SciELO - Scientific Electronic Library Online

 
vol.74 número294Eficiencia técnica en la industria manufacturera en México índice de autoresíndice de materiabúsqueda de artículos
Home Pagelista alfabética de revistas  

Servicios Personalizados

Revista

Articulo

Indicadores

Links relacionados

  • No hay artículos similaresSimilares en SciELO

Compartir


Investigación económica

versión impresa ISSN 0185-1667

Inv. Econ vol.74 no.294 Ciudad de México oct./dic. 2015

https://doi.org/10.1016/j.inveco.2015.11.001 

Artículo para el debate científico

Is fiscal policy coordination desirable for a monetary union? An assessment from the perspective of a small open economy

René Cabrala  * 

Rocío García Díazb 

a EDAGE Business School, Tecnológico de Monterrey (Mexico)

b Department of Economics of the Tecnológico de Monterrey, Campus Monterrey (Mexico)


ABSTRACT

Motivated by the recent experience of Greece and other relatively small European Monetary Union members, this paper examines the appeal of taking part in a large monetary union from the perspective of small open economies. We show that in the absence of fiscal policy considerations, taking part in a large monetary union is counterproductive for a small economy. Nevertheless, once the role of fiscal policy is properly incorporated, taking part in the monetary union becomes desirable from a social perspective. Following these results, we explore the prospects of engaging both economies in fiscal coordination and on how different schemes of policy synchronization can provide the grounds to make cooperation beneficial for the members of a monetary union. We find that when monetary and fiscal authorities cooperate and attempt to exploit externalities for their own benefit, a Pareto efficient outcome can be achieved if fiscal policy in the monetary union is coordinated by a central authority and such authority acts as a the Stackelberg leader vis-à-vis the central bank. Our analysis suggests that this regime is superior to (i) a monetary union in which fiscal authorities conduct their policy in an independent or (ii) coordinated fashion, (iii) a regime where both authorities internalize the effects of their own externalities by allowing the central bank to act as Stackelberg leader and (iv) a regime in which the small open economy decides to stay out of the monetary union.

Keywords common central bank; policy coordination; monetary union; monetary leadership; fiscal leadership.

RESUMEN

Motivado por la experiencia reciente de Grecia y otros relativamente pequeños miembros de la Unión Monetaria Europea, este trabajo examina la decisión de tomar parte en una gran unión monetaria desde la perspectiva de las economías pequeñas y abiertas. Se demuestra que, en ausencia de consideraciones de política fiscal, el tomar parte en una gran unión monetaria es contraproducente para una economía pequeña. Sin embargo, una vez que el papel de la política fiscal se incorpora adecuadamente, tomar parte en la unión monetaria se vuelve deseable desde una perspectiva social. A raíz de estos resultados, se exploran diferentes esquemas de coordinación de la política fiscal y monetaria para mostrar cómo la cooperación puede beneficiar a los miembros de una unión monetaria. Encontramos que cuando las autoridades monetarias y fiscales cooperan e intentan explotar las externalidades para su propio beneficio, un resultado Pareto eficiente se puede lograr si la política fiscal en la unión monetaria es coordinada por una autoridad central y dicha autoridad actúa como líder à la Stackelberg frente al banco central. Nuestro análisis sugiere que este régimen es superior a (i) una unión monetaria en la que las autoridades fiscales llevan a cabo su política de forma independiente o (ii) de manera coordinada, (iii) un régimen en el que las dos autoridades internalizan los efectos de sus propias externalidades al permitir que el Banco Central actué como líder à la Stackelberg y (iv) un régimen en el que la pequeña economía abierta decide quedarse fuera de la unión monetaria.

Palabras clave banco central común; coordinación de políticas; unión monetaria; liderazgo monetario; liderazgo fiscal.

Jel Classification: E52, E58, E61, F15.

INTRODUCTION

Since the European Monetary Union (EMU) was implemented, its members benefited from higher price stability and output growth, exchange rate volatility removal, lower interest rates and reduced country risk. Nevertheless, joining EMU also entails some costs. By entering the EMU, member states automatically surrendered their monetary policy instruments to the European Central Bank (ECB) and were automatically constrained by the fiscal rules imposed by the Stability and Growth Pact (SGP).1

The recent financial crisis has shown that even a monetary union, the hardest form of pegged exchange rate regimes, might be ineffective to isolate an economy in the presence of large economic shocks. This is especially the case when, as in the EMU, countries possess different macroeconomic fundamentals and experience diverse economic developments. In this environment, fiscal policy is insufficient to respond to asymmetric shocks, since fiscal imbalances compromise the ability of policymakers to deal with macroeconomic instability and could even feedback into the financial system.

Indeed, according to Moro (2014), although the recent financial crisis in the Euro area is often described as a sovereign debt crisis, in reality it is a sequence of interactions between sovereign problems and financial system problems. He suggests that, as public finances deteriorate, sovereign risk increases and ends up weakening banks' balance sheets. Also Tagkalakis (2013) points out how unsound fiscal policies, by impacting negatively on market confidence, could represent a risk to economic and financial stability. Hence, financial instability can have significant implications on public finances either directly or through its effects on economic activity. Clearly, there is an important interlink age between fiscal policy and financial markets.

In a monetary union where monetary policy is carried out by a single central bank but fiscal policy is the choice of individual members, fiscal instruments like government expenditure and the budget deficit can be chosen in a way that provides imminent welfare gains for one member at the expense of the others. Therefore, the presence of externalities and free-riding incentives might yield inefficient outcomes in the absence of fiscal policy coordination (Ferré, 2008). The existence of this sort of spillovers justifies the case for further policy coordination not just of the monetary authorities but also of the fiscal authorities.

Two strands of literature have addressed the impact of fiscal and monetary policy coordination on the stabilization policies of a monetary union. The first assumes identical economic structures in modeling macroeconomic policymaking and the second, implicitly or explicitly, uses asymmetric structure features. In the first strand of literature, Evers (2015) has recently employed a dynamic stochastic general equilibrium model with two regions to quantitatively assess two different designs of fiscal federalism in a monetary union: fiscal equalization with nominal tax revenue sharing and a common central fiscal authority. Using a fully decentralized regional fiscal authority as a benchmark, he observes that while a central fiscal authority stabilizes regional consumption and increases interregional consumption risk sharing, fiscal equalization somewhat destabilizes regional consumption and income, while lowering the scope of interregional risk sharing.

Meanwhile, Ferré (2008) uses a simple one-period, two-goods and two-country model to define a game in which the fiscal authorities choose whether to coordinate under a broad or a narrow agenda. Narrow coordination is limited to monitoring national economic policies of the union members and challenging practices that could harm price stability, but leaves freedom to choose policy objectives and instruments. In contrast, broad fiscal coordination implies agreement on common policy objectives. He shows that, even though a broad type of coordination is preferred, there will be incentives for fiscal authorities to deviate.2

Literature using implicit or explicit asymmetric structures is less abundant. Levine and Pearlman (2001) analyze the conduct of fiscal and monetary policy in a multi-country setup where all the economies have identical economic structures. A group of "ins" forms a monetary union and a group of "outs" retain monetary sovereignty. Consistent with Martin (1995), they find that, there are significant incentives for countries to decide individually not to join EMU and free-ride from the benefits that staying out of the monetary union provides. In their analysis, asymmetric features implicitly arise when fiscal authorities pertaining to a monetary union form coalitions to cooperate on stabilization. They find that, joining can be convenient only if the "ins" conduct their own fiscal policy in a coordinated fashion; when this happens a large monetary union becomes feasible. Engwerda, Aarle, and Plasmans (2002) introduce asymmetric features in a more explicit form. They employ a two-country dynamic model with asymmetries in the authorities' preferences, some of the model structural parameters and on the bargaining power of the policymakers in collective decisions. They find that cooperation is often efficient for fiscal players but results in considerable losses for the central monetary authority. In the absence of asymmetries, fiscal players' cooperation leads in most of their simulations to a Pareto improvement for them but not for the central monetary authority.3

In this paper we explore the benefits of monetary and fiscal policy coordination from the perspective of a small economy employing a two-country model of policy coordination. We think that the difference between the sizes of the EMU members is an important aspect that may have profound effects on the stabilization of these economies. Hence, this paper focuses on the presence of size asymmetries and the role of fiscal policy in macroeconomic stabilization to shed some light on two particular questions. First, we ask if participating in a monetary union is desirable for small open economies. The second question is whether fiscal coordination is beneficial or counterproductive for those small open economies that surrender their monetary policy to a central authority.

We find that, leaving fiscal policy considerations aside, it is straightforward to conclude that participation in a monetary union is counterproductive for a small economy. The key point to this result is that a small open economy is better off "free riding", and using its own monetary policy to counteract the inflationary pressures produced by supply shocks. Following this result, we expand the analysis to consider the interactions between fiscal and monetary authorities on macroeconomic stabilization. We then observe that, once representative fiscal policymakers have been incorporated into the model, taking part in the monetary union becomes desirable from a social welfare perspective. The reason for this is that, by taking part in stabilization, fiscal authorities concerned about employment respond to shocks by reducing taxes and spending, thus offsetting inflationary pressures and ameliorating unemployment. In addition, under a monetary union regime, the absence of exchange rate volatility and the reduction in taxation are both factors that contribute to decreasing the losses that society experiences in the face of the shock. Finally, the evaluation of three alternative forms of monetary and fiscal policy coordination shows that the pure coordination of fiscal authorities (playing Nash against the central monetary authority) results in a counterproductive strategy for both economies. On harmonizing the interaction between fiscal and monetary authorities, a monetary leadership strategy results in a deterioration of the position of the small economy's fiscal authority position but a fiscal leadership strategy leads to a Pareto improvement from the perspective of both economic authorities and the societies they represent. Hence, a fiscal leadership strategy is not only the most efficient coordination solution, but also the most feasible one.

The rest of this paper is organized as follows. Section 2 presents the two-country model employed in this chapter, the reduced forms of the model, and an analysis of the inflation employment trade-offs faced by monetary and fiscal authorities under the two main regimes considered. The assessment of inflation employment trade-offs explains the intuition behind the free-riding opportunities enjoyed by the authorities of small economies when they operate under non-cooperative regimes. Section 3 assesses the viability of forming a monetary union in the absence of fiscal policy consideration. Section 4 introduces fiscal authorities that maximize society's welfare and reconsiders the feasibility of forming a monetary union between a small and a large economy. Once the convenience of participating in a monetary union has been reassessed in the presence of non-cooperative fiscal stances, this section also examines the viability of engaging both economies in fiscal coordination by evaluating three different fiscal cooperation schemes: the simple coordination of fiscal policymakers playing Nash against the monetary authority, and monetary and fiscal leadership. Finally, Section 5 summarizes the main conclusion and implications of this paper.

THE MODEL

The basic model we employ is based on Canzoneri and Henderson's (1991) two-country model. Asymmetric features are adopted from Ghironi and Giavazzi (1998) and Eichengreen and Ghironi (2002) who have used this model to analyze the optimal size of a currency union and the case for transatlantic policy coordination between the United States (U.S.) and Europe. In order to introduce fiscal policy considerations into the analysis, we follow Jensen (1991), Pizzati (2000), and Eichengreen and Ghironi (2002).

General framework

In the model, all variables are expressed in logarithms except for the interest rate. Each economy specializes in the production of one particular good. Aggregate supplies in both economies are increasing functions of the employment rate (nj ) and decreasing functions of a productivity disturbance x :

1

where 0 < α< 1 and j = h,f . The superscript h denotes the variables of a small home economy, an f those of a large foreign economy (e.g. an already formed monetary union). For simplicity and tractability, we assume that the elasticity of output with respect to employment, α, is the same for both economies. Total labor demand in each economy is determined by profit maximizing firms for which labor demand is complete when the marginal labor productivity is equal to the real wage:

2

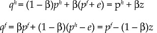
where τ j , w j , and p j are, respectively, the rate of taxation of revenues, the nominal wage rate and the price of the good produce by economy j . Consumer Price Indices (CPIs) are weighted averages of the prices of domestic and foreign goods. Residents in the home economy spend a fraction (1−β) of their income on domestic goods and a fraction β on goods produced in the foreign economy. On the other hand, consumers in the foreign economy spend a fraction β of their income on their own goods and a fraction (1−β) on goods produced in the home economy. The CPIs are then described by:

3

where q h and q f denote the CPIs of the home and the foreign economies, and e and z = e + p f - p h are, respectively, the nominal and real exchange rates. In [3], β is an indicator of the relative size of the two economies and of their integration toward each other. Notice that when β = 1/2 the two economies are identical. As β rises the size of the home economy shrinks, while that of the foreign economy increases. In the extreme case in which β = 1, the home economy is so small that it is not able to affect the foreign economy's CPI at all. Demand is positively influenced by the output of both economies according to the proportion of income they allocate to domestic and foreign-produced goods. The marginal propensity to spend ¿ is the same for both goods and in both economies. Demand is also favorably affected by the two governments' spending on domestic and foreign goods. Residents in the two economies reduce expenditure by the same amount (0 < υ < 1) after an increase in the real interest rate r j . The market equilibrium conditions for the two economies are given by:

4

where δ measures the sensitivity of the demand to the real exchange rate (z ) and ¿ is the marginal propensity to consume.

