Servicios Personalizados
Revista
Articulo
Indicadores
Links relacionados
-
Similares en
SciELO
Compartir
Investigación económica
versión impresa ISSN 0185-1667
Inv. Econ vol.68 no.267 Ciudad de México ene./mar. 2009
Las interrelaciones de volatilidad y rendimientos entre los mercados de valores del TLCAN
Volatility and return interrelationships among the NAFTA capital stock markets
Francisco López Herrera, Edgar Ortiz y Alejandra Cabello*
Universidad Nacional Autónoma de México (UNAM), <francisco_lopez_herrera@yahoo.com.mx>, <edgaro@servidor.unam.mx> y <acr2001mx@yahoo.com.mx>, respectivamente.
Manuscrito recibido en noviembre de 2007
Aceptado en octubre de 2008
Resumen
La liberalización y desregulación financieras han dado lugar a crecientes inversiones extranjeras en la Bolsa Mexicana de Valores (BMV). Además, el Tratado de Libre Comercio de América del Norte (TLCAN) ha jugado un papel importante en la integración de los mercados bursátiles de Canadá, México y Estados Unidos. Este trabajo analiza las interrelaciones de volatilidad y rendimientos entre estos tres mercados, considerando un período de veinte y un años, utilizando series diarias de los índices de dichos mercados. Se utiliza un modelo de vectores autorregresivos (VAR) con un mecanismo de corrección de errores, acomodando cambios a través del tiempo en las correlaciones y volatilidades de los mercados. La evidencia sugiere la presencia de una relación de equilibrio a largo plazo a la cual los mercados se ajustan de sus desviaciones a corto plazo, existiendo canales de interacción significativa entre los rendimientos de los tres mercados. También se identifican los efectos de la transmisión de volatilidades de los mercados de Canadá y Estados Unidos al mercado mexicano, no encontrando evidencia de que la volatilidad de este último mercado afecte significativamente a la volatilidad de sus contrapartes.
Palabras clave: integración mercados de capital, mercados de capital TLCAN, transmisión volatilidades, mercados emergentes, México.
Clasificación JEL: F21, F36, G11, G12, G15
Abstract
Financial liberalization and deregulation have led to increased international portfolio investments at the Mexican Stock Exchange. Additionally, the North American Free Trade Agreement (NAFTA) has played an important role in the integration of the capital markets from Canada, Mexico and United States. This work analyzes returns and volatility relationships among these three markets for a twenty one year period, using daily data from the stock indexes from those markets. A Vector Autoregression (VAR) with an error correction model is used, fitting over time changing correlations and volatilities from these markets. The evidence suggests the presence of a long term equilibrium relationship to which the markets adjust from their contemporaneous deviations showing significant channels of interaction between returns of these share markets. Volatility transmission effects are also identified, from the United States and Canadian markets to the Mexican Stock market; no evidence was found that volatility from the Mexican market influences in a meaningful way the volatility from the other North American markets.
Key words: stock markets integration, financial markets interdependence, NAFTA capital markets, volatility transmission, emerging markets, Mexico.
INTEGRACIÓN Y TRANSMISIÓN DE VOLATILIDADES
La dinámica de los rendimientos, la volatilidad y la correlación y transmisión de la volatilidad entre los mercados accionarios internacionales determinan las oportunidades de inversión y los beneficios que los inversionistas pueden obtener mediante la diversificación. Una correlación baja induce a los inversionistas a superar su sesgo de inversión local1 e invertir en los mercados internacionales; al contrario, altas volatilidades y su transmisión a otros mercados propician que el inversionista restrinja sus inversiones internacionales. La dinámica de los vínculos bursátiles es compleja; factores endógenos pueden conllevar a crisis bursátiles que no sólo desestabilizan la economía local, sino que también se transmiten a los mercados financieros de otros países. Por lo anterior, es de esperarse que los impactos, sean bilaterales o multilaterales, estén particularmente presentes entre los países que mantienen fuertes lazos económicos y financieros y cierta identificación regional.
La realización de los beneficios positivos esperados por parte de los inversionistas de la diversificación de portafolios internacional depende de la estabilidad de los rendimientos esperados y de la correlación esperada entre los rendimientos del mercado del país del inversionista y los mercados internacionales en los que invierte. La estabilidad de esos parámetros adquiere singular relevancia pues los rendimientos esperados de los portafolios no son necesariamente iguales a los finalmente obtenidos, induciendo sesgos en la combinación de activos seleccionados, lo que produce portafolios ex post no óptimos.
Diversos estudiosos concluyen que la mayoría de los mercados de capitales internacionales ha incrementado su integración con otros mercados en las últimas décadas. En la medida en que estos se vuelven más integrados, los efectos de los eventos de corto plazo en uno de ellos se transmiten a otros mercados y en el largo plazo comparten tendencias comunes (Kasa, 1992). Consiguientemente, una mayor integración implica para los inversionistas la erosión a largo plazo de los beneficios de la diversificación internacional.
