Servicios Personalizados
Revista
Articulo
Indicadores
-
Citado por SciELO -
Accesos
Links relacionados
-
Similares en
SciELO
Compartir
Investigación económica
versión impresa ISSN 0185-1667
Inv. Econ vol.68 no.269 Ciudad de México jul./sep. 2009
La tasa de inflación en México, 20002007
The rate of inflation in Mexico, 20002007
Miguel Ángel Díaz Carreño y Reyna Vergara González*
Facultad de Economía de la Universidad Autónoma del Estado de México. <madiaz@colpos.mx> y <reyna_vg@yahoo.com>.
Manuscrito recibido en febrero de 2008
Aceptado en mayo de 2008.
Resumen
En este estudio se prueba la viabilidad de la utilización de la distribución normal en la modelación estadística de la tasa de inflación de México durante 20002007 a partir del empleo de las pruebas estadísticas de bondad de ajuste de Kolmogorov Smirnov y AndersonDarling. Se encontró que el supuesto de normalidad es adecuado para estudiar el comportamiento de la inflación en México durante este período. Además, se estimó con una confiabilidad de 95% que ese indicador oscilará entre 4.1 y 5.6 por ciento anualmente.
Palabras clave: distribución normal, pruebas de bondad de ajuste, tasa de inflación.
Clasificación JEL: C12, C16, E31
Abstract
This paper examines the validity of the assumption of normality for the rate of inflation in Mexico over the period 20002007, using the KolmogorovSmirnov and AndersonDarling goodness of fit tests. It is found that the normality assumption is appropriate to characterize the behavior of Mexico’s rate of inflation. In addition, it is estimated that the inflation rate will lie between 4.1 and 5.6 per cent each year.
Key words: normal distribution, goodness of fit test, inflation rate.
INTRODUCCIÓN
Desde principios de la década de los ochenta, la política económica del país se ha enfocado en la reducción de los altos niveles inflacionarios aun a costa de un menor crecimiento económico, con los efectos negativos sobre el empleo que esto implica. Entre otras razones, se argumenta que en períodos de alta inflación la capacidad adquisitiva del ingreso de la población se reduce, la tasa de interés se incrementa, la competitividad del país en los mercados internacionales desciende y que los precios relativos dejan de cumplir su función esencial de contribuir a una asignación eficiente de los recursos productivos.
En México, la transformación del proceso inflacionario durante los últimos treinta años, según Ramos y Torres (2006), brinda la oportunidad de comparar las características estructurales de una economía que ha experimentado una alta inflación en el pasado pero que ha tenido éxito en reducirla a niveles bajos y estables.
El deterioro de las finanzas públicas, originado por políticas expansivas que dominaron el escenario en los años ochenta, generó altos y persistentes déficit que culminaron en una crisis de deuda y un nivel de inflación excesivo. Para Ortiz (2002) esta experiencia demostró la necesidad de reducir el tamaño del sector público como condición para un crecimiento sostenible, hizo evidente la debilidad de las instituciones fiscales y financieras y reconoció la necesidad de implementar importantes cambios en la política fiscal y monetaria con objeto de restablecer la estabilidad macroeconómica y la confianza en las instituciones.
El régimen de tipo de cambio que fluctuó en torno a una senda objetivo desde 1991, fue clave para alcanzar la estabilidad nominal entre 1988 y 1994. Sin embargo, diversos desequilibrios macroeconómicos que culminaron en la crisis financiera de 1995 obligaron a seguir un tipo de cambio flexible y a redefinir temporalmente la estrategia monetaria en función de metas cuantitativas, compatibles con un objetivo anual de inflación. La idea de utilizar un agregado monetario1 como guía de la política monetaria, cuando éstos habían dejado de ser confiables en otras economías, era controlar la inflación y recobrar la credibilidad en un entorno altamente volátil derivado de la crisis financiera.
Después de que se introducen los objetivos de inflación en 1996 empieza a perder importancia la cantidad de dinero como objetivo intermedio. No obstante el Banco de México (Banxico) continúa anunciando este esquema monetario hasta 2001,2 convirtiéndose desde entonces en el ancla nominal de la economía. Con el ajuste implícito (a través del corto) y explícito de la tasa de interés como instrumento monetario, el Banco Central busca reducir el nivel de inflación y su variabilidad, situándose en la actualidad muy cerca de su objetivo, un comportamiento característico de un régimen de objetivos de inflación (Chiquiar et al. 2007).
En el esquema monetario actual, la atención de las autoridades monetarias se centra en la tasa de interés y en la estabilidad de precios como su objetivo último. Se trata de fijar la tasa de interés de corto plazo en un determinado objetivo, el cual se modifica en función de las variaciones del producto y de la inflación. Por lo tanto, se supone que el banco central sigue una regla basada en la tasa de interés, llamada "Regla de Taylor" (Romer 2006).
En esta nueva forma de elaborar y conducir la política monetaria, el esquema de análisis básico está integrado por tres ecuaciones (Clarida et al. 1999): una función de demanda agregada (IS), una función de oferta agregada (Curva de Phillips) y una ecuación para la tasa de interés (Regla de Taylor). Esta última da solución al sistema y proporciona una mejor descripción del comportamiento de los bancos centrales.

