Introducción
La democracia suele ser caracterizada como un gobierno representativo donde quienes gobiernan son elegidos por la población gobernada. Los principios de igualdad (una persona, un voto) y de representación (gobernantes elegidos por sufragio) son los aspectos que permiten a Palmer consolidar la sinonimia “democracia” con el “gobierno representativo” propugnado por las revoluciones estadounidense, de 1776, y francesa, de 1789 (Palmer, 1959-1964). Manin expone, precisamente, las diversas interpretaciones de tales principios a través de la historia, por las cuales los gobiernos representativos modernos se denominan “democracias” (Manin, 1997). Tilly presenta un modelo que pretende explicar las condiciones que posibilitan la democratización y la no-democratización de una sociedad, destacando que estas dimensiones deben ser contempladas junto con las exigencias de bienestar y bien público (Tilly, 2007). Por su parte, John Markoff nos habla de la relación entre las élites y los movimientos sociales que transformó los gobiernos representativos en las democracias modernas mediante el contrapunteo entre la exigencia y la concesión de medidas de inclusión (Markoff, 1996). Las democracias modernas enfrentan el escepticismo hacia la suficiencia del aspecto procedimental, tan relevante para la teoría de la transición democrática (Carothers, 2002; O’Donnell, Schmitter y Whitehead, 1986). Meaney y Mounk hacen una recopilación del debate contemporáneo sobre la crítica a las democracias actuales a raíz del incumplimiento de las expectativas comprometidas durante el siglo XX (Meaney y Mounk, 2014), en concordancia con el postulado de Lincoln: gobierno del pueblo, por el pueblo y para el pueblo (Lincoln, 1863: 209-210).
Los países aliados establecieron que la Segunda Guerra Mundial era la lucha de la democracia contra el fascismo (Benz y Graml, 1981; Zubok, 2007). Pero, ¿qué tipo de democracia podría ser consensuada entre regímenes tan distintos entre sí? La Organización de las Naciones Unidas (ONU), a través de la Organización de las Naciones Unidas para la Educación, la Ciencia y la Cultura (UNESCO), pretendió construir un referente común (McKeon, 1950), tal como se había logrado establecer una sola concepción de los derechos humanos (Glendon, 2002; Kennedy, 2006; UNESCO, 1948). Sin embargo, el equilibrio de fuerzas a nivel mundial derivó en la contraposición de las democracias liberales (promulgadas por Estados Unidos, Francia y Gran Bretaña) y las democracias populares (auspiciada por la Unión Soviética). La desintegración del bloque soviético, al final del siglo XX, revivió la aspiración de construir un concepto universal de “democracia”, en lo cual el aspecto procedimental resultó sustancial, tal como establecía ya la Declaración Universal de Derechos Humanos: participación de las personas en el gobierno de su país, directamente o por representantes; acceso a las funciones públicas de su país en condiciones de igualdad, y expresión de la voluntad del pueblo mediante elecciones auténticas, periódicas, con sufragio universal y equitativo, por voto libre y secreto (ONU, 1948: art. 21).
El nuevo orden mundial califica a los estados como democracias de acuerdo con su sistema electoral, esto es, el diseño institucional mediante el cual organizan elecciones, validan la votación y realizan la agregación de sufragios para traducirla en asignación de cargos de gobierno entre contendientes (Rae, D.W., 1967). El gobierno mexicano respondió tanto al contexto internacional como al interno con una profunda transformación de su sistema electoral, que llevó a la creación del Instituto Federal Electoral, en 1991.
Si abordamos la democracia en su connotación de gobierno representativo (gobernantes elegidos por gobernados mediante el sufragio universal), la participación electoral adquiere una principal dimensión: eligen quienes votan en elecciones. Este acento ha privilegiado el análisis de las preferencias de la población registrada en edad de votar. De esta forma, se considera que ha participado quien emite una preferencia por alguna opción válida, de lo cual se deriva que quien no manifiesta una preferencia determinada (anula su voto) o no acude a votar (se abstiene) conforma una población que no participa.
Las nociones de voto nulo y abstención se contraponen a la manifestación concreta por una preferencia reconocida institucionalmente como susceptible de ser depositaria del cargo. Así, configuran dos subconjuntos: votación válida emitida (voto por una candidatura promovida por algún partido político o, como sucedió en el año 2015, de manera independiente) y otro que comprende aquella población que no se pronuncia por un contendiente con legitimidad para detentar algún cargo, sea porque no votó (abstención) o porque sufragó por una opción no reconocida (candidaturas no registradas o votos nulos, los cuales se contabilizan así porque se marcó más de una preferencia o ninguna). El comportamiento de este último subconjunto es de particular importancia para este trabajo, pues representa una forma de participación electoral en la que se emite una preferencia que puede ser legítima o no. Si bien su revisión permitiría hacer un análisis sobre las preferencias políticas, esto es, optar por un determinado programa de acción pública, nuestra revisión intenta responder a una pregunta más simple: ¿la participación electoral sin preferencia alguna puede ser útil para el análisis de la participación política del electorado? Como podemos ver, se trata de dos dimensiones: por una parte, el análisis de la abstención y el voto nulo en la participación electoral en sí misma (en qué medida el procedimiento posibilita que el elector elija) y, por la otra, la dimensión de estos indicadores en relación con la participación política (en qué medida confrontan la legitimidad de las opciones válidas), pues se ha señalado que la abstención y el voto nulo también son formas efectivas para manifestar el asenso o disenso con la democracia procedimental.
Este texto explora el comportamiento de la abstención y el voto nulo en México a nivel distrital, en los últimos veinticinco años, precisamente el periodo de vigencia del actual sistema electoral (1991-2015), producto de lo que se ha dado en llamar la “transición mexicana” (Cansino, 2000). Si bien se ha señalado la importancia de las reformas del año 1977, también es cierto que en este periodo prevalece un mismo marco normativo substancial que ha regido la organización de la elección de los poderes federales en México por un organismo estatal con atribuciones plenas para tal fin; por otra parte, no existe información homologable emitida por la autoridad electoral antes del año 1990.
La abstención comprende la diferencia del listado nominal menos la votación total emitida; ésta, a su vez, es la adición de la votación para partidos políticos, candidaturas no registradas, candidaturas independientes y votos nulos. Hacemos diferencia entre la votación válida emitida (para partidos políticos y candidaturas independientes) y no válida (candidaturas no registradas y votos nulos). El caso de las candidaturas independientes, incorporadas recientemente a nuestro sistema electoral, requiere de un análisis específico, pues refieren a la legitimación de una opción que antes era excluida, ya que sólo era posible elegir a personas postuladas por un partido político. De ahí que su incorporación ahora sea vista como una muestra del descontento hacia el sistema de partidos, situación que aún no se admite para el voto nulo o la abstención. En este texto, dado que nos interesamos por el universo de personas que no optan por las opciones válidas para trasvasar el sufragio en cargos públicos, está fuera de su alcance; además, los datos corresponden a una sola elección, una limitación para el análisis transversal que aquí realizamos.
La información corresponde a los resultados para diputaciones de mayoría relativa en los 300 distritos electorales para las nueve elecciones realizadas en el periodo de 1991 a 2015 (CFE, 1988; IFE, 2013; INE, 2015a) Los resultados son comparables de acuerdo con la distritación vigente. Siete entidades federativas no han cambiado su diseño distrital desde 1991; veinte han sufrido dos cambios y en otras cinco han ocurrido tres adecuaciones (Cuadro 1).
Cuadro 1 Número de distritos por entidad federativa según año de proceso electoral federal

Fuente: IFE (2013).
Son cuatro los apartados de esta exposición. Los tres primeros pretenden observar si existe relación entre la abstención y la votación no válida con respecto a la votación válida, la alternancia y el voto duro. Podrá observarse que, a diferencia de lo que suele señalarse, los partidos que obtienen mayor votación no son los más beneficiados por la deserción o la anulación del sufragio. El abstencionismo y el voto nulo, si bien no pueden ser considerados una protesta consistente, sí son una forma de castigo; deben, por tanto, ser tomados en cuenta en el análisis de la participación política, pues develan una potencial utilidad para configurar un sistema electoral atento no sólo al aspecto constitucional y procedimental (gobierno del pueblo), sino además a sus aristas sustantivas (por el pueblo) y de intencionalidad (para el pueblo) (Lincoln, 1863; Tilly, 2007). De ahí que el último apartado explore algunas consideraciones sobre el sistema electoral mexicano, el cual propicia que la mayor participación del electorado constriña la representación (al reducir el pluralismo) y limite la participación ciudadana en la configuración de los órganos de gobierno. Este texto recupera las consideraciones y aportaciones realizadas ya en otros trabajos (Morales et al., 2011; Vázquez, 2012) y pretende contribuir a la actualización de las consideraciones hechas.
La abstención y el voto nulo no benefician al PRI
Si el abstencionismo y el voto nulo operan a favor del Partido Revolucionario Institucional (PRI), entonces su votación debiera aumentar en aquellos distritos donde se incrementan esos indicadores. Para verificar tal aseveración sumamos los votos nulos y la abstención en los 2 695 distritos, en las nueve elecciones (300 para cada elección, cinco de los cuales fueron anulados).
La afirmación no corrobora la correlación rho de Spearman1 entre el resultado obtenido y la votación de los tres partidos mayoritarios, a saber, PRI, Partido Acción Nacional (PAN) y Partido de la Revolución Democrática (PRD) (Cuadro 2). Las correlaciones no arrojan cifras determinantes (la mayor alcanza 0.313). Sin embargo, especialmente respecto de la abstención y el voto nulo, se observa una correlación significativa inversa (p < 0.5) únicamente para el PRI: su votación disminuye conforme aumentan la abstención y el voto nulo. En cambio, no sucede lo mismo con el PAN (correlación positiva) ni con el PRD (casi nula correlación).
Cuadro 2 Correlación entre la votación de los tres partidos mayoritarios respecto a la la abstención y votos nulos, 1991-2015