Dada la dinámica de posibles consecuencias, resulta de interés para los inversionistas identificar la dinámica de las relaciones de sus mercados con los de otros países, particularmente aquellos con los que se mantienen estrechas relaciones comerciales y financieras; este es el caso de los mercados de los países integrantes del Tratado de Libre Comercio de América del Norte (TLCAN). Por la misma razón, es importante determinar la existencia de canales mediante los cuales los errores en la valuación de activos y los choques en un mercado pueden derramarse hacia otros mercados. Aún más, conocer la dirección y magnitud de choques originados en los mercados de sus socios comerciales es de vital importancia para México por tratarse de un mercado de capitales emergente cuyo desarrollo es aun limitado en relación con los mercados accionarios de Estados Unidos y Canadá.
El cuadro 1 destaca estas diferencias. Tomando 2005 como punto de referencia, en relación con la capitalización total de los tres mercados bursátiles más importantes de Estados Unidos (American Stock Exchange, ASE; New York Stock Exchange, NYSE, y National Association of Securities Dealer Automated Quotation, NASDAQ), la capitalización de la Bolsa Mexicana de Valores (BMV) es apenas 1.37% de ese total y 16.13% en relación con el mercado de Canadá agrupado en el Toronto Stock Exchange Group (TSX Group). Considerando el valor negociado, las asimetrías son mayores: 0.24 y 5.93 por ciento en relación con el total de los tres mercados de Estados Unidos y del TSX, respectivamente. El coeficiente capitalización del mercado/producto interno bruto (PIB) da cuenta de la escasa profundización de la BMV a pesar del crecimiento sostenido experimentado por este mercado durante las últimas décadas; en 2005 este coeficiente fue de 30.8%, en tanto que para los casos de Canadá y Estados Unidos fue de 129.1 y 139.6 por ciento, respectivamente.
La falta de profundización de la BMV se debe en parte a la falta de interés de las empresas mexicanas de participar en mercados accionarios, pues así evitan la ampliación del capital social y el control y la administración permanece en reducidos grupos de accionistas, generalmente unidos por fuertes lazos familiares y de amistad.2 De hecho, en una muestra de 49 países (La Porta et al., 1998) se encuentra que en México es alto el nivel de concentración de propiedad en empresas no financieras, pues en promedio 64% del capital social de cada empresa está en manos de sólo tres accionistas mayoritarios. Vale la pena destacar que el nivel de concentración de la propiedad corporativa en México sólo es superado por Grecia: en las diez empresas griegas más grandes 67% del capital lo poseen en promedio tres accionistas. La concentración del poder y control en las empresas mexicanas puede explicarse porque el número de empresas que cotizan en bolsa es también muy reducido; disminuyó notablemente de un pico de 259 en 1980 a 150 en 2005, en tanto que en Canadá el número de empresas operando en el TSX Group fue de 3 719 y en Estados Unidos 5 745. En gran medida estas diferencias reflejan las desproporciones en crecimiento económico que prevalecen entre los tres países integrantes del TLCAN. El PIB de México es 2/3 del PIB de Canadá y un poco más de 1/15 del PIB de Estados Unidos. La falta de profundización de la BMV se debe también a los bajos ingresos de la población, la muy desigual distribución del ingreso (lo que limita la capacidad de ahorro de grandes sectores de la población) y la falta de una cultura bursátil derivada de los problemas antes señalados. Con el fin de superar estos problemas, el gobierno mexicano ha liberado y desregulado el mercado bursátil incluso fomentando su crecimiento a través de reformas a los sistemas de seguridad social.
La literatura dedicada a conocer las relaciones entre estos mercados es limitada. Esta línea de investigación es importante puesto que en un entorno globalizado la existencia de grupos similares de inversionistas, la proximidad geográfica y la intensificación de las relaciones económicas y financieras entre estos países hacen más probable que estos mercados se influyan entre sí. Considerando las diferencias antes descritas, es probable que el mercado mexicano sea más sensible que los otros dos mercados a choques originados en alguno de éstos. Al respecto, este documento identifica la interdependencia observable entre los mercados accionarios de México, Canadá y Estados Unidos con el objetivo de determinar si existen canales de transmisión mediante los cuales el comportamiento de los rendimientos y la volatilidad de uno de esos mercados ejerce una influencia significativa en los rendimientos y la volatilidad de los dos restantes.