Clearly, a depreciation of the real exchange rate shifts demand away from the foreign toward the home economy. Notice that when, for instance, β= 1 the real exchange rate does not affect the foreign economy at all. A priori, the ex-ante real interest rate in each economy is defined as the nominal interest rate minus the expected rate of change in its consumer prices index:

5

where i j is the nominal interest rate in economy j . Each economy issues bonds denominated in the domestic currency, which investors regard as perfect substitutes. They hold positive amounts of both kinds of bonds when expected interest rates measured in a common currency are equal to:

6

Money demand in both economies is described by:

7

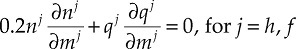
where λ > 0 and m j represent the nominal money supply in economy j . By substituting [1] and [2] into [7] we obtain the semi-reduced form for employment as:

8

Employment rises with increases in money supply and decreases with higher wage rates and taxes. In [8], the nominal interest rate has a positive effect on employment. At the end of period t− 1, trade unions set the nominal wage rate prevailing in period t . Their purpose is to minimize the expected deviations of employment from its full employment target (here normalized to zero). Thus, they minimize the following loss function:

9

Substituting [8] into [9] and minimizing with respect to n j , we obtain the nominal wage rates set by the trade unions as:

10

Trade unions set nominal wages according to the expected stances of monetary and fiscal policymakers in period t and the effect of those stances on the domestic interest rate. In order to focus our attention on the role of strategic interactions between the two economies and on the importance of size asymmetries for the choice of the most appropriate exchange rate regime, we neglect the time inconsistency problems that might arise between the trade unions and the monetary and fiscal authorities in each economy.4 Since shocks are random and non-observable by unions at period t− 1, in the absence of time inconsistency problems expected money supplies and taxes are equal to zero. Hence, the rational decision for trade unions is to set wages equal to zero, w j = 0.5

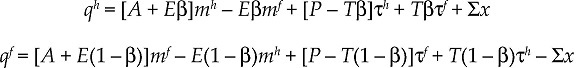
Finally, with no time inconsistency problems, the government budget constraint abstracts from seigniorage as a possible source of revenue. Fiscal authorities face a budget constraint given by:

11

Since our framework is static, we assume that the fiscal authorities cannot issue debt either and consequently are subject to a balanced budget constraint.6

Policymakers' preferences

The money supply is the only instrument that monetary authorities possess. They chose their instrument, mj , to minimize the quadratic loss functions described by:

12

The monetary authorities' losses increase with deviations of employment from zero and positive changes in their CPIs. The parameter σ reflects the weight that policymakers attach to employment and inflation deviations from their targets of zero. In the event that the home and foreign economies decide to constitute a monetary union, a single central authority minimizes the weighted sum of both economies' losses, as given by:

13

For simplicity's sake, we assume that the weight of each economy in the central authority's decisions is proportional to its size in the monetary union.7

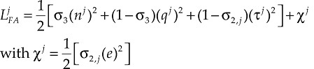
Fiscal authorities' only policy instrument is the rate of taxation of revenues; hence, government spending is obtained residually. In addition to unemployment and inflation, fiscal authorities dislike the volatility of taxation and exchange rates. Fiscal authorities care about exchange rate volatility because of its effect on society's welfare in terms of uncertainty and transaction costs and they dislike the volatility of taxation due to the distortions it imposes on society. Thus, each fiscal authority chooses its instrument, τ j , to minimize:

14

where χj is the cost that exchange rate volatility imposes on society's welfare in economy j , σ2,j , j represents the relative dislike of the fiscal authorities for the volatility of taxation and the nominal exchange rate, and σ3 measures their relative dislike for employment and inflation. An important point to notice in equation [14] is the j subscript in σ2,j. This suggests that, according to their relative size and integration with one another, the two economies' dislike for the volatility of taxation and the exchange rate may differ. As β→1, the home economy becomes not only smaller but also increasingly integrated into the foreign economy; hence, the weight that the home fiscal authority attaches to the exchange rate volatility also increases. Notice that the greater the aversion of the small economy for exchange rate volatility, the more its activism in fiscal policymaking grows (i.e. it reduces its dislike for the volatility of taxation). In the event that the two economies form a single currency union, the nominal exchange rate volatility is no longer a concern for their residents (i.e. (2,j = 0). In that scenario, the loss function observed by the two fiscal authorities is identical and defined as:

15

where σ3 measures the relative aversion of the fiscal authorities for employment and inflation relative to taxation volatility.

For simplicity and tractability we consider the fiscal authority to be benevolent and able to internalize the preferences of the society. Following this assumption, to compare the societies' welfare gains or losses across regimes we only need to contrast the fiscal authorities' losses.

Reduced forms

In this section, we express the employment and inflation endogenous variables of the model in terms of exogenous, predetermined or control variables for the non-cooperative and monetary union regimes.

Non-cooperative (flexible exchange rates) regime

In the absence of cooperation, each economy possesses its own currency and conducts its macroeconomic policy independently. Fiscal and monetary policymakers in both economies choose their instruments by playing Nash against each other.

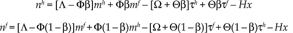
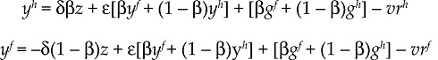
Since the algebra to solve the reduced forms for employment and inflation under flexible exchange rates is cumbersome, we present the derivations of those expressions in Appendix A1. In compact notation and leaving the size parameters [β and (1-β)] clearly expressed, those reduced forms are summarized as:

16

17

where the capital Greek letters A , E , Λ, Φ, Σ and H are a group of positive nonstructural parameters of the model defined in Table 1. In addition to shocks, employment and inflation in both economies are affected by intra-economy policy spillovers. For both economies, regardless of their size, an increase in their own money supply raises domestic inflation and employment, while an expansion of their neighbor's money supply decreases domestic inflation and raises employment. An increase in domestic taxation raises inflation in both economies, causes domestic job losses and increases employment abroad. Meanwhile, the supply shock triggers unemployment and raises inflation in both economies.

Table 1 Non-structural parameters. 

Observing the effect of size asymmetries on these reduced forms, notice that when β= 1 the monetary and fiscal authorities in the trivially small home economy are incapable of affecting the large foreign economy's employment and inflation through changes in their monetary or fiscal stances. Meanwhile, when both economies are size symmetric (i.e. β = 1/2), they both affect each other equally.

Monetary union

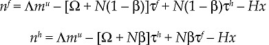
We consider now the case in which the home and foreign economies decide to constitute a monetary union. In this scenario, the nominal exchange rate disappears and the real exchange rate is simply determined by relative prices (i.e. e = 0 and z = p f - p h ). Monetary policy is controlled by a single central bank that issues a single currency; hence, changes in the money supply are identical in both economies. Taking this into consideration, the reduced forms for employment and inflation when the two economies take part in a monetary union are simply given by8:

18

19

where m u is the money supply in the union and N and Q are positive nonstructural parameters defined in Table 1. Notice how under this regime the two economies are equally affected by the central authority's monetary policy. An increase in the taxation of revenues by either of the two governments raises inflation in both economies, generates domestic job losses and increases employment abroad. Meanwhile, the supply shock reduces employment and increases inflation in the same direction and proportion as under flexible regimes.

Inflation-employment trade-offs

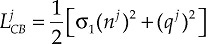
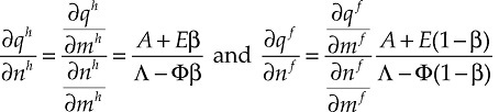
Eichengreen and Ghironi (2002) show that under non-cooperative regimes, size asymmetries give rise to different inflation-employment trade-offs for policymakers.9 In general, they show that authorities in relatively smaller economies face more favorable employment-inflation trade-offs than those confronted by relatively larger economies. For instance, for the reduced forms presented in [16] and [17], the trade-off faced by the central bank in the home economy is steeper as its size gets smaller (i.e.q h /∂n h > ∂q f /∂n f for β> 1/2; see Appendix B1 for proof).

The advantage of having a steeper inflation-employment trade-off for the small economy is illustrated graphically in Figure 1. As can be observed, a larger positive trade-off allows the central bank in the small home economy to exchange a large (given) inflation reduction for a smaller employment loss. Hence, if -as we assume later- central banks care more about inflation than about employment (i.e. σ1 < 1), a steeper trade-off is also more advantageous for the small home economy.

Figure 1 Central banks’ inflation-employment trade-offs 

A similar situation arises in the case of fiscal authorities. For the reduced forms presented in [16] and [17], the trade-off faced by the government in the home economy is flatter as its size gets smaller (i.e. -(∂q h /∂n h ) < ∂q f /∂n f for β > 1/2; see Appendix B2 for proof). As shown in Figure 2, the small economy's fiscal authority is capable of exchanging a higher (given) employment gain for a small price stability loss. Considering that fiscal authorities are more concerned about employment than about inflation, a negative flatter inflation-employment tradeoff allows the government of the home economy to hold a more favorable position regardless of the exchange rate regime considered.

Figure 2 Fiscal authorities’ inflation-employment trade-offs. 

Nevertheless, cooperation between the two economies' monetary and fiscal authorities eliminates the advantage of possessing a more favorable trade-off. Employing the reduced forms for the monetary union regime presented in [18] and [19], it is straightforward to show that once the home economy takes part in the monetary union, the inflation-employment trade-off faced by the central monetary authority is one and the same for both economies. Irrespective of the size of the countries involved, the centralization of monetary policy decisions provides the same inflation-employment trade-off for both economies. The elimination of their more favorable inflation-employment trade-off will have an influence over the ability of the home policymakers to react to shocks. In what follows, we first observe how relinquishing monetary policy independence-with and without fiscal policy considerations- affects the macroeconomic stability of a small economy. Then, we examine how alternative fiscal cooperation schemes can help to ameliorate the stabilization costs endured by the small economy that decides to take part in a monetary union.

ASSESSING A MONETARY UNION REGIME WITHOUT FISCAL POLICY CONSIDERATIONS

The purpose of this section is twofold. The first is to draw attention to the relevance of size asymmetries for macroeconomic policymaking. The second is to set a point of reference to analyze the role of fiscal policy in macroeconomic stabilization that we carry out in the next section. The starting point in this analysis is a situation where both economies have their own currency and policymaking is only delegated to central banks whose main objective is to achieve price stability. This forms the benchmark with which we assess the decision of taking part in a monetary union. As in early studies exploring this issue (see for instance Martin, 1995; Lane, 1996 and 2000; Rantala, 2001), in this section fiscal authorities are excluded from the analysis. In order to do so, we simply eliminate the taxation of revenues and the effect of government spending from the equations in the general framework of the model (i.e. equations [2], [4] and [11]). The resulting reduced forms under both regimes are identical to those in [16] to [19], setting τj for j = h ,f equal to zero.

To illustrate the importance of size asymmetries on stabilization policies, we observe the policymaking process under two different states of the world. In the first, we examine the constitution of a monetary union between two economies of equal size. In the second, we consider the case of a small economy forming a monetary union with a considerably larger economy or region (e.g. an already formed monetary union).

Employing the reduced forms in [16] to [19] and the central banks preferences in [12] and [13], we solve the policy game under the two regimes considered by assigning numerical values to the structural parameters of the model and computing the resulting equilibrium. The parameter values employed to solve the model are given by α = 0.34, δ = 0.7, λ = 0.34, υ = 0.4, ε = 0.65, and σ1 = 0.2. These structural parameters are not assigned arbitrarily, but are justified based on empirical evidence or are set to reflect the expected environment faced by policymakers. A value of α = 0.34 implies that from the original Cobb-Douglas production function where capital is constant and normalized to unity, labor requires two-thirds of the total inputs.10 A choice of δ = 0.7 intends to reflect a high sensitivity of trade to variations in the real exchange rate.11 λ = 0.34 is the mean value of the elasticity of the money demand with respect to the interest rate found by Knell and Stix (2003) in a survey of 500 individual money demand estimations. The values of ε = 0.65 is about the average of the marginal propensity to consume found by Osada (1999) for a group of 12 industrial and developing economies. The parameter υ = 0.4 is the same as the one employed by Ghironi and Giavazzi (1998) and Eichengreen and Ghironi (2002) in a numerical estimation of a similar model.12 Finally, assuming that σ1 = 0.2 realistically implies that the central banks care more about inflation than about employment.

For the two alternative states of the world, we consider the values of β = 0.5 and β = 0.9. The first parameter value refers to the scenario in which the two economies are size symmetric, while the second corresponds to a state of the world in which the home economy is only one-tenth of the size of the large foreign economy.

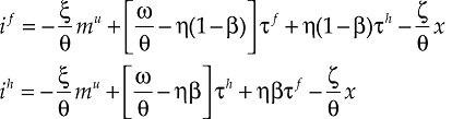
Flexible exchange rate regime . In the absence of fiscal policy considerations, the central banks are the sole authorities responsible for dealing with stabilization in the event that disturbances affect their economies. Under flexible exchange rates, individual central banks respond by contracting their money supplies to fight the inflationary pressure caused by the supply shock; a strategy that produces a negative externality on their neighbor via the real exchange rate. For instance, a decrease in the money supply of the home economy will appreciate the exchange rate and then increase inflation in the foreign economy. Under the flexible exchange rate regime, both central bankers play Nash against each other and minimize their loss function in [12], taking the money supply of their neighbor as given.

The solution to the minimization problem of both central bankers yields the following First Order Conditions (FOC):

20

Solving the resulting two equations for m h and m f simultaneously, we obtain the equilibrium money supplies for both economies. Substituting those equilibrium money supplies in the employment and inflation reduced forms presented in [16] and [17], and then the resulting expressions in the loss functions of the monetary authorities, we obtain the flexible exchange rate equilibrium outcomes presented in Table 2 for both states of the world (β = 0.5 and β = 0.9).

Table 2 Welfare evaluations without fiscal authorities. 

A. Symmetric size economies (β = 0.5)
Flexible exchange rates Monetary union
Econ N q m ∂q j/∂n j L CB n q m ∂q j/∂n j L CB
f -1.685 0.043 -2.170 0.790 0.375 -1.077 0.634 -1.371 0.340 0.317
h -1.685 0.043 -2.170 0.790 0.375 -1.077 0.634 -1.371 0.340 0.317
Asymmetric size economies (β = 0.9)
Flexible exchange rates Monetary union
Econ N q m ∂q j/∂n j L CB n q m ∂qj /∂n j L CB
f 1.268 0.594 -1.618 0.427 0.337 -1.077 0.634 -1.371 0.340 0.317
h -1.528 0.260 1.992 1.180 0.267 -1.077 0.634 -1.371 0.340 0.317

Monetary union regime . By adopting a common currency, the members of a monetary union loose control over their own money supply. When a symmetric supply shock affects them, a central monetary authority that minimizes the weighted average of the two economies' losses contracts the world money supply to restore price stability in the union.

Considering that m j = m u for j = h,f , we obtain the equilibrium money supply set by the central monetary authority by minimizing the loss function defined in [13]. The central monetary authority minimization problem results in the following FOC:

21

Solving this equation for m u , plugging the resulting equilibria in [18] and [19], and subsequently the expressions obtained on the loss functions of the individual monetary authorities, we arrive at the monetary union regime equilibrium outcomes shown in Table 2.

We first contrast the equilibrium outcomes for the two regimes in the state of the world in which a currency union is formed between two economies of equal size (i.e. β = 0.5). As can be observed in Table 2 Panel A, when the two economies are size symmetric the inflation-employment trade-offs (i.e.q j /∂n j ) they faced in each regime are identical. Under this state of the world, gains from participating in a monetary union for both economies stem from ameliorating the externalities that each economy exerts on its neighbor through the real exchange rate. After adopting a common currency, the central monetary authority contracts the world money supply less aggressively than individual policymakers. By reducing the employment losses of the two economies without increasing inflation substantially, adopting a common currency ultimately allows a better position for both economies in terms of the losses they endure.

The implications of the analysis change when we compare a state of the world in which a monetary union is constituted between economies that differ in size (i.e. β = 0.9). As we observed earlier, under a non-cooperative regime the asymmetries in the size of the economies give rise to dissimilar inflation-employment trade-offs which are more favorable for a relatively smaller economy.

As shown in Table 2 panel B, while both economies continue attaining the same trade-off by participating in a monetary union, the small economy's faces a (steeper) more advantageous trade-off than the large economy policymaker when it operates under a flexible regime. Due to its steeper trade-off, the small home economy's policymaker is capable of responding more effectively to the supply shock. As a result, the home money supply is contracted more aggressively, thus shifting the inflation burden arising from the shock to the foreign economy and reducing domestic inflation more effectively.

Assessing the decision faced by the policymaker in the small economy about taking part in a monetary union, we observe that by abandoning the flexible regime the economy experiences considerably higher losses. Clearly, the small home economy would be better off "free riding" from its size -by using its own monetary policy- to counteract the inflationary pressure produced by the supply shock.13

Reassessing participation in a monetary union

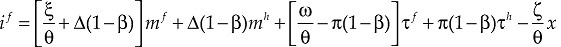
From now on, we concentrate on the asymmetric state of the world (i.e. the case when β = 0.9). The timing of events is similar to that described earlier in the absence of fiscal policy considerations. At period t −1, trade unions form expectations and set wages accordingly. Thereafter, at period t, the shock x is realized and observed by monetary and fiscal authorities in both economies. Following this, under the flexible exchange rate regime the four authorities chose their instruments simultaneously taking the actions of the other policymakers as given. The exchange rate is then endogenously determined according to the responses of the four policymakers to the shock. The nominal exchange rate reduced form is shown in Appendix A1 to be:

22

where φ and ρ are defined in Table 1. Given the forms of the respective preferences of monetary and fiscal authorities described in [12] and [14], monetary authorities reduce their money supplies to ameliorate the inflation pressure provoked by the shock and fiscal authorities decrease taxation to counteract the reduction in employment. As a result, the actions of monetary and fiscal authorities have opposite effects over the nominal exchange rate. For instance, when -in response to a supply shock- the home monetary authority reduces its money supply (by more than the foreign central bank thanks to its steeper trade-off), this appreciates the nominal exchange rate. Meanwhile, the reduction in taxation by the home fiscal authority (above the foreign fiscal authority) reduces the extent of the appreciation and brings the nominal exchange rate back towards its original level.

