, México) de 1998 a 2005 y se relacionaron con las temporadas reproductivas de cada una de las especies capturadas. Se identificaron registros completos de 18 especies de importancia comercial pertenecientes a ocho familias. La especie más capturada en la Bahía de La Paz fue el huachinango Lutjanus peru, con 43% de la captura total. Le siguieron en orden de volumen de captura el pargo lunarejo Lutjanus guttatus, otras cabrillas y pargos (Serranidae), y las diferentes especies de jurel (Carangidae), con 18.8%, 15% y 7.3%, respectivamente. Otras especies de importancia comercial capturadas en la bahía fueron el atún aleta amarilla Thunnus albacares, el lenguado Paralichthys californicus, la lisa Mugil cephalus, el mero Epinephelus itajara y las diferentes especies de mojarras (Gerreidae). Salvo pocas excepciones, todas las capturas fueron mayores en la parte externa de la bahía que en la parte interna. Todas las especies fueron capturadas durante todo el año independientemente de su temporada de reproducción. Se recomienda la implementación de regulaciones pesqueras en la Bahía de La Paz, en particular para el huachinango por ser la especie más explotada. Bajo el esquema actual de explotación es posible que se presente sobreexplotación y posibles reducciones de las poblaciones locales en cualquier momento y sin aviso dentro de un futuro próximo. Además del manejo de la pesquería, otra opción atractiva para incrementar el suministro de los recursos marinos en el área es el uso de la parte interna de la bahía para la maricultura.
Palabras clave: pesqueria artesanal, recursos pesqueros, Bahía de La Paz.
ABSTRACT
We analyzed the artisanal fishery capture data for La Paz Bay (Baja California Sur, Mexico) from 1998 to 2005. Capture data were related to the reproductive cycle of each species. Complete fishing records for 18 species of commercial importance belonging to eight families were identified. The most frequently captured species in La Paz Bay was the Pacific red snapper Lutjanus peru, with 43% of the total capture. This species was followed in importance by the spotted rose snapper Lutjanus guttatus, other groupers (Serranidae), and the jacks (Carangidae), with 18.8%, 15%, and 7.3% of the capture, respectively. Other commercial species captured in smaller amounts included the yellowfin tuna Thunnus albacares, the California flounder (or California halibut) Paralichthys californicus, the flathead mullet Mugil cephalus, the goliath grouper Epinephelus itajara, and different species of mojarra (Gerreidae). With few exceptions, catches outside the bay were higher than in the inner bay. All species were caught throughout the year regardless of their reproductive season. We recommend the implementation of fishery regulations for La Paz Bay, especially in the case of the Pacific red snapper, since it is the most exploited. Currently, overexploitation and possible local shortage of species may occur at any time and without warning in the near future. Aside from fishery management, an attractive option for increasing the supply of marine resources in the area is to use the inner bay for marine fish farming.
Key words: artisanal fishery, fishing resources, La Paz Bay.
INTRODUCCIÓN
La evaluación de pesquerías proporciona datos importantes para determinar futuras medidas para el manejo sustentable de los recursos pesqueros (Stauffer y Kocovsky 2007). Estudios sobre la abundancia de poblaciones ayudan a definir, por ejemplo, los sitios de reproducción o desove, las áreas de reclutamiento de jóvenes y las zonas de pesca (Gladstone 2007). La investigación pesquera junto con información sobre la biología de especies sujetas a explotación comercial también ayudan a determinar las vedas de pesca para suspender esta actividad durante las temporadas de reproducción y mantener la capacidad de una cierta especie de reclutar individuos jóvenes al ambiente, asegurando así la supervivencia de la especie y su pesquería en una cierta zona (Castello et al. 2009).