EVIDENCIA DE ESTUDIOS ANTERIORES
La disminución de barreras a la inversión internacional y la desregulación financiera en las últimas décadas, así como mejoras ostensibles en la diseminación de información relevante y el desarrollo de las tecnologías de la información y las comunicaciones (TICs), han impulsado la diversificación internacional de portafolio. Después de la crisis de octubre de 1987, la agenda de investigación incluye el estudio de la transmisión de los efectos de un choque en los rendimientos de un mercado o grupo de mercados a los rendimientos de otros mercados. De acuerdo con King, Sentana y Wadhwani (1994), en un mundo en que los inversionistas procesan la información derivada de los cambios en los precios de los mercados de varios países, un 'error' en un mercado puede transmitirse a otros mercados. Parte de la investigación se ha centrado en el análisis de las relaciones entre los rendimientos de los mercados de capitales más importantes del mundo y el de Estados Unidos, así como de la interacción entre los mercados que forman parte de la Unión Europea, extendiéndose el interés a los llamados mercados emergentes a partir de las crisis que se presentaron en algunos de ellos en la década pasada. En general, la evidencia empírica identifica un grado creciente de integración y que la volatilidad del mercado más grande influye en la volatilidad de los más chicos, esto es, existe un efecto dominante de un mercado debido a su importancia relativa.
Los primeros estudios que sustentaban los beneficios de la diversificación internacional suponían que las correlaciones son constantes; pero la evidencia empírica posterior sugiere lo contrario. Los estudios de Makridakis y Wheelwrigth (1974) y Longin y Solnik (1995) documentan la inestabilidad de las correlaciones entre los mercados accionarios internacionales. Investigaciones más recientes también sugieren rechazar la hipótesis de correlaciones constantes, destacando los resultados de Longin y Solnik (2001); Engle y Sheppard (2001); Cappielo, Engle y Sheppard (2002); Goetzmann, Li y Rouwenhorst (2002); Suleimann (2003); Wong y Vlaar (2003); Bekaert, Harvey y Ng (2003); Bala y Premaratne (2004); y Bekaert, Hodrick y Zhang (2005). La investigación sobre las correlaciones de los mercados internacionales también sugiere que éstas no sólo varían en el tiempo, sino que se incrementan en los períodos bajistas, reduciendo los beneficios de la diversificación internacional precisamente cuando más se necesitan. Entre los estudios que han aportado evidencia empírica sobre este hecho están Longin y Solnik (1995, 2001), Forbes y Rigobon (2002). Hon, Strauss y Yong (2003) encuentran que después del 11 de septiembre de 2001 aumentó la correlación en los mercados del mundo.
Algunos estudios han analizado las relaciones de largo plazo entre los mercados de capitales del TLCAN; por ejemplo, Atteberry y Swanson (1997); Ewing, Payne y Sowell (1999); Darrat y Zhong (2005); Aggarwal y Kyaw (2005); Ciner (2006); Ortiz y López Herrera (2007); López Herrera, Ortiz y Cabello (2007). Galindo y Guerrero (1999) han analizado la relación entre los mercados de México y Estados Unidos. Con excepción del análisis de Ewing, Payne y Sowell (1999), los demás resultados sugieren que existe al menos una relación de largo plazo, aunque ésta puede ser cambiante en el tiempo como lo sugiere la evidencia reportada por Ortiz y López Herrera (2007) y López Herrera, Ortiz y Cabello (2007). También los resultados de Galindo y Guerrero (1999) sugieren que la intensidad de la relación de largo plazo entre los mercados mexicano y estadounidense varía en el tiempo.
MODELACIÓN ECONOMÉTRICA
Según Kasa (1992), en la medida en que los mercados se vuelven más integrados, los efectos de los eventos de corto plazo en uno de ellos se transmiten a los otros causando que existan relaciones de largo plazo entre los mercados derivadas de la existencia de tendencias comunes. Por ello Kasa sugirió que si hay tendencias comunes, se incluyan en el análisis de la interrelación de los rendimientos mediante los términos de corrección al equilibrio como se hace en los modelos vectoriales de corrección de errores (VECM). En términos prácticos, el número de relaciones cointegrantes existentes proporciona una idea del grado de integración entre diferentes mercados; si hay integración plena entre k mercados se esperaría encontrar nk relaciones cointegrantes, un menor número en el caso de integración (segmentación) parcial y ninguna si los mercados analizados están totalmente segmentados.
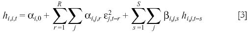
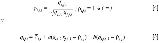
La generalización al caso multivariado de los modelos de volatilidad condicional (modelos generalizados de heterocedasticidad condicional autorregresiva, GARCH) univariados se ha utilizado para analizar la interrelación de las volatilidades de los mercados financieros.3 Un problema que enfrenta su uso es la maldición de la dimensión, pues el número de parámetros a estimar crece más rápidamente que el número de variables en el modelo. Por otra parte, se requiere que la matriz de varianzascovarianzas sea definida positiva. Por medio de restricciones, el modelo BEKK4 de Engle y Kroner (1995) reduce el número de parámetros a estimar y garantiza la positividad de la matriz de varianzascovarianzas al garantizar que son positivas las varianzas condicionales estimadas para cada período. Sin embargo, tales restricciones pueden dificultar la interpretación de los parámetros estimados y la detección de fuentes de derrame (spillover) o transmisión de la volatilidad, ya que en la volatilidad de cada mercado no se consideran los efectos de la volatilidad pasada de los otros mercados ni se modelan explícitamente las correlaciones entre los mercados. El modelo de Bollerslev (1990) es el primer modelo de la familia GARCH que modela las correlaciones pero supone que éstas son constantes, supuesto que no parece acorde con la realidad observada en diversos mercados financieros como lo han evidenciado diversos estudios (entre otros, los que ya se han mencionado en la sección anterior). El modelo de vectores autorregresivos con medias móvilesGARCH (VARMAGARCH) de Ling y McAleer (2003) permite considerar los efectos de la volatilidad y de los choques de los otros mercados sobre la volatilidad condicionada de un mercado.5 El modelo de correlaciones dinámicas condicionadas (DCC) de Engle (2002)6 permite que la matriz de correlaciones varíe en el tiempo (Engle y Sheppard, 2001).
