Clasificación JEL: C63, C67, D57, D59.
INTRODUCCIÓN
El objetivo de este trabajo es determinar la infiuencia que las relaciones con el sector exterior tienen en la generación de rentas de la economía española. Se trata de comprobar la importancia que tienen el comercio y las transacciones internacionales para la economía en general y para cada rama productiva en particular, buscando aislar dicho efecto del derivado del sistema económico nacional. De esta forma, además de poder explicitar la relevancia global del sector exterior, se establecerá en qué sectores de la economía es especialmente significativa la dependencia del mismo.
Si bien puede pensarse en numerosas formas de aproximarse a este análisis, se propone aquí el uso de un modelo lineal multisectorial; concretamente, una ampliación del modelo tradicional de multiplicadores input-output aplicados a una Matriz de Contabilidad Social (MCS). El interés de utilizar este tipo de herramientas está en la capacidad explicativa de las mismas, que, partiendo de una modelización relativamente sencilla e intuitiva, permite desagregar los diferentes aspectos que surgen de las interrelaciones del flujo circular de la renta. Así, la base de datos de partida, la MCS, ya supone un importante instrumento de análisis, por cuanto permite vislumbrar las relaciones existentes entre todos los agentes de una economía, mostrando todos los flujos de rentas relevantes que conforman la estructura productiva y de distribución.
En general, este tipo de modelos se plantean desde el punto de vista de una economía "cerrada", tomando las relaciones con el sector exterior como algo exógeno, lo que supone una mera inyección de renta que fluye a través del circuito de interrelaciones económicas nacionales y que tiene un efecto multiplicador determinado. Con este proceder, el análisis de los efectos del sector exterior queda difuminado al confundirse con los procedentes de cualquier otra variable de las que habitualmente se consideran como exógenas (como es el caso de formación bruta de capital, empleos del sector público, etc.). Por lo tanto, en el contexto de este trabajo, las relaciones entre los sectores productivos e institucionales internas deben ampliarse para captar de forma expresa los vínculos con el sector exterior, esto es, deben endogeneizarse dichos flujos de forma que el modelo capte adecuadamente la influencia de las transacciones con otros países.
Sin embargo, la inclusión del sector exterior dentro del conjunto de variables endógenas puede inducir, en este tipo de modelos, a una sobrevaloración de los efectos del sector exterior en la economía nacional. Su simple inclusión en el circuito de flujos de la economía supone una retroalimentación entre sector exterior y economía interna que no tiene lugar bajo el supuesto de economía pequeña sin influencia en el exterior. Por ende, es necesario ampliar el modelo lineal de multiplicadores de forma que pueda aislarse e incorporarse al análisis la influencia del sector exterior en el sistema económico nacional, dejando fuera la irreal relación inversa. Se trata, por tanto, de recoger de forma explícita como afectan las relaciones económicas con el exterior a la generación interna de rentas, sin que el modelo sobreestime estas relaciones con una ficticia influencia de la economía nacional en las decisiones y actividades del exterior. Los trabajos de Llop y Manresa (2003) y Mainar, Fuentes-Saguar y Cardenete (2012) presentan una aportación metodológica novedosa e interesante en este sentido.
El resto del trabajo se estructura como sigue: en los dos siguientes apartados se describe la metodología seguida para alcanzar los objetivos propuestos, primero presentando brevemente la MCS de España para 2008 (SAMESP08) y, a continuación, describiendo el modelo de multiplicadores y su descomposición, lo que será aquí la herramienta básica de análisis. Posteriormente, se presentan los principales resultados obtenidos, finalizando el trabajo con un apartado de conclusiones.
LA MATRIZ DE CONTABILIDAD SOCIAL DE ESPAÑA, 2008
El interés que se ha mostrado en los últimos años por las matrices de contabilidad social ha venido marcado por la doble función que pueden desempeñar dentro del ámbito del estudio y análisis económico: por una parte, como mero documento contable que registra para un periodo concreto de tiempo el circuito de flujos de la renta en una economía determinada; por otra, como sirviendo de base de datos fundamental para la aplicación de modelos y el contraste de teorías y otras conjeturas económicas.