* La correlación es significativa en el nivel 0.05 (2 colas).
** La correlación es significativa en el nivel 0.01 (2 colas).
Fuente: elaboración propia con información de bases de datos en CFE (1988), IFE (2013) e INE (2015a).
El comportamiento es singular cuando los partidos mayoritarios participan en coalición (Cuadro 3). Las coaliciones del PRI, PAN y PRD se ven afectadas, aunque el caso del PAN no es significativo. Al parecer, el abstencionismo y el voto nulo se incrementan cuando los partidos se coaligan.
Cuadro 3 Correlación entre la votación de los tres partidos mayoritarios, por sí mismos o en coalición, respecto de la abstención y votos nulos, 1991-2015

* La correlación es significativa en el nivel 0.05 (2 colas).
** La correlación es significativa en el nivel 0.01 (2 colas).
Fuente: elaboración propia con información de bases de datos en CFE (1988), IFE (2013) e INE (2015a).
En las coaliciones del PRD, las correlaciones cambian de signo o bien no son significativas. En la coalición del PRI, se mantiene el signo negativo y, además, aumenta la correlación; en este caso, el incremento del abstencionismo y el voto nulo reducen su votación: a mayor votación por la coalición PRI-PVEM, menor abstencionismo y votos nulos.
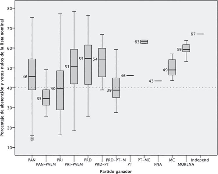
La mitad de los distritos ganados por el PRI en las últimas nueve elecciones federales presentan abstención y voto nulo en porcentajes menores a 40 puntos (Gráfico 1); en cambio, la mitad de los distritos en los que triunfaron el PAN y, especialmente, el PRD, ganan con porcentajes que rebasan 46 y 55 puntos, respectivamente. El partido que ha obtenido mayor beneficio de esa circunstancia es el Movimiento de Regeneración Nacional (Morena) (59% promedio). Las coaliciones, en cambio, obtienen mayor beneficio en la medida en que aumenta la participación. De ellas, la coalición del Partido Verde Ecologista de México (PVEM) con el PAN es la menos eficiente de todas, en un contexto de menor participación, tanto como la coalición PRD con el Partido del Trabajo (PT), Movimiento Ciudadano (MC), el Partido de la Sociedad Nacionalista (PSN) y el Partido Alianza Social (PAS). Las coaliciones y las candidaturas independientes se ven altamente beneficiadas conforme aumentan la abstención y los votos nulos, como las del PVEM y el PT, cuyas alianzas con el PRI y el PRD, respectivamente, resultan más eficaces en los distritos de menor votación válida.

Fuente: elaboración propia con información de bases de datos en CFE (1988), IFE (2013) e INE (2015a).
Gráfico 1 Porcentaje de abstención y votos nulos según partido ganador en las elecciones para diputaciones de mayoría relativa 1991-2015
La abstención y el voto nulo tienden a favorecer al PT, al PRD y al PAN, a los partidos de menor preferencia electoral y a las candidaturas independientes: casi a todos, menos al PRI. Una participación media beneficia a las coaliciones, al PRI y al PVEM, mientras que una participación superior a setenta puntos favorece al PRI. Estas consideraciones deben ser tomadas con reserva, pues son bajas las correlaciones o no son significativas.
No existe, entonces, un fundamento estadístico para afirmar que la abstención y el voto nulo benefician al PRI. Merino y Fierro (2015) concluyen lo mismo tras analizar los resultados de las elecciones de los años 2003 y 2009. En cambio, la abstención y el voto nulo tienden a aumentar en aquellos distritos donde los otros dos partidos mayoritarios incrementan su votación, siempre que no sea en coalición. ¿Podríamos afirmar que inciden al grado de determinar quién triunfa? Para argumentar esta afirmación empecemos por explorar sus implicaciones, es decir, si la abstención y la nulidad del sufragio pueden considerarse un mecanismo de evaluación para castigar o, al menos, demostrar inconformidad.
La abstención y el voto nulo tienden a favorecer al PT, al PRD y al PAN, a los partidos de menor preferencia electoral y a las candidaturas independientes: casi a todos, menos al PRI. Una participación media beneficia a las coaliciones, al PRI y al PVEM, mientras que una participación superior a setenta puntos favorece al PRI. Estas consideraciones deben ser tomadas con reserva, pues son bajas las correlaciones o no son significativas.
No existe, entonces, un fundamento estadístico para afirmar que la abstención y el voto nulo benefician al PRI. Merino y Fierro (2015) concluyen lo mismo tras analizar los resultados de las elecciones de los años 2003 y 2009. En cambio, la abstención y el voto nulo tienden a aumentar en aquellos distritos donde los otros dos partidos mayoritarios incrementan su votación, siempre que no sea en coalición. ¿Podríamos afirmar que inciden al grado de determinar quién triunfa? Para argumentar esta afirmación empecemos por explorar sus implicaciones, es decir, si la abstención y la nulidad del sufragio pueden considerarse un mecanismo de evaluación para castigar o, al menos, demostrar inconformidad
Votos válidos ante votos no válidos
Los detractores del abstencionismo y del voto nulo señalan que lo importante es elegir entre las postulaciones legítimas, es decir, los votos que reciben los partidos políticos y las candidaturas independientes en la última elección. En democracia, las decisiones se toman por acuerdo de la mayoría. La mayoría es la mitad más uno. Así, se tiene en alta estima que la participación electoral sea cercana o superior a la mitad de la población electora.
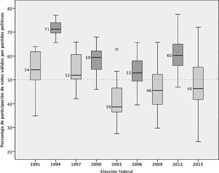
Al observar la votación válida por distrito electoral ante la lista nominal, el panorama no es tan halagüeño. Casi tres cuartas partes de los distritos muestran una proporción de votación válida menor a la mitad del electorado en los tres últimos procesos electorales intermedios2 (Gráfico 2). Esta tendencia a la baja participación se observa también en las elecciones presidenciales. Ciertamente, aumentó la participación en el proceso electoral del año 2015; podría interpretarse como la evidencia de que cobra importancia la elección de otros poderes distintos al Ejecutivo Federal. Sin embargo, debemos considerar que en algunos casos concurrieron, por vez primera, procesos electorales locales y federales.

Fuente: elaboración propia con información de bases de datos en CFE (1988), IFE (2013) e INE (2015a).
Gráfico 2 Cajas de la votación válida respecto del listado nominal según proceso electoral federal, 1991-2015
En aquellos distritos donde no hubo elecciones concurrentes se ubica el porcentaje de votos válidos en 39 puntos (Gráfico 3), un índice por debajo de la elección intermedia del año 2009 y similar a 2003, pero ahora más de tres cuartas partes de los distritos se ubican por debajo de 45 puntos. En contraste, ese promedio se elevó donde sí hubo concurrencia, especialmente donde estuvo en competencia la gubernatura.

