JEL Classification: L50, L94, Q40.
Clasificación JEL: L50, L94, Q40.
Introduction
One key objective in an electricity market is to achieve economic efficiency in the provision of its various services and products1. However, factors hindering this goal include incomplete markets, increasing trade of electricity among control areas, construction of new generating capacity that exceeds network capacity of the network, scarce operation and maintenance, poorly defined property rights, as well as lack of investment for expanding transmission networks. In last years, different authors have deepened into the study of electricity transmission expansion. The aim has been to find the optimal determination of network pricing and corresponding adequate regulation. This approach has gained importance, both in theory and practice, due to the liberalization processes in several electricity systems that prioritize vertical separation and unbundling of electricity generation and transmission, together with independent system operators (ISOS). The aim has been to create highly competitive electricity markets that facilitate timely infrastructure investment. Electricity transmission-network pricing is further especially important for generation supply companies to reach optimal efficient supply.
Mexico is currently opening its electricity industry to private investment in new generation and transmission projects so as to provide cheaper and more reliable electricity services to consumers2. This is being carried out through vertically disintegrating generation from transmission networks, and through granting an independent role to the system operator, CENACE. After the approval of the electricity reform in 2014, transmission tariffs are now based on long-run marginal costs through a methodology designed by the Mexican energy regulator (Comisión Reguladora de Energía, CRE). Such a tariff regulatory approach, however, might not generate sufficient efficiency incentives for the transmission network owner (Comisión Federal de Energía, CFE) to expand networks.
The issue of optimal transmission expansion has been analyzed in the economics literature through a range of different regulatory schemes and mechanisms, e.g., Léautier (2000), Vogelsang (2001), Rosellón (2003), Kristiansen and Rosellón (2006), Rosellón (2007), Tanaka (2007), Léautier and Thelen (2009), Rosellón, Myslíková and Zenóny (2011), and Hogan, Rosellón and Vogelsang (2010). Designing optimal regulatory mechanisms is difficult given the specific physical characteristics of electricity networks like negative local externalities due to loop flows, i.e. electricity flows obeying Kirchhoff’s laws3. One approach to transmission expansion has been traditional central planning, either carried within a vertically integrated utility or by a regulatory authority. A usual alternative has been cost-of-service regulation. In contrast, transmission decisions could also be determined in a decentralized non-regulated way.
The Hogan-Rosellón-Vogelsang (HRV) pricecap mechanism (Hogan, Rosellón and Vogelsang, 2010) is an example of a decentralized regulatory regime which combines merchant and regulatory structures to promote the expansion of electricity networks. The HRV incentive mechanism has been shown to promote network expansion in a welfare superior way to cost-plus regulation or no-regulation in a number of analytical studies, even under realistic demand patterns and large-scale renewable integration (e.g., Rosellón and Weigt, 2011; Rosellón, Vogelsang and Weigt, 2012; Ruíz and Rosellón, 2012; Zenón and Rosellón, 2012; Schill, Egerer and Rosellón, 2015; Egerer, Rosellón and Schill, 2015; Neumann, Rosellón and Weigt, 2015).
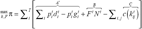
In this paper, we propose an incentive price-cap mechanism over the two-part tariffs of the transmission company (Transco), which promotes welfare efficient expansion of the transmission grid. We apply our mechanism to the isolated network system in Southern Baja California, Mexico. We further compare in terms of consumer surplus, by means of simulations, the CRE’S tariffs with the tariffs resulting from our model. Our proposed model relies on HRV, a model that has also been tested in several real electricity networks, and proved to achieve network price convergence to welfare-optimal Ramsey tariffs. Welfare-optimal expansion of the Baja Californian grid is addressed in our paper under the new nodal pricing system implemented in the Mexican system.
This document is organized as follows. In section 2 we present a brief description of the Mexican electricity sector enumerating the activities taking place within the industry, summarizing the characteristics of the current infrastructure in the electricity system, and pointing out the regulatory regime currently in place for electricity networks. In section 3, we present the model for transmission expansion, and we describe the data and sources from the Baja Californian system used, the simulations carried out, as well as our main results. In section 4, we conclude with brief concluding remarks.