Una MCS es una base de datos que recoge y organiza, en una matriz cuadrada, la información económica y social de todas las transacciones entre todos los agentes de una economía en un momento determinado del tiempo. Su origen está en el intento de integrar las estadísticas sociales en el modelo input-output de interdependencia de los sectores productivos, representando de forma matricial una ampliación de estos modelos. Los inicios del análisis a partir de matrices de contabilidad social están en Stone (1962) y Pyatt y Round (1979), entre otros, y las aplicaciones en España a partir de trabajos como los de Kehoe et al . (1988) y Polo, Roland-Holst y Sancho (1990), quienes elaboraron la primera MCS cuadrada para 1987; Uriel et al . (1997) presentan la MCS para 1990, y Cardenete y Sancho (2003) publican la MCS para 1995 a precios de adquisición.

Fuente: Fuentes y Mainar (2014).
Figura 1. Estructura abreviada de la MCS de España, 2008 (SAMESP08)
Las tablas input-output recogen la interdependencia de los sectores productivos y su relación con la demanda final, pero las MCS, además, incorporan todas las transacciones que se realizan entre los factores productivos y los componentes de la demanda final, ampliando con ello la información que ofrecen las tablas input-output y completando el flujo circular de la renta en una matriz cuadrada.
La información estadística principalmente necesaria es la procedente del marco inputoutput de España elaborado por el Instituto Nacional de Estadística, lo que determina el año elegido para la elaboración de la base de datos. Además, es precisa la información procedente de la Contabilidad Nacional , de la Encuesta de Presupuestos Familiares , y demás documentos.
En este trabajo se ha utilizado la MCS de España para 2008, la SAMESP08, construida siguiendo el esquema anterior y que se presenta en Fuentes y Mainar (2014). La SAMESP08 aquí utilizada (reducida a partir de la original presentada en el trabajo citado) consta de 36 actividades productivas, los factores capital y trabajo, una cuenta combinada de capital (ahorro-inversión), los sectores institucionales Hogares, Sociedades y Administraciones Públicas y un sector exterior desglosado en Unión Europea y Resto del Mundo.
MULTIPLICADORES LINEALES BASADOS EN MATRICES DE CONTABILIDAD SOCIAL. ANÁLISIS DE DESCOMPOSICIÓN
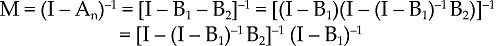
La formulación de los modelos lineales de los que se obtienen los multiplicadores parte de la expresión general siguiente:
donde yn es el vector columna de rentas de las cuentas endógenas; An es la matriz de propensiones medias al gasto de las diferentes cuentas endógenas, cuyos componentes a ij representan el gasto realizado en la cuenta i por cada unidad monetaria de gasto o empleo total de j , y x es el vector que contabiliza el total de los flujos de renta que las cuentas endógenas reciben de las cuentas exógenas.
La matriz M es la matriz de multiplicadores contables, cuyos componentes m ij reflejan el impacto que una unidad exógena de renta, sobre una cuenta endógena j , genera en la renta de la cuenta endógena i . La suma de las columnas de la matriz de multiplicadores contables indicaría el efecto total de un shock exógeno recibido por una cuenta endógena sobre el resto de la actividad económica (efecto arrastre). Por ello, una columna de esta matriz, cuya suma fuera un valor muy alto, estaría indicando una cuenta que tiene una gran influencia sobre el resto de la economía cuando recibe un shock exógeno que puede ser provocado por una política económica u otro acontecimiento externo. Análogamente, la suma de las filas permite obtener el llamado efecto absorción, que refleja el crecimiento experimentado por el sector ante un incremento exógeno unitario en los recursos de todas las cuentas endógenas.
La elección de las variables endógenas depende de los objetivos del análisis. Así, tradicionalmente se consideran como tal a las actividades productivas, los factores de producción (trabajo y capital) y los sectores institucionales de consumo privado, quedando el resto (ahorro/inversión, gobierno y sector exterior) como cuentas exógenas. De esta forma, se considera el proceso de generación de rentas en un flujo circular propio de una economía cerrada. Sin embargo, en este trabajo se busca precisamente analizar en profundidad el efecto de las relaciones con el sector exterior en dicha generación de rentas, por lo que este planteamiento tradicional resulta insuficiente. Por lo tanto, aquí va a considerarse también a las cuentas del sector exterior como endógenas, incorporándolas al flujo circular de la renta.
Pero esa incorporación del sector exterior al conjunto de variables endógenas tiene un riesgo en la interpretación de los datos resultantes de los multiplicadores. La inclusión de las relaciones exteriores en el flujo circular y sus interacciones implica que dichos multiplicadores están construidos permitiendo que la economía nacional tenga influencia en la del resto del mundo, lo que no es posible bajo el supuesto de país pequeño que debe considerarse en el análisis de la economía española. Por ende, la matriz M resultante de aplicar el modelo lineal, tomando como endógena la cuenta del sector exterior, está claramente sobreestimada (como se ha señalado en la introducción), mostrando unos efectos multiplicadores que no son reales.