Con base en lo anterior, para el análisis empírico de las relaciones entre los rendimientos y volatilidades de los mercados de capitales del TLCAN, cuyos resultados se presentan más adelante, se siguen los planteamientos de Kasa (1992) y de Ling y McAleer (2003), modelando las ecuaciones de la media para cada mercado mediante un modelo VECM y las ecuaciones de las varianzas con un modelo GARCH multivariado que permite capturar los efectos de la influencia de las varianzas rezagadas de los otros mercados del sistema. En el modelado se considera una estructura de correlaciones variantes en el tiempo, siguiendo la especificación de Engle (2002). En resumen, el modelo puede escribirse así:

El vector rt = (rMX,t, rCN,t, rUS,t)' contiene los rendimientos diarios compuestos continuamente,
, donde Ii,t es el índice del mercado i en el período t.
es un vector de los coeficientes asociados a los rendimientos rezagados. Ψt es el vector de coeficientes de ajuste a las relaciones de largo plazo capturadas en el término de corrección de errores (ect). εt es el vector de términos estocásticos y Ωt1 representa al conjunto de información disponible en t.
La matriz de varianzas y covarianzas variantes en el tiempo, Ht, puede escribirse a su vez como:

donde
contiene las desviaciones estándar (volatilidades) cambiantes en el tiempo.
De acuerdo con el modelo de Ling y McAleer (2003), las varianzas condicionadas siguen el siguiente proceso:

En este proceso GARCH multivariado se capturan las varianzas de cada mercado y los posibles efectos rezagados de los errores de valoración y de las volatilidades cambiantes en el tiempo de los otros mercados.7 De acuerdo con Engle (2002), la matriz de correlaciones dinámicas condicionadas, Γt tiene elementos característicos:

es un proceso GARCH (1,1) donde
es la correlación no condicional entre εi,t y εj,t. 8
Especificado de esta forma, el modelo a estimar consta de tres componentes: la parte que captura las relaciones de corto plazo entre los rendimientos y el mecanismo de ajuste al equilibrio de largo plazo, ecuación [1]; la interrelación de las volatilidades cambiantes en el tiempo, ecuaciones [2] y [3]; y por último, las correlaciones condicionadas dinámicas, dadas por las ecuaciones [4] y [5]. Dada una muestra de T observaciones del vector de rendimientos, para cada observación el logaritmo de la función de verosimilitud, condicionada por los parámetros del sistema trivariado, es:

y los parámetros de interés, contenidos en el vector
, pueden estimarse al maximizar:

ANÁLISIS DE RESULTADOS
Los datos son observaciones diarias de los índices de los mercados de México, Canadá y Estados Unidos (índice de precios y cotizaciones de la BMV, IPC; Standard & Poor'sTSX Composite Index, GSPTSE; Standard & Poor's 500, s & p 500, respectivamente), obtenidas de la BMV, la página web de yahoo finance y de la base de datos Economática. Los índices están expresados en las monedas locales respectivas.9 El análisis cubre del 15 de agosto de 1984 al 22 de diciembre de 2005. Debido a que hay días feriados en que cierran los mercados, pero no siempre coincidentes, se eliminaron las fechas en que al menos alguno de los mercados se mantuvo cerrado, quedando 5 126 observaciones para cada serie. En la gráfica 1 se observan los logaritmos de los tres indicadores bursátiles y en la gráfica 2 sus primeras diferencias (logrendimientos), mostrando una tendencia ascendente en los logaritmos, en tanto que sus primeras diferencias no muestran tendencias, sugiriendo estacionariedad en media al mismo tiempo que se observan los agrupamientos (clusters) en sus volatilidades, típicos en series de tiempo financieras.