Fuente: elaboración propia con información de bases de datos en CFE (1988), IFE (2013) e INE (2015a).
Gráfico 3 Cajas de la votación válida respecto del listado nominal según tipo de proceso electoral federal, 2015
Resulta preocupante la menor proporción de personas que sufragan. Sin embargo, acusar de que la abstención y el voto nulo agravan aún más esa situación no apunta al problema substancial, a saber, la desconfianza de que el sufragio sea un instrumento efectivo para incidir en la conformación de la representación en el gobierno.
Por eso, en contraposición, se ve en ese ámbito de participación electoral (abstencionismo, voto nulo, candidaturas no registradas e independientes) la manifestación de una acción orientada a protestar, cuando menos, o incluso a castigar. ¿Es pertinente hablar en esos términos?
Abstención y voto nulo como evaluación retrospectiva
Atendamos primero la evaluación retrospectiva: la decisión presente del electorado se guía por la valoración de la actuación pasada de quienes se postulan. Se considera un fundamento del gobierno representativo que el electorado pueda realizar una evaluación de la gestión pública de sus representantes, sea positiva (vuelve a elegirlo) o negativa (opta por otra representación).
Nuestro sistema sigue siendo imperfecto aún en ese sentido: sin la alternativa de la reelección, la evaluación sólo aplica a partidos políticos y no a individuos, de manera que no existe forma de imputar el castigo a quienes han sido omisos en el cumplimiento de la plataforma política (desobediencia del mandato) o reprobando el ejercicio de la función (rendición de cuentas). Con la información disponible, intentaré observar tres efectos que podrían tener el abstencionismo y el voto nulo para que puedan ser considerados formas de evaluación retrospectiva: obstruir la alternancia, propiciarla o bien posibilitar la preeminencia del voto “duro”.
La abstención y voto nulo no inciden donde no hay alternancia
La alternancia a nivel distrital es un avance destacable en nuestro país: hace treinta años un solo partido ganaba casi todos los distritos (por no decir que todos). Después de nueve procesos electorales federales, en 49 distritos de 19 entidades federativas sigue sin ocurrir la alternancia:3 41 de ellos corresponden a la combinación PRI-PVEM y 8 al PAN (Gráfico 4). En el año 2015, nueve entidades no habían tenido nunca alternancia en el gobierno del estado (Integralia, 2015), ocho de los cuales aparecen en el Gráfico 4 (Campeche, Coahuila, Durango, Hidalgo, Estado de México, Quintana Roo, Tamaulipas y Veracruz, faltando Colima).

Fuente: elaboración propia con información de bases de datos en CFE (1988), IFE (2013) e INE (2015a).
Gráfico 4 Distritos sin alternancia durante el periodo 1991-2015 de acuerdo con la delimitación vigente
Llama la atención que casi la sexta parte de todos los distritos no hayan cambiado de preferencia electoral en el último cuarto de siglo. Para la elección de 2015 en ellos residía la sexta parte del listado nominal (13.6 millones); aportaron a los partidos ganadores 3.7 millones de votos en 2012 y 3.1 millones en 2015; representaron 22.2% de la votación nacional del PRI y su coaligado, y 5.2% del PAN.
En 36 de esos 49 distritos, especialmente en las elecciones presidenciales, la participación electoral es mayor a 50%; ha fluctuado de 27 a 79% en la cuarta parte (Gráfico 5). En el año 2000, la participación en estas regiones superaba la mitad del electorado, pero en 2003 se derrumba: el porcentaje de participación se redujo drásticamente en más de las tres cuartas partes de estos distritos. Se recupera en 2012, al alcanzar un promedio de 60%, más de veinte puntos porcentuales respecto de 2003. Comparando las elecciones intermedias de 2015 con las de 2009, el listado nominal se incrementó 10.2%, el sufragio creció 14.9% y la votación por los ganadores aumentó apenas 3.7 puntos; al parecer, quienes ganaron no captaron todo el nuevo electorado.

Fuente: elaboración propia con información de bases de datos en CFE (1988), IFE (2013) e INE (2015a).
Gráfico 5 Participación de votos válidos respeto del listado nominal en los 49 distritos sin alternancia en las elecciones federales de 1991-2015
En los lugares sin alternancia parece presentarse una amplia participación, pero también está visto que su reducción no implica necesariamente perder la elección. Quienes sostienen que la abstención y el voto nulo favorecen a los partidos ganadores se basan en esa apreciación: en tanto se reducen los votos válidos, los porcentajes se ponderan a la alza entre los contrincantes, magnificando las diferencias; un mismo pastel que se reparte ahora entre menos comensales. Eso es cierto, sin duda, pues incluso al confrontar votaciones absolutas, no relativas, tampoco existe correlación entre ambos fenómenos (0.070 p = 0.256). Así, parecería que la abstención y el voto nulo no afectan la votación de los partidos ganadores; esto es, en un escenario de deserción ciudadana, los ganadores no tienen de qué preocuparse.
Ahora bien, ¿el voto nulo y el abstencionismo impiden ganar a quien ocupó el segundo lugar? Planteemos el caso extremo: otorguemos plena sabiduría al electorado para otorgar su voto a quien ocuparía el segundo lugar; sumemos al segundo lugar los votos nulos y la abstención comparada con una participación media para elecciones equivalentes (intermedias y presidenciales) durante el periodo. En general, en 39.3% de los casos el segundo lugar hubiera superado al ganador si se hubieran cumplido esas condiciones. ¿Quiénes hubiesen ganado en esa circunstancia? El Cuadro 4 muestra que los más beneficiados hubiesen sido los partidos hegemónicos, en 96.7% de los distritos donde se cumpliría esa condición, especialmente en las elecciones intermedias.
Cuadro 4 Distritos en los que el segundo lugar ganaría con los votos nulos y el aumento de la participación histórica promedio, según tipo de elección, 1991-2015

n.a.: no aplica.
Condición: el segundo lugar suma todos los votos nulos y aquéllos del aumento de la participación a su promedio histórico.
Fuente: elaboración propia con información de bases de datos en CFE (1988), IFE (2013) e INE (2015a).
Para el caso de los 49 distritos donde no ha habido alternancia, el resultado hubiera cambiado en 17 distritos electorales, de los cuales siete los hubiese ganado el PRI-PVEM, seis el PAN y sendos distritos para el PRD, la coalición PRD-PT, Morena y una candidatura independiente: sólo en tres casos se hubiese quebrado la hegemonía del PAN, PRI y PRD. En resumen, aun cumpliendo esas condiciones tan restrictivas, la incidencia del aumento de la participación electoral y la revocación del voto nulo no inciden en la reconfiguración del espectro político, pues el triunfo se trasvasa entre los partidos hegemónicos.
En conclusión, la abstención y el voto nulo no obstruyen la alternancia. Aún más, no son mecanismos eficientes para impedir que los partidos políticos hegemónicos mantengan su prevalencia en las regiones donde han ganado, aspecto aún más evidente en los 49 distritos en lo que no ha habido alternancia. El incremento del voto nulo y la abstención se acompaña de un incremento de la votación por los partidos mayoritarios. La asignación de las representaciones plurinominales y el acceso a recursos económicos es el efecto residual de algo más profundo: los partidos políticos logran capturar mayor números de votos aunque se incremente la abstención o la votación no válida.
La abstención y el voto nulo inciden para que un partido no vuelva a ganar
Veamos el caso en el que hay alternancia. Este es el argumento principal entre quienes promueven el voto nulo: su incremento alteraría la situación prevaleciente. Procede, entonces, identificar los distritos donde aumentan simultáneamente el voto nulo y el abstencionismo; después, que el ganador previo se ubique en segundo lugar y, finalmente, que, captando los votos nulos y la diferencia respecto de una participación promedio, tal diferencia le hubiera dado el triunfo.
Para este análisis se realiza la comparación entre elecciones equivalentes. Son 662 distritos electorales los que cumplen la condición de que aumenten tanto la abstención como el voto nulo. Se han reducido estos casos de manera sistemática desde el año 2009, cuando más se promovió el voto nulo (Cuadro 5).
Cuadro 5 Número de distritos donde aumentan la abstención y los votos nulos con respecto a la elección equivalente anterior (1991-2015)

Fuente: elaboración propia con información de bases de datos en CFE (1988), IFE (2013) e INE (2015a).
Son equiparables 425 de los 662 distritos para constatar si existe alternancia o no (Cuadro 6);4 los distritos con alternancia son 165 (38.8%). La prueba Chi cuadrada indica que no existe incidencia del aumento de la abstención y los votos nulos en la definición de la alternancia (2.012, un grado de libertad y p = 0.156). En general, parece ser que el aumento o disminución de la abstención y el voto nulo en nada atentan contra la situación prevaleciente.
Cuadro 6 Número de distritos en los cuales concurren alternancias con aumento de votos nulos y abstención, 1991-2015