donde it es la tasa de interés nominal de corto plazo, yt el nivel de producción,
la producción potencial,
t la tasa de inflación,
* el objetivo de inflación y vt, ut y et representan las perturbaciones aleatorias de la demanda agregada, la tasa de inflación y la tasa de interés, respectivamente.
Si se presentaran brechas positivas (o negativas) en la tasa de inflación o el nivel de producción respecto de sus valores objetivo, la reacción del Banco Central sería incrementar (disminuir) la tasa de interés nominal de referencia de acuerdo con los valores de los ponderadores µ1 y µ2 con el fin de alcanzar su objetivo de inflación.
El presente artículo se organiza de la siguiente forma. La segunda parte comenta la literatura sobre el tema; la tercera describe los principales estadísticos de la inflación en México; en la cuarta se desarrolla el marco referencial donde se aborda el tema de las pruebas de bondad de ajuste de mayor empleo para la verificación de normalidad; en la quinta se presentan los resultados de la aplicación de las pruebas de bondad de ajuste sobre los datos de la tasa de inflación mensual de México y se elaboran intervalos de confianza con el objetivo de mostrar qué valores de la inflación tienen mayor probabilidad de ser observados en el largo plazo, y la última son las conclusiones.
REVISIÓN DE LA LITERATURA
En congruencia con los cambios en la elaboración práctica de la política monetaria, la mayoría de las investigaciones analizan el comportamiento de la inflación por el lado de la oferta, utilizando con menos frecuencia la cantidad de dinero (enfoque dominante hasta hace pocos años). Recientemente, otro grupo de trabajos, basados en el análisis univariado explica el proceso inflacionario tan sólo a partir de sus propiedades estadísticas.
Urbina (2001) emplea un modelo de regresión lineal múltiple para explicar el comportamiento de la tasa de inflación durante 19942001. Como variables explicativas utiliza el tipo de cambio, la tasa de interés interbancaria de equilibrio y los precios públicos (gasolina, gas y electricidad). De acuerdo con sus estimaciones la variable que más contribuye al incremento de la inflación, tanto en el corto como en el largo plazo, es la inflación pasada seguida de los precios de la gasolina y de los salarios, mientras que el tipo de cambio y la tasa de interés tienen un efecto marginal sobre ésta.
Ramos y Torres (2006) y Laguna (2007) analizan la dinámica inflacionaria a partir del marco teórico de la nueva curva de Phillips desarrollado por Gali y Gertler (1999).

En este enfoque la inflación depende de su propio valor esperado y de un indicador cíclico de la actividad económica como la brecha de producción (o alguna medida alternativa que podría ser el costo marginal), definida como la diferencia entre la producción efectiva y la potencial; P es un factor de descuento subjetivo, y et una perturbación aleatoria con media cero y varianza constante. Con esta especificación3 la inflación no debería presentar algún tipo de persistencia ya que son las condiciones económicas actuales y sobre todo las futuras, y no la inercia o la inflación pasada, las que determinan el comportamiento de la inflación en el presente (Clarida et al. 1999). Sin embargo, dada la persistencia observada en los datos para la economía mexicana, Ramos y Torres (2006) estiman una versión, a la que llaman "hibrida", que incluye, además de la inflación esperada y un indicador de actividad económica, la tasa de inflación pasada. Con esta especificación alternativa la inflación es resultado de una suma ponderada de sus componentes pasado (backward) y esperado (forward)4 y de la brecha del costo marginal real5 como indicador de la actividad económica. El parámetro λ de la ecuación [1] depende de factores estructurales.6
De acuerdo con los resultados obtenidos para el período 19922006, la inflación pasada y la esperada tienen una importancia similar en el comportamiento de la inflación actual; la brecha del costo marginal también resultó ser significativa, aunque con un coeficiente de menor valor.
Para evaluar si el período de menor inflación, observado recientemente, pudo haber originado un cambio en la dinámica inflacionaria estiman la nueva curva de Phillips para el período 19972006. Los resultados muestran un cambio importante en los componentes de la inflación, puesto que pierde importancia el coeficiente relacionado con la inflación pasada (0.499 versus 0.129) y cobra mayor relevancia el componente de la inflación esperada (0.5 versus 0.8). En resumen, aunque los costos marginales de las empresas contienen información relevante para explicar la dinámica de la inflación, la variación del nivel de precios es explicada principalmente por sus propios rezagos.
Tomando como punto de partida la especificación [1], Laguna (2007) define a la inflación en función de la brecha de producción rezagada y de la inflación esperada, que define como una suma ponderada de la tasa de inflación de largo plazo y la inflación rezagada,
. La inflación esperada en el largo plazo es aquella que es necesaria para mantener el tipo de cambio real constante.