Para determinar el grado de integración de las series se realizó la prueba de Dickey y Fuller aumentada (ADF), tanto en los niveles como en primeras diferencias (véase el cuadro 2). Los resultados de esta prueba sugieren que los niveles de las series pueden tratarse como variables I(1), en tanto que sus primeras diferencias como I(0). La serie del mercado canadiense presenta una tendencia determinista significativa a 5%, aunque de magnitud muy pequeña, lo que conjuntamente con el no rechazo de la hipótesis de raíz unitaria sugiere la posibilidad de una tendencia cuadrática en el proceso generador de los niveles de la serie y memoria infinita de los choques, situación muy poco frecuente en series económicas. Las tendencias cuadráticas y memorias infinitas en las series pueden deberse a características de la muestra y no a que sea una propiedad de la serie en el largo plazo (Patterson, 2000). Es decir, el resultado de la prueba ADF para el mercado canadiense podría más bien ser una consecuencia de la presencia de cambios estructurales que pudieran haber alterado las características esenciales de la serie, como lo sugieren Domingo y Tonella (2002). Sin embargo, la prueba de raíz unitaria en presencia de cambios estructurales, t mínima, sugerida por Zivot y Andrews (1992) no puede rechazar la hipótesis de raíz unitaria en la serie del mercado canadiense a ningún nivel de significancia convencional.10 En resumen, dado que en los niveles no se puede rechazar en ningún caso la presencia de una raíz unitaria en tanto que en las primeras diferencias se rechaza esa hipótesis, es conveniente tratar los índices bursátiles del TLCAN como series I(1) en los niveles e I(0) en las primeras diferencias.

En el análisis de las relaciones de corto plazo es importante considerar el efecto del ajuste a la relación de largo plazo recogido por el parámetro asociado al término de corrección de errores, pues permite estimar la velocidad con que los mercados del TLCAN se 'alinean' a la relación de largo plazo. La prueba de la traza sugerida por Johansen (1988, 1991 y 1992) y Johansen y Juselius (1990) sugiere que existe al menos un vector (relación) de cointegración en los datos diarios de los mercados del TLCAN, con una constante restringida al espacio de cointegración (véase el cuadro 3). Con base en los resultados del análisis precedente, se deduce que es posible modelar las relaciones, tanto de corto como de largo plazo, entre los mercados del TLCAN mediante un VECM.

La gráfica 3 muestra las relaciones de largo plazo estimadas para las diferentes parametrizaciones del VECM sugeridas por las pruebas de cointegración para el modelo de vectores autorregresivos (VAR) en niveles (en el caso del VECM se reduce en 1 el número de rezagos). El término (mecanismo) de corrección de errores, normalizando con base en el índice mexicano es el siguiente:

En todos los casos se ha eliminado la influencia de la dinámica de corto plazo.11 Se puede observar que a partir de la década de los noventa del siglo pasado la relación de largo plazo entre los mercados de capitales del TLCAN es estacionaria, siendo incluso numéricamente equiparables bajo cualquiera de las tres parametrizaciones.
En el cuadro 4 se presentan los resultados estimados que permiten analizar las relaciones entre los rendimientos de los mercados del TLCAN y sus varianzas condicionales (en las cuales se pueden observar los posibles efectos de transmisión o derrame de volatilidad de un mercado a los otros). Se incluye en las ecuaciones de la media una dummy con valor de 1 para el 19 de octubre de 1987 y cero en cualquier otra fecha; asimismo, se incluye una dummy con valor de 1 a partir del 12 de agosto de 1992, fecha en que México firmó el tratado comercial con Estados Unidos y Canadá,12 y con valor de cero en todo el período previo.
Al realizar pruebas de restricciones para verificar el orden del VECM más conveniente, las pruebas de razón de verosimilitud sugieren incluir cinco rezagos, rechazando a 1% de significatividad las opciones de dos o tres rezagos. En el panel A del cuadro 4 se observa influencia significativa de los rendimientos de uno a otros mercados. En términos numéricos, la influencia del mercado mexicano sobre los otros dos mercados parece ser relativamente pequeña. En los tres mercados es altamente significativo el efecto de la crisis de 1987 que produjo caídas notorias en sus rendimientos. La firma del acuerdo comercial entre los tres países sólo muestra efectos significativos en los mercados de México y Canadá, en términos absolutos más altos en el primero pero con signos opuestos (negativo para México y positivo para Canadá). La reducción de los rendimientos mexicanos pudiera deberse a la percepción de un menor riesgo de mercado, como lo sugiere López Herrera (2006) en su análisis de la prima de riesgo en México condicionada al comportamiento de variables económicas relevantes.14
Los coeficientes estimados del término de corrección de errores (ect) en las ecuaciones del VECM son altamente significativos (1%) para los casos de México y Estados Unidos y sólo significativa a 5% en la ecuación de Canadá; en los tres casos se observa el signo esperado (negativo) para los tres mercados. Estos resultados sugieren que cuando alguno de ellos se desvía de la relación de largo plazo, existe un proceso de corrección hacia la relación de equilibrio entre los mercados de América del Norte. Atendiendo al valor numérico del coeficiente estimado para el coeficiente de ajuste, México se ajusta con mayor velocidad, lo que pudiera deberse en parte a su papel de seguidor de la tendencia común compartida con los mercados de Canadá y Estados Unidos.
