Servicios Personalizados
Revista
Articulo
Indicadores
-
Citado por SciELO -
Accesos
Links relacionados
-
Similares en
SciELO
Compartir
Perfiles educativos
versión impresa ISSN 0185-2698
Perfiles educativos vol.23 no.94 Ciudad de México 2001
Artículos
Una propuesta con base cibernética para mejorar continua y automáticamente la instrucción*
Martin Schaffernicht S.** y Patricio Madariaga A.***
** Profesor del Departamento de Informática de Gestión, Facultad de Ciencias Empresariales, Universidad de Talca; martin@pehuenche.utalca.cl.
*** Director de la Dirección de Tecnologías para el Aprendizaje, Universidad de Talca; pmadar@pehuenche.utalca.cl.
Resumen
En el presente trabajo se propone el desarrollo de un sistema de detección y corrección de problemas durante los procesos de enseñanza y aprendizaje, tomando como base los postulados básicos planteados por la cibernética, el aprendizaje-acción y la gestión de la calidad. Con tal soporte teórico el sistema que se propone distingue entre dos horizontes temporales en la dinámica instruccional: por un lado el seguimiento de las asignaturas se concentra en las mejoras entre dos versiones de una misma asignatura o curso; por el otro se dedica a optimizar los procesos en una asignatura en progreso. En este nivel, diferenciamos entre el alumno individual, el grupo de alumnos y el formador como posibles fuentes de desequilibrios. Dentro de un proceso general con tres ciclos, se proponen diversos indicadores para la detección temprana de problemas. Este proceso ha mostrado una capacidad de autoajuste y es objeto de investigaciones ulteriores. También es eficaz en la plasticidad que posee al adaptarse a cualquier tipo de desarrollo instruccional que contemple la participación activa de docentes y discentes.
Palabras clave: Enseñanza-aprendizaje /Mejora educativa / Sistemas educativos / Indicadores / Detección de problemas.
Abstract
In this article, the author puts forward the development of a system able to detect and get rid of the problems that arise during the teaching and learning process, whose conception is based on the basic postulates developped by the cybernetics, the action-learning and the quality management. Based on such a theoretical stand, the system that he proposes makes a clear distinction between two time horizons within the educational dynamics: on one hand, the monitoring of the subjects or courses focuses on the improvements between two versions of the same course; on the other, the purpose is to optimize the processes within a subject or course in process. At this level, it is very important to make a distinction between the individual student, the student group and the trainer as possible sources of unbalance. Within a general process which consists of three cycles, it is possible to propose a series of indicators which are very useful for the early detection of problems. This process has shown a great autoadaptation capacity and will be subject to further researches. Its plasticity is also efficient, since it can adapt to any type of educational development that takes into account the active participation of teachers and learners.
Keywords: Teaching-learning /Educational improvement / Teaching systems /Assessment /Problem detection.
INTRODUCCIÓN
Al enfrentar procesos de enseñanza y aprendizaje no estamos acostumbrados a incluir procesos sistemáticos de "monitoreo" y evaluación de los mismos. Tal situación es motivo de problemas en el resultado final de tales procesos, representados por la carencia de información "en línea" que permita enfrentar y resolver dichas vicisitudes al momento de producirse y no al final. La investigación sobre la gestión de la calidad muestra la importancia de contar, entonces, con diseños explícitos de información, de validación y de procesos de rediseño. En el dominio de la educación no es usual la implementación de sistemas de información con tales fines y la información para la toma de decisiones se nos presenta de manera poco estructurada. No hay reglas ni diseños generalmente aceptados y aplicados. No existe, tampoco, un cuerpo de conocimientos científicos validados. Esto vale, entre otros, para la medición y evaluación de los aprendizajes de alumnos y para los procesos de rediseño que involucran a todos los actores de una comunidad educativa.
Así, los nuevos enfoques o paradigmas enfrentan una natural resistencia al cambio. Los instrumentos de evaluación usuales han sido objeto de críticas durante largo tiempo, pero las prácticas tradicionales persisten. A modo de ejemplo, en el ámbito educativo se observa un fenómeno particularmente difuso en lo tocante a validar y mejorar los diseños, por cuanto la información requerida para ello no se ha explicitado con claridad para todos los actores del sistema. Como en este campo gran parte de la información relevante no se explicita a tiempo o no se encuentra disponible para rediseñar, proponemos la elaboración de:
• un proceso que permite y busca la comparación de expectativas con resultados, así como el rediseño global en función de información validada previamente;
• un sistema de evaluación que permite el cálculo con información cualitativa, previamente recopilada y validada por los actores del sistema;
• ciclos de control cibernético en dos niveles.