La tasa de inflación de largo plazo depende de la tasa de inflación internacional (
*t ) y de la tasa de depreciación nominal del tipo de cambio (εt). De acuerdo con lo anterior, la tasa de inflación no sólo se determina por la brecha del producto (rezagada) y la inflación pasada, sino también por la inflación externa y la depreciación nominal del tipo de cambio. A partir de esta última especificación se estiman relaciones de largo y corto plazos.
De acuerdo con sus resultados de largo plazo, el factor que más afecta el comportamiento de la inflación es la inflación pasada por cada punto porcentual de aumento en esta última, el aumento en la inflación es de 0.735% seguida por la inflación externa y la tasa de depreciación del tipo de cambio nominal. Sus resultados también muestran que la brecha de producción es un determinante importante de inflación. De acuerdo con los resultados de corto plazo (con un término de corrección significativo), la inflación pasada y la brecha de producción son los principales determinantes de la inflación.
Empleando un enfoque monetario tradicional de demanda de dinero, Garcés (2002) examina la relación entre la cantidad de dinero y la inflación a corto y largo plazos e identifica los principales determinantes de la inflación. Estima dos períodos: 19451982 y 19832000. Para el primer período encuentra que sólo es significativo el nivel de producción y establece que la demanda de dinero se ajusta a la ecuación cuantitativa clásica. Para el segundo período concluye que la inflación depende del tipo de cambio, los salarios y la inflación pasada.
Esquivel y Razo (2003) consideran que el problema de la inflación está relacionado con diversos factores de oferta y demanda que pueden generar presiones inflacionarias. Estas presiones, que definen como desviaciones o desequilibrios del estado estacionario, tienen su origen en el mercado laboral, monetario y cambiario. Sus estimaciones demuestran que además de estos factores de presión, los precios públicos y la inflación pasada son los principales determinantes del proceso inflacionario en México en el período 19892000.
Capistrán y Ramos (2006) utilizan técnicas univariadas para estudiar el proceso inflacionario en diez países de América Latina. Sus resultados establecen que: 1) la aparente no estacionariedad de la inflación tiene su origen en cambios estructurales; 2) el coeficiente medio de persistencia inflacionaria para la región es alto (0.71, medido a partir de la suma de los coeficientes autorregresivos); 3) en México este coeficiente presenta en general una tendencia decreciente. Cuando se controla por cambios estructurales en la media, el coeficiente relacionado con la inflación pasada disminuye de 0.83 (en 19801989) a 0.31 (en 20002006), incluso si no se consideran cambios en la media su valor disminuye de forma importante.7 Estos resultados reflejan un cambio importante en la dinámica inflacionaria a partir del 2000.
Aplicando una nueva metodología para probar la presencia de raíces unitarias, Chiquiar et al. (2007) analizan las propiedades estocásticas del proceso de inflación en México. El objetivo es comprobar la presencia de un cambio estructural en el proceso inflacionario y demostrar si éste es estacionario en la actualidad. Sus resultados sugieren que efectivamente la inflación en México pasó a ser un proceso estacionario entre finales del 2000 y principios de 2001.
Estos resultados coinciden con los presentados por Capistrán y Ramos (2006), lo que sugiere un cambio estructural en la inflación y su persistencia. El descenso en el valor medio de la inflación en los últimos años es congruente con el cambio del proceso de I(1) a I(0) reportado por Chiquiar et. al (2007), lo que tiene importantes implicaciones para la política monetaria al garantizar que los choques que afectan a la inflación tengan un efecto temporal.
Los estudios anteriores muestran que el comportamiento de los precios en México se explica por factores tales como los precios públicos, salarios, tipo de cambio, pero sobre todo por la inflación pasada (a corto y largo plazos). Factores que están más allá del impacto directo de la política monetaria (Alfaro y Schwartz 2000).
En el presente artículo se realiza un estudio de la inflación de México teniendo en cuenta únicamente el pasado de ella misma a partir del empleo de un modelo de probabilidad continuo que previamente es validado mediante la aplicación de una prueba estadística de bondad de ajuste. Lo anterior se sustenta en que, no obstante que la evidencia sugiere que el fenómeno de la inflación es generado por una diversidad de factores, la contribución que tiene ella misma, tanto en el corto como en el largo plazo, sobre su comportamiento es altamente significativa (Ramos y Torres 2006; Urbina 2001).
En el cuadro A1 del anexo estadístico se puede observar que el valor del coeficiente de la inflación pasada fluctúa entre 0.19 y 0.809. Por lo que, independientemente del enfoque teórico utilizado, dada la persistencia que presentan los datos de la inflación en México, una explicación adecuada de la misma debe tener en cuenta la inflación rezagada.
Los resultados sugieren que durante la década de los ochenta y noventa el fenómeno inflacionario no sigue un comportamiento normal; en tanto que, para el período 20002007, existe evidencia de que los datos se distribuyen en forma normal. Además, se estima que en el mediano y largo plazos la inflación anualizada converja a los 4.01 y 5.60 puntos porcentuales.
ESTADÍSTICOS DE LA INFLACIÓN DE MÉXICO
La década de los ochenta ha sido la etapa más complicada para la economía mexicana en materia de inflación, debido a que en este período su nivel alcanzó los valores máximos registrados (véase la gráfica 1) en la historia económica del país. En esta década incluso se observaron tasas superiores a 10% mensual con un máximo de 15.46% y un promedio de 4.12% (mediana de 3.48%). La inflación mínima fue de 0.57%; en tanto que las medidas de sesgo y curtosis fueron, respectivamente, de 1.40 y 5.66, lo cual evidencia que la distribución correspondiente se encuentra distante de una normal. El estadístico de Jarque y Bera8 de 82.26 con un valor p (probability) cercano a cero confirma lo anterior.