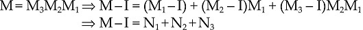
Para evitar este problema, es necesario conocer de forma más precisa el mecanismo a través del cual se produce el proceso multiplicador. Para ello se va a recurrir a la técnica de descomposición de multiplicadores. Pioneros en este tipo de análisis son los trabajos de Stone (1978), que lleva a cabo una descomposición aditiva, y el de Pyatt y Round (1979), en el que la matriz de multiplicadores contables es descompuesta en el producto de otras tres matrices. Posteriormente, han sido elaboradas diversas extensiones como las de Defourny y Thorbecke (1984) y Pyatt y Round (1985). Para España pueden destacarse, entre otros trabajos, los de Polo, Roland-Holst y Sancho (1991), De Miguel, Manresa y Ramajo (1998) y Cardenete y Sancho (2003).
La metodología aquí empleada ha consistido en descomponer inicialmente la matriz de coeficientes de las variables endógenas, An, en dos matrices:
B1 incluye a las cuentas de las ramas de actividad, las de los factores productivos y las de consumo, haciendo cero los valores de la fila y columna del sector exterior, y B2 contiene únicamente los valores de la cuenta de sector exterior, siendo cero el resto, es decir, B2 = An - B1.
Tomando esta descomposición se tiene:
Si se define D = (I - B1)-1 B2 y se tiene en cuenta que:
puede expresarse la matriz de multiplicadores contables como el producto de tres matrices:
M = (I - B1)-1 es la matriz de efectos propios o internos y recoge los efectos que las cuentas exógenas tienen sobre la economía debido, exclusivamente, a las relaciones e interacciones entre las cuentas internas de la economía, es decir, a partir del flujo económico entre las actividades y factores productivos y el sector de consumo.
M2 = (I + D) es la matriz de efectos abiertos, que refleja, en este caso, los efectos directos sobre el resto de cuentas de un incremento unitario recibido por las cuentas del sector exterior. También recoge el efecto en dicha cuenta del incremento de las importaciones producido, mediante los efectos propios, por aumentos exógenos en las cuentas nacionales. Finalmente, M3 = (I - D2)-1, denominada generalmente matriz de efectos circulares, representa el efecto generado por el flujo circular de la renta en la economía ante shocks exógenos de renta en cualquiera de las cuentas endógenas.
No obstante, la interpretación de estos efectos es compleja, siendo más fácil explicar la descomposición de la matriz M mediante la suma de tres submatrices de efectos netos:
N1 representa los efectos propios netos que recogen los efectos derivados de la producción directa o indirecta requerida de las actividades productivas para satisfacer la nueva demanda exógena, así como de las rentas generadas (vía factor trabajo y factor capital y cuenta de consumo) en dicho proceso durante las sucesivas interacciones. Esto es, recoge el efecto del flujo circular de la renta de la economía cerrada, considerando sólo el proceso de retroalimentación interna.
Mención especial merece el componente N2. Éste se corresponde con los efectos abiertos netos y contiene los impactos de las exportaciones de los sectores de la economía y los causados por las transferencias externas recibidas, así como el impacto en el exterior del aumento de importaciones que se produce cuando crece la actividad interna. Reúne, por tanto, los efectos que surgen de la aportación del sector exterior al sistema de generación de rentas, representando la relación entre la economía nacional y el sector exterior.
Por último, N3 agrupa los efectos circulares netos, es decir, el resto de efectos no incluidos en N1 y N2.
EFECTOS DEL SECTOR EXTERIOR EN LA ECONOMÍA ESPAÑOLA
Tomando como base de datos la SAMESP08, presentada previamente, se ha aplicado el modelo lineal descrito en el apartado anterior. De esta forma, se han considerado como variables endógenas las 36 actividades productivas, los factores capital y trabajo, la cuenta de ahorro-inversión, los sectores institucionales Hogares y Sociedades y, respondiendo al objetivo del trabajo, a las cuentas del sector exterior.