En las ecuaciones de varianzas condicionadas, panel B del cuadro 4, las cosas lucen un tanto diferentes, pues si bien la evidencia muestra influencias significativas de las volatilidades de Canadá y de Estados Unidos sobre la volatilidad del mercado mexicano, no se observa que esta última influya significativamente en las volatilidades de aquellos países.15 Tampoco se observa interdependencia significativa de las volatilidades de los mercados canadiense y estadounidense. La persistencia de largo plazo de la volatilidad en los tres mercados parece ser sustantivamente alta, según estas estimaciones, relativamente más baja en el mercado mexicano y de magnitud similar en los mercados canadiense y estadounidense. La vida media de un choque de volatilidad en el mercado mexicano es aproximadamente de 19 períodos (días), en tanto que en los mercados de Canadá y Estados Unidos de 51 y 43 días respectivamente.16 También en el cuadro 4, panel C, se observa que son altamente significativos los parámetros del modelo GARCH para las correlaciones dinámicas, sugiriendo alta persistencia en los efectos de la correlación pasada.
En la gráfica 4 se observan las varianzas estimadas (volatilidades), las cuales muestran que la volatilidad estimada para el mercado mexicano es en términos generales notoriamente mayor que las volatilidades de Canadá y Estados Unidos, con excepción de octubre de 2002 en que la volatilidad en estos mercados superó ligeramente a la del mercado de México. La mayor volatilidad general del mercado de México, o un mayor nivel de riesgo si se prefiere, se puede explicar con relativa facilidad debido a que se trata de un mercado emergente. También se observa una mayor volatilidad en el mercado estadounidense respecto del canadiense, con excepción de algunos períodos cortos; sin embargo, las diferencias no son tan grandes como las que resultan al compararse ambos mercados con el mexicano.
Es de destacarse que siempre que hay incrementos notorios en la volatilidad estimada de los mercados canadiense y estadounidense se observan también alzas importantes en la volatilidad del mercado mexicano, incluso mayores que las de aquellos mercados; por ejemplo en los períodos asociados con la crisis de 1987, la minicrisis de octubre de 1989, las crisis asiática y rusa, así como en los días inmediatamente posteriores al ataque a las Torres Gemelas de Nueva York. Por otra parte, al final de la muestra (a partir de inicios de 2003) se observan bajos niveles de volatilidad en los tres mercados y en México el nivel es muy cercano al de Canadá y Estados Unidos.
En la gráfica 4 se observan picos de volatilidad en el mercado mexicano sin que ocurran incrementos de volatilidad en Estados Unidos y Canadá. Por ejemplo, en el período posterior a la crisis de octubre de 1987 las volatilidades de los mercados canadiense y estadounidense habían regresado a sus niveles previos al evento en unas cuantas semanas, pero la volatilidad del mercado mexicano sufrió un nuevo incremento cuyo máximo se alcanzó el 19 de noviembre de ese mismo año, superando incluso al máximo alcanzado durante el choque de octubre, sin impacto alguno en los otros dos mercados. Algo semejante puede decirse de una buena parte de la crisis de 1995. Ambos eventos son meramente locales, el primero producto del estallido de la burbuja especulativa que se había producido en el mercado bursátil mexicano y el segundo asociado con la crisis mexicana de ese período.
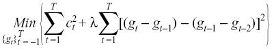
En la gráfica 5 se presentan las correlaciones dinámicas estimadas y su tendencia (curva suave) estimada mediante el filtro de Hodrick y Prescott (1997), procedimiento según el cual se representa una serie de tiempo como yt = gt + ct, t = 1, ..., T, donde gt es un componente de crecimiento y ct es un componente cíclico. Para determinar los componentes de crecimiento, Hodrick y Prescott proponen resolver el problema:

donde ct = ytgt. El parámetro λ, o parámetro de suavizamiento, penaliza la variabilidad del componente de crecimiento (tasa de aceleración de la tendencia en relación con el componente cíclico) por lo que mientras mayor sea su valor más suave será la serie obtenida con el filtro.17
De manera general, salvo ciertos períodos relativamente breves, se observa en la gráfica 5 un mayor nivel general de correlación entre el mercado de Canadá y el de Estados Unidos y siempre con valores positivos, en tanto que en las correlaciones del mercado mexicano con esos mercados se encuentran días de correlación con signo negativo. En la misma gráfica se observa que la tendencia de la correlación entre los mercados canadiense y estadounidense oscila en torno a un valor más o menos constante, en tanto que las tendencias de las correlaciones del mercado de México con los de Canadá y Estados Unidos ascienden desde un nivel relativamente bajo en los primeros años de la muestra alcanzando niveles máximos en la parte final. Por lo anterior, se puede decir que las estimaciones sugieren que el nivel medio de correlación entre el mercado mexicano y los otros dos mercados no es constante, habiéndose incrementado notoriamente con el paso del tiempo.