In the presence of fiscal policy considerations, monetary authorities continue to minimize the loss function described by equation [12]. Meanwhile, fiscal authorities minimize the deviations of employment, inflation, taxes and the nominal exchange rate from zero, as shown in equation [14]. The preferences of the fiscal authorities, under flexible exchange rates feature the values of σ21 = 0.06, σ22 = 0.6, and σ3 = 0.9. Numerically, these values provide the following loss functions:

23

Following Eichengreen and Ghoroni (2002), the above parameters are calibrated with roughly a five-fold higher weight on employment than on inflation and a higher concern for fiscal policy volatility than for price stability. However, in contrast to Eichengreen and Ghironi (2002), we weight nominal exchange rate volatility in the fiscal authority (and the societies) preferences. We place an unequal and asymmetric weight on fiscal policy (taxes) and nominal exchange rate volatility for both economies. Given its higher openness towards the foreign economy and its relative smaller size, the home economy is ten times more sensitive to exchange rate volatility than the foreign economy. As shown later, these parameters are consistent with the policymakers expected trade-offs.

In order to make the fiscal authorities' preferences consistent with the size of the two economies and their integration towards each other, we assume that the small economy cares ten times more about the volatility of the exchange rate than the large economy. Its higher dislike for variations of the exchange rate increases the activism of the government in managing fiscal policy (i.e. reduces the home fiscal authority's dislike for taxation volatility). Finally, both policymakers care more about employment than about inflation.

Under the monetary union regime, the adoption of a common currency eliminates the exchange rate volatility concern from the fiscal authorities' loss functions. As a result, the preferences of the fiscal authorities are described by [15]. Numerically, the loss functions minimized by the two fiscal authorities are in this case identical and given by:

24

In the absence of exchange rate volatility, the activism of two authorities is reduced and they continue to care more about employment than about inflation. Meanwhile, the central monetary authority minimizes the weighted sum of both central banks' losses as described in equation [13].

Using the structural parameter values defined above (α = 0.34, δ = 0.7, λ =0.34, υ = 0.4 and ε = 0.65), the reduced forms under flexible exchange rates (in [16] and [17]) and the monetary union regime (in [18] and [19]) are numerically presented in Table 3. As expected, foreign instruments have considerably higher impact on home employment and inflation than home instruments on foreign variables. Only when a monetary union is constituted, the impact of the union's money supply is the same in both economies' employment and inflation.

Table 3 Numerical reduced forms. 

A. Flexible regime
nh = 0.703m h + 0.59m f - 0.877τh + 0.503τf - 0.033x
nf = 0.756m f + 0.006m h - 0.429τf + 0.056τh - 0.033x
qh = 0.829m h - 0.570m f + 0.501τh + 0.372τf + 0.989x
qf = 0.323m f - 0.063m h + 0.831τf + 0.041τh + 0.989x
B. Monetary union
nh = 0.762m u- - 0.870τh + 0.496τf - 0.033x
nf = 0.762m u + 0.428τf + 0.055τh - 0.033x
qh = 0.259m u - 0.479τh + 0.393τf + 0.989x
qf = 0.259mu - 0.830τf + 0.044τh + 0.989x

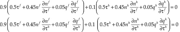
Flexible exchange rate regime . Employing the loss functions in [23], under the flexible ex-change rates the fiscal authorities' minimization problem yields the following two FOCs:

25

26

Meanwhile, central banks continue to face the FOCs defined in [20]. Plugging the numerical reduced forms in Table 3 on the FOCs in [20] and [26], and solving simultaneously for m j and τ j , we obtain the equilibrium outcomes presented in Table 4 panel A.

Table 4 Welfare evaluations with fiscal authorities. 

A. Flexible exchange rates Trade-offs Losses
Econ n q m τ L CB CB FA L CB L FA
f -1.685 0.043 -2.170 0.790 0.375 0.427 -1.937 0.128 0.335
h -1.685 0.043 -2.170 0.790 0.375 1.180 -0.571 0.025 0.331
B. Monetary union without fiscal coordination Trade-offs Losses
Econ n q m τ L CB CB FA L CB L FA
f 1.268 0.594 -1.618 0.427 0.337 0.340 -1.935 0.126 0.150
h -1.528 0.260 1.992 1.180 0.267 0.340 -0.551 0.082 0.135

Contrasting the equilibrium outcomes for the flexible exchange rate regimes in Tables 1 (panel B) and 4 (panel A), the first thing to notice is how both central bankers operating under flexible exchange rate regimes are better off once fiscal authorities exert their own effort towards stabilization.

Following the inflation and unemployment tolls yielded by the shock, the actions of the fiscal policymakers produce a positive externality on the central bankers. This happens because the contraction of taxes -and hence government spending- by the fiscal authorities reduces inflation. Nonetheless, this positive externality does not extend to the actions of the central bankers.

Following the supply shock, the tightening of the central banks' money supplies reduces the level of employment in conjunction with the shock. Hence, the stabilization efforts of the central bankers produce a negative externality on the fiscal authorities that care more about employment than about inflation.

Comparing the equilibrium outcomes for the two economies under flexible exchange rates in Table 4, we observe how the flatter inflation employment trade-off faced by the small economy's fiscal authority allows it to (contract taxes more aggressively and) experience lower unemployment. Similarly, as a result of its steeper trade-off, the central banker in the small economy (contracts its money supply by more than its counterpart and) experiences less inflation.14 The combination of lower inflation and unemployment results in considerably lower losses for the small economy's central banker. On the other hand, despite its more favorable trade-off, the activism required to reduce unemployment (i.e. a larger contraction of τh ) and its higher concern for the volatility of the exchange rate lead the fiscal authority in the small economy to endure similar losses to those of its counterpart in the large economy.

Monetary union regime . Under this arrangement, the fiscal authorities' minimization problem yields the following two FOCs:

27

Meanwhile, using [13] the central monetary authority FOC is given by:

28

Solving the FOCs in [27] and [28] simultaneously for m u and τ j , we obtain the equilibrium outcomes presented in Table 4 panel B.

Looking at the desirability of taking part in the monetary union, we observe that giving up monetary policy implies the small economy abandoning its ability to exploit the exchange rate to react to the shock (i.e. giving up its more favorable trade-off). As a result, the small economy experiences more inflation than under the flexible regime. In terms of employment, the fiscal authority retains its flatter trade-off and endures fewer job losses than its counterpart after the formation of the monetary union. However, the lower contraction of the central authority's money supply and the higher concern of the fiscal authorities for the taxation of revenues (i.e. its lower activism in fiscal policy once the exchange rate volatility is eliminated) produce a less aggressive reaction from the small economy's fiscal authority. As a result, both unemployment and inflation are larger for the small economy under the monetary union than under the flexible regime. This results in considerably larger losses from the monetary authority's perspective.

Nevertheless, participating in the monetary union allows the small economy's fiscal authority to reduce the social welfare losses arising after the shock. There are two explanations for this result. The first is that under the monetary union regime the exchange rate volatility disappears and that eliminates the level of losses suffered by its society in terms of transaction costs and uncertainty. The second has to do with the reduction in the volatility of taxation. Although the small economy experiences higher inflation and unemployment by participating in the monetary union than operating under a flexible regime, the less aggressive response of the central monetary authority and the absence of exchange rate volatility concerns challenge a lower restraining of taxes by the fiscal authority. This reduces the welfare losses associated with a fall in taxation of revenues and government spending.

Despite the lower social welfare losses arising under the monetary union regime, inflation and employment are larger than under the non-cooperative regime. In episodes of prolonged instability, this of course would be a cause for concern for monetary and fiscal authorities. Particular discomfort may arise in the foreign large economy, as it endures more inflation and unemployment than the small economy. In what follows, we explore whether fiscal coordination can help to ameliorate the inflation and unemployment experienced by the members of the monetary union.

Fiscal coordination

The treaty establishing the European Union provides some room for fiscal coordination by suggesting that "Member states shall regard their economic policy as a matter of common concern and shall coordinate them within the (European) Council".15 Nevertheless, up until now, coordination in the EU has not involved explicit cooperation schemes between fiscal authorities at the Economic and Financial Affairs Council (ECOFIN) level or a full formal agreement between the ECB and the ECOFIN Council.

Although coordination among authorities thus far has been rather limited to the commitment towards the rules imposed by the SGP and the mutual attendance of ECB and ECOFIN representatives at each other's Council meetings, the interaction of monetary and fiscal policy remains an increasingly crucial issue for the EU, especially as the monetary union is continuously preparing to embrace additional members. Indeed, bringing together the presence of a supranational monetary authority and coordinated fiscal agents is an interesting research topic that is relevant for the future design of Europe's fiscal and monetary institutions.

In this section we explore a simple cooperation scheme in which fiscal authorities in both economies are coordinated by a central fiscal authority but no involvement of the monetary authority exists (i.e. fiscal authorities cooperate against the central monetary authority). In other words, monetary and fiscal central authorities play Nash against each other. While the monetary authority chooses the money supply of the union, the fiscal authority sets the rate for the taxation of revenues. Under fiscal cooperation, the central authority that coordinates fiscal policymaking in the monetary union minimizes the weighted sum of the two fiscal authorities' loss functions:

29

with respect to the fiscal authority instruments τf and τh . The corresponding FOCs of this minimization problem are:

30

Substituting the numerical reduced forms for the monetary union regime presented in Table 3 and solving the system of three equations involving [28] and [30], the resulting equilibrium outcomes for the regime are presented in Table 5 panel

Table 5 Welfare evaluations for alternative forms of coordination. 

A. Monetary union with fiscal coordination Losses
Econ n q m τ e L CB L FA
f -0.714 0.420 -1.059 -0.338 - 0.140 0.157
h -0.714 0.420 -1.059 -0.338 - 0.140 0.157
B. Monetary union Stackelberg leader Losses
Econ n q m τ e L CB L FA
f -0.928 0.275 -1.377 -0.410 - 0.124 0.254
h -0.928 0.275 -1.377 -0.410 - 0.124 0.254
C. Fiscal authority Stackelberg leader Losses
Econ n q m τ e L CB L FA
f -0.463 0.272 -0.845 -0.570 - 0.059 0.128
h -0.463 0.272 -0.845 -0.570 - 0.059 0.128

Assuming that the central fiscal authority harmonizes the taxation of revenues in the two economies (i.e. that τ= τη= τϕ) and that it minimizes the weighted sum of the two fiscal authorities loss function (as shown in [29]), we obtain exactly the same outcomes for both economies in Table 5.16

As in the case of monetary unification (without fiscal cooperation), coordination of fiscal policies leads to a less aggressive response of the central fiscal authority to the shock. This happens because centralization of fiscal stances allows the fiscal authorities to internalize (and eliminate) the negative external effects that a larger contraction of taxes by both economies has on each other's employment. However, this less significant contraction by the fiscal authority translates into a smaller positive externality on price stability. Consequently, the central monetary authority responds more aggressively to the shock than in the absence of fiscal coordination.

For the two economies involved in the regime, the more aggressive reaction of the central monetary authority to the shock and the weaker response of the central fiscal authority lead to higher inflation and unemployment than in the absence of fiscal coordination. As a result, despite the lower activism of fiscal policy (i.e. the lower contraction of taxes than under no coordination), both economies experience higher losses from a monetary or fiscal perspective.

Hence, centralization of fiscal policies results in a counterproductive strategy for the members of the monetary union.

In order to control for the more aggressive reaction of the central monetary authority and the weaker response of the central fiscal authority, coordination can be extended to harmonize the stabilization efforts of both policymakers. In what follows, we examine coordination schemes comprising the fiscal and the monetary central authorities committed to following each other's stabilization efforts.

Monetary and fiscal policy coordination

Since fiscal policy centralization against the monetary authority results in a counterproductive strategy for the members of a monetary union, in this section we explore forms of international coordination that involve synchronizing the stabilization effort of both fiscal and monetary central authorities. We present the solution for two alternative arrangements. In the first, the central monetary authority acts as a Stackelberg leader, while in the second the fiscal authority acts as such. Under both arrangements, the authority that acts as leader minimizes its own losses, taking into account the reaction of the other player.17

Monetary leadership . First, we consider the case where, following the supply shock, the central monetary authority chooses the money supply for the union, taking into account the response of the central fiscal authority to its actions. In this case, the monetary authority's problem is to:

31

Employing the reduced forms in Table 3, the resulting equilibrium for the monetary leadership regime is presented in Table 5 panel B.

The more significant the monetary authority's reaction to the disturbance, the more aggressively the fiscal authority responds after the shock. This is because a greater contraction of the money supply triggers more unemployment which the fiscal authority tries to ameliorate by cutting taxes. This, of course, creates a larger positive externality for the central monetary authority.

Hence, the latter takes advantage of its leadership to contract its money supply more aggressively than in previous regimes. As a result, it is capable of achieving lower inflation and losses than under no cooperation with the central fiscal authority. Nonetheless, due to the more aggressive reaction by both authorities, unemployment and taxation volatility increase considerably; as a result, social welfare losses significantly exceed those under the previous regimes (i.e. monetary union without fiscal cooperation or pure coordination of fiscal authorities playing Nash against the central bank). In the end, cooperation under monetary leadership is counterproductive for the fiscal authorities and the societies they represent.

Fiscal leadership . When the fiscal authority acts as the leader and the monetary authority as the follower, the optimization problem of the former is defined as follows:

32

The equilibrium outcomes for this arrangement when employing the numerical reduced forms presented in Table 3 are shown in Table 5 panel C.

Comparing the outcomes in Table 5 panels B and C with those in panel A, it is apparent that whoever has the first mover advantage determines the equilibrium ranking of inflation, employment and welfare for the two authorities. In the event that the fiscal authority acts as Stackelberg leader, it also uses its first mover advantage to reduce unemployment more actively than in the absence of coordination. It realizes that -despite its aversion for the volatility of taxation- a more contractionary fiscal policy conveys a positive externality over the monetary authority which responds by tightening its money supply less aggressively after the shock. Hence, by challenging a lower money supply contraction from the central monetary authority, the fiscal authority also achieves considerably lower employment losses. The combination of lower inflation and unemployment with a moderate cutback in taxes leads to a reduction in the losses experienced by monetary and fiscal authorities. As a result, the fiscal leadership strategy brings a Pareto gain from the perspective of all the policymakers involved and the societies they represent.