Así, se han calculado tanto la matriz de multiplicadores contables, M, como su descomposición aditiva en N1, N2 y N3. Como se ha señalado al definir el modelo utilizado, los valores de N3 y, por ende, los de M se encuentran sobrevalorados cuando se introduce como variable endógena al sector exterior, por cuanto suponen que el mismo se ve influenciado por los procesos económicos internos. Por ejemplo, las importaciones crecen cuando se produce un aumento en la producción debido a un hipotético incremento unitario de la demanda exógena en cualquiera de las actividades productivas. Entonces, si se toman los valores totales de M, se está considerando que el consecuente incremento de rentas en el sector exterior se traduce en unas mayores exportaciones de la economía nacional, lo que supone una influencia de la misma incoherente con la hipótesis de país pequeño que asume.
Por lo tanto, para el logro de los objetivos de este trabajo, resultan de interés los valores de N1 y N2, mediante los cuales se ven los efectos propios de la economía interna y la contribución inducida por el sector exterior, respectivamente. Así, el primer resultado que ilustra la relevancia del sector exterior es el valor medio de los multiplicadores para todos los sectores productivos. En el caso de los indicadores de arrastre, este valor medio se sitúa en 5.17 para los efectos propios netos, mientras que el valor de los efectos abiertos netos es de 0.62. En cuanto a los efectos difusión, la influencia del sector exterior es claramente inferior, con un valor de 0.17 para los efectos de ciclo abierto, frente al 2.58 de los efectos propios.
En el cuadro 1 se presentan las sumas por columnas de dichas matrices, es decir, los efectos backward o de arrastre, mientras que las correspondientes sumas por filas (efectos forward o de absorción) se muestran en el cuadro 2. En ambos cuadros se señala la posición relativa de cada sector de actividad en cuanto a los efectos propios, efectos abiertos y la suma de ambos.
Cuadro 1 Efectos multiplicadores de arrastre netos. Posición de los sectores y cuentas
| Efectos | Posición | |||||
|---|---|---|---|---|---|---|
| Propios | Ciclo abierto | Propios | Ciclo abierto | Propios +ciclo abierto | ||
| S_1 | Agricultura, ganadería y silvicultura | 6.13 | 0.65 | 14 | 12 | 11 |
| S_2 | Pesca y acuicultura | 4.06 | 0.72 | 28 | 8 | 28 |
| S_3 | Industrias extractivas | 0.86 | 0.94 | 35 | 1 | 35 |
| S_4 | Productos alimenticios, bebidas y tabaco | 5.70 | 0.65 | 16 | 13 | 16 |
| S_5 | Industria textil y de la confección, cuero y calzado | 3.13 | 0.78 | 32 | 4 | 32 |
| S_6 | Industria de la madera y el corcho | 5.28 | 0.64 | 23 | 16 | 23 |
| S_7 | Industria del papel, edición, artes gráficas y reproducción de soportes grabados | 5.31 | 0.63 | 21 | 17 | 21 |
| S_8 | Coquerías, refino de petróleo y tratamiento de combustibles nucleares | 1.83 | 0.90 | 34 | 2 | 34 |
| S_9 | Industria química | 3.45 | 0.77 | 31 | 6 | 31 |
| S_10 | Industria de la transformación del caucho y materias plásticas | 4.29 | 0.71 | 27 | 9 | 27 |
| S_11 | Industria de otros productos minerales no metálicos | 5.51 | 0.61 | 19 | 18 | 19 |
| S_12 | Metalurgia y fabricación de productos metálicos | 4.45 | 0.70 | 25 | 10 | 25 |
| S_13 | Industria de la construcción de maquinaria y equipo mecánico | 3.49 | 0.76 | 30 | 7 | 30 |
| S_14 | Reparación e instalación de maquinaria y equipo | 5.42 | 0.61 | 20 | 19 | 20 |
| S_15 | Industria de material y equipo eléctrico, electrónico y óptico | 2.89 | 0.81 | 33 | 3 | 33 |
| S_16 | Fabricación de material de transporte | 3.59 | 0.78 | 29 | 5 | 29 |
| S_17 | Industria manufactureras diversas | 4.36 | 0.69 | 26 | 11 | 26 |