En el cuadro 5 se presentan los promedios de las correlaciones diarias entre el mercado mexicano y los de Canadá y Estados Unidos para diferentes períodos dentro del horizonte de estudio, asimismo se presentan pruebas de igualdad de la correlación media interperíodos. Al comparar la correlación promedio entre los mercados mexicano y canadiense se observa que es ligeramente mayor antes de la firma del TLCAN que en el período entre la firma y la fecha de entrada en vigor del acuerdo comercial, subiendo notoriamente (casi 173%) en el período de vigencia del tratado. Se observa también que la correlación promedio entre los mercados mexicano y estadounidense entre la firma del TLCAN y la entrada en vigor del acuerdo es mayor en 78% que antes de la firma, pero después de la puesta en vigor aumenta notoriamente (en casi 203%). Como se puede apreciar en el cuadro 5, se rechaza fuertemente que las correlaciones del mercado de México con los mercados de Canadá y Estados Unidos sean iguales en los períodos mencionados.

Al tomar en conjunto las estimaciones de las volatilidades y correlaciones presentadas, se observa que en casi la totalidad de días hasta la víspera de la crisis del 19 de octubre de 1987, la correlación entre el mercado mexicano y el canadiense era más alta que la estimada para los mercados de México y Estados Unidos; en ambos casos se encuentran algunos días con correlación negativa. Las correlaciones y volatilidades estimadas para el día del evento sugieren que únicamente hubo incrementos moderados, siendo más altos en el caso de Estados Unidos y Canadá. Sin embargo, los ascensos continúan en los días posteriores conduciendo a mayores niveles tanto en las volatilidades de cada mercado como en sus correlaciones. También el día posterior a la crisis se observó el máximo incremento de la correlación entre los mercados de Canadá y de Estados Unidos. Las correlaciones estimadas del mercado mexicano con dichos mercados también aumentaron, pero la correlación entre los mercados de Canadá y de Estados Unidos se encontraba en pocos días alrededor del nivel medio anterior a la crisis. Sin embargo, las correlaciones de México con ambos países tardaron varios meses en volver a los niveles promedio anteriores.
Las estimaciones efectuadas detectan que, en torno a la llamada minicrisis que inició el 13 de octubre de 1989, los incrementos en las volatilidades, considerables si se comparan con los días previos, estuvieron también acompañados de incrementos en las correlaciones, observándose nuevamente que las correlaciones del mercado mexicano con sus homólogos canadiense y estadounidense tardaron más en volver a los niveles previos al disparo de las volatilidades que las correlaciones entre los mercados de Canadá y Estados Unidos.
En torno a otros episodios de crisis financieras se observan también incrementos sustanciales de las correlaciones entre los mercados del TLCAN asociados con disparos de volatilidades, como son las crisis asiática, rusa, argentina y turca; incluso como secuela del ataque terrorista antes mencionado.
CONCLUSIONES
De acuerdo con el análisis de cointegración entre los mercados accionarios del TLCAN existe una relación de equilibrio a largo plazo, pues existe al menos un vector cointegrante estadísticamente significativo, resultado consistente con la evidencia empírica obtenida por la mayoría de los estudios previos. De acuerdo con estos resultados también se puede afirmar, como en otros estudios, que estos mercados no se encuentran plenamente integrados permitiendo caracterizar el estado del proceso de su integración como un caso de segmentación parcial.
La evidencia mostrada sugiere la existencia de interinfluencia entre los rendimientos de los tres mercados. Sin embargo, en el caso de las volatilidades la situación parece un tanto distinta, ya que el mercado de México es el único en cuya volatilidad se observa influencia significativa de las volatilidades de los otros dos mercados, pero en la estimación no se encontró ningún parámetro significativo que sugiera la transmisión de volatilidad mexicana hacia los mercados canadiense y estadounidense.
Según la evidencia reportada, ante choques en el mercado mundial o en el mercado de Estados Unidos, parte del incremento en la volatilidad del mercado mexicano puede explicarse por la transmisión de los incrementos de la volatilidad de los mercados de Estados Unidos y de Canadá. Es decir, las interacciones entre los tres mercados sugieren fuentes de "importación" de volatilidad al mercado mexicano, además de la volatilidad que es consecuencia de eventos domésticos.
Al considerar conjuntamente las volatilidades y las correlaciones dinámicas estimadas, se observó que en los períodos asociados a choques que afectan simultáneamente a los mercados también tienden a incrementarse las correlaciones entre los tres mercados mostrando valores por arriba de los estimados previamente a la ocurrencia del choque. Esta evidencia implica que para los inversionistas que mantienen portafolios en el TLCAN se reducen los beneficios de la diversificación; estos inversionistas deben considerar medios de cobertura como los que ofrecen los mercados de derivados.