The Mexican electricity transmission system and regulated tariffs
The Mexican transmission system and PRODESEN
98.4% of the Mexican population has nowadays access to electricity through a grid of 879,691 km. in length owned by CFE (transmission and distribution lines), and an infrastructure of 190 power plants yielding 41,516 megawatts (MW) in effective capacity. The generation park is comprised of 74.1% in fossil fuels (48,530 MW) and 25.9% in clean technologies (16,921 MW)4. 83%5 corresponds to power stations for public service, while the remaining 17% correspond to power private schemes such as self-supply, cogeneration, small contribution, exports, and continuous-own use.
The national transmission system is composed of 53 regions as shown in Figure 1 6, 49 of which are interconnected and form the Interconnected Electricity System (IES); the remaining 4 regions conform a group in the isolated south region of Southern Baja California. The capacity of the connection between transmission regions remains in the range of 90 MW to 4,000 MW. As of December 2014, the total length of transmission lines with voltage between 230-400 kV was 52,815 km, and 58,660 km for voltages of 69 kV.
The modernization and expansion of the national electricity infrastructure is one of the objectives of Mexican authorities to boost economic development. In the context of the electricity reform, the aim is to anticipate the needs of the national electricity demand and supply growth through substantially expanding the national transmission system, including a future interconnection of the IES with the isolated network system in Southern Baja California. According to the national transmission planning system, Programa de Desarrollo del Sistema Eléctrico Nacional (PRODESEN), the IES is expected to develop in such a way during coming years so that marginal prices in most areas of the country will become more uniform (see Figure 2)7.

Note: MP = annual marginal price index; MP65 = annual marginal price index in the 65th percentile; MP35 = annual marginal price index in the 35th percentile. Marginal prices expressed in base 2015.
Source: SENER (2015).
Figure 2: Nodal pricing system’s projection for 2020
PRODESEN is actually carried out through a complex planning system, including a power-flow model to determine specific transmission-line expansion projects. Line expansion are determined using as input the forecast on future growth of generation plants throughout the country annually made by the energy ministry, SENER, Transmission expansion then follows generation growth in the logic of the PRODESEN’s planning process. For 2015-2029, it is estimated that 24,599 km of new network capacity need to be built (see Appendix 1)8.
Regulated electricity-transmission tariffs
CRE has recently determined a set of regulated transmission tariffs the period January 1st, 2016 through December 31st, 20189. The information submitted to CRE by the CFE was analyzed taking into account information of its audited financial statements, costs reported, the relevance of the cost-allocation model, as well as projections on demand and supply. The determination of regulated transmission tariffs consisted of two sequential steps. In a first step, the required income authorized to CFE for providing the electricity-transmission service is determined (adjusted with an efficiency factor). In a second step, the required income is allocated with tariffs to the different types of consumers. The formulas for each step are as follows:
First step:
where: RI, required income; C, return on capital and depreciation; OMA, operating, maintenance and administration costs10; X, adjustment factor for efficiency improvements in operating OMA costs for 2017 and 201811.
The RI for 2017 and 2018 will also be subject to the X-efficiency factor, as well as to inflation, exchange-rate and PRODESEN-investment factors. Table 1 below shows the RIs for 2016-2018 calculated by the CRE.
Second step:
Since users of the national transmission network are generators, suppliers and qualified users, revenue allocation authorized to CFE is set proportionally to these types of consumers: 70% to consumers and 30% to generators. The design of charges is performed through a particular form of “postage stamp” based on injections or withdrawals of energy that each generator, supplier or qualified user make from the network. Weights are also assigned based on tension levels, so as to reflect the capacity long-run marginal costs (see Table 2). There are two voltage ranges: higher or equal to 220 kV, and below 220 kV. Marginal costs to develop these two types of networks are different, and there are consumers that that make use of both tension levels.
Based on the above weighting factors and the allocation of CFE’S transmission income, generation and load tariffs are calculated according to:
Where Td i,j , tariff for consumer i connected in tension level j; RI, annual net required income; FPd i.j , weighting factor for voltage level i to which demand d is connected; MWhd i,j , energy extraction of user i; MWHd k,j , energy demand of resting consumers k; Tg i,j , tariff for generator i connected in voltage level j; FPg i,j , weighting factor for voltage level i to which generation g is connected; MWg i,j , energy injection of generator i; MWg k,j , total generation injected into the grid for resting generators k.