Nuestra propuesta está fundamentada empíricamente por medio de la capacitación brindada en el marco del Proyecto Enlaces, que impulsa el Ministerio de Educación de Chile y que representa el componente informático de la reforma educativa en marcha.
En el presente artículo presentamos el enfoque de gestión de este proceso de formación, de acuerdo con las investigaciones doctorales de uno de los autores (Schaffernicht, 1999 y 2001) y la responsabilidad de dirección del otro en el marco del proyecto mencionado.
Nos basamos en un conjunto de ideas fundamentales que reconocemos como supuestos en los cuales se sustenta nuestro enfoque. Primero, afirmamos que la formación es algo que se gestiona, en el sentido de la palabra inglesa "management". Para ello, nos apropiamos de la definición según la cual gestión es la transformación de información en acción y viceversa (Forrester, 1994). En este sentido, nuestro trabajo es un intento de gestionar la formación. Segundo, pensamos en la "tecnología" como el conjunto de artefactos que encarnan maneras de hacer o métodos. Es decir, un sistema de información con apoyo digital no es "tecnología" si no encarna procesos de trabajo que concretan un método explícito. Por lo tanto, nuestra presentación se limita a exponer el método mediante el cual efectuamos la gestión de la formación. Este método es nuestra manera de construir respuestas a la problemática de reconocer, en un sistema de formación, el momento en que un determinado componente debe ser mejorado.
Se presentan, en primera instancia, tres facetas del fondo teórico.
• La cibernética es la ciencia de la conducción de los sistemas; sugiere considerar que los sistemas se autorregulan mediante ciclos de control apoyándose en el proceso de retroalimentación. Este tipo de corrección de errores es importante en nuestro trabajo.
• Los enfoques de aprendizaje-acción hacen énfasis en la importancia de la acción para aprender; de hecho, sólo en la acción se revela la validez de las ideas, y sólo la acción alimenta la reflexión. Entendemos el mejoramiento de la calidad como un desafío de aprendizaje, y por lo tanto nos posicionamos en este campo.
• En la gestión de la calidad es de importancia central que se hagan diseños explícitos de los procesos; con esta base, se pueden identificar debilidades y diseñar mejoramientos.
Luego se detalla el enfoque que diseñamos. Dado que se basa en varios cómputos, explicamos la manera en que calculamos mediante valores cualitativos. Se definen los ciclos de gestión y los ámbitos de aplicación en el proceso instruccional. Finalmente, se presenta el diseño general del doble ciclo de corrección y su aplicación.
BASES CONCEPTUALES
Nuestro trabajo es transdisciplinario y ecléctico: hacemos uso de conceptos y métodos de diversos dominios científicos. Por lo tanto, el enfoque incluye aspectos de varias disciplinas. En esta sección, presentamos lo que usamos de cada una de ellas para articular nuestra propuesta.
Los tres aspectos teóricos contemplados a continuación representan una visión general acerca de conceptos globales considerados al momento de diseñar e implementar dichos diseños explícitos de información. Cuestiones trascendentes a tal fin serán, entonces, la cibernética en la gestión, por cuanto representa la forma en que los sistemas avanzan mediante procesos de retroalimentación. Aunado a lo anterior, conectamos los procesos de aprendizaje en torno a la existencia de ciclos con el fin de optimizar los procesos de gestión con base cibernética.
El proceso cibernético en la gestión del conocimiento
El neologismo "cibernética" fue propuesto por Wiener (1958) para separar esta nueva disciplina de las anteriores enmarcadas en el paradigma reduccionista. Se trata de gobernar sistemas porque éstos son unidades autónomas: bien que interactúen con su medio, realizan sus cambios y adaptaciones internas solamente en relación con elementos internos. Por lo tanto, tales sistemas no se pueden predeterminar externamente; en cambio, sí se puede influir en su conducta.
Se propone que un sistema dispone de procesos cíclicos capaces de detectar ciertos desequilibrios internos y tomar acciones correctivas con el propósito de restablecer el equilibrio. Se les llama "control", y hacen uso de retroalimentación. Para cada aspecto distinguido por el sistema, se compara la situación actual con la situación meta; si hay una diferencia, esto significa que el proceso interno que va de un estímulo a una acción tiene que ser corregido. La corrección se efectúa en función de la diferencia observada.