Nota: los resultados de las elecciones de 1991 y 1994 son considerados parámetro de referencia por lo cual el total de distritos no es igual a 2 695. Además, son para distritos equivalentes según distritación.
Fuente: elaboración propia con información de bases de datos en CFE (1988), IFE (2013) e INE (2015a).
Veamos ahora los casos con alternancia en los que el incremento de la abstención y los votos nulos sí determinaron la derrota del segundo lugar, pero sólo cuando éste había ganado la elección anterior (492 distritos).
La prueba Chi cuadrada nos dice que el aumento de la abstención y el voto nulo no incide en que el segundo lugar haya ganado la elección anterior (Chi cuadrada de 1.923, p = 0.165). Sin embargo, al realizar la misma prueba, pero agregando ya los votos de una participación media y el voto nulo al segundo lugar, resulta ser que sí adquiere influencia: si no hubiese decaído la participación y los votos nulos fueran para el segundo lugar, éste habría vuelto a ganar (Chi cuadrada de 48.460, p = 0.000). Los distritos (en las distintas elecciones) en los que el segundo lugar hubiese reivindicado su victoria anterior fueron 176 (79.6%).
Ahora veamos los resultados en elecciones equivalentes (intermedias y presidenciales). Nuevamente, la prueba Chi cuadrada nos dice que el aumento de la abstención y el voto nulo no determinan quién ocupa el segundo lugar (0.298, p=0.585), pero sí en los casos en los que el segundo lugar hubiese ratificado su triunfo en aquellos distritos que presentaron un aumento simultáneo de la abstención y los votos nulos para elecciones equivalentes (Chi cuadrada de 22.740 y p = 0.000). De manera que, si se cumple que todos los votos fuesen para el segundo lugar, se observa que la abstención y el voto nulo no propician por sí mismos la alternancia, pero sí podrían castigar a los ganadores en la próxima elección.
No sólo de voto duro vive el ganador
Esta sección aborda un aspecto que dejamos pendiente en el apartado titulado “La abstención y voto nulo no inciden donde no hay alternancia”, a saber, que aumentan la abstención y los votos nulos, pero también se incrementa la votación por los partidos políticos ganadores. La crítica al abstencionismo consiste en que, al tomar la votación válida como un total, se eleva la participación porcentual de los participantes conforme disminuye la cifra absoluta base: el pastel se reparte entre menos comensales. Sin embargo, la elección no se gana por porcentajes, sino por número de votos: la diferencia porcentual de un voto es prácticamente nula, pero un solo voto determina quién gana.
La aseveración de que el incremento de la abstención y los votos nulos amplifica la participación porcentual de los contendientes sería válida si se confirma con cifras absolutas: implicaría que el creciente número de votos nulos y abstencionistas reducen la votación válida. Sin embargo, la correlación de Spearman entre estos indicadores indica que no procede tal afirmación (0.180, significante al nivel de 0.01 de dos colas): conforme aumenta la cantidad de uno, sucede lo mismo en el otro: existe cierta correlación positiva (Cuadro 7). No se les puede imputar que reduzcan las dimensiones del pastel; si acaso, es posible adjudicarles que la base a repartir no se extienda; pero incrementar el número de votos válidos implica para los partidos de menor presencia un mayor número de sufragios para alcanzar el porcentaje mínimo de registro (Alcocer, 2015): una copiosa participación pone en riesgo la pluralidad de la oferta política.
Cuadro 7 Correlación entre votación válida, abstención y votos nulos 1991-2015

**. La correlación es significativa en el nivel 0.01 (2 colas).
Fuente: elaboración propia con información de bases de datos en CFE (1988), IFE (2013) e INE (2015a).
Además, la correlación entre nulos y válidos aumenta a un alto índice de 0.433 (p = 0.000): entre mayor es la participación más se incrementa la probabilidad de que haya error en el llenado de la boleta o que se elija deliberadamente anular el voto.
Como se da por sentado que la deserción reduce la votación válida, se colige entonces que cobra mayor importancia la lealtad partidaria, eufemismo para identificar al “voto duro”, es decir, la preferencia recurrente a través del tiempo por determinada fuerza política, independientemente del cargo en competencia. Fue la forma de participación electoral común a los gobiernos representativos de la primera mitad del siglo XX (Manin, 1997; Markoff, 1996; Tilly, 2007), cuando las fuerzas partidarias respondían a programas postulados por estamentos sociales (obreros, clases medias, programas de derecha, de izquierda, nacionalistas o reivindicativos).
Se acusa a la abstención y al voto nulo de dejar la representación a merced del voto duro. Dicho metafóricamente, mientras más volátil sea el voto libre e informado (y se incremente la abstención y los votos nulos), la expresión de la voluntad ciudadana devendrá coágulos de lealtad partidaria, resultado de la afinidad ideológica, la compra, la coacción, el corporativismo y el clientelismo. Otra analogía equivalente hablaría de escollos emergentes por la disminución del nivel de participación válida. De cualquier manera, ambas aproximaciones anuncian ya lo que significa el voto libre e informado: concesión gratuita de la ciudadanía que sedimenta en un continente ya irregular en sí mismo, el cual induce ineludiblemente las vertientes de la expresión ciudadana.
El examen del voto duro es complejo, sin duda, pues requiere de observar la consistencia de los votos en cada tipo de elección (local o federal) y el cargo en disputa (presidencia, diputaciones, senadurías, gubernaturas, representaciones locales, presidencias municipales y cabildos). Al no contar con estos insumos para analizar el voto duro de cada partido político, nos aproximamos observando el comportamiento de la votación mínima para cada tipo de elección según partido o coalición que ocupa alguno de los tres primeros lugares. Esto es así porque la competencia, en tres cuartas partes de los distritos, ha sido entre el primer y segundo lugares, donde se triunfa por una relación de, máximo, dos a uno; en cambio, el ganador mantiene una diferencia de 2.5 votos o hasta 13 por cada voto respecto del tercer lugar: la competencia, así, se da principalmente entre dos contendientes. El número efectivo de partidos5 por cada unidad distrital ubica una media de 3.14 para todas las elecciones y de 4.28 para la última elección de 2015. Debemos tomar en cuenta que ese indicador está sesgado, pues contabiliza contendientes que en realidad no lo son: las coaliciones y los partidos que las conforman. El porcentaje acumulado del voto por los tres primeros lugares arroja una media de 74.7% en 2015; es de 63.2% para el primero y segundo.
De acuerdo con el postulado que analizamos, entre mayor sea el abstencionismo y el voto nulo, mayor sería la proporción del voto duro de cada partido o coalición en la votación recibida para competir.