Ranking the social welfare losses experienced by both economies over all the arrangements examined, it is clear that the fiscal leadership strategy makes engaging in monetary and fiscal coordination attractive for the residents of both economies and their authorities. Fiscal leadership is preferred by policymakers to a monetary union where fiscal authorities play Nash against the central monetary authority and to a monetary leadership regime. Moreover, the fiscal leadership regime is superior to a fully non-cooperative equilibrium in which both countries have their own currency and possess their own fiscal policy.

In terms of feasibility, whether a fiscal leadership regime can be a realistic option for EMU would depend on the commitment of fiscal and monetary authorities to achieving effective coordination. Lambertini and Rovelli (2004) suggest that looking at the fiscal authority as the leader is naturally embedded in the institutional policymaking process. This happens because in practice fiscal policy is set prior to monetary policy and revised much less frequently. Typically, fiscal policy is defined on an annual basis, whereas monetary policy is constantly monitored and may change several times over the course of a year. These circumstances point towards the fiscal authority as the natural first mover (i.e. the Stackelberg leader), a situation that in our model is indeed desirable for the policymakers and the residents of both economies.

CONCLUSION

The aim of this paper has been to assess the desirability of taking part in a monetary union from the perspective of a small open economy. The paper addresses two important questions. The first is whether participation in a monetary union is desirable for a small open economy. We find that, leaving fiscal policy considerations aside, it is straightforward to conclude that participation in a monetary union is counterproductive for a small economy. The key point to this result is that a small open economy is better off "free riding", and using its own monetary policy to counteract the inflationary pressures produced by supply shocks.

Following this result, we expand the analysis to consider the interactions between fiscal and monetary authorities on macroeconomic stabilization. We find that, once representative fiscal policymakers are incorporated into the model, taking part in the monetary union becomes desirable from a social welfare perspective. The reason for this is that, by taking part in stabilization, fiscal authorities concerned about employment respond to the shock by reducing taxes and spending, thus offsetting inflationary pressures and ameliorating unemployment. In addition, under a monetary union regime, the absence of exchange rate volatility and the reduction in taxation are both factors that contribute to decreasing the losses that society experiences in the face of the shock.

The second question this paper explores is whether monetary and fiscal coordination can help to improve the macroeconomic stability of the members of a monetary union. Evaluating three alternative forms of cooperation, shows that the pure coordination of fiscal authorities (playing Nash against the central monetary authority) results in a counterproductive strategy for both economies. On harmonizing the interaction between fiscal and monetary authorities, we find that while a monetary leadership strategy results in a deterioration of the position of the small economy's fiscal authority's position, a fiscal leadership strategy leads to a Pareto improvement from the perspective of both economic authorities and the societies they represent. With respect to the latter finding, we concur with other papers in the literature in suggesting that, given the timing required to implement and change monetary and fiscal policies, a fiscal leadership strategy is not only the most efficient coordination solution, but also the most feasible one.

Clearly, our model leaves aside many issues that are potentially relevant for small open economies facing the decision of participating in a monetary union. First, although we try to set asymmetric structures, our model assumes, for instance, that labor productivity in the two economies is the same. Integration could potentially create this effect but in the short term this may not be the case. Second, we assume a balanced budget constraint for the two economies. Indeed the SGP aims at "balanced budget or in surplus in the medium term" but this hardly means that debt should be excluded from the analysis in the short term.18 At least in the short run, debt sustainability deserves more attention. Finally, this paper does not address the mechanism through which the coordination schemes examined here could be implemented. Clearly, the commitment of fiscal and monetary policymakers is necessary in order to achieve effective cooperative solutions like the ones we have proposed. However, the necessary agreements and mechanisms to achieve coordination are beyond the scope of this paper.

References

Andrés et al., 2004 Andrés, J., Doménech, R., and Fatás, A., 2004. The stabilizing role of government size [CEPR Discussion Paper no. 4384]. Centre for Economic Policy Research (CEPR), London. Available at: < http://www.cepr.org/active/publications/discussion_papers/dp.php?dpno=4384>. [ Links ]

Artis y Buti, 2001 M. Artis, M. Buti. Setting medium term fiscal targets in EMU. The Stability and Growth Pact: The Architecture of Fiscal Policy in EMU. Chippenham, Wiltshire: Palgrave Macmillan Ltd; 2001. [ Links ]

Beetsma et al., 2001 R. Beetsma, X. Debrun, F. Klaassen. Is fiscal policy coordination in EMU desirable. Swedish Economic Policy Review. 2001; 8(1):57-98 [ Links ]

Cabral, 2010 R. Cabral. Why dollarization didn’t succeed: Comparing credibility and the impact of real shocks on small open economies. The North American Journal of Economics and Finance. 2010; 21(3):297p [ Links ]

Canzoneri y Henderson, 1991 M.B. Canzoneri, D. Henderson. Monetary policy in interdependent economies: A game-theoretic approach.. Cambridge, MA: MIT Press; 1991. [ Links ]

Cooley and Prescott, 1995 T.F. Cooley, E.C. Prescott. Economic growth and business cycles. Frontiers of Business Cycle Research. Princeton. NJ: Princeton University Press; 1995. [ Links ]

Cooper and Kempf, 2004 R. Cooper, H. Kempf. Overturning Mundell: Fiscal policy in a monetary union. Review of Economic Studies. 2004; 71(2):371-397 [ Links ]

Dixit and Lambertini, 2001 A. Dixit, L. Lambertini. Monetary-fiscal policy interactions and commitment versus discretion in a monetary union. European Economic Review. 2001; 45(4-6):987-997 [ Links ]

Dixit and Lambertini, 2003a A. Dixit, L. Lambertini. Symbiosis of monetary and fiscal policies in a monetary union. Journal of International Economics. 2003; 60(2):977-987 [ Links ]

Eichengreen and Ghironi, 2002 B. Eichengreen, F. Ghironi. Transatlantic trade-offs in the age of balanced budgets and European Monetary Union. Open Economies Review. 2002; 13(4):381-411 [ Links ]

Engwerda et al., 2002 J.C. Engwerda, B. van Aarle, J. Plasmans. Monetary and fiscal policy interaction in the EMU: A dynamic game approach. Annals of Operational Research. 2002; 109(1-4):229-264 [ Links ]

European Council, 1997. Treaty of Amsterdam. [online] Available at: < http://europa.eu.int/eur-lex/lex/en/treaties/index.htm >. [ Links ]

European Council, 2003 European Council. Recommendation, under Article 10.6 of the Statute of the European System of Central Banks and of the European Central Bank. Official Journal of the European Union, 2003; C/29-6 [ Links ]

Evers, 2015 M.P. Evers. Fiscal federalism and monetary unions: A quantitative assessment. Journal of International Economics. (forthcoming) 2015; [ Links ]

Fatás et al., 2003 A. Fatás, J. von Hagen, A. Hughes Hallet, R.R. Strauch, A. Sibert. Stability and Growth in Europe: Towards a Better Pact [Monitoring European integration 13]. London: CEPR; 2003. [ Links ]

Ferré, 2008 M. Ferré. Fiscal policy coordination in the EMU. Journal of Policy Modeling. 2008; 30(2):221-235 [ Links ]

Giavazzi and Giovannini, 1998 F. Giavazzi, A. Giovannini. Monetary policy interactions under managed ex-change rates. Economica. 1998; 56(222):199-213 [ Links ]

Ghironi and Giavazzi, 1998 F. Ghironi, F. Giavazzi. Currency areas, international monetary regimes, and the employment-inflation trade-off. Journal of International Economics. 1998; 45(2):259-296 [ Links ]

Jensen, 1991 Jensen, H., 1991. Tax distortion, unemployment and international policy cooperation. [online] Available at: < http://www.econ.ku.dk/personal/Henrikj/pdf/taxweb.pdf >. [ Links ]

Kiley, 2004 M.T. Kiley. Is moderate-to-high inflation inherently unstable?. [Finance and Economics Discussion Series no. 2004-43]. Board of Governors of the Federal Reserve System, United States of America. 2004; [ Links ]

Knell and Stix, 2003 M. Knell, H. Stix. How robust are money demand estimations? A metaanalytic approach [Working Paper no. 81]. Vienna, Austria: Oesterreichische Nationalbank; 2003. [ Links ]

Lambertini and Rovelli, 2004 L. Lambertini, R. Rovelli. Monetary and fiscal policy coordination and macroeconomic stability: A theoretical analysis [Working Paper no. 464].. Bologna, Italy: Department of Economic Science, Università di Bologna; 2004. [ Links ]

Lane, 1996 P.R. Lane. Stabilization policy in a currency union. Economic Letters. 1996; 53(1):53-60 [ Links ]

Lane, 2000 P.R. Lane. Asymmetric shocks and monetary policy in a currency union. Scandinavian Journal of Economics. 2000; 102(4):585-604 [ Links ]

Levine and Pearlman, 2001 P. Levine, J. Pearlman. Monetary union: The ins and outs of strategic delegation. The Manchester School. 2001; 69(3):285-309 [ Links ]

Martin, 1995 P. Martin. Free riding, convergence and two speed monetary unification in Europe. European Economic Review. 1995; 39(7):1345-1364 [ Links ]

Moro, 2014 B. Moro. Lessons from the European economic and financial great crisis: A survey. European Journal of Political Economy. 2014; 34:S9p [ Links ]

Osada, 1999 H. Osada. Intra-regional multiplier effects through trade linkages in the APEC Area. [APEC Discussion Paper Series no. 27]. Singapore: Asia-Pacific Economic Cooperation (APEC); 1999. [ Links ]

Pizzati, 2000 L. Pizzati. Monetary policy coordination and the level of national debt. Empirica. 2000; 27(4):389-409 [ Links ]

Rantala, 2001 A. Rantala. Does monetary union reduce employment?. [Discussion Papers no. 7/2001].. Helsinki, Finland: Bank of Finland; 2001. [ Links ]

Tagkalakis, 2013 A. Tagkalakis. The effects of financial crisis on fiscal positions. European Journal of Political Economy. 2013; 29:197-213 [ Links ]

von Hagen, 2004 von Hagen, J., 2004. Fiscal sustainability in EMU: From the Stability and Growth Pact to a Sustainability Council for EMU [CESifo Working Paper]. CESifo Group Munich, Munich, Germany. Available at: < http://www.cesifo-group.de/por-tal/page?_pageid=36,103017&_dad=portal&_schema=PORTAL⁢em_link=del04-porogramme.htm >. [ Links ]

We would like to thank Alberto Ortiz, Leonardo Torre, Carlo Panico, Gulcin Ozkan, Luis GonzálezMorales, Herb Newhouse and participants at the Money, Macro and Finance Research Group Annual Conference celebrated at the University of Warwick for their valuable comments. Any remaining errors are our own.

1 Providing that the SGP requires member states to aim for public budget balances which are close to equilibrium or in surplus in the medium term, the allocation of taxes and public expenditure would remain the only instruments in the control of EMU members to stabilize their economies against real shocks.

2 For other less recent papers employing symmetric models to assess monetary and fiscal policy coordination see, for instance, Cooper and Kempf (2004), Dixit and Lambertini (2003a; 2001), and Beetsma, Debrun, and Klaassen (2001), among others.

3 See Cabral (2010), Eichengreen and Ghironi (2002), Giavazzi and Giovanini (1998), and Ghironi and Giavazzi (1998) for other papers that employ asymmetric features in modeling monetary and fiscal policy coordination.

4 This is not unrealistic since, in principle, the Maastricht Treaty prevents the inflationary bias by stipulating that one-year before joining EMU, the accession country's inflation rate should not exceed by more than 1.5% the average rate of the three European Union (EU) countries where inflation is the lowest.

5 Interest rates in [8] also depend on shocks and on the stances of the monetary and fiscal authorities.

6 Consistent with SGP requirements, in our model fiscal deficits in both economies equal zero over time.

7 Considering the present size of EMU, this assumption is to some extent consistent with the current voting system of one country one vote and with the new proposed system of rotating groups in which larger countries have more power in the European Central Bank's monetary policy decisions and which will replace the former voting system as soon as the number of member states in EMU exceeds 15 (European Council, 2003).

8 These reduced forms are also fully derived in Appendix A2.

9 Utilizing a three-country version of this model, Eichengreen and Ghironi (2002) study the determinants of policy trade-offs and incentives for central banks and governments in the U.S. and Europe. In their analysis, they consider the specific case of policy coordination between the U.S. and an EMU that consists of two economies of equal size.

10 This proportion is consistently employed in different macroeconomic models calibration (see for instance Cooley and Prescott, 1995; Kiley, 2004; Andrés, Doménech, and Fatás, 2004).

11 This parameter value is consistent with empirical evidence testing the Marshall-Lerner condition which suggests that elasticity of the demand with respect to imports and exports is usually below unity.

12 More details about the numerical reduced forms associated with this parameter value are presented in the following section.

13 As pointed out earlier, similar results were found by Martin (1995) studying the incentives for small open economies to join an already formed monetary union.

14 The trade-offs faced by monetary authorities are obviously the same as those presented before for the analysis of stabilization policies without fiscal authorities.

15 Extract from the Treaty of Amsterdam, Article 99 (European Council, 1997).

16 This is analogue to what we obtained in Table 2 when the central monetary authority decides on a single monetary policy instrument.

17 For some insight into the implementation of fiscal coordination schemes like those we have proposed, see, for instance, Fatás et al. (2003) and von Hagen (2004).

18 Without taking into account the new EU members, Artis and Buti (2001) estimate that an additional margin of 0.5 to 1 percent of Gross Domestic Product (GDP) would be necessary to make room for unforeseen circumstances before balanced budgets are achieved in the EMU.

19 Photis Lysandrou is currently research professor at the Political Economy Research Centre in City University (CITYPERC), London. His research interests are in the areas of history of economic thought, Marx's monetary theory, corporate governance, globalisation and global finance. He has published on all these topics in Journals such as Cambridge Journal of Economics, Journal of Post Keynesian Economics, Journal of Common Studies, and Economy and Society. Professor Lysandrou gave a series of lectures at School of Economics at the Universidad Nacional Autónoma de México (UNAM) during September, 2015.

20 Professor at the School of Economics at UNAM (Mexico)

21 EGADE Business School, Tecnológico de Monterrey and Center for Latin American Monetary Studies (Mexico), <aortizb@itesm.mx> . The views expressed in this comment are those of the author. <aortizb@itesm.mx>

22 Professor at the Università degli Studi di Napoli Federico II (Italy) and visiting professor School of Economics at the Universidad Nacional Autónoma de México (UNAM, Mexico) panico@unina.it

23 Canada moved from 5.1% of the 1960s and 1970s to 3.7% of the 1980s, to 3.3% of the 1990s and to 3.8% of the first decade of the new millennium. During the same five decades UK moved from 3.3 to 5.0, to 4.9, to 3.8 and to 2.3%. Finally, USA moved from 2.5% of the 1960s, to 2.7% of the 1970s, to 3.6% of the 1980s, to 2.2% of the 1990s and to 1.7% of the first decade of the new millennium.

24 In Mexico, in order to avoid reducing their profits, the central bank, without asking permission to the Treasury, issues government bonds that are purchased by the Mexican banks. The receipts of these issues are deposited in irredeemable accounts. The government sector owns these accounts, but cannot use them, in spite of the fact that it pays the corresponding interests (see Panico, 2014). For other problems generated by the accumulation of financial reserves, see Reinhart and Reinhart (1999) and Griffith-Jones, Montes, and Nasution (2001).