El cuerpo humano permite ilustrar lo anterior: si un deportista corre, sus músculos producen calor. Como consecuencia, la temperatura en su cuerpo puede elevarse mas allá de lo "normal". Si esto sucede, se inicia un proceso de corrección automática llamado "transpiración", que resulta en una disminución de la temperatura corporal hasta alcanzar nuevamente el equilibrio de aproximadamente 37o C.
La cibernética apuesta a que estos principios, que han resultado tan bien para el desarrollo de la vida en nuestro planeta, también deben ser válidos para diseñar sistemas en otros dominios, específicamente la gestión. Definimos "gestión" como la transformación de información en acción (Forrester, 1994) y viceversa. Así se puede efectuar la gestión del conocimiento, por ejemplo, con base a tales principios.
Beer (1981) propone la noción del "sistema viable" en el cual se diseña la organización como una ecología de subsistemas en cinco niveles:
• Sistema 1: Las unidades donde se produce la interacción con el medio (por ejemplo los clientes, los alumnos, etc.) "hacen" la organización. Las personas participantes en ellas saben mucho más sobre su mundo de lo que cualquier gerente o director podría procesar, siendo, por lo demás, innecesario que éstos últimos se informen de todo.
• Sistema 2: Entre los participantes del sistema 1 se pueden producir problemas de coordinación que conducen a oscilaciones. Por ejemplo, dos profesores pueden competir por la atención de sus alumnos en diversas asignaturas, o pueden enseñar conceptos diferentes en una misma asignatura. Un sistema 2 evita tales efectos no deseados. Un horario y un plan de contenidos son ejemplos de esto.
• Sistema 3: En él se realiza la gestión operacional de la organización como un todo.
• Sistema 4: Mantiene la conexión entre la organización como un todo y el entorno, así como también diseña el camino hacia el futuro.
• Sistema 5: Vigila que no haya desequilibrios entre los sistemas 3 y 4.
Rescatamos de la cibernética las nociones de autonomía y de control (en sentido de "corrección del error"). Respetamos las diferencias entre los diversos niveles.
El Aprendizaje-acción en doble ciclo
Definimos "aprendizaje" como un cambio de comportamiento (acción) que redunda en mejores resultados, según los criterios del sistema que habla del aprendizaje (véase Maturana, 1997). Esta definición es compatible con otras dos, que aparentemente se contradicen (Weick, 1991):
• el aprendizaje ocurre cuando frente a un mismo estímulo se observa una nueva conducta;
• el aprendizaje es una conducta exitosa frente a un estímulo nuevo.
En estas dos definiciones se habla de conductas observables. Sin embargo, el comportamiento puede ser interno (no observable desde afuera): una idea, una comprensión o una mayor "certeza" respecto a una idea. Nuestra conceptuación abarca todos los casos, de manera que el motor del aprendizaje es reconocer una diferencia entre lo que se quiere obtener y lo que se tiene, siendo en este sentido donde reconocemos la idea cibernética.
Así planteada, la necesidad de aprendizaje es considerada desde diferentes ópticas, a saber: Bateson (199o) postula diversos niveles (o: informarse; 1: cambiar la conducta; 2: aprender a cambiar la conducta).
Bohm (198o) sostiene que cuando un curso de acción nos da resultados insatisfactorios, entonces es nuestra comprensión la que falla. Si intentamos solucionar el problema sin una corrección previa de nuestras ideas, sólo vamos a reproducir el problema en otra forma.
Argyris (1993) propone un ciclo simple de acción-control como la adaptación de los valores internos dentro de un marco estable y un doble ciclo como la revisión de este mismo marco, lo que satisfaría el nivel 2 de Bateson y la idea de Bohm. En Kolb (1984) se muestran más enfoques cíclicos, pero sin doble ciclo; Kolb mismo no sigue un enfoque con ciclos ordenados.
Nosotros nos apropiamos de la idea de considerar dos niveles de aprendizaje. Además, seguimos a Argyris cuando dice que las representaciones que los actores hacen de sus actividades no son por definición adecuadas: hay que probarlas en la práctica para ver si son válidas.