La Bahía de La Paz, en el Golfo de California (México), es una región de gran importancia comercial ya que proporciona tanto productos marinos (mariscos y pescado) como servicios recreacionales (e.g., buceo, pesca deportiva, turismo) (Casas et al. 1996, de los Monteros 2002). La pesca artesanal (de baja tecnología) es una actividad importante en México. Se capturan peces pelágicos costeros y migratorios, y en 2004 las pesquerías artesanales contribuyeron alrededor de 40% de la captura total nacional (ArreguínSánchez et al. 2004). El Instituto Nacional de la Pesca (INP) ha registrado aproximadamente 550 barcos pesqueros de poco calado y 7 m de largo (ArreguínSánchez et al. 2004), los cuales son operados por compañías privadas o con asistencia gubernamental.
Los pescadores locales tienen sus sitios preferidos dentro de la Bahía de La Paz donde obtienen mejores capturas. Las especies de peces más capturadas son el huachinango Lutjanus peru; el pargo lunarejo Lutjanus guttatus; las cabrillas Paralabrax maculatofasciatus, Epinephelus analogus, E. labriformis y Mycteroperca rosacea; los jureles Caranx hippos, C. caballus, C. marginatus y Seriola lalandi; y la pierna Caulolatilus princeps (RamírezRodríguez 1997, RamírezRodríguez y HernándezHerrera 2000). Varias de las especies comerciales se capturan durante todo el año y no existen vedas o límites de talla.
La Bahía de La Paz es un ecosistema muy diverso, encontrándose áreas arenosas, rocosas, coralinas y de manglares. Se considera una zona de importancia ecológica donde la pesca se ha realizado durante más de 400 años, siendo una de las principales fuentes de sustento de los habitantes. Hoy en día, a pesar de fluctuaciones en la oferta y demanda causada por variaciones de los recursos pesqueros, así como por condiciones ambientales y económicas, la pesca sigue siendo una importante actividad local (UrbánRamírez y RamírezRodríguez 1997).
Las condiciones ambientales dentro de la Bahía de La Paz son favorables para la pesca artesanal; sin embargo, actualmente no hay planes de manejo y existe poco conocimiento de los recursos pesqueros y cómo se explotan. Además, no se han analizado los desembarques ni los factores ambientales para poder predecir las tendencias futuras de captura. En este estudio se analizaron datos de captura de la pesquería artesanal en la Bahía de La Paz durante un periodo de ocho años y se relacionaron con las temporados reproductivas de cada especie con el objetivo de contribuir al manejo sustentable de los recursos pesqueros de esta bahía.
MATERIAL Y MÉTODOS
Se analizaron datos de captura de la pesquería artesanal de Bahía de La Paz para el periodo de 1998 a 2005, los cuales fueron proporcionados por el Consejo Nacional de Acuacultura y Pesca (CONAPESCA). En vista de que las capturas tradicionalmente se registran con los nombres comunes de las especies, se utilizó la base de datos electrónica FishBase (Froese y Pauly 2007) y el Atlas Pesquero de México (INP 1994) para identificar las especies reportadas en los registros. Se evaluaron datos del peso desembarcado, el precio de venta, el valor total y el sitio de captura.
Los pescadores utilizan toda la Bahía de La Paz pero los registros de captura no especifican el sitio exacto, sino más bien indican si la captura se realizó dentro de la bahía, cerca de la costa o alrededor de las islas Espíritu Santo y San José. Por razones prácticas, se dividieron estos sitios en dos grupos, los que se localizan en la parte interna de la bahía y los que se localizan en la parte externa de la bahía, en áreas oceánicas alrededor de las islas San José y Espíritu Santo (fig. 1). Una vez identificadas, se determinó la proporción de especies capturadas en las dos partes.
Los datos de captura se relacionaron con el ciclo reproductivo de cada especie con base en estudios previos (Dooley 1978, Ochoa et al. 1991, Arellano et al. 2001, Avilés y Castelló 2004, DíazUribe et al. 2004, Froese y Pauly 2007).