| S_18 | Producción y distribución de energía eléctrica, gas y agua | 5.30 | 0.64 | 22 | 15 | 22 |
| S_19 | Construcción | 6.62 | 0.50 | 2 | 28 | 1 |
| S_20 | Venta, mantenimiento y reparación de vehículos de motor, motocicletas y ciclomotores; venta al por menor de combustible para vehículos de motor | 6.37 | 0.52 | 10 | 24 | 8 |
| S_21 | Comercio al por mayor e intermediarios del comercio, excepto de vehículos de motor | 6.48 | 0.51 | 5 | 25 | 5 |
| S_22 | Comercio al por menor, excepto el comercio de vehículos de motor, motocicletas y ciclomotores; reparación de efectos personales y enseres domésticos | 6.62 | 0.48 | 1 | 30 | 2 |
| S_23 | Hostelería | 6.47 | 0.50 | 6 | 27 | 6 |
| S_24 | Transporte terrestre, por tubería, marítimo, aéreo y actividades anexas a los transportes | 5.60 | 0.58 | 18 | 20 | 18 |
| S_25 | Correos y telecomunicaciones | 6.17 | 0.54 | 13 | 22 | 13 |
| S_26 | Intermediación financiera, seguros y auxiliares a la intermediación | 5.98 | 0.50 | 15 | 26 | 15 |
| S_27 | Actividades inmobiliarias y de alquiler | 6.20 | 0.46 | 11 | 33 | 14 |
| S_28 | Investigación y desarrollo, actividades informáticas y otros servicios empresariales | 5.66 | 0.57 | 17 | 21 | 17 |
| S_29 | Administración pública, defensa y seguridad social obligatoria | 6.42 | 0.46 | 8 | 34 | 9 |
| S_30 | Educación | 6.60 | 0.44 | 4 | 35 | 4 |
| S_31 | Actividades sanitarias y veterinarias, servicios sociales | 6.43 | 0.47 | 7 | 32 | 7 |
| S_32 | Actividades de saneamiento público | 4.98 | 0.64 | 24 | 14 | 24 |
| S_33 | Actividades asociativas | 6.38 | 0.48 | 9 | 31 | 10 |
| S_34 | Actividades recreativas, culturales y deportivas | 6.19 | 0.52 | 12 | 23 | 12 |
| S_35 | Actividades diversas de servicios personales | 6.60 | 0.49 | 3 | 29 | 3 |
| Valor medio (actividades productivas) | 5.17 | 0.62 | - | - | - | |
Fuente: elaboración propia a partir de SAMESP08.
Cuadro 2 Efectos multiplicadores de absorción netos. Posición de los sectores y cuentas
| Efectos | Posición | |||||
|---|---|---|---|---|---|---|
| Propios | Ciclo abierto | Propios | Ciclo abierto | Propios + ciclo abierto | ||
| S_1 | Agricultura, ganadería y silvicultura | 2.01 | 0.13 | 19 | 18 | 19 |
| S_2 | Pesca y acuicultura | 0.17 | 0.01 | 35 | 35 | 35 |
| S_3 | Industrias extractivas | 2.85 | 0.15 | 12 | 16 | 13 |
| S_4 | Productos alimenticios, bebidas y tabaco | 4.78 | 0.29 | 5 | 6 | 5 |
| S_5 | Industria textil y de la confección, cuero y calzado | 1.41 | 0.10 | 23 | 22 | 23 |
| S_6 | Industria de la madera y el corcho | 0.78 | 0.04 | 29 | 29 | 29 |
| S_7 | Industria del papel, edición, artes gráficas y reproducción de soportes grabados | 2.05 | 0.11 | 18 | 20 | 18 |
| S_8 | Coquerías, refino de petróleo y tratamiento de combustibles nucleares | 2.15 | 0.17 | 17 | 13 | 17 |
| S_9 | Industria química | 2.75 | 0.23 | 13 | 9 | 14 |
| S_10 | Industria de la transformación del caucho y materias plásticas | 1.17 | 0.08 | 26 | 24 | 25 |
| S_11 | Industria de otros productos minerales no metálicos | 1.55 | 0.11 | 21 | 19 | 21 |
| S_12 | Metalurgia y fabricación de productos metálicos | 4.41 | 0.35 | 7 | 3 | 7 |
| S_13 | Industria de la construcción de maquinaria y equipo mecánico | 1.52 | 0.13 | 22 | 17 | 22 |
| S_14 | Reparación e instalación de maquinaria y equipo | 0.45 | 0.03 | 32 | 32 | 32 |
| S_15 | Industria de material y equipo eléctrico, electrónico y óptico | 2.29 | 0.19 | 15 | 12 | 15 |
| S_16 | Fabricación de material de transporte | 2.68 | 0.34 | 14 | 5 | 12 |
| S_17 | Industria manufactureras diversas | 0.94 | 0.07 | 27 | 26 | 27 |
| S_18 | Producción y distribución de energía eléctrica, gas y agua | 3.60 | 0.16 | 10 | 15 | 10 |