25 See Frenkel (2015) and Ros (2015). The latter points out that, in the case of the Mexican economy, what Calvo and Reinhart (2002) call fear to float is, as a matter of fact, a fear to devalue.

26 The twelve countries are: Austria, Belgium, Finland, France, Germany, Greece, Holland, Ireland, Italy, Luxemburg, Portugal and Spain.

27 The seven countries that have entered EMU after 2002 are: Slovenia in 2007, Cyprus and Malta in 2008, Slovakia in 2009, Estonia in 2011, Latonia in 2014 and Latvia in 2015.

28 The countries of the European Union waiting to use the euro are: Bulgaria, Croatia, Hungry, Poland, Czech Republic and Rumania.

29 This tendency can be also noticed for the data of the individual countries. Germany for instance, has moved from 9.6% of the 1970s and 1980s to 5.2% of the 1990s and to 4.1% of the new millennium. Greece shows values around 5.5% until the 1980s, a sharp increase (10.3%) in the 1990s, before being admitted into the euro area and a pronounced fall (3.3%) during the participation in EMU. Spain moved from 4.4% in the 1960s to 9.5% in the 1990s to 3.1% in the new millennium.

30 According to Articles 258 and 271(d) of the Consolidated Version of the Treaty of the Union and of the Treaty on the functioning of the European Union (2008/C115/01) and to Articles 14.3 and 35.6 of the Statute of the European System of Central Banks and of the European Central Bank (Protocol n. 4 of the Consolidated Version, 2008/C115/01), in a case of conflict between a NCB and the ECB on the execution of the NCB's obligations, the ECB, after having exposed its reasons in a written document and after giving the NCB the opportunity to clarify its reasons, can ask the latter to conform its behaviour to the ECB's instruction within an established time. If the NCB still fails to follow the instructions, the ECB can ask the European Court of Justice to intervene and impose on the NCB the respect of its obligations.

32 Dirección General de Investigación Económica del Banco de México y Universidad Autónoma de Nuevo León (México) leonardo.torre@banxico.org.mx

A. DERIVATION OF THE REDUCED FORMS OF THE MODEL

A1. Flexible exchange rates

We start by obtaining the reduced forms for the flexible regime. Utilizing [8] and assuming wj = 0, the semi-reduced form for employment becomes simply:

A.1

To obtain the home price semi-reduced form, we solve [2] for pj to arrive t :

A.2

Substituting the employment semi-reduced form into [A.2] we obtain that:

A.3

The derivation of the real exchange rate reduced form requires several steps. Using equation [6] and assuming no speculative bubbles, we define the nominal exchange rates as:

A.4

Solving z for e and substituting [A.3] into the resulting expression, the nominal exchange rate semi-reduced form is simply:

A.5

Now, subtracting home supply and demand in [1] and [4] from those same expressions for the foreign economy, we obtain that:

A.6

A.7

Substituting the employment semi-reduced form in [A.1] into [A.6] and plugging equation [A.5] into [A.7], equalizing the two expressions and solving for z , the resulting real exchange rate reduced form is simply:

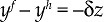
A.8

where Γ=1-α1+αλδ+1-αλ To obtain the nominal exchange rate reduced form, simply substitute [A.8] into [A.5] to obtain:

A.9

where ϕ=1-α+αδ1+αλδ+1-α)λ and ρ = (1 − δ )Γ .

Now, we need to obtain the interest rate reduced forms. Using [5] and assuming no speculative bubbles, it follows that:

A.10

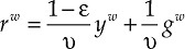
Since real exchange movements cancel each other around the world and shocks are symmetric, it can be shown that qw = pw and xw = x . Using [A.3] rw can be expressed as:

A.11

World demand is given by the weighted sum of the demands in the two economies. Using [4], the world demand is equal to:

A.12

Solving for r w we obtain that the world real interest rate is simply:

A.13

On the other hand, using [1] and [8], the world supply can be written as:

A.14

Substituting the above expression on [A.13], it follows that:

A.15

Equalizing [A.11] and [A.15] and solving for i w , we obtain:

A.16

where ξ=α+1-ε1-αν,ω=1υ+1-ε1-αυ-1-α,ζ=1-1-ευ,θ=1+αλ+1-ε1-αλυ . To obtain the interest rate reduced forms we combine [A.9] and [A.16] to obtain:

A.17

A.18

where Δ = φ ξ/ θ and π = ω/ θ ρ.

Finally, we employ the domestic prices [A.3], interest rates [A.18] and real exchange rate in [A.8] to obtain the employment and inflation reduced forms under a flexible regime presented in [16] and [17].

A2. Monetary union regime

Following the adoption of a common currency, money supply in the union is controlled by the central monetary authority. Since there are only two countries, the central monetary authority has full command over the world money supply (i.e. m u= m w ). The nominal exchange rate disappears once the two economies employ a single currency; hence the real exchange rate becomes simple z = p f− p h .

Plugging the equations for the price semi-reduced form defined in [A.2] on z , considering that m u= m j and solving for I f− I h , we obtain:

A.19

Equalizing [A.7] and [A.6], substituting [A.19] and solving for z we obtain the real exchange rate reduced form:

A.20

where ι=1-α1-α+αδ . Substituting [A.20] into [A.19] we obtain that:

A.21

where κ=1-α1-δ1-α+αδλ . Combining equations [A.21] and [A.16], the interest rate reduced forms are given by:

A.22

Finally, we employ the domestic prices [A.3], interest rates [A.22] and real exchange rate in [A.20] to obtain the employment and inflation reduced forms under the monetary union presented in [18] and [19].

B. TRADE-OFF PROOFS

B1. Proof that a smaller economy's monetary authority faces a steeper trade-off

The trade-offs for both economies' monetary authorities are given by:

B.1

The statement that a small economy faces a steeper trade-off implies that:

B.2

Cross multiplying both sides we obtain that this requires:

B.3

Providing that the capital Greek letters are positive, this inequality holds if β > (1−β). That is, whenever the home economy is relatively smaller than the foreign economy. Intuitively, the smaller home economy consumes a larger proportion of its goods from the foreign one. Therefore, a contraction of its money supply, which appreciates the exchange rate produces a larger reduction of its CPI.

B2. Proof that a smaller economy's fiscal authority faces a flatter trade-off

The trade-offs for both economies' monetary authorities are given by:

B.4

The statement that a small home economy faces a steeper trade-off implies that:

B.5

Simplifying this expression shows that the domestic economy has a flatter tradeoff when β > (1−β). A similar proof can be derived by employing the reduced forms for the monetary union regime.

Received: August 05, 2015; Accepted: September 30, 2015

Corresponding author. rcabral@itesm.mx


DISCUSIÓN

The EI interview: Professor Photis Lysandrou19, Noemi Levy20

1. Were you in favour of Greece joining the euro?

No, I was not, and in fact, I addressed a conference on this issue in Athens in 2001 shortly before Greece joined the eurozone arguing against this policy. The reason I gave was that Greece's structural and institutional conditions at the time were simply not robust enough to allow Greece to cope with the constraints of a uniform exchange rate and monetary policy. This position was also that of the leading authorities behind the euro project up to about early 2001. Before the Asian currency crisis of the summer of 1997, it was expected that 5-7 EU countries would join the euro, in other words, only those that met all the stringent pre-entry fiscal criteria (debt and deficit to GDP ratios) and monetary criteria (inflation rate and interest rate). After that crisis, the entry conditions were loosened to the point where 14 of the then 15 EU member countries were invited to join the euro, Greece alone being the exception because its record on all of the pre-entry criteria was so abysmal. The European authorities argued that Greece should first introduce radical structural and institutional reforms before joining the euro, while the Greek authorities put the contrary view that the economic and financial stability conferred on Greece by virtue of euro entry would provide just the kind of macroeconomic framework necessary to achieve the required structural and institutional changes. The Greek view somehow prevailed and Greece was allowed to join the euro in January 2002. Needless to say, rather than pursuing any serious radical economic programme behind the currency stability shelter provided by euro membership, the Greek political, business and banking elites simply took advantage of that stability to promote their own vested interests.

2. What were the consequences for the Greek economy arising out of euro membership?

The key benefit to Greece from joining the eurozone was an end to the currency depreciation-domestic inflation spiral that had plagued the Greek economy in the previous decades. Thus between 1978 and 2001, the Greek drachma's rate against the European Currency Unit (ECU) fell from about 48 to 340, with the result that the domestic inflation rate was on average about 25% higher than the EU average over this same period. Following entry into the euro, Greece's domestic inflation rate fell to about 1.5% above the eurozone average, a result less of above average domestic wages (these in fact lagged behind the eurozone average) than of below average productivity levels. However, the main downside of membership of a single strong currency was that this gave impetus to the de-industrialisation of the Greek economy -as many Greek manufacturing businesses relocated to the Balkans where labour costs were even lower than in Greece- and to its further transformation into a pure 'service' economy, with the two principal keystones in this regard being shipping and tourism.

3. What were the reasons behind Greece's economic crisis?

Before answering this question, let me first look at how all the countries in the eurozone periphery suffered in the crisis. Before the creation of the euro, government, financial and corporate bonds issued in the smaller member states of the EU typically carried higher than average yields because currency risk in addition to credit risk was factored into the prices of these bonds. With the establishment of the euro, the yields on the bonds of the peripheral member countries converged towards those on German bonds -Germany being by far the strongest eurozone economy- because of the elimination of currency risk. What of course then happened is that the private commercial banks in countries such as Ireland, Portugal and Spain, seeing the massive profit opportunities offered by the low interest rates in the wholesale euro money markets, borrowed massively in these short term markets in order to lend long term loans (mortgage loans in particular, but also other credit loans) at higher interest rates in their domestic economies. When the subprime crisis which broke out in the summer of 2007 undermined confidence in the world's leading money markets causing short term interest rates to raise sharply, many European commercial banks (all of the large ones in the case of the Republic of Ireland) went bankrupt. The case of Greece was somewhat different in that many large Greek commercial banks were exposed less to the domestic housing sector than to the Greek government that had taken advantage of the low interest rates on eurozone government bonds to massively expand its borrowing level. It is beyond doubt that German and other foreign banks were complicit in driving up Greece's public debt as they were only too happy to buy Greek governments bonds which, despite euro membership, still generated a yield premium over German and other core eurozone government bonds. This said, the fact remains that both the Pasok and New Democracy governments -unwilling or unable to collect taxes on the scale required to meet the increasing demands on the public finances- simply took the easy way out by issuing increasing amounts of government bonds. When the crisis broke out, and the yield premiums on peripheral eurozone country bonds soared, it was Greece that suffered the worst because of the sheer scale of outstanding public debt.

4. What are the alternatives for the post-crisis Greek economy?

When Syriza won the election in January 2015, it had campaigned on the basis of two promises: to end the harsh austerity measures imposed by Greece's creditors as the precondition for its bail-out and to keep Greece in the eurozone. Despite every effort to keep both promises, it ultimately failed (largely because of the strength of Germany's opposition to any softening of the bail-out terms) and was thus faced with a stark choice: either to accept the foreign creditor's terms and remain in the euro or reject the terms, default on the external debt and thus face the likelihood of euro exit. The Left Platform of Syriza -a far left group that has since split off and formed the Popular Unity party- insisted that Grexit was the better of the two alternatives because the repudiation of the debt would give Greece elbow room to grow while a return to the drachma would boost Greece's international trade competitiveness to the point required to actually generate economic growth. All this sounds fine in theory, but the grim reality is very different. I have already mentioned the fact that prior to euro entry, Greece was locked in a vicious currency depreciation-internal inflation spiral. Close inspection of the current state of the Greek economy-heavily import dependent in virtually every major industrial and technologically advanced area- indicate that any return to the drachma would herald a return to that depreciation-inflation spiral with catastrophic consequences for large sections of the Greek population, notably the poor, the old and the sick. This is why Syriza under Tsipras' leadership, while continuing to argue the case for debt relief and/or debt restructuring, have in the meantime opted to keep Greece in the eurozone. I, for one, certainly agree with this position.

5. Why does Germany want Greece out of the euro?

To answer this question it is necessary to rephrase it correctly. First, Germany as a whole does not want Greece to leave the euro. Chancellor Merkel has made clear, as have many other German and leaders that Greece must stay in the euro. This is not so much for altruistic reasons as because of a fear that Grexit would trigger an unravelling of the euro project which, after all, is only a decade and a half old. Second, the position of Wolfgang Schauble, the German finance minister, is not that Greece should leave the euro but that it should agree to all the bailout terms and, if it does not, only then should it consider leaving the euro. These two positions may look the same but they are not. The crux of the matter is that while all the leading eurozone governments want to keep the eurozone together, they differ over the form that the eurozone should take. Thus while the French and Italian governments want a more flexible eurozone where the weaker member economies could be supported by the stronger member economies either through fiscal transfers or through the issuance of euro government bonds or through a combination of both policies, the German government by contrast wants a more disciplined eurozone where every member country is expected to solve its own economic and financial problems without too much outside help. Shauble's position on Grexit is entirely consistent with his determination that the eurozone continues to fit in with his neo-liberal vision.

6. What alternatives are open to small economies such as Greece, Portugal and Ireland to restore economic growth?

In answering this question, let me first say that exiting the euro is not a viable alternative for the small economies that are currently in the eurozone. Those who put the contrary position argue that restoration of the national currency would be tantamount to restoration of complete national sovereignty in economic policy making, something that would then greatly assist the aim of restoring economic growth. This argument totally ignores the current reality of a globalised and financialised world where daily foreign exchange trading amounts to some $6 trillion. In such a world, no small economy (or even a medium sized economy) can afford to allow its currency's exchange rate to float according to market forces as this would risk causing extensive domestic economic damage. This is why 66 national currencies are currently linked to the U.S. dollar in one form or other, while another 27 currencies are linked to the euro, the result of these linkages being the substantial loss of economic policy autonomy. Were Greece or Portugal or Ireland to exit the euro they would still have to peg their currencies to the euro (as many EU non-euro countries currently do, the UK being the only major exception)with the result that they would lose the benefits of eurozone membership while not reaping any substantial policy autonomy gains. The only viable alternative open to the small economies of the eurozone is to continue to mount a concerted effort to change its rigid, neo-liberal rules and structures in favour of ones that are far more flexible and growth-oriented.

7. Why do you oppose Grexit?

I oppose Grexit because I reject the three major claims made in support of it. The first is that a return to the drachma would be tantamount to a return to national economic sovereignty. As I have made clear in answer to the previous question, this is a myth. If Greece exits the euro, it would still have to tie its currency to it in order to avoid the potentially catastrophic effects of any exchange rate volatility. In so doing, it would lose much of its room for policy manoeuvre in any case.

The second claim in favour of Grexit is that it would enable Greece to increase its international competiveness thus enabling it to restore domestic economic growth. This claim ignores the fact that there are two dimensions to competiveness: a quantity (or physical) dimension as well as a price dimension. For Greece to be internationally competitive to the point where it can actually generate stable, self-reinforcing growth it has to have a material output base that can support such a strategy. The fact of the matter is that this base does not exist. In no industrial or other manufacturing category does Greek domestic production exceed domestic absorption, thus making it generally import dependent. Indeed, in some manufacturing categories, such as medicines, electronic equipment, motor vehicles and office machinery Greece's import dependence is near total. Now for Greece to turn this situation around, it would need years of investment in education and training and in all of the other business-related areas required for promoting Greece's production and technological base. In the meantime, it would remain heavily import-dependent thus exposing it to serious problems were the drachma to continually depreciate in value against other major currencies including the euro.