Para aprender de manera dirigida (enfocada), se requiere explicitar las reglas y respetar tales diseños; así, el conocimiento expresado se confronta empíricamente y se obtiene claridad acerca de su validez.
La gestión de la calidad en los procesos de enseñanza y de aprendizaje
Con el término "calidad" nos referimos al grado en el que las cualidades percibidas de algo producto o servicio satisfacen las expectativas de los usuarios o destinatarios. Es obvio que pueden darse diferencias entre estas cualidades esperadas y las percibidas.
Para aprender, es decir, para reducir las discrepancias entre expectativa y cualidad percibida, la organización busca diferencias entre expectativas y realizaciones, que no son sino síntomas de errores que corregir. A tal efecto, se establece una imagen del "sistema", en la cual se presentan la organización y los demás actores (como los usuarios). Para poder mejorar la calidad, se incluyen los usuarios dentro del sistema considerado (que por ende es más grande que la organización formal), y se aceptan sus "diferencias" como propias del sistema. La organización aprende (se cambia) de acuerdo con rediseños del "sistema", con el fin de disminuir tales diferencias.
Según esta definición del sistema, está claro que la necesidad de calidad es una búsqueda de mejoramiento, que presupone la disposición de cambiar para aprender en el proceso.
Desde esta premisa consideramos como "variable controlada" por el propio sistema el fenómeno conocido como "propiedad de Heisenberg" (Martinez, 1998) el cual consiste, en palabras de Oppenheimer (1954), en que "toda intervención para tomar una medida o para estudiar lo que sucede en el mundo atómico, crea, no obstante todo el orden de este mundo, una situación nueva, única, no plenamente previsible". Entendemos que mientras existimos, ninguno de nuestros actos resulta exactamente igual en sus consecuencias que los otros actos posibles; es así que no podemos escapar a la necesidad de elegir, y nos encontramos proyectados-en-el-mundo (Heidegger, 1993).
De este modo resulta plausible usar técnicas de aprendizaje organizacional para mejorar la calidad en la gestión.
UN NUEVO ENFOQUE PARA MEJORAR EL PROCESO EN FORMA AUTÓNOMA
Sobre la transformación de información cualitativa en cuantitativa
En todos los sistemas de formación donde las calificaciones del tipo "muy bien", "bien", "satisfactorio" o similares se han transformado en números ordinales (1, 2, 3 ...), se empieza a calcular como si fueran números cardinales. Sin embargo, las distancias entre una nota 5 y un 6, por ejemplo, no son necesariamente las mismas que entre un 2 y un 3. ¿Qué significado tiene, entonces, el que un alumno obtenga un 5.5 y otro un 5.6?
En sentido inverso, existe una tendencia a evaluar en términos cualitativos, queriendo expresar con esto el que no se efectúan cálculos para reordenar nominalmente a los alumnos. Si bien esto evita hacer cálculos sin sentido, abre las puertas a evaluaciones inexactas.
En una lógica que busca la evaluación para permitir la corrección (el mejoramiento por eliminación de lo que causa el error), se requiere información exacta, sobre todo si pensamos en una fórmula de evaluación-corrección que no deforma la información, pero que sí permite varios grados de generalidad/detalle. Las siguientes consideraciones aclaran el procedimiento:
• Para cada contenido, se puede decir en un determinado momento algo acerca del grado de dominio que muestra cada alumno; esto equivale a una calificación en el ámbito del contenido (nivel de granularidad micro).
• En cada contenido, se puede especificar un umbral de dominio que cada alumno debe mostrar para poder decir "suficiente" (umbral mínimo de satisfacción).
• Cada contenido forma parte de una agrupación más grande (tema, unidad o subsector). Cada agrupación cuenta entonces con un determinado número de miembros, que presentan en cada momento un perfil de logro para cada persona.
• Para cada alumno se puede determinar, en cada momento, el porcentaje de contenidos en los cuales ya obtuvo o superó el umbral de satisfacción, por agrupación, comprendiendo así su situación global.
• La comparación de dos imágenes consecutivas revela el aprendizaje como el cambio del dominio de contenidos.
Este método no protege contra la compensación entre contenidos: si para un tema hay dos contenidos, entonces un perfil A (50% y 50%) y un perfil B (75% y 25%) dan la misma imagen en el ámbito del tema. Sin embargo, permite determinar indicadores que sirven para la comparación en el tiempo y entre (grupos de) alumnos.