Son dos conjuntos susceptibles de análisis: aquellos en los que 100% de la votación mínima de elecciones equivalentes corresponde a la votación obtenida (es decir, obtuvo el mínimo de votos) y otro universo que sea mayor al mínimo. El primer caso distorsiona el resultado, pues más de la mitad de los casos corresponden a situaciones donde la coalición o el partido, al participar por primera ocasión o por única vez, logra una votación que será siempre el mínimo a lograr. Al correlacionarlo con el porcentaje de abstención y votos nulos, la resultante es un índice de -0.227 (p = 0.01 dos colas). Según esto, conforme aumenta la proporción de voto duro en la votación obtenida por los tres primeros lugares, menor es la abstención y el voto nulo; sin embargo, el resultado no es confiable, pues incorpora votaciones únicas o primarias, sesgando el resultado.
En cambio, si excluimos los casos de 100%, el resultado muestra una correlación de 0.036, significativa (0.036): no hay una correlación evidente. Sin embargo, da resultados diferenciados en elecciones equivalentes. En elecciones intermedias el coeficiente es de 0.096 positivo, significativo al nivel de 0.01 (dos colas), que insinúa una ligera correlación: conforme aumenta la abstención y el voto duro en la votación, también lo hace el voto duro. Esta vertiente corrobora, aunque sea con un índice bajo, la idea de que la abstención y el voto nulo otorgan competitividad a quien obtiene más votos duros.
No ocurre lo mismo en elecciones presidenciales: el coeficiente es de -0.130 negativo, esto es en sentido inverso, con una significancia de 0.01 (dos colas). En este caso, se rechaza la aseveración anterior: existe cierta tendencia de que conforme aumenta la participación del voto duro en la votación, se reduce la abstención y el voto nulo.
Al parecer, un mismo hecho (la participación) está presente en dos resultados excluyentes entre sí: entonces, la abstención y el voto nulo no tienen una incidencia determinante (lo que nos dice la correlación sin tomar en cuenta el tipo de elección). Sin embargo, estos síntomas nos hablan de algo más.
En ambos tipos de elecciones son similares la proporción de voto duro (media de 55.4% en intermedias, 54.5% en presidenciales) y la desviación estándar (28.2 y 29.2). La abstención y los votos nulos muestran cambios relevantes: 52.0% en intermedias y 40.8% en presidenciales. El dato distintivo parece ubicarse en la votación necesaria para ocupar un determinado lugar. Para ganar un distrito en una elección intermedia se necesitan en promedio 48 mil votos; en la presidencial, 66 mil (incrementar en un tercio). Ocupar el segundo lugar representó, en promedio, 31 mil votos y 45 mil (incrementar en la mitad). Alcanzar el tercer lugar requiere de 12 mil votos en la intermedia y 24 mil en la presidencial (duplicar la votación).
Parece ser que en las elecciones intermedias la abstención y el voto nulo producen el efecto imputado: no trascienden porque el voto duro mantiene una consistencia que les impide incidir en el resultado final. La abstención y el voto nulo destacan en las elecciones presidenciales, pues la presencia del voto duro se reduce; no obstante, no repercute porque se incrementa la votación por los partidos. La pretensión de incidir con abstención y voto nulo es contrarrestada por el voto útil: aquel que se orienta ante la probabilidad de un triunfo viable.
El tercer lugar y el segundo lo son porque no logran movilizar y competir con la votación base de la que parten los partidos hegemónicos. Ante esa realidad, la abstención y el voto nulo son totalmente intrascendentes. Veamos el caso de los partidos ganadores: no existe correlación con el voto duro (0.023, significancia 0.396). La proporción media de la presencia de voto duro en la votación mayoritaria es de 62.3% (65.3 en intermedias y 58.9 en presidenciales). En las intermedias, la correlación se ratifica como no significativa (0.093), sí lo es en las presidenciales (-0.102 negativo, significancia 0.019). La abstención y el voto nulo no son los responsables de que emerjan los escollos del voto leal.
En cambio, el segundo lugar presenta la peculiaridad de que su voto duro llega a representar, apenas 56.0 y 58.3%, respectivamente, de su votación en elecciones intermedias y presidenciales. En las intermedias, la correlación es ya significativa con 0.047, con una correlación de 0.069: si aumenta la abstención, la proporción de voto duro resulta importante, pero no para alcanzar los niveles del primer lugar. Más competitivo en la presidencial, adquiere niveles de voto duro similar al primer lugar (58%). La correlación en este caso no es significativa (p = 0.389).
El tercer lugar profundiza este proceso: la participación del voto duro en su votación es, en promedio, de 43.1% en intermedias y de 39.3% en presidenciales. Su correlación es significativa (y positiva) en elecciones intermedias (0.128 p = 0.000), pero su movilización de voto duro no le permite competir, mucho menos en elecciones presidenciales, donde la correlación con la abstención y el voto nulo incluso le es negativa (-0.162 p = 0.000).
De esta manera, si desea ganar un distrito electoral es necesario que en una elección intermedia obtenga, en promedio, 52 mil votos, y 71 mil en una presidencial, de acuerdo con los últimos resultados: depende de la clientela a la cual deba enfrentar. De esos votos, se deben asegurar dos de cada tres votos; vigilar que no aumente la abstención y el voto nulo, convencer al electorado de que participe.
En efecto, la abstención y el voto nulo se reducen conforme aumenta la distancia en votos del primer lugar respecto del segundo. A mayor participación se profundiza la tendencia de que el primer lugar se aleje de su competencia (correlación -0.187 negativa, significancia de 0.000). Lo relevante es el escollo del voto duro: sobre él se deposita el sedimento del voto libre e informado, el cual sólo amplifica las diferencias prefiguradas. Esto es especialmente válido en elecciones intermedias, donde la correlación se incrementa a -0.212 negativo (significancia 0.000), frente a la correlación de -0.113 negativo en las elecciones presidenciales (p = 0.000). Si bien la abstención y el voto nulo no muestran una correlación con la distancia respecto del tercer lugar, sí muestra que al disminuir ellos también lo hace la distancia del segundo lugar respecto del tercero (0.158 en intermedias y 0.098 en presidenciales). La abstención y el voto nulo, al disminuir, ponen en aprietos al segundo lugar, no al primero.
¿En qué medida los partidos de los primeros lugares dependen del voto duro? Fowler propone un método para determinar la brecha entre los votos regulares (“voto duro”) y los marginales para cada competidor. El indicador de referencia corresponde a los promedios de votaciones por partido y de la participación (Fowler, A., 2015; Fowler, A.G., 2013).6 Un resultado negativo señala que el voto regular tiene mayor presencia; una cifra positiva, al contrario, representa que el voto marginal aporta más. Realizamos el cálculo para observar la brecha de Fowler entre primer, segundo y tercer lugar por distrito.
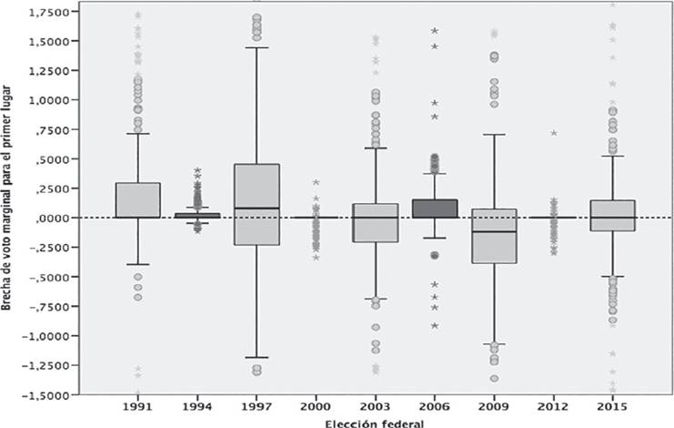
De 1991 a 2012, para el primer lugar la presencia del voto marginal pierde presencia ante el regular (Gráfico 6). En 1991, las tres cuartas partes de los distritos muestran una importante participación del voto marginal (un promedio de 0.316). En las elecciones presidenciales, la competencia entre ambos tipos de votos es tan cerrada que se compensan ambos conjuntos. En cambio, en las elecciones intermedias a partir de 1997, la presencia del voto duro aumenta y resulta determinante en casi 75% de los distritos para el año 2009.