Durante la década de los noventa la tasa de inflación descendió en forma significativa, con excepción de 1995, cuando se presentó una crisis económica y financiera muy profunda. En este período se observó una inflación promedio mensual de 1.51%, que es notablemente inferior a la registrada en la década anterior; además, el valor máximo registrado fue de 7.97% y el mínimo de 0.41%. La medida de sesgo fue de 2.47 y la de curtosis 11.68. Dichos estadísticos reflejan una ausencia de normalidad en la información; de hecho el estadístico JarqueBera fue 498.55 con un valor p igual a cero.
A partir del 2000 y hasta 2007, tanto la inflación general como la subyacente tienden a converger a un valor de 4% en términos anualizados. En este período la tasa promedio mensual de la inflación general se ubica en 0.40%, la mediana es 0.41%, el valor máximo 1.34% y el mínimo 0.49%; en tanto que el sesgo y la curtosis son 0.23 y 3.51 por ciento, respectivamente. Lo cual sugiere evidencia de normalidad en los datos de la inflación para este período; sin embargo, en el presente trabajo uno de los objetivos centrales es precisamente profundizar en la validación de dicho supuesto, por lo que en la cuarta parte de este documento se argumenta al respecto.
Chiquiar et al. (2007) estudian las propiedades estocásticas de la inflación en México durante 19952006 a través del empleo de técnicas estadísticas recientemente desarrolladas para la detección de cambios en la persistencia de series de tiempo. Concluye que la inflación en México pasó de ser un proceso no estacionario a ser un proceso estacionario desde fines del 2000 o principios de 2001. Lo que sugiere que el proceso inflacionario de México en el largo plazo tiende a su valor medio.
MARCO REFERENCIAL
En esta parte se describen las principales pruebas estadísticas de bondad de ajuste para la validación del supuesto de normalidad a partir de una muestra aleatoria de observaciones obtenida de una población en particular.
Pruebas estadísticas de bondad de ajuste
Las pruebas de bondad de ajuste representan métodos estadísticos para verificar si un conjunto de información o datos sigue una distribución de probabilidad en particular. Dichas pruebas se basan, esencialmente, en dos elementos de la distribución: la función de distribución acumulativa (f.d.a) y la función de densidad de probabilidad (f.d.p). Entre las más empleadas en la validación del supuesto de normalidad está la de KolmogorovSmirnov (KS), AndersonDarling (AD), Shapiro Wilk (SW), JarqueBera (JB), entre otras. Sin embargo, Seier (2004) encontró que las pruebas de AD y SW tienen mayor potencia en la realización de tal prueba, y Romeu (2003) comenta que estas dos se encuentran entre las mejores pruebas de distancia cuando los tamaños de muestra son pequeños.9 En este estudio se emplearon las cuatro pruebas de bondad de ajuste antes mencionadas; sin embargo, se destacan los resultados obtenidos a partir de las de AD y KS en la validación del supuesto de normalidad de la inflación de México durante el período 20002007.
Prueba KolmogorovSmirnov (KS)
Las pruebas AD y KS están basadas en la f.d.a. por lo que pertenecen a la clase de pruebas de distancias (distance tests). En éstas, cuando se supone que la distribución es correcta, la f.d.a. teórica denotada por F0(x) sigue de forma muy cercana a la f.d.a. empírica, denotada por F(x) (Romeu 2003).
Supóngase que extraemos una muestra aleatoria de una f.d.a. desconocida F(x). Estamos interesados en determinar si F(x)≠F0(x) para toda x. Si F(x) = F0(x), se espera que F0(x) se encuentre muy próxima a la f.d.a. muestral, denotada por S(x). El objetivo de la prueba de bondad de ajuste de KS para una muestra consiste en determinar si la divergencia entre F0(x) y S(x) es suficiente para cuestionar la hipótesis que plantea F(x) = F0(x).
La prueba de KS supone que los datos de la muestra empleada consisten en observaciones independientes X1, X2, ..., Xn, y constituyen una muestra aleatoria de tamaño n de alguna función de distribución desconocida designada por F(x).
Si F0(x) es la función de distribución hipotética, entonces es posible establecer la hipótesis nula (H0) y alternativa (H1) correspondientes como sigue: H0: F(x) = F0(x) para todos los valores de x contra H1: F(x) ≠ F0(x) para al menos un valor de x.
Ahora bien, puesto que S(x) se obtiene como la proporción de observaciones menores o iguales a x entonces el estadístico de prueba en este caso es D = sup |S(x) F0(x)|; donde D es igual al supremo sobre todo x del valor absoluto de la diferencia S(x) F0(x). Cuando las dos funciones son representadas gráficamente, D es la distancia vertical más grande entre S(x) y F0(x).
La regla de decisión considera que H0 será rechazada a un nivel de significancia α si el estadístico de prueba D excede el (1 α) cuantil de la prueba de KS (Daniel 1990). Esto último se sustenta en que si los datos muestrales han sido extraídos de la distribución hipotética, las discrepancias entre S(x) y F0(x) para los valores observados de x no deben ser demasiado grandes. Es decir, la proximidad entre S(x) y F0(x) para todos los valores observados de x debería ser bastante clara si H0 es verdadera. Por otra parte, si H0 es falsa, esto es, si la muestra no proviene de la distribución hipotética, se espera observar grandes discrepancias entre ^(x) y F0(x). Si D, el máximo de estas diferencias, es demasiado grande, rechazaremos H0. Para determinar si D es suficientemente grande en determinado caso como para rechazar H0, se debe comparar al valor calculado de D con los valores tabulados de la prueba KS.
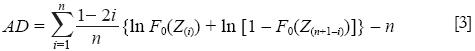
Prueba Anderson y Darling (AD)
El planteamiento de la prueba de normalidad de AD es similar al de la prueba de KS. Sin embargo, a diferencia de esta última, el estadístico de prueba se define de la siguiente forma.