RESULTADOS
Se identificaron registros de pesca completos para 18 especies de importancia comercial pertenecientes a ocho familias (tabla 1). La especie más capturada en la Bahía de La Paz entre 1998 y 2005 fue el huachinango L. peru, con 43% de la captura total. A esta especie le siguieron en importancia el pargo lunarejo L. guttatus, algunos miembros de la familia Serranidae y las especies de Carangidae, con 18.8%, 15% y 7.3% de la captura, respectivamente (fig. 2).
También se capturaron, en menor cantidad, otras especies de importancia comercial, incluyendo el atún aleta amarilla Thunnus albacares, el lenguado Paralichthys californicus, la lisa Mugil cephalus y el mero Epinephelus itajara, así como las mojarras Eucinostomus argenteus, E. gracilis y Gerres cinereus (fig. 3).
En general, las capturas fueron mayores en la parte externa de la bahía que en la parte interna durante el periodo de estudio (19982005); sin embargo, en 2003 las capturas decrecieron significativamente en la parte externa e incrementaron en la parte interna (figs. 2, 3).
La tabla 2 muestra el valor promedio del desembarque comercial de las especies. El huachinango L. peru y el mero Epinephelus itajara presentaron el mayor valor, seguidos por otros miembros de la familia Serranidae, el lenguado P. californicus y el pargo lunarejo L. guttatus. Las especies de menor precio incluyeron el atún aleta amarilla T. albacares, la lisa M. cephalus y las mojarras.
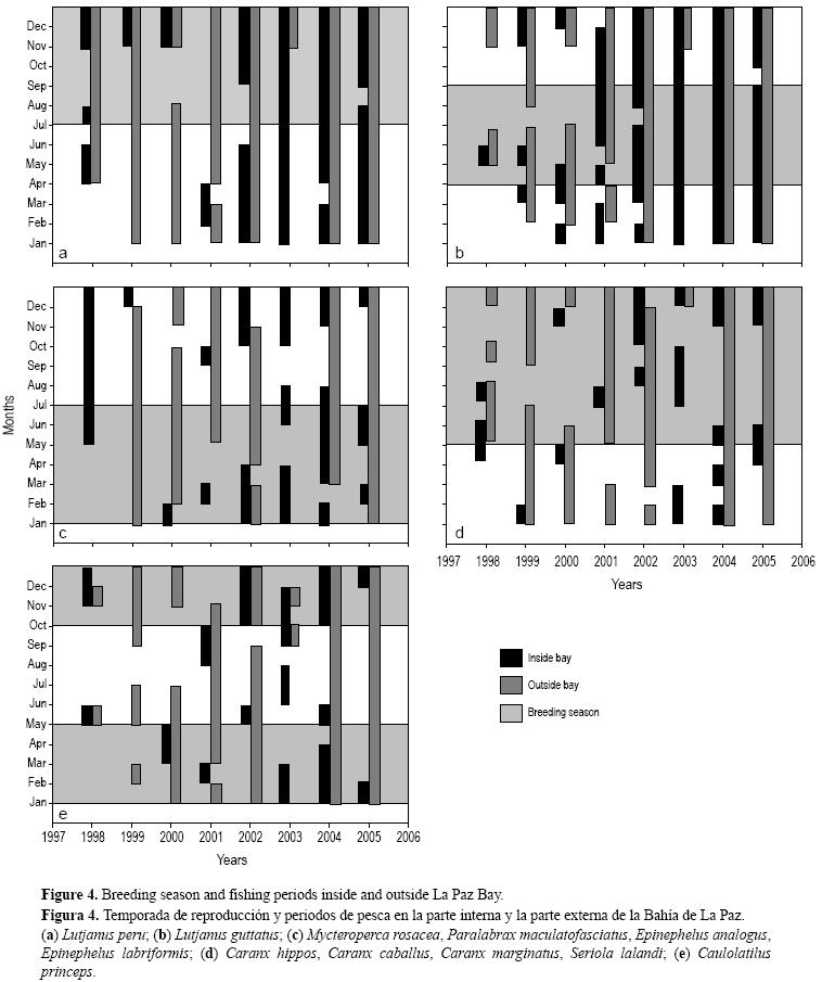
Las figuras 4 y 5 muestran las temporadas de reproducción de cada especie y cuándo se realizaron las capturas. Todas las especies fueron capturadas durante todo el año sin considerar sus temporadas reproductivas, y T. albacares y M. cephalus fueron capturadas durante su temporada de veda.