Dos dominios de gestión con temporalidad diferente
Cuando se trata de enseñar algo a un conjunto de alumnos y éstos se organizan por generaciones, entonces uno reintenta enseñar de manera repetitiva: así cada curso se puede entender como un experimento. Distinguimos en esto dos niveles de operación:
• entre dos iteraciones de un curso, se presenta la oportunidad de aprender de lo sucedido y mejorar el curso;
• durante el funcionamiento de un curso, hay que aprovecharse de toda información emergente para evitar o resolver problemas.
En el presente artículo nos concentramos en el segundo de estos ciclos.
El dominio de largo plazo: diseño de cursos
En un curso se propone un conjunto de actividades, implementadas en forma de un conjunto de materiales, para permitir a los alumnos aprender los contenidos. Hay aquí ciertas libertades de elección y entonces espacios de diseño:
• Son obligatorios los temas o unidades que son conjuntos de contenidos mínimos: por lo tanto se pueden cambiar los contenidos, así como su orden;
• son obligatorios los objetivos fundamentales (en el caso de la educación básica o media);
• no son obligatorias las actividades;
• no son obligatorios los materiales.
En consecuencia, se puede evaluar al final de una iteración del curso el éxito que tuvieron las actividades, materiales y contenidos. Si se han especificado objetivos (umbrales de satisfacción), entonces se pueden comparar con el logro de aprendizaje de la población de alumnos, y se puede proceder a los cambios que aparecen como oportunos. Si una actividad se diseñó para que todos los alumnos aprendan 100% de los contenidos referidos, pero el promedio de logro del alumnado es inferior a 100%, entonces sabemos que esta actividad debe ser mejorada.
El dominio de corto plazo: operación de cursos a tres niveles
Durante una iteración del curso, no se pueden variar las actividades, materiales y contenidos: se destruiría la posibilidad de manejar el proceso y se perdería la oportunidad de mejorar el curso en el ciclo de diseño.
Sin embargo, se pueden usar las informaciones sobre los avances de los alumnos para inferir (posibles) problemas e intervenir en tres ámbitos:
• el docente responsable para el curso y el éxito de aprendizaje de sus grupos de alumnos,
• el grupo de alumnos y
• cada alumno individualmente.
Cada uno de estos ámbitos de control se encuentra en un nivel de granularidad: el docente tiene grupos, y cada grupo tiene alumnos. Por lo tanto, la unidad más pequeña de aseguramiento será el alumno y la más grande, el docente.
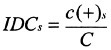
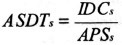
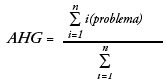
La base de todos estos cálculos son dos indicadores. Sea un grupo G de A alumnos; tenemos C contenidos que pueden ser dominados de manera satisfactoria (+) o no(-), y S sesiones de trabajo; podemos definir:
• Indicador de dominio de contenidos en el momento s:
• indicador de avance (del grupo) en el tiempo en el momento s:
En esta base, se preparan tres ciclos de tipo double-loop que expresan de manera más completa la incorporación de los conceptos cibernéticos, aprendizaje de doble ciclo y gestión de calidad, que a continuación se presentan.
Los ciclos de mejoramiento
El doble ciclo general de intervención y el auto-ajuste
El siguiente diagrama presenta las etapas del ciclo en su forma genérica (es el mismo diseño para los tres ámbitos que distinguimos): (diagrama).

A partir de algunos trabajos de preparación (los procesos 1, 2 y 3) que establecen el marco, el ciclo 1 está señalado por las flechas de punta abierta. En este ciclo, se discrimina entre los individuos (alumnos, grupos, formadores) que tienen problemas (cuyo perfil no satisface los umbrales) y quienes no los tienen, y se asigna una táctica de intervención a cada problema, según las reglas de intervención definidas.
Según las experiencias de intervención y su cumplimiento de las expectativas, el segundo ciclo (flechas con punta sólida) procede a adaptar los umbrales de clasificación. Cada umbral es de uno de dos tipos: mínimo o máximo. En el primer caso, el indicador de comparación debe ser igual o más alto que el umbral, y en el segundo caso, igual o más bajo. Junto con el umbral se menciona el valor de ajuste. Si durante dos iteraciones el problema particular al cual apunta el umbral no se resuelve, entonces consideramos que el umbral no era lo suficientemente exigente: si era mínimo, se eleva; si era máximo, se reduce, siempre según el paso de ajuste fijado. Si durante dos iteraciones, no hubo problema, entonces el umbral se modifica análogamente.