Fuente: elaboración propia con información de bases de datos en CFE (1988), IFE (2013) e INE (2015a).
Gráfico 6 Brecha de Fowler para el partido ganador por distrito electoral, 1991-2015
En la presidencial de 2006, el marginal parece ganar terreno al voto duro; seis años después, éste vuelve a compensar su presencia. En la elección intermedia de 2015 se ve un equilibrio similar al de una presidencial, pero se observa el incremento de ambas tendencias. Este proceso fue muy particular: hubo candidatos independientes y partidos que ganan por primera vez (Morena y Movimiento Ciudadano). Así, el voto marginal se hace presente en esas opciones.
Desde el punto de vista de los partidos ganadores, encontramos que el PAN muestra un índice de -0.027 negativo: su voto duro pesa, pero no es determinante para ganar. En cambio, el PRI-PVEM gana gracias a su voto duro (-0.315 negativo), mientras que los triunfos del PRI se deben al voto marginal (0.593), el cual capta más eficazmente que el segundo (0.088) o tercer lugares (0.145). Al parecer, el voto útil beneficia al PRI. El PRD depende de su voto duro (-0.652 negativo). El triunfo de candidaturas independientes y de Morena radica en los distritos con alta presencia de voto marginal: así, en los distritos donde ganaron, los segundos y terceros lugares muestran índices superiores a 0.150, esto es, son demarcaciones donde el voto marginal es importante por sí mismo.
Existe una alta dependencia de los competidores por su voto duro; la votación marginal ecualiza su triunfo o se decanta en otras preferencias cuando revierte la presencia del voto duro de las otras opciones. De ahí que los partidos ganadores en las últimas elecciones muestren incrementos superlativos a pesar del incremento de la abstención y el voto nulo, que la participación no aumente significativamente y que el incremento del listado nominal no garantice mayor votación válida.
Parece simple el argumento de abstencionistas y pro-anulistas: si menos personas elegimos, se deslegitima el proceso. Este argumento se basa en la idea procedimental básica: una persona, un voto, y el voto es libre e informado. Pero hemos visto que aun incrementando los márgenes de abstención y voto nulo, las propuestas de los partidos políticos logran captar cada vez más sufragios. ¿Cómo ocurre esto?
Garantizar cuotas de votación regular en distintas elecciones se ha hecho posible con el significativo aumento de recursos para los partidos políticos, especialmente para la operación habitual de sus estructuras burocráticas, pues permiten el uso intensivo de la comercialización del voto: única explicación viable para unas tendencias que sacan números negros del páramo ciudadano. El procedimiento de la participación electoral se ve alterado por un contexto político externo que aprovecha las inconsistencias del modelo normativo y procedimental. Ante ello, la abstención y el voto nulo resultan evidentemente insubstanciales. Así, la composición de los gobiernos son producto de la competencia de clientelas electorales, corporativismo, capacidad de cooptación y movilización, formas que exigen ingentes recursos y medios de supervisión eficientes.
¿Cómo es posible que el marco normativo atente, en los hechos, contra su propio procedimiento? Se ha confinado la participación ciudadana a los vertederos arenosos que redundan en un esquema perfeccionado, por prueba y error, durante un cuarto de siglo, donde destaca la función del boss partidario, consignado ya por Weber: aquel agente que posibilita al mejor postor el número de votos necesarios para acceder a un puesto (Weber, 1922: 1089), operador que no está sujeto a la rendición de cuentas.
A continuación enuncio algunos factores que han contribuido a que los aspectos procedimentales de la elección en nuestro sistema funcionen de esta desafortunada manera, donde la desaprobación ciudadana se manifiesta infructuosamente, por sinestesia, a través de la abstención y el voto nulo.
Restricción de la pluralidad y evaluación retrospectiva
Tenemos dos opciones para incidir en una elección: no votar (deslegitimar el proceso o rechazar las alternativas) o votar (legitimando el proceso por convicción, coacción o utilidad). La primera opción, la deserción, está excluida de nuestro sistema electoral. La otra posibilidad se ve constreñida, pues las alternativas emergentes deben establecer mecanismos clientelares para competir o bien se pondera el beneficio a corto plazo para las redes de confianza inmediatas, a lo más. En resumen, nuestras elecciones no generan consenso social, sino equilibrios no cooperativos.
El sistema electoral mexicano ha sido configurado por bosses desde siempre, siendo su mejor expresión la reforma electoral del año 1946, cuando el poder presidencial pretende el control del dominio detentado por municipios y gobiernos estatales (Del Villar, 2009). En el último cuarto de siglo nos hemos empecinado en operar un sistema electoral diseñado por el autoritarismo: un producto defectuoso que da acceso controlado a ingentes cantidades de recursos económicos y a procedimientos de supervisión clientelar para un número mayor de participantes. La transición a la democracia postuló contemporizar con las dictaduras y asimilar sus exigencias; se pagó un costo alto para acceder a un bien mayor, pero nos ha llevado a la paradoja de Bossuet: quejarnos por la consecuencia de las causas consentidas (Rosanvallon, 2011: 16).
Incremento de recursos
Hablar del “alto costo” de la democracia, como de los derechos humanos, es un sinsentido: nada que contribuya a un régimen democrático o a la vigencia de los derechos humanos puede ser escatimado, porque el objetivo en sí mismo es el bien público más preciado.
En la tesitura de costos económicos, la democracia parece perder siempre la discusión por la sencilla razón de que, en democracia, es posible saber cuánto se gasta. No sabremos nunca lo que gastó nuestro autoritarismo durante más de siete décadas en sus procesos electorales para el consenso. No es posible conocer el costo de una dictadura por el simple hecho de que, en algunos lugares, preguntarlo puede costar la vida misma.
Nuestra democracia cuesta $5.90 dólares por voto efectivo, cantidad por debajo de lo reportado en países como la Federación Rusa, Mozambique, Afganistán o Haití, pero por arriba de Estados Unidos, países de Europa Occidental, Chile o Pakistán (ACE, 2015). Existe otro cálculo que eleva el costo a $54.86 dólares por elector (Huchim, 2015), pero contempla el presupuesto público de todas las instancias que intervienen, incluidos los tribunales electorales, lo cual no necesariamente está contemplada en la ponderación hecha por los otros países (Ugalde, 2015).
Pertinente sería preguntarnos si un país como México puede permitirse un gasto de esa magnitud; la respuesta es afirmativa. Ante países similares en costos, como Guatemala o Liberia ($5.00 y $6.10 dólares, respectivamente), México muestra una proporción bastante razonable en términos comparativos (territorio, población y PIB per cápita). Estados Unidos no es un buen punto de referencia con sus tres dólares, pues su sistema electoral en realidad consiste de 50 regímenes distintos (incluso más, pues los condados se encargan de la organización), complejidad que dificulta conocer realmente cuánto cuestan sus elecciones (EAC, 2015).
Para el proceso electoral 2014-2015 se calcula un monto erogado de $35 009 millones de pesos (Huchim, 2015), cifra que representa 0.75% del Presupuesto de Egresos de la Federación para el año 2015. Esta cantidad contempla $5 356 millones por financiamiento público entregado a los partidos por el Instituto Nacional Electoral (INE) y otros $4 169 millones por los organismos públicos locales electorales (OPLE).
El financiamiento público federal para los partidos ha sido incrementado desde el año de 1991 (IFE, 1990; 1992; 1993; 1994a; 1994b; 1995; 1996; 1997; 2003; INE, 2015b) (Gráfico 7). Los gastos de campaña y la incorporación de más partidos elevaron los recursos disponibles desde 1996. Sorprendentemente, las elecciones presidenciales implicaban una erogación menor respecto de las intermedias. En 2004 fueron acortados los tiempos de campaña y; desde 2007 los participantes dejaron de contratar tiempos en radio y televisión. Se estableció un fondo común que se reparte entre los contendientes, sin importar su número (Chuayffet, 2002; Huchim, 2015, 2008). Así, el costo de las campañas se ha moderado (Gráfico 8), pero no así el gasto corriente de los partidos políticos (Gráfico 9).