Donde F0 es la distribución supuesta (la normal) con parámetros estimados a partir de la muestra;10 Z(i) es el iésimo valor muestral clasificado11 y estandarizado; n es el tamaño de la muestra; ln denota el logaritmo natural (base e) y el subíndice i toma valores de 1 hasta n.
La hipótesis nula que establece que la distribución verdadera es F0 con ciertos parámetros, será rechazada a un determinado nivel de significancia α cuando el estadístico de prueba AD sea más grande que el valor crítico (CV) correspondiente, el cual está determinado por CV = 0.752/(1 + 0.75/n + 2.25/n2) (Romeu 2003).
Prueba ShapiroWilk (SW)
La prueba de SW considera una muestra aleatoria de n observaciones X1, ..., Xn independientes e idénticamente distribuidas con función de distribución acumulativa F[(X µ)/σ]; con F, µ,
R y σ > 0 desconocidas. La hipótesis nula a contrastar es
, contra la alternativa
≠ Φ, donde Φ es la función de distribución normal estandarizada y F1 es una distribución no normal (Jurecková y Picek 2007).
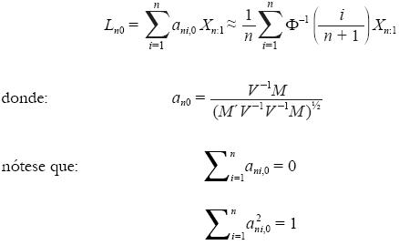
Shapiro y Wilk (1965) propusieron una prueba de bondad de ajuste basada en dos estimadores de la desviación estándar (σ): Ln, el mejor estimador lineal (MEL) bajo H0, y
, el estimador de máxima verosimilitud (EMV) bajo H0. El emv de σ es:

donde Mn = M es el vector de valores esperados de los estadísticos de orden de una muestra de tamaño n de una distribución normal estándar y Vn = V es la matriz de covarianzas. Shapiro y Wilk (1965) propusieron una aproximación de Ln de la forma:

Los estimadores de escala Ln0 y
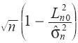
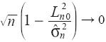
son asintóticamente equivalentes si y sólo si
. En una alternativa no normal F1 con segundo momento finito, la secuencia

tiene una distribución normal no degenerativa, mientras que en la hipótesis de normalidad

cuando
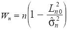
. Por lo tanto, es posible considerar el criterio de ShapiroWilk de la forma:

y rechazar H0 cuando Wn≥
an.12 Los coeficientes ani,0, i= 1, ...,n y los valores críticos de ésta prueba para n ≤ 50 se tabularon en Shapiro y Wilk (1965). Shapiro y Francia (1972) mostraron las ponderaciones y niveles de significancia para n ≤ 100 y D'Agostino y Stephens (1986) para n ≤ 1000.
Prueba JarqueBera (JB)
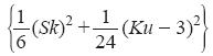
Esta prueba originalmente sugerida por Jarque y Bera (1987), es una de las más utilizadas en la validación del supuesto de normalidad e identificada dentro del grupo de pruebas de momentos, las cuales han sido derivadas teniendo en cuenta que el tercer y cuarto momentos de la distribución N(0,1) son igual a 0 y 3 respectivamente. Por lo que las desviaciones de la normalidad son evaluadas utilizando los momentos muestrales (Dufour et al. 1998); es decir, los coeficientes de sesgo (Sk) y curtosis (Ku):

La prueba JarqueBera es un procedimiento que involucra a Sk y Ku conjuntamente y se basa en el criterio del multiplicador de Lagrange, el cual define el estadístico de prueba como:

Donde n representa el número de observaciones empleadas para realizar la prueba. En la hipótesis nula, donde se supone la normalidad de las observaciones, el estadístico JB se distribuye asintóticamente como una chicuadrada con dos grados de libertad (χ22). Con regularidad en la práctica,
es sustituida por s2. Los valores críticos para la prueba JB fueron proporcionados por D'Agostino y Stephens (1986). La validación del supuesto de normalidad implica un valor del estadístico JB cercano a cero.
APLICACIÓN Y RESULTADOS
En esta parte se presentan los resultados de la aplicación de cuatro pruebas de bondad de ajuste para la detección de normalidad sobre los datos de la inflación mensual de México en el período 20002007, los cuales fueron obtenidos de la base de datos en línea del Banxico (Banco de México 2007a). En todos los casos se muestra la gráfica de probabilidad (probability plot), el coeficiente de correlación, así como los estadísticos de prueba correspondientes a partir de lo cual se evaluó el supuesto de normalidad empleando los diferentes métodos de prueba.13
Los resultados coinciden en el sentido de que no existe suficiente evidencia, a 5% de significancia, de que la inflación no se distribuya en forma normal. De acuerdo con la aplicación de la prueba ks la serie en estudio, teniendo en cuenta una significancia de 5%, sigue una distribución normal, lo cual se sustenta en el valor p (pvalue) que resultó mayor a 0.1514. En la gráfica 2 se presenta la probabilidad correspondiente y en ella se aprecia que la distribución muestral (expresada por la dispersión de los puntos) y la teórica convergen sobre la línea recta, la cual representa a ésta última.

El empleo de la prueba AD reportó un estadístico de 0.5730, siendo el valor crítico 0.7510 a 5% de significancia y 0.632 a 10% (Romeu 2003), y un coeficiente de correlación de 0.9920. Lo cual sugiere que con una significancia de 5 ó 10 por ciento no hay evidencia de que la inflación no se distribuya en forma normal. En la gráfica 3 se muestra la probabilidad resultante, en la cual es posible observar la proximidad entre la distribución muestral de las observaciones de la inflación y la distribución teórica normal representada por la línea continua.

La prueba JarqueBera reportó una media de 0.4005 y mediana de 0.4074; en la distribución normal ambas medidas son equivalentes; en tanto que el sesgo y la curtosis son 0.2250 y 3.4721 respectivamente, valores muy cercanos a los correspondientes a la distribución normal: cero para el sesgo y 3.0 para la curtosis. Finalmente, tanto el estadístico de prueba (1.6837) como el valor p (0.4309) apoyan ampliamente la hipótesis de que las observaciones se distribuyen en forma normal. La gráfica 4 muestra la frecuencia de los datos de la inflación durante el período en estudio.

Por otra parte, al emplear la prueba de SW se encontró un valor p mayor a 0.10, lo cual sugiere evidencia de que los datos efectivamente se comportan en forma normal, a 5 ó 10 por ciento de significancia. La gráfica de probabilidad correspondiente es muy similar al de las gráficas 2 y 3.
Con base en los resultados obtenidos de las diferentes pruebas de bondad de ajuste, es posible argumentar que los datos de la inflación mensual de México durante el período 20002007 se distribuyen en forma normal. Por lo tanto, el comportamiento de esta variable durante el período en estudio puede explicarse de manera satisfactoria empleando únicamente los primeros dos momentos de la distribución: la media y la desviación estándar.
Las estimaciones correspondientes a la media y desviación estándar de la inflación mensual fueron de 0.4005 y 0.3310 respectivamente. Así, un intervalo de confianza de 95% considera que la inflación mensual se encontrará entre 0.3339 y 0.4671 por ciento; en tanto que la inflación anual oscilará entre 4.0075 y 5.6051 por ciento. El cuadro 1 muestra diferentes intervalos de confianza para la inflación mensual y anual a partir de las estimaciones realizadas, tamaño de muestra y valores de la distribución normal estándar correspondientes.