| S_19 | Construcción | 11.35 | 0.89 | 1 | 1 | 1 |
| S_20 | Venta, mantenimiento y reparación de vehículos de motor, motocicletas y ciclomotores; venta al por menor de combustible para vehículos de motor | 1.17 | 0.07 | 25 | 25 | 26 |
| S_21 | Comercio al por mayor e intermediarios del comercio, excepto de vehículos de motor | 4.10 | 0.25 | 8 | 7 | 8 |
| S_22 | Comercio al por menor, excepto el comercio de vehículos de motor, motocicletas y ciclomotores; reparación de efectos personales y enseres domésticos | 3.25 | 0.17 | 11 | 14 | 11 |
| S_23 | Hostelería | 4.85 | 0.24 | 4 | 8 | 4 |
| S_24 | Transporte terrestre, por tubería, marítimo, aéreo y actividades anexas a los transportes | 5.26 | 0.34 | 3 | 4 | 3 |
| S_25 | Correos y telecomunicaciones | 2.22 | 0.10 | 16 21 | 16 | |
| S_26 | Intermediación financiera, seguros y auxiliares a la intermediación | 4.01 | 0.21 | 9 | 11 | 9 |
| S_27 | Actividades inmobiliarias y de alquiler | 4.53 | 0.23 | 6 | 10 | 6 |
| S_ | Investigación y desarrollo, actividades informáticas y otros servicios empresariales | 6.35 | 0.43 | 2 | 2 | 2 |
| S_29 | Administración pública, defensa y seguridad social obligatoria | 0.45 | 0.03 | 31 | 31 | 31 |
| S_30 | Educación | 0.63 | 0.03 | 30 | 30 | 30 |
| S_31 | Actividades sanitarias y veterinarias, servicios sociales | 1.27 | 0.06 | 24 | 27 | 24 |
| S_32 | Actividades de saneamiento público | 0.85 | 0.04 | 28 | 28 | 28 |
| S_33 | Actividades asociativas | 0.25 | 0.01 | 34 | 34 | 34 |
| S_34 | Actividades recreativas, culturales y deportivas | 1.73 | 0.09 | 20 | 23 | 20 |
| S_35 | Actividades diversas de servicios personales | 0.34 | 0.02 | 33 | 33 | 33 |
| Valor medio (actividades productivas) | 2.58 | 0.17 | ||||
Fuente: elaboración propia a partir de SAMESP 08.
De esta forma, puede observarse que los mayores efectos de arrastre generados en el contexto de una economía "cerrada" (el término no es exacto, pero resume la procedencia de los multiplicadores incluidos en N1) corresponden al sector Comercio al por menor (6.62), seguido de Construcción (6.62) y de Actividades diversas de servicios personales (6.60). Por encima del valor medio (5.17) se encuentran todas las actividades del sector terciario (excepto Saneamiento público), mientras que en el resto de actividades destacan especialmente las relacionadas con Agricultura y alimentación (6.13), Productos alimenticios, bebidas y tabaco (5.70) y Reparación e instalación de maquinaria y equipo (5.42).
No obstante, el efecto del sector exterior N2 alcanza su valor máximo en sectores energéticos como Industrias extractivas (0.94) y Coquerías, refino y combustibles nucleares (0.90). Otros sectores con valores destacables en este sentido son Industria del material eléctrico, electrónico y óptico (0.81), Industria textil (0.78), Fabricación de material de transporte (0.78) e Industria química (0.77). Resulta significativo el hecho de que son los servicios los que presentan los menores valores en la suma de las columnas de N2, oscilando entre el 0.44 de Educación y el 0.64 de Saneamiento público.
Respecto a los efectos absorción, al margen del valor máximo de efectos propios detectado en Construcción (11.35), resulta destacable el hecho de que los multiplicadores más altos se encuentran entre los servicios. Así, Investigación y desarrollo (6.35), Transporte terrestre (5.26) y Hostelería (4.85) obtienen los mayores valores dentro de N1, destacando, en cualquier caso, entre el resto de sectores no de servicios, el sector de Productos alimenticios, bebidas y tabaco (4.78), Metalurgia (4.41), Producción y distribución de energía eléctrica, gas y agua (3.60) e Industrias extractivas (2.85).