The third major claim made in favour of Grexit is that this strategy would help to promote international solidarity. Given that Greece's far right Golden Dawn party are also in favour of Grexit and invoke essentially the same two claims regarding national sovereignty and a restoration of Greece's economic competiveness in support of their policy, the far left in Greece needs to add a third component to their eurosceptic position that distinguishes it from that of the far right. As the latter never talk of international solidarity but only emphasise national self-interest, this is the obvious distinguishing component. The truth of the matter, however, is that exiting the euro and returning to the drachma would undermine rather than strengthen international solidarity in the area of economic and financial policy. A case in point is the policy for taxing the European financial sector. At the present time, it is eurozone member countries that are leading the fight to impose a uniform tax on this sector. This task is proving to be difficult even with presence of the euro as a sheltering hub against the storms and pressures of the global currency markets. Take away the euro and return to small national currencies, and the task of implementing a uniform European wide tax on the financial sectors would be near impossible as the countries concerned, struggling to maintain their currencies' exchange rates, would be unlikely to make such a coordinated tax policy their national priority.

8. What needs to be changed in the euro area to allow economic growth in small countries like Greece?

I have already indicated above that for economic growth to take place across the whole eurozone, and not just in the smaller member states, the economic policy direction has to radically change. In particular, the austerity drive led by Germany and as enshrined in the 'debt brake' policies that it has championed has to be challenged far more forcefully than is currently the case. Central to any growth and job creating strategy must be an increase in public expenditures that can be financed by a number of measures including a coordinated increase in taxes on banks and multinational corporations operating in the eurozone and the issuance of euro government bonds to help finance public investments in infrastructure and other growth generating projects.

9. Would you recommend that countries such as Turkey or the Czech Republic should join the euro?

There is no uniform answer to this question. Whether countries are encouraged to join the euro or not should depend on a case by case basis. I do not think that Turkey is ready for euro membership because its economic structures and institutions are still not robust enough to cope with the constraints of a single currency. If Greece has found it difficult to survive in the euro, I believe that Turkey will find it even more so. The Czech Republic is another matter. Its currency is already closely tied to the euro, as are several other currencies, and I expect it to eventually become part of the euro.

10. What are the alternatives open to medium sized economies under the current institutional arrangements? Would you recommend a monetary union for these types of economies in Latin America?

First, let me repeat the point that in today's highly financialised world where daily foreign exchange trading is somewhere near the $6 trillion mark, small to medium sized economies simply cannot afford to allow their currencies to float freely according to market conditions. On the contrary, they need to tie their currencies' exchange rates to a major currency such as the U.S. dollar or euro, a policy which would inevitably entail a certain loss of autonomy over macroeconomic policy. Ideally, small to medium sized economies that co-exist within a given geographical area can collectively increase their policy autonomy by forming a currency union that on account of its size and depth can withstand the stresses of the global forex markets. The problem is that in practice it is extremely difficult to form a currency union because such a strategy requires three sets of criteria to be met: (i) the economies of the common currency area should be highly integrated in production and trade terms: (ii) the structures and institutions of the currency area countries should be broadly similar; (iii) the political and economic priorities of the common currency countries should be broadly aligned.

The eurozone certainly meets the first set of criteria as intra-regional trade currently accounts for over 80% of all the external trading conducted by the eurozone member countries. It just as certainly does not meet the second set of criteria as has always been clear and as has become even more painfully clear when the financial crisis ruthlessly exposed the deep-seated structural differences between countries like Germany on the one hand and countries like Greece on the other. As concerns the third set of criteria, if the eurozone currently meets these it is only in the highly problematic sense that Germany insists on using its economic weight to impose a dogmatic neo-liberal agenda on just about every other eurozone member country.

One might be tempted to say that the current problems of the eurozone should serve as a warning to any other regional group of countries intending to form a currency union. However, one should not overemphasise this observation as the obstacles standing in the way of other prospective currency unions appear to differ from region to region. The obstacles facing the Southern Cone countries of Latin America illustrate the point. This group may to a certain extent meet the second set of criteria regarding broad equivalence between country structures and institutions. Indeed, the fact that all of the countries in this group share the same language is even more of a bonus in this regard. However, the external trade relations of countries in this region appear to be heavily towards other geographical regions rather than towards each other, a fact that would then complicate attempts to reach agreement on the type of exchange rate and other macroeconomic policy measures that ought to be prioritised for the whole currency area.


DISCUSIÓN

Comments by Alberto Ortiz Bolaños21

Cabral and García Díaz (2015) uses a semi-structural two-country-open-economy macroeconomic model to provide insights about: 1) the desirability for a small open economy of participating in a monetary union; and 2) whether fiscal coordination is beneficial for that small open economy participating in the monetary union.

The paper shows that the desirability of participating in a monetary union is contingent on the inclusion of fiscal policy considerations. On one hand, in a version of the model without fiscal policy, it is shown that it is counterproductive for the small open economy to participate in a monetary union LCBflex=0.26<LCBMU=0.317 as the country gives up a favorable inflation-employment trade-off that enables monetary policy to accommodate supply shocks. On the other hand, in a version of the model with fiscal policy, using the loss-function of a 'benevolent' fiscal authority as those representing the preferences of the society, the previous result is overturned LFAflex=0.331>LFAMUwithoutfiscalcoordination=0.135 as the fiscal authority that is concerned about employment lowers taxes and spending in response to supply shocks, which eases inflationary pressures and promotes employment.

Given the previous results, the paper analyzes different options of fiscal coordination and concludes that a fiscal leadership strategy à la Stackelberg vis-à-vis the central is the most efficient coordination solution LFAMUwithoutfiscalleader=0.128 . This arrangement turns out to be superior to (i) a monetary union in which fiscal authorities conduct their policy in an independent way LFAMUwithoutfiscalcoordination=0.135 , (ii) a monetary union in which fiscal authorities conduct their policy in a coordinated way LFAMUwithoutfiscalcoordination=0.157 , (iii) a regime where both authorities internalize the effects of their own externalities by allowing the central bank to act as Stackelberg leader LFAMUwithmonetaryleader=0.254 , and (iv) a regime in which the small open economy decides to stay out of the monetary union LFAflex=0.331 .

The study, in the spirit of Mundell (1961) optimum currency areas, is an important contribution given that it calls attention to the prominent role that fiscal policy considerations have in the cost-benefit analysis of monetary unification. The structure of the analysis, where the authors show gradually how modifying elements of the model -varying country-size, comparing a flexible exchange rate regime versus a monetary union, adding fiscal policy, and considering different interactions of fiscal and monetary policy- turns out useful to gain insights on the role that each modification has. Also, the paper derives analytical solutions for employment and inflation in the non-cooperative flexible exchange rate regime and the monetary union, which allows it to present a transparent discussion of the inflation-employment trade-offs to show that a smaller economy's monetary authority faces a steeper trade-off (can achieve a larger inflation reduction for a smaller employment loss that is favorable if the monetary authority cares relatively more about inflation than employment), while the fiscal authority faces a flatter trade-off (can achieve a higher employment gain for a small price stability loss that is advantageous if the fiscal authority cares more about employment than inflation).

The paper has interesting results, but along the way the authors make several decisions that compromise the generality of the results. The most important decision is the welfare criteria to rank regimes as the model lacks of a well-defined welfare metric in terms of individuals' utility. The results are based on the comparison of the fiscal authority's loss function which is considered to be a function of the volatility of employment, inflation, taxation and nominal exchange rate, however there is no clear reason of why these are the variables the society cares about, neither the relative weights that these variables should have in the loss function. Even conceding that this welfare criterion was valid, the document does not have analytical solutions to make the regimes comparison transparent and no sensitivity analysis is presented to show that the obtained rankings are not conditioned by the chosen parameters.

There are relevant aspects of the strategic interaction of fiscal policies within a monetary union absent from the analysis. For example, Hernández and Trejos (2013) show that sharing a currency creates a miscoordination problem akin to moral hazard as participating countries fiscal deficits are financed with seigniorage from the common currency. In their environment, smaller/less productive countries have a bigger incentive to run larger fiscal deficits to receive a subsidy from the other countries in the monetary union. Other relevant aspect is related to the usual rules versus discretion debate over policies. For example, Dixit and Lambertini (2003) show that allocations are contingent on how both policies are conducted. Also important are the dynamic interactions among countries and policy institutions as the repeated nature of the decision-making process could affect the optimality of the policy choices.

It calls the attention that the fiscal authorities' losses are independent of the country size under the alternative forms of coordination (see Table 5). As explained in the paper, this is consequence of the assumption that the fiscal authority equalizes the tax rate in both economies. This is a useful benchmark to analyze coordination, but it would be interesting to understand what happens under coordination but tax asymmetries.

Overall, the paper sets the ground for an important debate on the desirability of fiscal policy coordination for a monetary union. It provides a guideline of some relevant elements to be analyzed in this interaction and when possible derives analytical solutions that eases understanding the ranking of the regimes. There are several directions to extend the analysis and verify the robustness of the results, but the paper contributes by serving as a catalyzer of this thinking.

References

Cabral and García Díaz, 2015 R. Cabral, R. García Díaz. Is fiscal policy coordination desirable for a Monetary Union? An assessment from the perspective of a small open economy. Investigación Económica. 2015; in this issue. [ Links ]

Dixit and Lambertini, 2003 A. Dixit, L. Lambertini. Interactions of commitment and discretion in monetary and fiscal policies. American Economic Review. 2003; 93(5):1522p [ Links ]

Hernández and Trejos, 2013 A. Hernández, A. Trejos. Riesgo moral fiscal debido a la Unión Monetaria. Monetaria. 2013; 35(1):69p [ Links ]

Mundell, 1961 R. Mundell. A theory of optimum currency areas. American Economic Review. 1961; 51(4):657p [ Links ]


DISCUSIÓN

Comments by Carlo Panico22

1. A recent essay by Cabral and García Díaz proposes to assess "the appeal of taking part in a large monetary union from the perspective of small open economies" (Cabral and García Díaz, 2015, Abstract). According to the authors, the work was motivated "by the recent experience of Greece and other relatively small European Monetary Union members" (Cabral and García Díaz, 2015, Abstract).

Their analysis makes use of models mainly developed before the recent financial crisis by a literature that focuses on the evaluation of the benefits of alternative exchange rate regimes. It explicitly considers the European Monetary Union (EMU) as "the hardest form of pegged exchange rate regimes" (Cabral and García Díaz, 2015, p. 3), playing down other considerations that can have enhanced the regional integration of the area. The analysis also overlooks the content of two debates. The first deals with the asymmetric working of the international monetary system. The second, which examines the institutional organization of policy coordination in EMU and which developed after the euro area began to operate in 1999, reaches conclusions that are relevant for the issues considered by Cabral and García Díaz.

This comment discusses the consequence of disregarding these debates. It argues that "the appeal of taking part in a large monetary union from the perspective of small open economies" cannot be evaluated without taking into account their results. Cabral and García Díaz conclude that the participation in a monetary union is counterproductive for a small economy unless the fiscal authorities act as a Stackelberg leader in the coordination between monetary and fiscal policy. This conclusion makes it difficult to understand why:

  • small economies in Europe strive to join the euro area in spite of the fact that fiscal policy is rigidly constrained and the monetary authorities act as a Stackelberg leader;

  • the Greek government, after an important political victory in the referendum held on the 5th of July 2015, accepted the heavy conditions imposed by the European authorities in the negotiation leading to the renewal of financial assistance.

The analysis of Cabral and García Díaz leads to conclude that these choices are wrong and irrational. A different conclusion is instead achieved if, by taking into account the changes occurred in the financial system since the 1980s, one considers the existence of a liberalised and highly unstable international monetary system, which favours the rich economies at the expenses of the others, and of the different implications for growth and stability of the alternative approaches to the institutional organization of policy coordination.

The comment develops as follows. Section 2 considers how the debate on the asymmetric working of the international monetary system enters in the choices of the euro countries. Section 3 examines the debate on the institutional organization of policy coordination in EMU and the implications for growth and stability of the alternative approaches to this problem. Section 4 concludes.

2. The economies using the euro enjoy a privileged position in an international monetary system. They can count on a currency allowing them to avoid increasing the ratio official reserve-Gross Domestic Product (GDP) and other problems that are due to the asymmetric working of the international monetary system. The integration and the size of the international financial markets strengthen the role of the hierarchy existing among the currencies (see Patnaik, 2002; MacKinnon, 2002; Aguiar de Medeiros, 2008; Prasad, 2014; Chapoy Bonifaz, 2014). Some of them, considered by the operators of better quality (or of class-A), are preferred to others, considered of class-B, whenever uncertainty increases. According to MacKinnon (2002), "peripheral monies" are held only provisionally because the preference for the "definitive monies" of the richest countries is powerful. As a consequence, large flows of capital move towards the latter countries as soon as uncertainty rises.

The asymmetric working of the international monetary system can clarify why the dollar revaluated in 2008 while Lehman Brothers was breaking down and the U.S. financial system was risking a general collapse and why emerging and developing countries, independently of the deficits or surpluses prevailing in the current accounts of their balance of payments, have been obliged to accumulate increasing amounts of official reserves during the last decades (see Mohanty and Turner, 2005 and 2006; International Relations Committee Task Force, 2006; Frenkel, 2015). This tendency, instead of generating net flows of capital moving from more to less rich countries, as promised before the liberalisations began, has forced the latter to finance the former through the investment of official reserves in high quality assets (see Reinhart and Rogoff, 2004).

Figure 1 shows the data regarding the ratio official reserves-GDP of Central and Latin America countries, confirming that in these countries the ratio has been progressively increasing.

Figure 1 Ratio official reserves-gdp, selected countries, 1960-2012 (Percentages, averages) Source: Our elaboration of World Bank and imf data [Download 31 December 2014]. 

Figure 2 further corroborates the existence of an asymmetric working of the international monetary system by showing that some rich countries [United States of America (USA), United Kingdom (UK) and Canada] have reduced the ratio official reserves-GDP before the crisis.23

Figure 2 Ratio official reserves-gdp, selected countries, 1960-2012 (Percentages, annual data, average values of the three countries) Source: Our elaboration of World Bank and imf data [Download 31 December 2014]. 

The accumulation of official reserves for emerging and developing countries raises several problems. It affects the issue of monetary base and makes sterilising interventions by the central banks necessary. Without these interventions, the banking systems would own such a large amount of monetary base as to make the operation of monetary policy impossible. Yet, sterilising interventions can affect the efficient operation of financial institutions (see Mohanty and Turner, 2005; 2006), of the financial system and of the management of the public debt.24

The asymmetric working of the international monetary system generates other differences in the behaviour of the economies. Emerging and developing countries do not implement the standard scheme of the Inflation Targeting policy. They fear that sudden speculative attacks can transform small movements in the nominal exchange rate into dangerous devaluations.25 According to Céspedes, Chang, and Velasco (2013, p. 1), in Latin America the stability of the nominal exchange rate has been an objective of the monetary policy even if the central banks have not declared that (see also Canales-Kriljenko, 2003; Hüfner, 2004; BIS, 2005 and the Symposium on "Monetary Policy and Central Banking in Latin America" published in Comparative Economic System in 2015). For these authors, the interest rate that the central banks set in their policy, not only reacts in different degrees to the inflation and the output gaps, as foreseen by the standard model of Inflation Targeting (see Svensson, 1999 and 2010; Svensson et al. , 2005; Woodford, 2003), but it is also influenced by the attempts of the authorities to signal their decision to consider the exchange rate as a "nominal anchor".