CONCLUSIONES
No obstante que, a partir de la revisión de literatura en torno a los principales determinantes de la inflación en México, la evidencia sugiere que este fenómeno es generado por una gran variedad de factores tanto internos como externos, tales como el crecimiento de la masa monetaria en la economía, el aumento de los salarios, la depreciación de la tasa de cambio y el incremento de precios a nivel mundial, entre otros. Asimismo, se encontró que la contribución que tiene la inflación misma, tanto en el corto como en el largo plazo, sobre su propio comportamiento es altamente significativa.
Una vez aplicadas distintas pruebas estadísticas de bondad de ajuste sobre las observaciones de la tasa de inflación de México durante el período de 2000 a 2007, con la finalidad de verificar el supuesto de normalidad, los resultados sugieren que ésta sigue una distribución normal considerando una significancia de 0.05, por lo que el estudio del comportamiento de esta variable puede realizarse completamente a partir del conocimiento únicamente de los primeros dos momentos de la distribución.
En particular, las pruebas de KolmogorovSmirnov y AndersonDarling muestran una amplia evidencia de que el supuesto de normalidad es adecuado para la modelación estadística de la inflación. La importancia de la utilización de estas pruebas se sustenta en que son las de mayor potencia para este fin respecto a otros procedimientos de prueba alternativos.
A diferencia de las autoridades del Banco Central que afirman que el nivel de inflación en el mediano y largo plazo convergerá a 3.0 ± 1.0 puntos porcentuales anualmente (Banco de México 2007b), en este trabajo se encontró que oscilará entre 4.01 y 5.60 puntos porcentuales, con una confiabilidad de 95%, lo cual establece una diferencia significativa.
Por lo tanto, las estimaciones en materia de inflación por parte de la autoridad monetaria deberían ser revisadas atendiendo a la posibilidad de una subestimación, lo cual podría tener consecuencias negativas en los mercados de bienes y servicios, laboral, monetario y cambiario, una vez que los agentes económicos tomadores de decisiones disponen de información poco confiable en materia de precios.
REFERENCIAS
Alfaro, S. y MJ. Schwartz, "Inflation and money goals. The recent experience of monetary policy in Mexico", en Mahadeva y Sterne (eds.), Monetary Policy Frameworks in a Global Context, Londres, Bank of England, 2000, pp. 441454. [ Links ]
Banco de México (Banxico), Informe sobre la política monetaria del primer semestre de 1996, México, Banxico, <www.banxico.org.mx>, 1996. [ Links ]
, "Estadísticas económicas y financieras de la base de datos del Banco de México", México, Banxico, <www.banxico.org.mx>, 2007a. [ Links ]
, "Política monetaria y perspectivas económicas para 2007", México, Banxico, <www.banxico.org.mx>, 2007b. [ Links ]
Capistrán, C. y M. RamosFrancia, "Inflation dynamics in Latin America", Banxico, Documento de Investigación no. 200611, 2006. [ Links ]
Chiquiar, D., A. Noriega y M. RamosFrancia, "A time series approach to test a change in inflation persistence: the Mexican experience", Banxico, Documento de Investigación no. 200701, 2007. [ Links ]
Clarida, R., J. Gali y M. Gertler, "The science of monetary policy: a new Keynesian perspective", National Bureau of Economic Research (NBER) Working Paper no. 7147, 1999. [ Links ]
Daniel, W.W., Applied Nonparametric Statistics, Segunda edición, Boston, PWSKent Publishing Company, 1990, 635 pp. [ Links ]
D'Agostino, R.B. y M.I.A. Stephens (eds.), "Goodnessoffit techniques", Nueva York, Marcel Dekker, 1986, pp. 367419. [ Links ]
Dufour, J.M., A. Farhat, L. Gardiol y L. Khalaf, "Simulationbased finite sample normality tests in linear regressions", The Econometrics Journal, vol. 1, 1998, pp. C154C173. [ Links ]
Esquivel, G. y R. Razo, "Fuentes de la inflación en México, 19892000: un análisis multicausal de corrección de errores", Estudios Económicos, vol. 18, núm. 2, 2003, pp. 181226. [ Links ]
Gali, J. y M. Gertler, "Inflation dynamics: a structural econometric analysis", Journal of Monetary Economics, vol. 44, núm. 2, 1999, pp. 195222. [ Links ]
Garcés, D., "Determinación del nivel de precios y la dinámica inflacionaria en México", Monetaria, julioseptiembre de 2001, pp. 242269. [ Links ]
, "¿Cuándo es la inflación un fenómeno monetario?: la experiencia de México 19452000", Monetaria, julioseptiembre de 2002, pp. 247273. [ Links ]
Hogg, R.V. y A.T. Craig, Introduction to Mathematical Statistics, Nueva Jersey, Prentice Hall, Upper Saddle River, 1995. [ Links ]