Finalmente, hay un tercer ciclo (flechas con líneas punteadas), que consiste en redefinir las formas de intervenir. Este ciclo se activa cuando los otros dos ciclos en su conjunto no logran obtener los resultados esperados. Su naturaleza hace que no lo podamos automatizar; por lo tanto, los primeros dos ciclos se imple-mentaron en computadoras, y el tercer ciclo queda como tarea humana.
En términos generales, la expectativa es que eventuales problemas se resuelvan en el periodo que abarca entre dos iteraciones del respectivo ciclo.
Revisemos ahora los aspectos particulares de cada uno de los niveles.
Los ciclos de operación de cursos a tres niveles
El ciclo para los alumnos. Cada alumno debería lograr o superar el umbral de satisfacción de cada contenido, en el tiempo disponible. En general, también tendremos la expectativa de que entre dos momentos, el nivel de logro de cada alumno aumente. También sería razonable creer que no habrá demasiada diferencia entre los alumnos de un mismo grupo. Finalmente, creemos que eventuales problemas que aparezcan en uno u otro punto, se resuelven rápidamente.
Animados por estas ideas, podemos determinar los aspectos que nos interesan:
• aspecto de progreso entre sesiones:
• aspecto de sincronización dominio-tiempo:
• aspecto de cohesión con el grupo:
Para cada uno de estos aspectos, se define un umbral de satisfacción: si el aspecto lo satisface, estamos bien; si no es así, tenemos un problema en dicha área. Podemos definir:
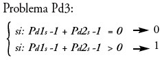
Adicionalmente distinguimos el aspecto de superación de problemas, que es la base para definir el:
Diremos que un alumno tiene un problema cuando Pa1 + Pa2 + Pa3 + Pa4 > 0.
El ciclo para los grupos de alumnos. Cada grupo de alumnos debería avanzar en los contenidos de manera medianamente homogénea: si hay demasiados individuos con problemas, diremos que el grupo tiene un problema. También comparamos cada grupo con los demás grupos del mismo docente; si uno se rezaga demasiado, tendrá un problema. Como en el caso de los alumnos, queremos que eventuales problemas no persistan.
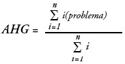
Los indicadores que construimos para este propósito son:
• aspecto de homogeneidad del grupo:
donde n es el número de alumnos;
• aspecto de cohesión con el metagrupo:
donde m es el número de grupos.
Para cada uno de estos aspectos, se define un umbral de satisfacción: si el aspecto lo satisface, estamos bien, si no, tenemos un problema en dicha área. Podemos definir:
Adicionalmente distinguimos el aspecto de superación de problemas, que es la base para definir el:
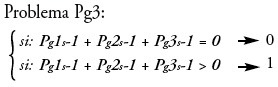
Diremos que un grupo tiene un problema cuando Pg1 + Pg2 + Pg3 > 0.
El ciclo para los docentes. De manera muy similar a los grupos de alumnos, podemos distinguir varios aspectos en el ámbito de los docentes. Podemos fijarnos en la homogeneidad entre sus grupos: ¿Cuántos de sus grupos tienen problemas, en relación con el número total? ¿cómo se evalúa el promedio (del indicador de dominio de contenidos) de todos los individuos capacitados por un capacitador o facilitador, en relación con el promedio de todos los individuos capacitados en general? Si éste (promedio) es demasiado bajo en relación con el universo total de individuos capacitados, diremos que este capacitador o facilitador presenta un problema.
Los indicadores que construimos para este propósito son:
• aspecto de homogeneidad del meta-grupo:
donde n es el número de grupos;
• aspecto de cohesión del metagrupo con el universo:
donde m es el número de todos los metagrupos.
Para cada uno de estos aspectos se define un umbral de satisfacción: si el aspecto lo satisface, estamos bien, si no tenemos un problema en este aspecto. Podemos definir:
Adicionalmente distinguimos el aspecto de superación de problemas, que es la base para definir el:
Diremos que un grupo tiene un problema cuando Pd1 + Pd2 + Pd3 > 0.