Fuente: elaboración propia con información de IFE (1990, 1992, 1993, 1994a, 1994b, 1995, 1996, 2003) e INE (2015b).
Gráfico 7 Financiamiento público federal para los particos políticos, 1991-2015

Fuente: elaboración propia con información de IFE (1990, 1992, 1993, 1994a, 1994b, 1995, 1996, 2003) e INE (2015b).
Gráfico 8 Financiamiento público federal para campañas electorales de los partidos políticos, 1991-2015

Fuente: elaboración propia con información de IFE (1990, 1992, 1993, 1994a, 1994b, 1995, 1996, 2003) e INE (2015b).
Gráfico 9 Financiamiento público federal para las actividades permanentes de los partidos políticos, 1991-2015
En cuanto a las prerrogativas aportadas por las entidades federativas, varían según el Estado; si bien han adecuado su legislación a la federal, esto implicó aumentar el presupuesto, pues algunos dan más de 0.20 del salario mínimo por registro en el padrón (Ugalde, 2015). En el año 2011 representó aumentar el equivalente de 58% de lo transferido a nivel nacional (Mondragón, 2011); para el año 2015 esa proporción fue ya de 75% (Huchim, 2015). De esa forma, un partido nacional, como el PAN, maneja recursos superiores al presupuesto del Instituto Nacional para la Evaluación de la Educación (INEE); el PRI, una ministración muy por encima de la Comisión Nacional de los Derechos Humanos (CNDH) y, el PRD, recursos similares al Instituto Nacional de Acceso a la Información y Protección de Datos (INAI).
Asimismo, los partidos manejan de manera discrecional (nada transparente) las asignaciones para sus grupos parlamentarios en las entidades federativas, en el Senado de la República y en la Cámara de Diputados, de la cual conocemos, aproximadamente, el costo de los grupos parlamentarios para los primeros dos años de la LXII Legislatura (2012-2015), con una cantidad de 2 478 millones de pesos (Integralia y Borde Político, 2014).
Además han sido incentivadas, incluso legitimadas, funciones de gestión de los representantes populares, antes soterradas durante el régimen autoritario (asignaciones extraordinarias para gasto corriente, renta o adquisición de inmuebles, equipamiento, servicios y apoyos).
Ante todo ello, las contralorías son sumamente deficientes para detectar la desviación de recursos públicos al clientelismo y al corporativismo en los presupuestos municipales, delegacionales o estatales.
Cuentan los partidos con los procedimientos para impedir cambios substanciales en la toma de decisiones: ellos mismos deciden la conformación de los presupuestos públicos y condicionan la integración de los cuerpos colegiados de los órganos autónomos, en especial, los electorales y de control presupuestal, tanto a nivel nacional como estatal.
De esta forma, mientras nuestro sistema incite a la eficacia electoral de los partidos, ellos se enfocan a conquistar elecciones, evitando la confrontación durante el ejercicio de sus gobiernos y desviando recursos para competir con otras organizaciones que disponen también de considerables caudales.
Los partidos políticos en el mundo se han transformado desde la segunda mitad del siglo XX. El triunfo de los amateurs partidarios que se preocuparon por acercarse más al electorado y confrontaron a los políticos profesionales de las oligarquías partidarias, sin embargo, fortaleció las burocracias dedicadas a ganar elecciones, pues ahora los procedimientos de selección de candidaturas y cuadros dirigentes dependen de consultas, encuestas o incluso votaciones directas (en asambleas multitudinarias), donde los bosses partidarios son imprescindibles. De ahí que los partidos políticos sean más operativos que deliberativos; más empresa que programa político.7
Son cuatro los aspectos que requieren una transformación que descentre nuestro régimen del proceso electoral para fundarlo en la evaluación del ejercicio de gobierno y la oferta política, a saber: participación electoral; fiscalización de los partidos y los gobiernos; integración de los organismos autónomos, y el rediseño de los procedimientos electorales para inhibir el control que ejercen los partidos políticos sobre el electorado.
Integrar la votación no válida al sistema electoral
Los partidos políticos deben ser responsables de la participación electoral. A nivel federal, como en otras 23 entidades de la República, el fondo de financiamiento público a los partidos políticos se define por el padrón electoral (IIJ, 2015).8 En realidad, el padrón electoral siempre tiene un margen de imprecisión, debido a que su actualización depende de que sean desincorporadas las bajas por defunción o migración internacional. Así, siempre será una base que estima a la alta: hay 4 millones más de registros (INE, 2015c).9
Existen dos opciones viables: que la base sea o el listado nominal o la votación total emitida. Con la lista nominal se mantiene un fondo de recursos similar al actual, pero la distribución sería con respecto al todo, ya no únicamente relativo a la votación nacional emitida: se reparte entre los partidos el porcentaje del fondo que determine la votación total emitida. Quedaría una importante cantidad sin asignar por abstencionismo, voto blanco, votos nulos, votos de candidaturas no registradas, partidos políticos que no obtuvieren el registro y las candidaturas independientes. Esa cantidad pudiera servir para financiar a nuevos partidos políticos y a candidaturas independientes; aun así, sería una considerable erogación por canalizar, tal vez a instancias educativas para promover la educación cívica, deportiva, artística y científica en sus diversos niveles.
En tanto que queda una cantidad relevante sin asignación precisa, el parámetro base debe ser la votación total emitida y su distribución de acuerdo con el porcentaje de cada partido respecto de ella, no más la votación nacional emitida (votación para partidos con registro). De igual manera, se asignaría la proporción de la votación obtenida para cada partido político con registro y quedaría un remanente derivado del acumulado proveniente de voto blanco, votos nulos, candidaturas sin registro y candidaturas independientes, recursos acumulables propicios para financiar a los nuevos partidos con registro condicionado y a las candidaturas independientes. Si los partidos quisieran más recursos, deberán preocuparse por la reducción de la abstención y el voto blanco.
Un aspecto importante consiste en reconocer que la ciudadanía pueda elegir no optar: la boleta electoral debe contemplar el señalamiento de que ninguna propuesta es satisfactoria con un voto en blanco, para diferenciarlo del voto nulo. Cuando el voto blanco represente 35% o más de la votación total emitida en un distrito, procedería anular la elección y convocar a comicios extraordinarios con nuevas candidaturas de todos y cada uno, tanto de partidos como independientes.
Sería pertinente deliberar sobre regresar al estándar de calcular el fondo con 0.20 del salario mínimo vigente (o la unidad estándar equiparable), como sucedía en algunos estados antes de la reforma de 2007, pues en realidad la cantidad de 0.65 es un cálculo ex profeso para mantener la ministración de recursos con que operaba el PRI durante el régimen autoritario (Ugalde, 2015).
Dos de las aportaciones relevantes de estos años de transición son irrenunciables: el principio de la prevalencia del financiamiento público ante el privado y que no haya erogación de los partidos para adquirir tiempos publicitarios en radio, televisión y prensa.
De esta forma, los partidos políticos estarían preocupados por incrementar la participación electoral. Recurrir a esquemas corporativos o clientelares encarecería el costo de cada sufragio, que redundaría en un sinsentido, pues reduce el margen de ganancia. Habría una alternativa más lucrativa: proponer programas de gobierno y candidaturas más atractivas al electorado para que acuda por convicción; reducir el costo con proveedores gratuitos: las ciudadanas y los ciudadanos.
Contralorías ciudadanas autónomas
La canalización de recursos públicos a las campañas electorales y la operación política es una realidad que ha intentado enfrentar la norma incrementando los mecanismos de fiscalización, lo que ha hecho aún más complejo el sistema electoral, pero ineficaz en tanto que audita recursos registrados, no las potenciales fuentes ilegales de financiamiento. Por ello, los partidos políticos deben reportar, de manera transparente, los recursos provenientes de todas sus fuentes de financiamiento, incluidos los grupos parlamentarios y los gastos por labores de gestión. Asimismo, deben conformarse contralorías ciudadanas: órganos de control autónomos que auditen a todas las instancias de los tres poderes, en todos los niveles de gobierno, integrados por ciudadanas y ciudadanos con certificación emitida, a su vez, por una entidad autónoma, como podría ser el Centro Nacional de Evaluación para la Educación Superior (Ceneval). Una vez aprobados, la asignación sería por sorteo a propuesta de los grupos parlamentarios en las instancias correspondientes.
Integración de órganos autónomos y servicio público
El sorteo es una alternativa erradicada de los modernos gobiernos representativos (Manin, 1997). En México, no obstante, existe una autoridad que es elegida por sorteo: las personas a cargo de la mesa directiva de casilla el día de la jornada electoral. Recuperar el sorteo en los enclaves idóneos implicaría incrementar la incertidumbre a los partidos políticos y ampliar el margen de autonomía del funcionariado designado. Las candidaturas para integrar al Consejo General del INE partirían, en principio, de la postulación de las personas interesadas, quienes deberán acreditar ante una instancia autónoma cumplir los requisitos y tener la capacidad, la formación y la aptitud consideradas adecuadas para ejercer la función. Del universo de personas aprobadas, cada grupo parlamentario podría proponer cuatro candidaturas (con paridad de género) para ser consideradas en el universo que se someterá a sorteo y mediante el cual se integrarán los cargos necesarios. Este procedimiento puede ser igualmente válido para la conformación de las comisiones de derechos humanos, los institutos de transparencia o, en general, cualquier órgano autónomo, incluidas las instancias de contraloría ciudadana.
Otro aspecto fundamental es establecer un Sistema Nacional de Servicio Público en las administraciones públicas de todos los niveles, incluidos los ámbitos municipales. Este esquema puede ser replicado para la integración de los cuerpos de seguridad pública y la policía judicial. Esta instancia será la encargada de normar los procedimientos para el ingreso, la permanencia y retiro de las personas integrantes de los servicios públicos y del funcionariado de los poderes Ejecutivo, Legislativo, Judicial y de órganos autónomos. Si bien cada instancia será responsable de operar su servicio profesional en lo particular, deberán cumplir con los requerimientos para la evaluación de quienes integran el servicio público, tanto en sus ramas operativas y administrativas, como de mando hasta el nivel equivalente a direcciones. De esta manera, será posible reivindicar el servicio público, pues sería garantía para la ciudadanía de que las personas responsables de la administración y operación del gasto público están capacitadas y poseen la experiencia necesaria. Se someterían a la supervisión de un control político, pues las funciones equivalentes (desde direcciones generales o ejecutivas para arriba) quedarían a cargo de personal de confianza de los gobiernos elegidos, de manera que, entonces sí, las representaciones electas realizarían labores de supervisión sobre la adecuada función del servicio público.
Contralorías ciudadanas, asignación mediante el sorteo y el Sistema Nacional de Servicio Público son medidas necesarias e impostergables en materia de reforma del Estado para enfrentar el uso patrimonialista de los recursos públicos y el deterioro de la función pública a causa de la inadecuada forma en que los partidos políticos detentan las funciones de gobierno.
Voto efectivamente libre y secreto
Los sistemas electorales en México, desde su primera experiencia para la elección de noviembre de 1813, responden a dos requerimientos de control de la autoridad y de las facciones en pugna: ubicar e identificar a quien sufraga. Durante el siglo XIX no hubo pudor para exigir al elector que expresara en voz alta, ante los funcionarios de casilla, los candidatos mismos y la concurrencia, el nombre del candidato de su “preferencia”. Ubicación e identificación permitían conocer de antemano la intención electoral, lo que vulneraba así la secrecía del sufragio y, por lo tanto, restringía la libertad. En las reformas electorales finiseculares, los partidos de oposición no reclamaron la modificación del sistema, sino incidir en el proceso.