In accordance with projected demand, CRE has determined transmission tariffs for 2016 as shown in Table 3.
Table 3: Electricity transmission tariffs in Mexico

Notes: 1. Tariffs for generators apply to all generators participating in the wholesale electricity market, and to energy injections in the first point of interconnection of the national territory associated with imports.
2. Tariffs for consumers apply to all qualified users who are market participants, retailers, and marketers who purchase energy in the wholesale electricity market, and energy extractions in the last point of connection of the national territory associated with country exports.
At the end of a tariff period, a reconciliation of the required income authorized to CFE will be made. Income in excess or less than the authorized income will be transferred to the next tariff period. In addition, tariffs are updated annually by applying, in the corresponding year, an inflation-production-price adjustment factor and the average daily exchange rates12 observed during the year for which the adjustment is being made. For these adjustments, it is assumed that total CFE’S costs are affected 10% by exchange-rate variation 90% by domestic inflation
Source: CRE (2016a).
The model, data, simulations and results
The model
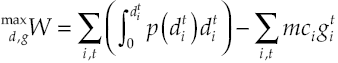
Our model is based on the two-level programming model in Hogan, Rosellón and Vogelsang (2010). More specifically, we use the “capacity setting” version of this model13 that enables the Transco to choose its network capacity and its fixed fees, while maximizing its flow of profits when expanding the network14. For the reader’s convenience, we make in the Appendix a transcription of this model.
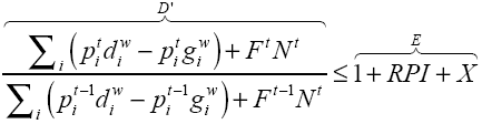
This mechanism is applied to the Baja Californian transmission system assuming linear inter-node transmission cost-functions, expanding cost values, a linear demand with a price-elasticity value of at each reference node, and a depreciation factor. A price cap is then set over the transmission two-part tariff weighted by previous period Laspeyres weights. Hourly results obtain as outcomes.
Data
Data collected and used in this work correspond to the isolated electricity system of Southern Baja California, as shown in Figure 3. All existing lines in this system have levels less than or equal to 230 kV. Figure 3 also depict existing generation plants.
Simulations and results15
Two scenario analysis are analyzed:
1. The first one addresses the three nodes appearing in Figure 1 for Southern Baja California.
2. The second scenario case considers a disaggregation of these 3 nodes, taking into account an actual detailed infrastructure of 31 nodes (substations) contained in the isolated system.
Table 4 presents sources for the data required to run the HRV model for the two scenarios.
Simulation method
Simulations for the Southern Baja California system were implemented as an MPEC problem in the gams software16. Simulations are performed continuously over 10 periods. A congested network is assumed at the beginning of the simulation. The mechanism starts by solving the lower-level power-flow problem. Once this problem sheds feasible solutions for dispatch, losses, energy flows and nodal prices, the profit maximization upper-level problem of the Transco subject to the incentive regulatory constraint is solved, using as inputs the results of the lower-level problem. A linear demand is assumed at each node17.
Case 1: 3 Nodes
This first case analyzes a network of three nodes, represented in Figure 4. These data are taken from information in aggregated form. Simulations run over 10 periods and results are illustrated in Figure 5.
As shown in Figure 5, there is initially a congested transmission line. This line connects the transmission node of Villa Constitución with the node La Paz. Therefore, under this analysis, the Transco invests in such a congested line, increasing in transmission capacity. So as to counterbalance the loss in congestion rents, the Transco raises its fixed tariff relative to the variable part. Figure 6 shows these rebalancing over 10 periods. Capacity investments in the transmission network allow convergence of prices in all nodes to a single variable price.
Case 2: 31 Nodes
This case addresses data in a network with 31 nodes and 39 transmission lines as shown in Figure 7. Here, we count with more detailed information on the net-work; thus can be observed specific areas with congestion and thus make in-vestments in specific lines that require it. Simulations over 10 periods were conducted with the following results:
As shown in Figure 8, there are initially various congested transmission lines. Red highlights the most congested lines, while green the least congested lines. It may also be observed that there exist lines that display no congestion. Figure 8 also shows another map with the realized investments after the various simulation periods18 . This analysis permits to observe capacity increases of congested lines over time. Again, the implied losses in congestion rents are compensated with increases in the Transco’s fixed tariff. Another important result obtained is shown in Figure 9. As expected, there is a convergence in the nodal price to a marginal uniform price at the end of the simulation prices.