DISCUSIÓN
El manejo racional de los recursos toma en consideración todas las actividades pesqueras y encuentra un balance entre los beneficios económicos, ecológicos y sociales (ArreguínSánchez et al. 2004). Los principales recursos pesqueros en la Bahía de La Paz se están explotando con ningún o poco interés en sus temporadas de reproducción. Por ejemplo, L. peru fue la especie más capturada tanto en la parte interna como la externa, y se pescó durante todo el año. Si la pesquería del huachinango sigue siendo artesanal, puede continuar siendo saludable durante varios años y no mostrar señales de colapso; sin embargo, esto no parece ser probable por la creciente demanda de productos frescos en los mercados locales, regionales, nacionales e internacionales, especialmente en países asiáticos. Aproximadamente 70% del esfuerzo de la pesca artesanal estuvo dirigida hacia las familias Lutjanidae y Serranidae, las cuales son de mayor valor comercial. La especie más importante en cuanto al volumen de captura fue L. peru. DíazUribe et al. (2004) también enfatizaron el alto nivel de esfuerzo pesquero dirigido hacia el huachinango en las pesquerías de la costa occidental del Golfo de California. Los lutjánidos son especies populares y de interés preferente no sólo en el Golfo de California sino a nivel mundial (Blaber et al. 2005, Fry et al. 2009).
Ya se ha cuestionando la sustentabilidad de la pesquería del huachinango en el estado de Baja California Sur (DíazUribe et al. 2004) en vista de que en la Bahía de La Paz, una de las zonas más productivas de esta especie en el estado, aproximadamente 50% de los organismos capturados son sexualmente inmaduros y miden <40 cm (RochaOlivares 1991). Además, como se ha demostrado en el presente trabajo, todos los peces comerciales se capturan durante su temporada de reproducción. Otros estudios también han mostrado que la pesquería del huachinango en la costa occidental del Golfo de California tiene pocas posibilidades de desarrollarse si no se regula.
Actualmente no existen vedas, límites de talla o cuotas de pesca para las especies, con excepción de T. albacares y M. cephalus, y todas las especies se capturan durante su temporada de reproducción. Lo más probable es que incrementen los esfuerzos de pesca en el futuro para cubrir la creciente demanda y es necesario establecer una pesquería más controlada para conservar los recursos. Ya que la pesquería de lutjánidos recibe >50% del esfuerzo pesquero, ésta es la pesquería que requiere atención inmediata y necesita ser regulada. Un escenario práctico para su regulación debería incluir un tamaño mínimo de captura (i.e., >40 cm, RochaOlivares 1991), así como una veda de pesca durante los meses de reproducción (i.e., de agosto a octubre para L. peru y de abril a julio para L. guttatus; SantamaríaMiranda et al. 2003).
Las 18 especies consideradas en este estudio representan una fracción del total de especies comerciales que se capturan en la Bahía de La Paz. Dentro del periodo de estudio, se capturaron un total de 26 especies ícticas; sin embargo, sólo se seleccionaron los registros de estas 18 especies por ser los únicos completos que cubrían todo el periodo de estudio.