En cuanto a los efectos netos de ciclo abierto en los multiplicadores de absorción, la ordenación de sectores es muy similar a la correspondiente a los efectos propios, si bien adquieren una mayor importancia ahora los sectores de Metalurgia (0.35) y Fabricación de material de transporte (0.34), que se sitúan al nivel de los sectores de servicios. El valor del componente de ciclo abierto para el propio sector exterior (14.65 en los países de la Unión Europea y 9.77 para el resto del mundo) indica la repercusión que en el mismo tienen las importaciones inducidas por los aumentos de producción generados por aumentos exógenos en los recursos de las actividades productivas.
En las gráficas 1 y 2 puede observarse como el sector exterior incide en mayor o menor medida en los sectores productivos, tanto en términos de efectos arrastre como en lo relativo a efectos absorción. En el cuadro 3 se cuantifica cómo la inclusión del sector exterior incrementa el efecto multiplicador del efecto propio. Como puede comprobarse, en el caso de los multiplicadores de absorción, los componentes de ciclo abierto son claramente inferiores a los denominados propios, siendo en promedio el 6.5% del valor de estos para las actividades productivas. Destacan, no obstante, los altos porcentajes observados en Fabricación de material de transporte (12.6%) e Industria de la construcción de maquinaria y equipo mecánico (8.8%), que indican una mayor incidencia en estos sectores del comercio exterior a la hora de beneficiarse de inyecciones exógenas en las exportaciones.

Fuente: elaboración propia a partir de SAMESP08
Gráfica 1 Efectos propios y de ciclo abierto. Suma por columnas (backward/arrastre)

Fuente: elaboración propia a partir de SAMESP08
Gráfica 2 Efectos propios y de ciclo abierto. Suma por filas (forward/absorción)
Cuadro 3 Porcentaje que suponen los efectos de ciclo abierto (netos) sobre los efectos propios (netos) (N2/N1) (porcentajes)
| Backward /Arrastre | Forward /Absorción | ||
|---|---|---|---|
| S_1 | Agricultura, ganadería y silvicultura | 10.7 | 6.4 |
| S_2 | Pesca y acuicultura | 17.8 | 5.7 |
| S_3 | Industrias extractivas | 108.4 | 5.1 |
| S_4 | Productos alimenticios, bebidas y tabaco | 11.4 | 6.2 |
| S_5 | Industria textil y de la confección, cuero y calzado | 25.0 | 7.1 |
| S_6 | Industria de la madera y el corcho | 12.1 | 4.5 |
| S_7 | Industria del papel, edición, artes gráficas y reproducción de soportes grabados | 11.8 | 5.3 |
| S_8 | Coquerías, refino de petróleo y tratamiento de combustibles nucleares | 49 | 5 |
| S_9 | Industria química | 22.4 | 8.5 |
| S_10 | Industria de la transformación del caucho y materias plásticas | 16.5 | 7.2 |
| S_11 | Industria de otros productos minerales no metálicos | 11.2 | 7.3 |
| S_12 | Metalurgia y fabricación de productos metálicos | 15.8 | 8.0 |
| S_13 | Industria de la construcción de maquinaria y equipo mecánico | 21.8 | 8.8 |
| S_14 | Reparación e instalación de maquinaria y equipo | 11.2 | 5.9 |
| S_15 | industria de material y equipo eléctrico, electrónico y óptico | 28.0 | 8.2 |
| S_16 | Fabricación de material de transporte | 21.6 | 12.6 |
| S_17 | Industria manufactureras diversas 15.8 | 6.9 | |
| S_18 | Producción y distribución de energía eléctrica, gas y agua | 12.1 | 4.5 |
| S_19 | Construcción | 7.6 | 7.8 |
| S_20 | Venta, mantenimiento y reparación de vehículos de motor, motocicletas y ciclomotores; venta al por menor de combustible para vehículos de motor | 8.1 | 5.9 |
| S_21 | Comercio al por mayor e intermediarios del comercio, excepto de vehículos de motor | 7.8 | 6.2 |
| S_22 | Comercio al por menor, excepto el comercio de vehículos de motor, motocicletas y ciclomotores; reparación de efectos personales y enseres domésticos | 7.3 | 5.2 |
| S_23 | Hostelería | 7.8 | 4.9 |
| S_24 | Transporte terrestre, por tubería, marítimo, aéreo y actividades anexas a los transportes | 10.3 | 6.5 |
| S_25 | Correos y telecomunicaciones | 8.7 | 4.5 |
| S_26 | Intermediación financiera, seguros y auxiliares a la intermediación | 8.4 | 5.2 |
| S_27 | Actividades inmobiliarias y de alquiler | 7.5 | 5.1 |
| S_28 | Investigación y desarrollo, actividades informáticas y otros servicios empresariales | 10.1 | 6.7 |
| S_29 | Administración pública, defensa y seguridad social obligatoria | 7.1 | 6.3 |
| S_30 | Educación | 6.6 | 4.8 |
| S_31 | Actividades sanitarias y veterinarias, servicios sociales | 7.3 | 4.7 |
| S_32 | Actividades de saneamiento público | 12.8 | 4.7 |
| S_33 | Actividades asociativas | 7.5 | 4.8 |
| S_34 | Actividades recreativas, culturales y deportivas | 8.4 | 5.0 |
| S_35 | Actividades diversas de servicios personales | 7.4 | 4.8 |
| Valor medio (actividades productivas) | 12.0 | 6.5 |
Fuente: elaboración propia a partir de SAMESP 08.