Jarque, C.M. y A.K. Bera, "A test for normality of observations and regression residuals", International Statistical Review, vol. 55, 1987, pp. 163172. [ Links ]
Jureckova, J. y J. Picek, "ShapiroWilk type test of normality under nuisance regression and scale", Computational Statistics and Data Analysis, vol. 51, 2007, pp. 51845191. [ Links ]
Laguna, R.Ch.E., "Dinámica inflacionaria y brecha en la producción. La curva de Phillips en México", Análisis Económico, vol. XXII, núm. 50, segundo cuatrimestre, 2007, pp. 121147. [ Links ]
Mood, A.M., F.A. Graybill y D.C. Boes, Introduction to the theory of statistics, Nueva York, McGrawHill, 1974, pp. 564. [ Links ]
Ortiz, G., "Monetary policy in a changing economic environment the Latin American experience", Federal Reserve Bank of Kansas City, Economic Review, Fourth quarter 2002, pp. 207239. [ Links ]
RamosFrancia, M. y G.A. Torres, "Inflation dynamics in Mexico: a characterization using the new Phillips curve", Banxico, Documento de Investigación no. 200615, 2006. [ Links ]
Romeu, J.L., "AndersonDarling: a goodness of fit test for small samples assumptions", Selected Topics in Assurance Related Technologies, vol. 10, núm. 5, 2003, pp. 16. [ Links ]
Romer, D., Macroeconomía avanzada, Tercera edición, Madrid, McGraw Hill, 2006, 690 pp. [ Links ]
Seier, E., "Comparison of test for univariate normality", East Tennessee State University Johnson City, Documento de trabajo TN 37614, 2004, pp. 117. [ Links ]
Shapiro, S.S. y R.S. Francia, "An approximate analysis of variance test for normality", Journal of the American Statistical Association, vol. 67, 1972, pp. 215216. [ Links ]
Shapiro, S.S. y M.B. Wilk, "An analysis of variance test for normality (complete samples)", Biometrika, vol., núm. 52, 1965, pp. 591611. [ Links ]
Urbina, S., "Un modelo de inflación para la economía mexicana, 19942001", Análisis Económico, vol. XVI, núm. 34, 2001, pp. 101119. [ Links ]
* Los autores agradecen los valiosos comentarios de dos dictaminadores anónimos a una versión previa del presente trabajo.
1 Con el objetivo de combatir la inflación el Banco de México definió a la oferta de dinero primario como su objetivo intermedio. El monto de este agregado fue determinado en función de la demanda de base monetaria estimada y de límites trimestrales impuestos al crédito interno (Banxico 1996: 11).
2 Para algunos analistas la estrategia de objetivos de inflación inicia en 1998.
3 Se supone un ambiente de competencia monopolística, donde las empresas fijan sus precios de manera escalonada. La especificación estándar supone que en cada período hay una fracción θ de las empresas que mantiene fijos sus precios y otra fracción (1 θ) que los ajusta (problema de optimización). En promedio una empresa mantiene fijos sus precios por 1/(1 θ).
4 Componentes que reflejan, según los autores, el comportamiento de las empresas para fijar sus precios.
5 Desviación del costo marginal real de su estado estacionario.
6 (1θ) representa la fracción de empresas que es capaz de cambiar sus precios; w a aquellas empresas que fijan sus precios mirando hacia atrás (backward looking) y (1 w) a la parte que fija sus precios en función del comportamiento esperado en los costos marginales (forward looking).
7 De 0.77 en 19801989 pasa a 0.29 en 20002006.
8 Este estadístico permite realizar la prueba de normalidad de JarqueBera a partir de una muestra de datos disponible (Jarque y Bera 1987), la cual es ampliamente utilizada en economía.
9 En este trabajo se utiliza una muestra relativamente pequeña, porque aunque la información de la tasa de inflación es mensual el período de estudio es breve, 20002007.
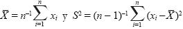
10 Los parámetros de una distribución normal son su media (µ) y varianza (σ2), los cuales se pueden estimar por los estadísticos:

en forma correspondiente. Además, ambos tienen las propiedades de ser insesgados y de mínima varianza (Mood et al. 1974).
11 Los valores muestrales son considerados como estadísticas de orden y son seleccionados de menor a mayor.
12
an es el valor crítico de la prueba SW con un nivel de significancia α.
13 Todas las gráficas y estadísticos presentados en esta sección se obtuvieron con el software estadístico Minitab 14.0.
14 El valor p es una estimación de la probabilidad del error tipo I que al resultar elevado, en este caso (mayor a 15%), no permite rechazar la hipótesis nula (H0: las observaciones provienen de la distribución normal) en virtud de que la probabilidad de rechazarla siendo cierta es muy elevada. La regla es, si el nivel de significancia considerado (0.05) es mayor que el valor p (>0.15) entonces se debe rechazar H0 (Daniel 1990).