The stability of the nominal exchange rate contributes to the control of inflation. Yet, if the inflation rate in the less rich countries is higher than that of the richest ones, a stable nominal exchange rate generates a revaluation of the real exchange rate, which in turn affects the international competitiveness of the economy. What's more, the structure of the interest rates of the emerging and developing countries tends to show a positive difference with that of the richest countries because the central banks of the former tend to choose higher policy rates than those prevailing in the latter in order to avoid the occurrence of net outflows of capital and related devaluations. Both conditions, which have been prevailing in recent decades, affect the growth of GDP and prevent the economy from fully exploiting its growth potentials.

The adoption of the euro has allowed the EMU member States to avoid these problems. Figure 3 presents the data regarding the ratio official reserves-GDP of the twelve countries26 participating in the monetary union in 2002, of the nineteen countries that are now participating in it27 and of the Eastern European countries waiting to be admitted.28 Those using the euro show a notable ability to reduce the ratio official reserves-GDP.29 The countries that entered the EMU after 2002 reduced the ratio only after starting to participate. The Eastern European countries waiting to be admitted have instead been bound to increase the ratio, which has approached 30% of GDP during the recent financial crisis.

Figure 3 Ratio official reserves-gdp, selected countries, 1960-2012 (Percentages, annual data) Source: Our elaboration of World Bank and imf data [Download 31 December 2014]. 

The data presented in Figure 3 suggest a reason for desiring to be part of the monetary union even in the presence of a policy coordination process in which the monetary authorities act as a Stackelberg leader. By entering the euro area, the Eastern European countries can benefit from the opportunity to invest in domestic activities, rather than in other countries' financial assets, the large amount of official reserves that now they have to accumulate.

As to Greece's acceptance of the conditions imposed by the European authorities after the striking result of the referendum of the 5th of July, the previous data suggest that leaving the monetary union would have imposed on this country a heavy toll in terms of official reserves to be accumulated. This toll would have required a further squeeze on the income distributed to the citizens, unless the country could receive a large foreign loan for the accumulation of official reserves. The absence of this second solution must have influenced the choices of the Greek national authorities.

3. Some data regarding the interest rates show that, before the debt crisis of 2010, the participation in EMU brought about other benefits to the member countries. Figure 4 compares the interest rates on 10-year government bonds of Germany and other euro countries. It shows that the difference between these rates was large before the introduction of the euro, almost disappeared until the start of the debt crisis in 2010, "burst" with the debt crisis from Spring 2010 to Summer 2012, and returned to more tolerable values when some mechanisms of the coordination process were changed by the ECB's decision to introduce the Outright Monetary Transactions (OMTs), a programme allowing the Eurosystem to discretionarily purchase sovereign bonds in the secondary markets.

Figure 4 Secondary market yields of some European government bonds with maturities of close to 10 years, selected countries (1994-2014) (Percentages, monthly data) Source: Elaborations on ecb database [Download 10 February 2015]. 

The analysis of the causes of the debt crisis has underlined the role of the faults in the institutional organization of the coordination process between monetary and fiscal policies. Without pretending to cover the different aspects of this debate, this comment points out that the existence of these faults had already been acknowledged, before the international financial crisis of 2007-2008, by a debate, which dealt with points overlooked by Cabral and García Díaz and which proposed reforms to be introduced in order to avoid low growth and instability (for an analysis of this debate, see Panico and Vázquez Suárez, 2008). The international financial crisis turned the attention of the authorities away from these proposals. They were however necessary and the incapacity of the European authorities to introduce them, together with the changes in the relations among the different participants in the Union that the international financial crisis brought about, can be seen as a major cause of the disruption of the sovereign debt markets (see Panico and Purificato, 2013; Capraro et al. , 2013).

The debate on the EMU institutional organization developed before the international financial crisis and reached a wide consensus on the inefficient policy outcomes of the existing organization and on need to change it. There was agreement on the fact that it generated policies that are pro-cyclical and unable to take into account the specific needs of the different economies. There was, on the other side, disagreement on how to reform the coordination process. This disagreement reflected the different views on the working of the economic system held by the participants in the debate (see Panico and Vázquez Suárez, 2008; Panico and Purificato, 2013).

According to some authors (see Canzoneri and Diba, 1999; Alesina et al. , 2001; Buti, Eijffinger, and Franco, 2003; Calmfors and Corsetti, 2003; Blanchard and Giavazzi, 2004; Beestma and Debrun, 2005; Buti, Eijffinger, and Franco, 2005; Calmfors, 2005), policy coordination must be seen as amounting to imposing fiscal discipline on the national governments deciding fiscal policies and delegating monetary policy to an independent central bank. Using the words of Cabral and García Díaz one can say that these authors sponsored a coordination process in which the monetary authorities act as a Stackelberg leader. Other authors (see Wyplosz, 1999 and 2005; Pisani-Ferri, 2002; von Hagen and Mundschenk, 2003; Fatás and Mihov, 2003, Fatás et al. , 2003; von Hagen, 2004) adopted a different view, retaining that the identification of common actions by the monetary and fiscal authorities cannot be played down because the choice of the policy mix is relevant for the behaviour of the economy.

According to the former authors, the main problem of the coordination process is to achieve effectiveness in imposing discipline on the national fiscal authorities in order to minimise their free riding behaviour. Rather than changing the institutional organization of the coordination process, the reforms they proposed before the international financial crisis regarded the rules of the Stability and Growth Pact and of the Excessive Deficit Procedures. These rules had to adequately punish misaligned behaviours in order to achieve effectiveness in minimising free riding.

According to the latter authors, to improve the policy outcomes of the coordination process it was necessary to reform both the institutional organization of EMU and the rules of the Stability and Growth Pact and of the Excessive Deficit Procedures. Von Hagen and Mundschenk (2003) present an analysis of the strategic interaction among the actors of the coordination process to show that the institutional organization set up at the start of the monetary union favours the development of non-cooperative attitudes among the monetary and fiscal authorities and consequently leads to inefficient policy outcomes. Under these conditions, monetary and fiscal policies end up by working as strategic substitutes, rather than as complements: 'If the governments pursue output targets exceeding the level of aggregate demand the central bank wishes to achieve, they will boost public deficits. Anticipating this, the central bank will tighten monetary policy more than it would otherwise. The result is an inefficient combination of tight monetary and loose fiscal conditions. Cooperative policies could achieve a better policy mix with lower interest rates and smaller deficits' (Von Hagen and Mundschenk (2003), p. 284).

Von Hagen and Mundschenk recall that the coordination process existing in EMU adopts a "narrow approach", which focuses on monitoring the national fiscal policies in order to penalise those who take decisions that, according to the coordinating authorities, negatively affect the euro area. Within this approach, "punishment", i.e. the penalties foreseen by the norms of the Excess Deficit Procedures, plays a central role in the coordination process.

According to von Hagen and Mundschenk, the "narrow approach" generates non-cooperative attitudes among the authorities and must be replaced by a "broad approach", which is based on the use of methods, instruments and incentives favouring the participation of all authorities in the identification and the implementation of common policy objectives. This proposal underlines the need to create a positive environment through the active participation of all actors in the decision process and the need to introduce a system of incentives based on both penalties and prizes. As in any aspect of human life, a system of incentives only based on "punishment", instead of generating responsible and law-abiding participation, stimulates dishonest and deceiving attitudes.

Some outstanding economists of the past underlined the relevance of cooperative attitudes in the management of economic policy. Entering into a debate between the U.S. monetary and fiscal authorities, Samuelson made a strong statement on this point:

I do not wish to go into the merits of the struggle between the Treasury and Federal Reserve. Let me simply state dogmatically that the Secretary of the Treasury should be just as concerned for the nation's stability as the Central Banker. (...) [T]here is no legitimate clash between Treasury and Central Bank policy: They must be unified or coordinated on the basis of the over-all stabilisation needs of the economy, and it is unthinkable that these two great agencies could ever be divorced in functions or permitted to work at cross purposes. (In particular it is nonsense to believe, as many proponents of monetary policy used to argue, that fiscal policy has for its goal the stabilisation of employment and reduction of unemployment, while monetary policy has for its goal the stabilisation of prices. In comparison with fiscal policy, monetary policy has no differential effectiveness on prices rather than on output) (...). I have already asserted that the Treasury and Central Bank have to be co-ordinated in the interests of national stability, so I am little interested in the division of labour between them' (Samuelson, 1956, pp. 14-15).

An example of efficient coordination within EMU can be found in the organization of monetary policy. The Eurosystem too requires a coordination process that guarantees that the super-national decisions, taken in Frankfurt, are correctly executed at the national level. In this case, the coordination process follows a "broad approach". The National Central Banks (NCBs) directly participate in the decision process by discretionarily making technical evaluations in order to identify common interests, objectives and actions. Unlike what happens in fiscal policy, monetary policy decisions are not based on rigid rules. Moreover, the system of incentives introduced to coordinate the implementation of monetary policy at the national level is mainly based on prizing the institutional loyalty and the professional merit. To guarantee the correct implementation of the super-national decisions, the European Treaties and the Statute of the European System of Central Banks and of the European Central Bank also foresee penalties for incorrect behaviours.30 These rules, which can oblige the NCBs' directors to implement the decisions taken at the super-national level, are conceived to affect the powers of these executives while avoiding penalising the citizens. It is worth noticing that, owing to the efficient working of the system of incentives based on prizes, these penalties have never been used.

The analysis of von Hagen and Mundschenk supports the standpoint held by the authors who proposed a reform both of the institutional organization of the EMU coordination process and of the rules of the Stability and Growth Pact and of the Excessive Deficit Procedures. As to the institutional organization, they recommend the introduction of independent fiscal agencies.

According to Wyplosz (2005), the institutional organization of fiscal policy has to follow the positive experience of monetary policy, which achieved satisfactory results when, after acknowledging the failure of rigid rules, such as Friedman's for the growth of monetary aggregates, it moved to institutional reforms and central bank independence. Wyplosz proposed to set up independent 'fiscal policy committees' similar to 'monetary policy committees', arguing that they can generate better results than rigid numerical rules.31 The committees can fix, year after year, the budget deficit-to-GDP ratio that each country must respect, taking into account the cyclical conditions and the structural needs of the economies and having as an objective the sustainability of government debt. A similar proposal can be made for the application of other related policies, concerned with infrastructures, energy, environment, industrial development, etc. As to the rules regarding the incentives for the monetary and fiscal authorities, they should be based on both prizes and penalties and should be directed to create a cooperative environment among the authorities. These conditions should lead to the restoration of the efficient use of fiscal, industrial and other policies and to the identification of an appropriate policy mix for the euro area.

Without pretending to enter into the details of these complex problems, let's suggest here that a European policy focusing on infrastructures or industrial development can provide some prizes for the system of incentives. The policy should be operated by lending the resources collected through euro-bonds issued by the European Commission to an independent Agency and should be designed at the super-national level with the direct participation of all the authorities. The design of the policy should take into account the loyalty of the national authorities to the European values and decisions. It can prize the loyal authorities and be used to penalise those who do not respect the supernational decisions, having care to avoid damaging the citizens of that country. In the case of violation of the European agreements, for instance, the Agency should have the power to transfer the execution of the projects from the national to a super-national authority, thus hitting the interests of the national politicians involved without affecting those of the citizens.

Going back to the essay of Cabral and García Díaz, one can notice the relevance that the debate on the institutional organization of EMU attributed to participation and cooperative attitudes. In the essay of Cabral and García Díaz hardly any attention is devoted to these elements. Indeed, their problem is to identify through maximising procedures which authority should lead the process and which should be obliged to follow.

Unlike what happened in the past (as the previous reference to Samuelson's position points out), this way of designing the relations among State institutions (or among the institutions participating in the governance of an economy, as in the case of EMU) is widespread in recent economy literature, particularly after the seminal contribution of Rogoff (1985), which originated the so-called "institutional design literature". Several outstanding criticisms have been raised against this literature (for a review of the criticisms to its application to monetary policy, see Panico and Rizza, 2004). As the essay by Cabral and García Díaz indicates, this literature can provide useful insights. Yet, it has to recognise the limitations that it faces in the study of the relations among institutions. As Tobin (1994) pointed out, its overlooking of the complex working of governance can generate some serious problems when it is concretely applied to the institutional organization of an economy. Tobin, in particular, expressed some preoccupations for the safeguarding of democracy, which is founded on the respect of procedures and not on the mere achievement of results defined by economic theory as socially optimal.

His preoccupations remind us that the use of the notion of economic rationality in the analysis of individual choices brings about both accomplishments and disappointments. Attention to the notion of "bounded rationality" makes us discover that other elements, such as fears, habits, conventions, etc., are relevant when individual choices are taken. The same applies to the study of institutions, in which elements like confidence, cooperation, democratic legitimation and participation, can hardly be disregarded.

4. The essay of Cabral and García Díaz provides a valuable analysis of how to organize a pegged exchange rate regime. Its complex analysis provides interesting insights into this issue. Yet, it disregards elements that are crucial for interpreting the working of a process of regional integration and monetary unification, like EMU. These elements are related to the need to defend the economies and the citizens from the growing instability generated by the working of a large, powerful and internationally integrated financial system and to create a coordination process in which cooperation among the actors and loyalty to shared values play a central role.