Source: Own elaboration.
Figure 8: Congested network of Southern Baja California Sur and line investments over 11 periods
As before, our model allows a convergence to marginal prices based on capacity investments on the network. The investment process is characterized by the rebalancing of the fixed and the variable tariffs, as shown in Figure 10.
Tariff comparisons
In our analysis, price zones are divided into 6 zones. Three of these areas represent the areas mentioned in case 1, and the other three areas represent the interconnections between the zones in Los Cabos, La Paz and Villa Constitución. Results lump together the prices in these 6 zones. We compute a transmission tariff for each of the periods of the simulation which allows the Transco to have the necessary incentives to invest in network expansion. This tariff is calculated by taking into account the fixed tariff resulting from our model as well as congestion rents. Additionally, we apply weights in the same way as the CRE’s mechanism. That is, 70% is considered a charge to consumers, and 30% to generators. Tables 5 and 6 below indicate the results obtained for generators and consumers, respectively, when our calculated tariff (HRV) is compared to the CRE’s one. We take the demand projected by the SENER for the next 10 years. The expected payoff for consumers with both tariffs is calculated. The savings or excess expenditure for consumers under our proposed HRV scheme is also obtained.
Table 5: Comparison of electricity transmission tariffs for generators

Notes: 1/ The analysis is performed only for lower voltages to 220 kV given the data. As the BCS system 2015 had only 2 lines of 230 kV and the remaining 37 lines with a lower voltage. 2/ Demand forecast for southern Baja California (provided by SENER).
Table 6: Comparison of electricity transmission tariffs for consumers

Note: 1/ Demand forescat for southern Baja California (provided by SENER).
Results then show that consumers’ spending is less under our model. Figure 11 illustrates this.
Figure 11 shows a lower tariff implied by our incentive model than that calculated by the CRE for both network users. It can also be noted that in the case of generators the tariff difference is not very significant. However, in the case of consumers the difference is quite large over all periods. This could indicate that the tariff being charged to consumers by the CRE is non-optimal.
Conclusions
This paper carried out the application of a hybrid merchant-regulatory mechanism so as to obtain transmission welfare-maximizing tariffs for the Southern Baja Californian electricity system. We further compared our obtained tariffs with the corresponding ones used by the Mexican regulator, CRE, to set the CFE’S transmission prices. The CRE actually obtains these tariffs through a two-stage process. In the first stage, the CFE’S required income is determined based on operation and maintenance costs, adjusted by efficiency and inflation factors. In the second stage, a weight is established depending on the tension level at which a network link is being used. This permits to reflect the long-run marginal costs of developing transmission links. Two types of tariffs are then obtained for each tension level. One for generators and another one for consumers. We showed that this CRE’S mechanism does not result in welfare efficient pricing and, additionally, does not provide invectives to expand the network efficiently.
In contrast, our model proposes an incentive price-cap regulation regime over the CFE’S Transco within a competitive nodal-price electricity market that is operated by an ISO (CENACE). Our price-cap formula really establishes a limit on the Transco’s two-part tariff, relying on Laspeyres weights, and incents the expansion of the transmission grid through the rebalancing of the fixed and variable parts of the tariff. This process gradually diminishes congestion rents but the Transco is able to compensate the loss in such rents by increasing the fixed-part of the tariff, a process that inter-temporally eventually leads to convergence to a welfare optimal steady state. The transition to such state is also carried out in a way that both consumer and producer surpluses increase over time.
The comparison of our tariffs with the CRE’S tariffs for Southern Baja California was done under two cases on nodal structure, using real data from CENACE. In a first aggregated case, we assumed a three-node market. In the second disaggregated case, a more detailed thirty-one node structure was modelled. The second case, of course, allows for more detailed results on planned capacity-increase for each transmission line in the system. In both cases, our regulated tariffs align better than the CRE’S tariffs regarding investment incentives to efficiently expand transmission links as well as on eventually converging to optimal social welfare.










nueva página del texto (beta)






