Se registró un mayor volumen de captura (76%) en la parte externa de la bahía. Existen diferencias físicas entre la parte externa y la interna que probablemente afectan la cantidad y la distribución de talla de los peces capturados en estos sitios. Por ejemplo, en la parte interna se encuentran varias ensenadas someras con una abundancia de rocas y corales (Prchalova et al. 2009). Las zonas de pesca alrededor de las islas en la parte externa son más profundas y generalmente se capturan peces de mayor tamaño en estos sitios (Erisman et al. 2007). Debido a las características más costeras de la parte interna de la bahía, los sitios de pesca están poblados por peces más jóvenes. Salvo pocas excepciones, el volumen de captura en la parte externa siempre fue mayor que en la parte interna. Una excepción a este patrón se observó en 2003, cuando se obtuvieron pocas capturas en la parte externa. En 2001 finalizó un evento largo de El Niño (MaldonadoGarcía et al. 2010) que pudo haber tenido efectos significativos en el reclutamiento de las diferentes especies. Se han relacionado las fluctuaciones en los volúmenes de captura con cambios ambientales causados por eventos de El Niño (DíazUribe et al. 2004), y el bajo volumen de captura registrado en 2003 podría atribuirse, en parte, a esto. Es importante realizar estudios similares para asociar la ocurrencia de El Niño con las capturas en los años subsiguientes, cuando las condiciones vuelven a la normalidad, para poder determinar el grado del efecto de El Niño sobre las pesquerías artesanales de la Bahía de La Paz.
Las fluctuaciones en el volumen de captura fueron mayores en la parte externa que en la parte interna de la bahía. Ya que la pesquería es artesanal y depende de embarcaciones relativamente pequeñas (7 m), las condiciones climáticas y oceanográficas tienen mayor efecto sobre las capturas en la parte externa debido a que estos sitios están más expuestos a condiciones climatológicas turbulentas. Estas fluctuaciones podrían atribuirse a la variabilidad en el tiempo embarcado. La parte interna recibe protección de las islas grandes al exterior, así como de las muchas ensenadas resguardadas a lo largo de la costa. Otros factores que podrían afectar los volúmenes de captura son las mareas rojas que suceden con frecuencia en la Bahía de La Paz (GárateLizárraga y MuñetónGómez 2005). La dinámica de poblaciones, el esfuerzo pesquero, la productividad y la calidad del agua son algunos temas que requieren estudiarse para entender bien las causas de la baja producción al interior de la bahía en comparación con la mayor producción al exterior.
La Bahía de La Paz cubre un área considerable, lo cual dificulta los estudios para determinar la abundancia de las poblaciones ícticas. Es necesario monitorear con cuidado los datos de captura para señales de debilitamiento de las pesquerías individuales. Recomendamos la implementación de regulaciones pesqueras, tales como cuotas de captura o vedas, para mejorar el estatus de las poblaciones reproductoras y permitir el reclutamiento de un mayor número de jóvenes, incrementando así las poblaciones de estas especies de importancia comercial. En la actualidad, la sobreexplotación y posibles reducciones de las poblaciones locales podrían suceder en cualquier momento y sin aviso dentro de un futuro próximo. Además del manejo de la pesquería, otra opción atractiva para incrementar el suministro de los recursos marinos en el área sería utilizar la parte interna de la bahía para la maricultura.
En estudios preliminares se ha estimado la capacidad de carga de la Bahía de La Paz y se han definido ciertas zonas donde se podría realizar la acuicultura del atún aleta amarilla (LechugaDevéze, datos no publicados). La bahía tiene una producción anual potencial de aproximadamente 3200 t, sin comprometer su integridad ambiental. Este volumen es considerablemente mayor que el que actualmente se captura por las pesquerías artesanales en la bahía (160 t año1), y es mayor que el volumen registrado, por ejemplo, para Australia (800 t año1) pero menor que el registrado para Indonesia (52,800 t año1) (Blaber et al. 2005). Al igual que el atún aleta amarilla, el huachinango L. peru tiene gran potencial para incrementar su producción anual mediante la acuicultura. Una granja podría producir peces de menor tamaño (2540 cm) y alcanzar la demanda para este intervalo de talla. Su apreciación en el mercado asiático convierte la acuicultura del huachinango en una opción interesante para diversificar e incrementar la producción íctica en la Bahía de La Paz. Otras especies de valor alto y con buen potencial acuicultural son el lenguado, los jureles y los meros (cabrillas). La tecnología para la producción en cautiverio de estas especies se encuentra bajo desarrollo.