Finalmente, en cuanto a los efectos de arrastre puede comprobarse una mayor influencia de las relaciones con el exterior, siendo los efectos de ciclo abierto correspondientes, en promedio, el 12% del valor de los efectos propios. Esto es, las transacciones con el exterior incrementan en un 12%, en media, el efecto multiplicador de inyecciones de renta exógenas en las variables endógenas. Como se observa en el cuadro 3, los sectores en los que el comercio exterior resulta especialmente influyente son los energéticos, como Industrias extractivas o Coquerías, refino y combustibles nucleares, destacando, entre las industrias y manufacturas, los sectores de la Industria textil, la Industria del material eléctrico, electrónico y óptico, Fabricación de material de transporte y la Industria química.
CONCLUSIONES
Como se proponía en el planteamiento inicial, el objetivo principal de este trabajo era cuantificar la influencia de las relaciones con el sector exterior en el sistema económico español, tanto de forma agregada como considerando las diferentes ramas y sectores productivos. Puesto que se pretendía analizar los efectos producidos por las diferentes interrelaciones no sólo del sector exterior, sino entre los propios sectores nacionales, se ha recurrido al uso de modelos multisectoriales, concretamente a los modelos lineales asociados a matrices de contabilidad social. La versatilidad de esta base de datos y la sencillez de interpretación de este tipo de modelos justificaban el uso de esta herramienta, utilizándose aquí la construida para la economía española para 2008, SAMESP08 (véase Fuentes y Mainar, 2014).
Como elemento fundamental del análisis aquí realizado, se ha ampliado el supuesto habitual de exogeneidad del sector exterior en este tipo de modelo, incluyéndolo en el conjunto de variables endógenas, de forma que pudiese reflejarse su efecto en el circuito de generación de rentas. Sin embargo, la mera realización de este ejercicio podría conducir a error, puesto que supondría sobrevalorar los efectos multiplicadores de las inyecciones exógenas de renta al violarse el supuesto de país pequeño sin influencia en el exterior. Para evitar este problema, se ha recurrido a la descomposición aditiva de los multiplicadores resultantes, aislando el efecto de ciclo abierto del sector exterior y obviando los irreales efectos circulares contenidos en los multiplicadores totales.
Los resultados obtenidos muestran una clara influencia del sector exterior como elemento que incrementa el efecto de arrastre propio de las ramas productivas, aumentando (en promedio) un 12% lo generado por dichos efectos, destacando especialmente en los grupos de actividades energéticas y en la producción de la Industria textil, la Industria del material eléctrico, electrónico y óptico, Fabricación de material de transporte y la Industria química. En cuanto a los efectos de absorción, la influencia es inferior, incrementando los efectos multiplicadores propios en 6.5 por ciento.
También resulta destacable el comportamiento de los sectores de servicios, en los que la influencia del sector exterior en sus efectos backward o de arrastre es claramente inferior al resto, observándose la situación contraria al analizarse los efectos forward o difusión.
Por último, cabe señalar que el análisis realizado permite una primera aproximación, desde los modelos lineales, a la cuantificación de la importancia e influencia del sector exterior en la generación de rentas de la economía española, tanto agregada, como sectorialmente, siendo factible realizar sobre el ampliaciones y sofisticaciones que posibiliten un estudio todavía más detallado.










nueva página del texto (beta)