References

Aguiar de Medeiros, 2008 C. Aguiar de Medeiros. Financial dependency and growth cycles in Latin American countries. Journal of Post Keynesian Economics. 2008; 31(1):79-99 [ Links ]

Alesina et al., 2001 A. Alesina, O. Blanchard, J. Gali, F. Giavazzi, H. Uhlig. Defining a macroeconomic framework for the Euro Area. Monitoring the European Central Bank 3.. London: Centre for Economic Policy Research (CEPR); 2001. [ Links ]

Beestma and Debrun, 2005 R. Beestma, X. Debrun. Implementing the Stability and Growth Pact: Enforcement and procedural flexibility [ECB Working Paper no. 433].. Germany: European Central Bank, Frankfurt am Main; 2005. [ Links ]

BIS, 2005 Foreign Exchange market intervention in emerging markets: Motives, techniques and implications [BIS Papers no. 24]. Basel, Switzerland: Bank for International Settlements (BIS); 2005. [ Links ]

Blanchard and Giavazzi, 2004 O.J. Blanchard, F. Giavazzi. Improving the SGP through a proper accounting of public investment [CEPR Discussion Paper no. 4220].. London: Centre for Economic Policy Research; 2004. [ Links ]

Buti et al., 2003 M. Buti, S. Eijffinger, D. Franco. Revisiting the Stability and Growth Pact: grand design or internal adjustment?. [European Economy –Economic Papers no. 180].. Brussels, Belgium: European Commission, Directorate-General for Economic and Financial Affairs; 2003. [ Links ]

Buti et al., 2005 M. Buti, S. Eijffinger, D. Franco. The Stability Pact pains: A forward-looking assessment of the reform debate [CEPR Discussion Paper no. 5216]. London: Centre for Economic Policy Research; 2005. [ Links ]

Cabral and García Díaz, 2015 R. Cabral, R. García Díaz. Is fiscal policy coordination desirable for a Monetary Union?. An assessment from the perspective of a small open economy. Investigación Económica. 2015; in this issue [ Links ]

Calmfors, 2005 L. Calmfors. What remains of the Stability Pact and what next?. [Report no. 8, November]. Stockholm: Swedish Institute for European Policy Studies; 2005. [ Links ]

Calmfors and Corsetti, 2003 L. Calmfors, G. Corsetti. How to reform Europe's fiscal policy framework. World Economics. 2003; 4(1):109-116 [ Links ]

Calvo and Reinhart, 2002 G. Calvo, C. Reinhart. Fear of floating. Quarterly Journal of Economics. 2002, May; 117:379-408 [ Links ]

Canales-Kriljenko, 2003 J.I. Canales-Kriljenko. Foreign exchange intervention in developing and transition economies: Results of a survey [IMF Working Paper WP/03/95]. Washington DC: International Monetary Fund (IMF); 2003. [ Links ]

Canzoneri and Diba, 1999 M.B. Canzoneri, B.T. Diba. The Stability and Growth Pact: A delicate balance or an albatross?. Empirica. 1999; 26(3):241-258 [ Links ]

Capraro et al., 2013 S. Capraro, C. Panico, I. Perrotini, F. Purificato. Economía Política de la crisis de deuda en Europa. Investigación Económica. 2013; 72(286):35-64 [ Links ]

Céspedes et al., 2013 L.F. Céspedes, R. Chang, A. Velasco. Is Inflation targeting still on target?. The recent experience of Latin America [Working Paper Series no. 384]. Washington, DC: Inter-American Development Bank (IDB); 2013. [ Links ]

Chapoy Bonifaz, 2014 A. Chapoy Bonifaz. Procesos de integración monetaria Sur-Sur. UNAM. 2014; [ Links ]

Fatás and Mihov, 2003 A. Fatás, I. Mihov. On constraining fiscal policy discretion in EMU. Oxford Review of Economic Policy. 2003; 19(1):112-131 [ Links ]

Fatás and Mihov, 2010 A. Fatás, I. Mihov. The Euro and the fiscal policy. Europe and the Euro. Chicago: National Bureau of Economic Research and University of Chicago Press; 2010. 287-324 [ Links ]

Fatás et al., 2003 A. Fatás, J. von Hagen, A. Hughes Hallett, R.R. Strauch, A. Sibert. Stability and Growth in Europe: Towards a Better Pact (Monitoring European Integration 13). London: CEPR; 2003. [ Links ]

Frenkel, 2015 R. Frenkel. Central banks in Latin America: In search of stability and growth Introduction of the Symposium on “Monetary Policy and Central Banking in Latin America. Comparative Economic System. 2015; 57(3):365-368 [ Links ]

Griffith-Jones et al., 2001 S. Griffith-Jones, M.F. Montes, A. Nasution. Managing capital surges in emerging economies. Short-term capital flows and economic crises. Oxford UK and New York: Oxford University Press; 2001. 263-290 [ Links ]

Hüfner, 2004 F. Hüfner. Foreign Exchange Intervention as a Monetary Policy Instrument Evidence for Inflation Targeting Countries (ZEW Economic Studies 23). Heidelberg: Physica- Verlag; 2004. [ Links ]

International Relations Committee Task Force, 2006 The accumulation of foreign reserves [Occasional Paper Series no. 43]. Germany: European Central Bank, Frankfurt am Main; 2006. [ Links ]

MacKinnon, 2002 MacKinnon, R., 2002. The dollar standard and its crisis-prone periphery: New rule for the game. Address Delivered on the Occasion of CEMLA's Fiftieth Anniversary, Mexico City. [ Links ]

Mohanty and Turner, 2005 M.S. Mohanty, P. Turner. Intervention: What are the domestic consequences?. BIS Research Papers. 2005 24, May; 56-81 [ Links ]

Mohanty and Turner, 2006 M.S. Mohanty, P. Turner. Foreign exchange reserve accumulation in emerging markets: what are the domestic implications?. BIS Quarterly Review. 2006 September; 39-56 [ Links ]

Panico, 2014 C. Panico. Política monetaria y derechos humanos: un enfoque metodológico y su aplicación a Costa Rica, Guatemala y México [Documentos de Proyecto 2014-027], octubre]. Comisión Económica para América Latina y el Caribe (CEPAL), Sede Subregional en México, Mexico City. 2014; [ Links ]

Panico and Rizza, 2004 C. Panico, M.O. Rizza. Central bank independence and democracy: A historical perspective. Money Credit and the Role of the State: Essays in Honour of Augusto Graziani. London: Ashegate; 2004. 447-467 [ Links ]

Panico and Vázquez Suárez, 2008 C. Panico, M. Vázquez Suárez. Policy coordination in the euro area. Studi Economici. 2008; 96(3):5-31 [ Links ]

Panico and Purificato, 2013 C. Panico, F. Purificato. Policy coordination, conflicting national interests and the European debt crisis. Cambridge Journal of Economics. 2013; 37(3):585-608 [ Links ]

Patnaik, 2002 P. Patnaik. Globalisation of capital and terms of trade movements. International Conference on Agrarian Reforms and Rural Development in Less Developed Countries, Kolkata, India. 2002, January; 3-6 [ Links ]

Pisani-Ferry, 2002 Pisani-Ferry, J., 2002. Fiscal discipline and policy coordination in the Eurozone: Assessment and proposals. Mimeo. Available at: < http://www.pisani-ferry.net/base/re02-gea-discipline-vmai.pdf > [ Links ]

Prasad, 2014 E.S. Prasad. The Dollar Trap: How the US Dollar Tightened its Grip on Global Finance. Princeton New Jersey: Princeton University Press; 2014. [ Links ]

Reinhart and Reinhart, 1999 C.M. Reinhart, V. Reinhart. Some lessons for policy makers who deal with the mixed blessing of capital inflows. Capital flows and financial crises. Ithaca NY: Cornell University Press; 1999. 93-127 [ Links ]

Reinhart and Rogoff, 2004 C.M. Reinhart, K.E. Rogoff. Serial default and the paradox of rich- to-poor capital flows. American Economic Review. 2004, May; 94:53-58 [ Links ]

Rogoff, 1985 K. Rogoff. The optimal degree of commitment to an intermediate monetary target. Quarterly Journal of Economics. 1985, November; 1169-1189 [ Links ]

Ros, 2015 J. Ros. Central bank policy in Mexico: Target, instruments and performance, Symposium on “Monetary Policy and Central Banking in Latin America. Comparative Economic System. 2015, September; 57(3):483-510 [ Links ]

Samuelson, 1956 P.A. Samuelson. Recent American monetary controversy. Three Banks Review. 1956; 3-21 [ Links ]

Svensson, 1999 L.E.O. Svensson. Inflation targeting as a monetary policy rule. Journal of Monetary Economics. 1999; 43:607p [ Links ]

Svensson, 2010 L.E.O. Svensson. Inflation targeting. Handbook of Monetary Economics (Volume 3). First edition. Amsterdam: Elsevier; 2010. [ Links ]

Svensson and Woodford, 2005 L.E.O. Svensson, M. Woodford. Implementing optimal policy through inflation-forecast targeting. The Inflation-Targeting Debate. Chicago: University of Chicago Press; 2005. [ Links ]

Symposium, 2015. Monetary Policy and Central Banking in Latin America. Comparative Economic System, 57(3), September, pp. 365-568. [ Links ]

Tobin, 1994 J. Tobin. Panel discussion: How can monetary policy be improved?. Central bank independence and inflation targeting: Monetary policy paradigms for the next millennium?. New England Economic Review; 1994, January/February. 19-36 [ Links ]

Hagen and Mundschenk, 2003 J. von Hagen, S. Mundschenk. Fiscal and monetary policy coordination in EMU. International Journal of Finance and Economics. 2003; 8:279-295 [ Links ]

Hagen, 2004 von Hagen, J., 2004. Fiscal sustainability in EMU: From the Stability and Growth Pact to a Sustainability Council for EMU [CESifo Working Papers]. CESifo Group Munich, Munich, Germany. Available at: < http://www.cesifo-group.de/portal/page?_pageid=36,103017&_dad=portal&_schema=PORTAL⁢em_link=del04-programme.htm >. [ Links ]

Woodford, 2003 Woodford M. Interest and Prices: Foundations of a Theory of Monetary Policy Princeton Princeton University Press 2003. [ Links ]

Wyplosz, 1999 Wyplosz, C., 1999. Economic policy coordination in EMU: strategies and institutions. Mimeo. Available at: < http://hei.unige.ch/∼wyplosz/cw_bonn_final.PDF >. [ Links ]

Wyplosz, 2005 C. Wyplosz. Fiscal policy: Institutions versus rules. National Institute Economic Review. 2005; 191:70-84 [ Links ]


DISCUSIÓN

Comentarios de Leonardo Egidio Torre Cepeda32

En el trabajo los autores se plantean dos preguntas. La primera es si participar en una unión monetaria es deseable para una pequeña economía abierta. La segunda es si, dentro de una unión monetaria, la coordinación fiscal beneficia o perjudica a una pequeña economía abierta que delega su política monetaria a una autoridad central. Para ello, construyen un modelo basado en Canzoneri y Henderson (1991); Ghironi y Giavazzi (1998); Eichengreen y Ghironi (2002); Jensen (1991); Pizzati (2001), y Eichengreen y Ghironi (2002).

Apoyados en su modelo base, los autores demuestran que, dejando consideraciones fiscales a un lado, a una pequeña economía abierta no le conviene participar en una unión monetaria debido a que puede beneficiarse de la estabilidad que ofrece la unión, al tiempo que conserva la capacidad de utilizar su política monetaria para cuando enfrente choques.

Sin embargo, cuando se toman en cuenta aspectos fiscales, participar en una unión monetaria se vuelve económicamente rentable, ya que ante un choque (negativo) en productividad, la autoridad fiscal, al preocuparse por los niveles de empleo dentro de la unión monetaria, reaccionará reduciendo impuestos y gasto público a fin de atenuar presiones inflacionarias y de desempleo. A lo anterior se le deben agregar las ganancias derivadas por la ausencia de volatilidad cambiaria y la reducción en impuestos.

De acuerdo con el modelo base, dentro de una unión monetaria la estrategia en la cual la autoridad fiscal actúa como un líder (a la Stackelberg) en la toma de decisiones, y la autoridad monetaria es la seguidora, no sólo es la estrategia más eficiente, sino también la más probable que emerja. La defensa que hacen los autores de su principal conclusión encuentra sustento en el hecho de que las autoridades fiscales son, por naturaleza de los marcos institucionales en los que operan, las líderes, dado que fijan sus posturas con antelación y con menor frecuencia que las autoridades monetarias.

Si bien el modelo base está bien especificado y las derivaciones son correctas, existen algunas áreas de oportunidad para refinar el trabajo.

Un primer punto se refiere al concepto de free riding que utilizan los autores en la introducción, ya que éste es esencial para entender por qué si se dejan los aspectos fiscales a un lado, una unión monetaria no resulta rentable para una pequeña economía abierta.

Un segundo punto es por qué al inicio de la tercera sección los autores plantean que el "problema de los bancos centrales es alcanzar la estabilidad de precios", siendo que al suponer que σ1 es igual a 0.2, implícitamente están suponiendo que los bancos centrales están tomando en consideración tanto la inflación como el empleo en su función objetivo.

Otro punto que convendría que los autores describieran de manera general, quizá en una nota al pie, es lo que ocurre con los resultados en el cuadro 2 a medida que β pasa de 0.5 a 0.9. ¿Es el incremento en los costos lineal?

Un supuesto muy fuerte del modelo, a primera instancia, es proponer una autoridad fiscal benevolente ocupada en maximizar el bienestar de sus residentes (ocupándose simultáneamente de sus niveles de inflación, empleo, cargas fiscales y volatilidad cambiaria). En este sentido, los autores deberían mencionar si sus principales resultados se mantienen aún en el caso de autoridades fiscales "egoístas". Si no existe literatura al respecto, mencionar en sus comentarios finales que ésta puede ser una futura línea de investigación.

Los autores también podrían "balancear" un poco más su introducción y sus conclusiones, pues mientras en la primera enfatizan que "la diferencia entre las dimensiones de los miembros de la Unión Monetaria Europea es un aspecto importante que pudiera tener efectos profundos en los procesos de estabilización de estas economías", en las conclusiones se olvidan de este punto.

Resulta interesante destacar que el modelo básico que aquí se presenta (sin consideraciones fiscales) y que indica que ante un choque real resulta conveniente contar con un tipo de cambio flexible y no con un tipo de cambio fijo (como implica pertenecer a una Unión Monetaria), es similar al resultado que se desprende del modelo clásico IS-LM-BP para una pequeña economía abierta con tipo de cambio flexible y en el cual, ante choques reales exógenos, la política monetaria resulta una herramienta efectiva para estabilizar producción y empleo. Este hecho podría mencionarse, si los autores así lo consideran pertinente, en alguna nota al pie.


DISCUSIÓN

Reply to the comments by Ortiz, Panico and Torre

The thoughtful comments by Ortiz, Panico and Torre provide us with the opportunity to reflect on some aspects that we might have omitted or not discussed in enough detail in our paper. We welcome this opportunity to reply and provide more specifics on some of those comments, as well as to express our own thoughts and opinions about their remarks. We focus our attention on three of those comments.

The first important remark made by the commentators has to do with the absence of other important fiscal policy considerations not discussed in our paper, such as the incentives of fiscal authorities to run large deficits and issue debt under different policy regimes. No doubt, these are important aspects that led to significant economic instability following the recent global financial crisis. Clearly, in our analysis we had to disregard important variables like seigniorage and public debt from our government budget constraint given the limited ability of our model to handle intertemporal decision-making. Unfortunately, the static nature of our model does not provide enough grounds to explore potentially important moral hazard dilemmas that emerge from fiscal policy interaction under alternative monetary and fiscal coordination schemes. We think this is eminently an area of work for further research which would be more successfully addressed under a different model specification.

A second related issue expressed by the commentators is about the lack of analytical solutions to allow the comparison of regimes in a more transparent fashion. While we strived to reach those comparisons, the presence of asymmetric features prevent us from finding suitable analytical expressions to carry out detailed regime rankings. We realize that this is in fact the same problem faced by other authors who have introduced asymmetric features in the size and structure of the economies under this framework (see, for instance, the references cited in the paper by Ghironi and Giavazzi (1998) and Eichengreen and Ghironi (2002)). Apparently, the only way to reach comparable analytical solutions is when β =1/2. However, this is the less interesting case in which the two economies in our model are size symmetric. Due to the impossibility of deriving analytical solutions we had to rely on a numerical solution based on parameters borrowed from empirical evidence or used previously in related literature.

Finally, with respect to the scope of our paper, the work we present is theoretical in nature and does not consider other political implications concerning the feasibility of the alternative fiscal and monetary policy regimes explored. We think that the Photis Lysandrou interview, published in this same issue of Investigación Económica , as well as the comments by Panico, and the references therein, offer a very good overview of those potential political implications that escape from the analysis here presented. Indeed, we have left aside elements that might be crucial for achieving the political integration of a currency union, such as the grounding institutional framework and the incentives of individual countries, but they are outside the scope of this paper. We leave this important theme as a line for further research.

Creative Commons License This is an open-access article distributed under the terms of the Creative Commons Attribution License