AGRADECIMIENTOS
Los autores agradecen el apoyo financiero proporcionado al proyecto CONACYTSEMARNAT 2006C0123449.
REFRENCIAS
Avilés QA, Castelló FO. 2004. Manual para el cultivo de Seriola lalandi (Pisces: Carangidae) en Baja California Sur, México. Instituto Nacional de la Pesca, Dirección General de Investigación en Acuacultura. México DF. 64 pp. [ Links ]
Arellano MM, Rojas HA, García DF, Ceballos VBP, Villarejo FM. 2001. Ciclo reproductivo del pargo lunarejo Lutjanus guttatus (Steindachner 1869) en las costas de Guerrero, México. Biol. Mar. Oceanogr. 36: 18. [ Links ]
ArreguínSánchez F, HernándezHerrera A, RamírezRodríguez M, PérezEspaña H. 2004. Optimal management scenarios for the artisanal fisheries in the ecosystem of La Paz Bay, Baja California Sur, Mexico. Ecol. Model. 172: 373382. [ Links ]
Blaber SJM, Dichmont CM, Buckworth RC, Badruin A, Sumiono B, Nurhakim S, Iskandar B, Fegan B, Ramm DM, Salini JP. 2005. Shared stocks of snappers (Lutjanidae) in Australia and Indonesia: Integrating biology, population dynmics and socioeconomics to examine management scenarios. Rev. Fish Biol. Fish. 15: 111127. [ Links ]
Casas VM, Ponce DG, Hernández LA, González OMA, Galván MF, Guzmán VE, Hernández VS, Vélez BA, SuiQui A. 1996. Recursos pesqueros y acuícolas de Baja California Sur: Estado actual y perspectivas de aprovechamiento y desarrollo. In: CasasValdez M, PonceDíaz G (eds.), Estudio del Potencial Pesquero y Acuícola de Baja California Sur. SEMARNAP, Gobierno del Estado de Baja California Sur, FAO, INP, UABCS, CICIMAR, CETMAR. pp 114. [ Links ]
Castello JP, Sunye PS, Haimovici M, Hellebrandt D. 2009. Fisheries in southern Brazil: A comparison of their management and sustainability. J. Appl. Ichthyol. 25: 287293. [ Links ]
De los Monteros RLE. 2002. Evaluating ecotourism in natural protected areas of La Paz Bay, Baja California Sur, Mexico: Ecotourism or naturebased tourism? Biodivers. Conserv. 11. [ Links ]
DíazUribe JG, Chávez EA, ElorduyGaray JF. 2004. Assessment of the Pacific red snapper (Lutjanus peru) fishery in the southwestern Gulf of California. Cienc. Mar. 30: 561574. [ Links ]
Dooley JK. 1978. Systematics and biology of the tilefishes (Perciformes: Branchiostegidae and Malacanthidae) with descriptions of two news species. NOAA. Tech. Rep. NMFS Circ. No. 411: 178. [ Links ]
Erisman BE, Buckhorn ML, Hastings PA. 2007. Spawning patterns in the leopard grouper, Mycteroperca rosacea, in comparison with other aggregating groupers. Mar. Biol. 151: 18491861. [ Links ]
Froese R, Pauly D. 2007. Fish Base World Wide Web electronic publication, http://www.fishbase.org/ (ver. 10/2007). [ Links ]
Fry G, Milton DA, Van Der Velde T, Stobutzki I, Andamari R, Badruin, Sumiono B. 2009. Reproductive dynamics and nursery habitat preferences of two commercially important IndoPacific red snappers Lutjanus erythopterus and L. malabaricus. Fish Sci. 75: 145158. [ Links ]