RESULTADOS PRELIMINARES
En el marco de la Unidad Ejecutora de Enlaces, Universidad de Talca (Chile), hemos adoptado el sistema descrito. El proceso se ha encarnado en un sistema de información. Sólo de esta forma se puede procesar la cantidad de observaciones de base: para una población de 2 000 alumnos que tienen que aprender unas cien competencias, hablamos de 200 000 registros de base. Una vez superados los desafíos de la implementación informática, opera actualmente un sistema de páginas de internet para acceder a una base de datos que organiza toda la información.
La configuración de los umbrales se ha ajustado durante la primera fase de uso; a raíz de algunas iteraciones de propuestas de clasificación automática evaluada por la intuición de los coordinadores, se han logrado umbrales convenientes.
Al entrar en funcionamiento el sistema de información, hemos observado cambios en dos dominios: los papeles que cumplen los diversos actores en la organización del Proyecto Enlaces y la configuración del proceso de detección de problemas.
Nos dimos cuenta de que al usar el proceso diseñado surge una forma de organización comparable con el "modelo del sistema viable" (Beer, 1981). Los indicadores son una base relativamente objetiva para la discusión entre los actores: alumnos con docentes y docentes con el coordinador, y hemos observado que estas comunicaciones se hacen más productivas.
También, la tentación de interpretar el sistema como Big Brother es grande; sin embargo, los papeles en su definición actual y el uso de los indicadores con diferentes horizontes de tiempo guardan toda la autonomía posible en el ámbito de los alumnos.
La introducción de nuestro sistema ha tenido efectos sobre el mismo proceso: fue necesario cambiar los indicadores debido al descubrimiento de problemas antes no considerados. Por ejemplo, se ha incorporado un indicador de puntualidad de las observaciones para ayudar a los docentes en la tarea de registrar pormeno-rizadamente sus observaciones. Aceptamos como puntual el conjunto de observaciones sobre un alumno que presenta por lo menos una actualización a lo largo del mes pasado. Esto supone un porcentaje de registros actualizados pra, que puede variar entre 0 y 1:

También descubrimos la necesidad de incorporar la nota hasta ahora para los alumnos que tenían problemas para conectar mentalmente su perfil y sus indicadores con dicha calificación. La nota se determina directamente por la relación entre los puntos que el alumno ha obtenido hasta ahora y los puntos que puede haber obtenido al terminar el curso.
Cabe destacar que los indicadores no ayudan a diagnosticar la causas de aparentes problemas, solamente apuntan a que algo no funciona: son como un fusible. Luego, el enfoque es abierto, es decir en cualquier momento podemos entender que hace falta otro indicador, y podemos realizar pasos de aprendizaje de orden superior, etapas en un camino de mejoramiento continuo que nos permiten perfeccionar la manera en la cual detectamos y corregimos problemas.
Actualmente, conocemos y gestionamos cada caso individual, mejorando así la calidad de nuestro servicio para los capacitados que realmente desean aprender. Cada agente participante del proceso (capacitados, capacitadores, coordinadores, supervisores, etc.) tiene la posibilidad de conocer con un alto grado de especificidad las fortalezas o debilidades respecto a las competencias adquiridas en el transcurso de la instrucción. Así, los aproximadamente mil alumnos correspondientes al año 2001 tienen acceso a la información referida a la progresión de sus competencias en detalle. El cálculo automático de la calificación que provee el sistema no solamente da cuenta de un aspecto cuantitativo sino también cualitativo capaz de ser comprobado por cualquier interesado. Sin embargo, no podemos afirmar que la diferencia entre las calificaciones antes de usar el sistema y las de ahora da cuenta de la diferencia entre los aprendizajes logrados antes y ahora: a consecuencia de la exigencia superior actual, no se pueden derivar conclusiones de rendimiento, empero, podemos afirmar que se provee de un ambiente estimulante para la autonomía y la autorresponsabilidad a nuestros alumnos y docentes, y que nuestra certificación se apoya en un proceso objetivo, transparente e intersubjetivamente estable. Nuestro proceso nos conduce a reconocer y enfrentar los problemas tempranamente, lo que es prerrequisito para el mejoramiento.
En el sentido del episodio presentado, tenemos un sistema imperfecto pero capaz de autoperfeccionarse, capaz de aprender, al servicio de los que quieren aprender. Nos sentimos plenamente identificados por la raíz indoeuropea de la palabra aprender, que significa seguir una senda.