En el proceso electoral 1987-1988, 20 mil secciones conformaban los 300 distritos electorales; en 1994 eran ya 65 mil secciones y en la actualidad son más de 68 mil. En efecto, se acercó la casilla al domicilio de quien vota: 40 mil casillas en 1988 y más de 148 mil en la última elección (INE, 2015c). Esta cantidad responde a un criterio básico: cada casilla debe consignar, a lo más, 750 ciudadanas y ciudadanos.
Esto implica para quien elige que, si quiere sufragar por todos los cargos, debe comparecer en una casilla, ubicada en un lugar público cercano al lugar donde reside. En esa casilla se apersonan dos representantes por cada partido, quienes cuentan con sendos juegos de la lista de electores, donde se identifica nombre y fotografía. Estos listados son distribuidos a los partidos políticos con antelación. Con estos materiales, los partidos políticos acceden a información relevante para la jornada electoral: tienen una idea de quiénes votarán o no por ellos, producto de las labores de verificación y promoción del voto,10 y conocen la residencia y preferencia de los funcionarios de casilla (pues son electores en la sección, por definición). Así, las posibilidades de compra y coacción del voto se potencian. La idea primigenia de vigilar la adecuada integración del paquete electoral ha sido convertida en el mecanismo idóneo para que los bosses cuenten con insumos que garantizan mayor eficacia, pues es factible calcular el número de votos necesarios por casilla. En la elección presidencial de 2012, con una participación de 63.1%, el candidato ganador requirió de 283 votos por casilla electoral: una tercera parte del listado nominal por casilla.
Se castiga votar fuera de la sección, pues no es posible sufragar por todos los cargos; con residencia fuera del país, deberá realizarse un trámite adicional de registro. De esta forma, se privilegia la comparecencia ante la mesa de casilla y las representaciones de los partidos. Este aspecto operacional atenta contra la libertad del voto y pone en duda la secrecía del sufragio, pues si bien no se conoce con certeza de manera individual, es posible calcular tendencias. Este esquema propicia que los partidos políticos con menos recursos o las candidaturas independientes compitan en desventaja, generando la necesidad de realizar estrategias para enfrentar la franquicias operadas por las otras estructuras partidarias (INE, 2015d).
La casilla electoral con ese número de electores, sembrados en sus domicilios, posibilitan la prevalencia de mecanismos de compra y coacción del voto. Ejecutar estas acciones de manera eficiente contrarresta la competencia: mantener una empresa de esta envergadura eleva el costo de las estructuras partidarias. Entre más casillas, más representantes, contratación de personal para visitas y promoción electoral, mayor gasto en panfletos que deberán entregarse a domicilio, etcétera. El diseño de la campaña y la jornada electoral genera desigualdad en la contienda.
La reforma de la casilla electoral se convierte en una tarea substancial. Si bien es cierto que es necesario garantizar el acceso a un centro de votación, en especial de aquellas localidades pequeñas o regiones con barreras geográficas que impiden el fácil acceso, también es cierto que no se requiere la comparecencia de la persona en un lugar específico del distrito; incluso podría ejercer su voto a distancia, haciendo uso de las nuevas tecnologías de comunicación.
En principio, lo ideal sería que cualquier ciudadana o ciudadano en edad de votar, con derechos vigentes, pueda hacerlo irrestrictamente, por todos los cargos, de acuerdo con su lugar de residencia y desde cualquier lugar del planeta. Este principio abre la posibilidad de que personas con discapacidad, postradas o en tránsito ejerzan libremente su voto. En tanto que cada cédula de identidad estaría georreferenciada, sería posible emitir la boleta correspondiente para que la persona sufrague, más aún si el voto es por urna electrónica (a la manera de cualquier cajero automático que despliegue las diversas opciones para elegir), por Internet (donde ya se realizan transacciones bancarias, por lo que no puede argumentarse inseguridad) o por correo postal. El elector debe tener libertad de acudir a cualquiera de los centros de votación instalados.
De esta manera se reduce considerablemente el control que tienen los partidos políticos sobre el electorado y mantiene la capacidad para vigilar la actuación de la autoridad electoral. La posibilidad de acudir a un centro de votación cualquiera, ciertamente, tiene implicaciones difíciles de resolver para un sistema que parte del principio de mayoría relativa (sería muy complicado el trasiego de boletas impresas de un distrito electoral a otro). Sin embargo, posibilitar que las personas acudan a cualquiera de los centros de votación en su distrito no implicaría una complicación operativa en la actualidad.
En principio, sería factible reducir el número de casillas casi a la mitad (una por sección electoral) y el sufragio podría consumarse en cualquier centro de votación del distrito. Así, se facilita la labor de vigilancia, especialmente a las candidaturas independientes y a los partidos de menores recursos; garantiza una mejor capacitación de las personas al cargo de la mesa directiva de casilla sin incrementar el costo, al ser menor el número de personas que se debe capacitar (pues la cantidad de secciones no crece al ritmo de la población electoral). Asimismo, facilita establecer los centros en lugares adecuados para la captación en cualquier modalidad. La urna electrónica requiere de condiciones adecuadas para su operación, inviable con el número de casillas de ubicación incierta que actualmente se necesitan. El uso de los centros educativos podría ser la alternativa más adecuada, si se toma en cuenta que existen más de 112 mil instalaciones públicas sólo para educación básica ( INEGI, 2013).
La identificación de quien elige es otro aspecto nodal. México es uno de los diez países con un sistema de credencialización de votantes (Mendoza y Núñez, 2014); éste es avalado y supervisado por los mismos partidos políticos, lo que les permite hacer uso discrecional de datos personales de identificación para fines distintos a la verificación técnica.
Debe desaparecer la credencial de elector con fotografía. Resulta sintomático que en nuestro régimen, las personas son identificables como electoras, no como ciudadanas. El medio de identificación de las personas en México debe ser la Cédula de Identidad, general para toda la población de todas las edades. Esas labores de registro e identificación deben ser transferidas a un órgano competente y autónomo, como podría ser el INAI, por ser la entidad del Estado mexicano encargada de la protección de los datos personales de la ciudadanía. Quien desee votar presentaría su Cédula de Identidad para demostrar haber cumplido 18 años de edad o más el día de la elección. Ni dudar que debe ser erradicada la costumbre violatoria de derechos humanos de marcar físicamente a las personas que hayan votado: deberemos explorar procedimientos alternativos, como el bloqueo electrónico.
Conclusión
Se considera que la abstención corresponde al denostado idiota de la Grecia clásica, es decir, aquella persona sin interés en los asuntos públicos, ensimismada en sus propios asuntos y despreocupada del bien común. No se acepta que la abstención pueda ser también un acto positivo, es decir, una omisión deliberada. El voto nulo es visto como ineptitud para marcar adecuadamente la boleta electoral, no obstante que en esos materiales se manifiestan también innumerables expresiones de rechazo mediante protestas formales, jocosidades que confrontan la solemnidad o insultos deliberados. Así, se califica de irracional a quien promueva esos actos, sea porque no son propios de la razón o porque las consecuencias son contrarias a la intencionalidad manifiesta. Merecen algo de respeto, en cambio, los votos por candidaturas no registradas, no obstante que pueden ser nominados personajes imaginarios o del ámbito del espectáculo (artístico o deportivo), aunque las frivolidades son permitidas también en candidaturas formales (el problema se devela cuando la mejor opción resulta ser el caballo de Nerón). Las candidaturas independientes provocan escepticismo, pues se considera que la única democracia viable es aquella en la que compiten sólo partidos políticos, sentencia sin fundamento a la vista de la historia de los gobiernos representativos modernos (Manin, 1997).
Esos comportamientos son estudiados como un problema de deficiente calidad ciudadana. De esta forma eludimos el análisis crítico de nuestro gobierno representativo. La abstención y el voto nulo, así como el voto por candidaturas independientes, son expresiones de formas de protesta, inconformidad o desencanto, que resultan sin duda ineficaces y sin una trascendencia evidente, precisamente porque su papel ha sido restringido o erradicado de la participación en la configuración de gobiernos representativos.
La participación electoral, en cambio, ha sido convertida en el medio propicio para que la cooptación, el clientelismo, la coerción, el corporativismo y la mercantilización del sufragio encuentren mayores márgenes de ganancia: el voto libre e informado tiende a ratificar la configuración prefigurada por empresas partidarias orientadas a garantizar clientelas, tanto en las elecciones internas de los partidos como en los procesos electorales.
La aspiración democrática de este medio siglo parte efectivamente de la desconfianza fundada hacia la autoridad electoral. Sin embargo, ahora se sospecha de quienes votan y operamos instrumentos propicios al clientelismo y la coerción con un número mayor de actores, advenedizos socios de una empresa de cuantiosas ganancias sin beneficio público. Este esquema ha derivado en formas de identificación y control que propician la defraudación sistemática del voto libre y secreto.
No ha sido posible salir de la encrucijada: gobiernos que no atienden asuntos públicos y gobernados que eluden la presencia de los gobernantes. El ejercicio gubernamental está orientado cada vez más a legitimar esquemas progresivos de extorsión y expoliación pecuniaria. Poco a poco, se está rompiendo el pacto social tolerado durante el último cuarto de siglo.
Resulta impostergable la reforma del Estado en lo concerniente a las contralorías ciudadanas, instauración del Sistema Nacional de Servicio Público y el uso del sorteo como forma de designación de los órganos de dirección de las entidades autónomas. Asimismo, la nueva reforma electoral debe desmontar el sistema electoral diseñado por el autoritarismo: incorporar la votación no válida para la distribución de recursos públicos, reformular la casilla electoral y eliminar la credencial electoral. Todas ellas son acciones orientadas a liberar al electorado del control y la supervisión partidista, visibilizar aún más las acciones corporativas y clientelares, así como reducir los recursos destinados a las empresas electorales, todo ello para consolidar a los partidos como referentes políticos (dedicados a la promoción de contenidos para la deliberación pública).
De esta forma, nuestra transición dejará de ser la eterna promesa que intenta persuadirnos de las atractivas vestiduras de un transporte descompuesto. La fisura entre gobernantes y gobernados se amplía: la confrontación está a flor de piel. No perseveremos en obtener resultados distintos haciendo lo mismo. Procedamos a instaurar la democracia.
Sobre el autor
Víctor Morales Noble es licenciado en Sociología y maestro en Estudios Políticos y Sociales, con estudios de doctorado en la misma especialidad, por la UNAM. Realizó estudios sobre Derechos Humanos y Derecho Humanitario en la American University, el Washington College of Law y el Netherlands Institute of Human Rights. Ha sido profesor en la Licenciatura de Derechos Humanos y Gestión de Paz de la Universidad del Claustro de Sor Juana. Las líneas de investigación que aborda son democracia, derechos humanos, educación cívica, participación electoral y cultura política. Participó en la elaboración de diversos informes de la Comisión de Derechos Humanos del Distrito Federal y el Instituto Nacional Electoral, donde labora actualmente. Sus publicaciones más recientes son: “Generaciones y opiniones” (Voz y Voto, 2016, coautoría), “El ABC de las reglas no escritas: caciques, líderes obreros y presidencialismo en un libro de texto gratuito” (V Congreso Nacional de la Asociación Latinoamericana de Estudios del Discurso. Nuevos enfoques, nuevos géneros y nuevas prácticas discursivas, 2015) y el diagnóstico Carrera judicial y género. De secretarias a juezas, un techo de cristal (Consejo de la Judicatura Federal, 2014, coautor).










nueva página del texto (beta)