GárateLizárraga I, MuñetónGómez MS. 2005. Florecimiento de Gonyaulax polygramma en la Bahía de La Paz, Golfo de California (octubre de 2004). In: Leal SA, Comas T, Romero C, Castellanos G, Delgado M, Perdomo L, Gómez A, Frías R, Cabrera R. (eds.), Memories VII Congreso de Ficología de Latinoamérica y el Caribe y V Reunión Iberoamericana de Ficología, 1923 September 2005. Havana, Cuba, pp. 114. [ Links ]
Gladstone W. 2007. Temporal patterns of spawning and hatching in a spawning aggregation of the temperate reef fish Chromis hypsilepis (Pomacentridae). Mar. Biol. 151: 11431152. [ Links ]
MaldonadoGarcía M, VázquezHurtado M, LechugaDevéze C. 2010. El Niño influences fish capture in La Paz Bay, Gulf of California: Eight years of monitoring. In: Hall, J., Harrison, D.E. & Stammer, D. (eds.), Proceedings of OceanObs'09: Sustained Ocean Observations and Information for Society (Annex). Venice, Italy. Venice, Italy, 2125 September 2009. ESA Publication WPP306. [ Links ]
Ochoa BRS, García GM, Martínez RR. 1991. La actividad reproductiva de Lutjanus peru (Perciformes: Lutjanidae) en las costas de San José del Cabo, BCS. Book of Abstracts, II Congreso Nacional de Ictiología, San Nicolás de las Garzas, Nuevo León, México. [ Links ]
Prchalova M, Kubecka J, Cech M, Frouzova J, Drastik V, Hohausova E, Juringza T, Kratochvil M, Matena J, Peterka J, Riha M, Tuser M, Vasek M. 2009. The effect of depth, distance from dam and habitat on spatial distribution of fish in an artificial reservoir. Ecol. Freshwat. Fish 18: 247260. [ Links ]
RamírezRodríguez M. 1997. La producción pesquera en la Bahía de La Paz, BCS. In: UrbánRamírez J, RamírezRodríguez M. (eds.), La Bahía de La Paz, Investigación y Conservación. Universidad Autónoma de Baja California Sur, Centro Interdisciplinario de Ciencias Marinas, IPN, SCRIPPS Institution of Oceanography, pp 273281. [ Links ]
RamírezRodríguez M, HernándezHerrera A. 2000. Pesca artesanal en la costa oriental de Baja California Sur, México (19961997). In: AburtoOropeza O, SánchezOrtiz C. (eds.), Recursos Arrecifales del Golfo de California: Estrategias de manejo para las especies marinas de ornato. Universidad Autónoma de Baja California Sur. Baja California Sur, Mexico. pp. 1829. [ Links ]
RochaOlivares A. 1991. Edad y crecimiento del huachinango del Pacífico Lutjanus peru (Nichols y Murphy 1922) (Perciformes: Lutjanidae) en la Bahía de La Paz y zonas adyacentes, BCS. B.Sc. dissertation, Universidad Autónoma de Baja California Sur, 121 pp. [ Links ]
SantamaríaMiranda A, ElorduyGaray JF, VillalejoFuerte M, RojasHerrera AA. 2003. Desarrollo gonadal y ciclo reproductivo de Lutjanus peru (Pisces: Lutjanidae) en Guerrero, México. Rev. Biol. Trop. 51: 489502. [ Links ]
Stauffer JR, Kocovsky PM. 2007. Exploring links between systematics and fisheries management. Trans. Am. Fish. Soc. 136: 11221125. [ Links ]
UrbánRamírez J, RamírezRodríguez M. 1997. La Bahía de La Paz, Investigación y Conservación. Universidad Autónoma de Baja California Sur, Centro Interdisciplinario de Ciencias Marinas, IPN, SCRIPPS Institution of Oceanography. 345 pp. [ Links ]
* Traducido al español por Christine Harris.
** Descargar versión bilingüe (InglésEspañol) en formato PDF .