CONCLUSIONES
Apoyados en conceptos teóricos que ususalmente no son incorporados al ámbito educativo propusimos que un proceso de detección de posibles problemas con resolución proactiva tiende a mejorar la formación. Hemos mostrado el diseño general de este proceso; se trata de un sistema de reglas organizado en ciclos y en varios ámbitos, que no sólo clasifica a los individuos, sino que también explica como se configuran estas reglas desde la propia experiencia. Este sistema se puede entender como un dispositivo cibernético o como un dispositivo de aprendizaje-acción.
A pesar de la corta experiencia empírica, sostenemos que este diseño es útil: al auto-obligarnos a usar lo que diseñamos, hemos podido realizar mejoras en el proceso mismo y además la reorientación de papeles se muestra productiva. Creemos que esta propuesta es utilizable en otros contextos de formación. Evidentemente, nuestra afirmación de generalización quedará sujeta a futuras investigaciones en forma de estudios de caso.
A pesar de estas limitaciones, es importante señalar la similitud de nuesto sistema en el marco del proyecto Enlaces con el "modelo del sistema viable" de Stafford Beer (1981) y en particular su implementación en Chile en los años setenta (Beer, 1973). La distinción entre problemas de primer y segundo órden -tener un problema o tener el problema de no lograr solucionar un problema-hace posible dejar espacios de autonomía local que no ponen en peligro la integridad ni la identidad del sistema global. La definición de responsabilidades en diferentes niveles de globalidad/profundidad permite mantener contacto con el sistema-objetivo sin simplificación artificial, y casi en tiempo real.
Aun si nuestro ámbito de exploración ha sido un contexto de capacitación, sostenemos que la generalidad de la "máquina cibernética no-trivial" (von Fórster, 1989, 1992) que hemos elaborado y la similitud de contexto entre la capacitación y la educación (en todos sus niveles), aseguran la aplicabilidad de nuestro diseño de proceso a otras situaciones de instrucción.
Referencias
ARGYRIS, Chris (1993), Knowledge for action: a guide to overcoming barriers to organizational change, San Francisco, Jossey-Bass. [ Links ]
BATESON, Gregory (1990), Vers une écologie de l'esprit, París, Editions du Seul. [ Links ]
BEER, Stafford (1981), Brain of the firm, Chichester, John Wiley. [ Links ]
BOHM, David (1980), Wholeness and the implicate order, Londres, Routledge. [ Links ]
MORECROFT, John D. W. y John Sterman, John, eds., (1994), Modeling for learning organizations, Portland, Oregon, Productivity Press. [ Links ]
HEIDEGGER , Martin (1993), Sein und Zeit, 17a edición, Tubinga, Niemeyer. [ Links ]
KOLB, David (1984), Experiential learning, Nueva Jersey, Prentice Hall. [ Links ]
OPPENHEIMER, Robert (1954) Science and the common understanding, Londres, Simon and Schuster. [ Links ]
MARTINEZ, M. (1998), La investigación cualitativa etnológica en educación, México, Trillas. [ Links ]
MATURANA, Humberto (1997), La objetividad: un argumento para obligar, Dolmen Editores. [ Links ]
SCHAFFERNICHT, Martin (1999), "Managing improvement amongst autonomous actors with OMCA: the case of the Chilean Educational Reform", acta de la Conférence Internationale de Dynamique des Systèmes, Wellington. [ Links ]
---------- 2001, "A method for managing organizational learning", acta de la 5 th Multiconference on Systemics, Cybernetics and Informatics, Orlando. [ Links ]
VON FÖRSTER, Heinz (1989), "Circular causality: the beginnings of an epistemology of responsabilitty" en The collected works of Warren S. McCulloch, Salinas, California, Intersystems Publications. [ Links ]
---------- (1992), "Lethology, a theory of learning and knowing, vis à vis undeterminables, undecidables, unkowables", en Full spectrum learning, Kristina Hooper Woosley (Hg.), Apple Multimedia Lab, Cuppertino. [ Links ]
WEICK, K, 1991, "The nontraditional quality of organizational learing", en Organization Science, vol. 2, núm. 1, febrero, pp. 116 - 139. [ Links ]
WIENER, Norbert (1958), Cibernética y sociedad, Buenos Aires, Sudamericana. [ Links ]
* Una versión preliminar de este trabajo se publicó en la revista electrónica Investigación en Informática Educativa, editada por Jaime Sánchez Ll.





