Asimismo, se puede concluir que se ha incrementado el grado de asociación del mercado mexicano de valores con los de sus socios del TLCAN. Además del papel que pudieran jugar los vínculos económicos y las actividades de empresas específicas en el entorno de apertura comercial, el incremento de las correlaciones del mercado de México con los de Canadá y Estados Unidos podría explicarse por la presencia importante de los flujos de capitales externos que han arribado al mercado mexicano de valores como consecuencia de su liberalización. Sin embargo, una explicación más amplia y profunda debe alcanzarse a través del estudio cuidadoso y detenido del papel que juegan otros vínculos económicos en la dinámica del mercado. Por lo pronto, los beneficios de la diversificación de portafolios parecen haberse reducido considerablemente en el área del TLCAN, aunque todavía existe un espacio para diversificar el riesgo para quienes inviertan en portafolios considerando activos de los tres mercados. Para las empresas mexicanas pertenecientes a la BMV la evidencia empírica presentada implica la necesidad de que apoyen sus acciones con operaciones de cobertura con productos derivados.
La mayor integración de la BMV con los mercados de valores de Canadá y Estados Unidos y en lo particular, la transmisión de volatilidades hacia el mercado mexicano requiere que se realicen más investigaciones sobre las interrelaciones entre estos tres mercados a fin de identificar plenamente sus implicaciones y que las autoridades nacionales instrumenten políticas financieras y una regulación preventiva contra riesgos bursátiles importados.
REFERENCIAS
Aggarwal, R. y NA. Kyaw, "Equity market integration in the NAFTA region: evidence from unit root and cointegration tests", Kent State University, Working Paper, [ Links ]
Atteberry, WL. y P.E. Swanson, "Equity market integration: the case of North America", North American Journal of Economics and Finance, vol. 8, núm. 1, 1997, pp. 2337. [ Links ]
Baba, Y, R.F. Engle, K.F. Kroner y D. Kraft, "Multivariate simultaneous generalized arch", University of Arizona, Economics Working Paper no. 925, 1992. [ Links ]
Bala, L. y G. Premaratne, "Volatility spillover and comovement: some new evidence from Singapore", Deparment of Finance, Pennsilvanya State University y Deparment of Economics, National University of Singapore, Working Paper, 2004. [ Links ]
Bauwens, L., S. Laurent y J.V.K. Rombouts, "Multivariate GARCH models: a survey", Journal of Applied Econometrics, vol. 21, núm 1, 2006, pp. 79109. [ Links ]
Bekaert, G., C.R. Harvey y A. Ng, "Market integration and contagion", National Bureau of Economic Research (NBER), Working Paper no. 9510, 2003. [ Links ]
Bekaert, G, RJ. Hodrick y X. Zhang, "International stock return comovements", NBER, Working Paper no. 11906, 2005. [ Links ]
Bollerslev, T., "Modelling the coherence in shortrun nominal exchange rates: a multivariate generalized Arch model", The Review of Economics and StatisTICS, vol. 7, núm. 3, 1990, pp. 498505. [ Links ]
Cappiello, L., R.F Engle y K Sheppard, "Asymmetric dynamics in the correlations of global equity and bond returns", European Central Bank, Working Paper, 2002. [ Links ]
Castañeda, G, La empresa mexicana y su gobierno corporativo. Antecedentes y desafíos para el siglo XXI, Puebla, Universidad de las Américas y Alter Ego Editores, 1998. [ Links ]
Ciner, C, "A further look at linkages between NAFTA equity markets", The Quarterly Review of Economics and Finance, vol. 46, núm. 3, 2006, pp. 338352. [ Links ]
Darrat, A.F y M. Zhong, "Equity market integration and multinational agreements: the case of NAFTA", Journal of International Money and Finance, vol. 24, núm. 5, 2005, pp. 793817. [ Links ]
Domingo, C. y G. Tonella, "Towards a theory of structural change", Structural Change and Economic Dynamics, vol. 11, núms. 12, 2002, pp. 209225. [ Links ]
Doornik, J.A., "Approximations to the asymptotic distributions of cointegration tests", Journal of Economic Surveys, vol. 12, núm. 3, 1998, pp. 573593. [ Links ]
Engle, R.F, "Dynamic conditional correlations: A simple class of multivariate GARCH", Journal of Business and Economics StatisTICS, vol. 20, núm. 3, 2002, pp. 339350. [ Links ]
Engle, R.F. y K.F Kroner, "Multivariate simultaneous generalized GARCH", Econometric Theory, vol. 11, núm. 1, 1995, pp. 122150. [ Links ]
Engle, R.F. y K. Sheppard, "Theorical and empirical properties of dynamic conditional correlation multivariate GARCH", University of California at San Diego, mimeo, 2001. [ Links ]
Ewing, B.T., J.E. Payne y C. Sowell, "NAFTA and North American stock market linkages: An empirical note", North American Journal of Economics and Finance, vol. 10, núm. 2, 1999, pp. 443451. [ Links ]
Fischer, K.P., E. Ortiz y A.P. Palasvirta, "Risk management and corporate governance in imperfect capital markets", en D.K. Ghosh y E. Ortiz, The Changing Environment of International Financial Markets. Issues and Analysis, Nueva York, St. Martin's Press, 1994, pp. 201230. [ Links ]
Forbes, K.J. y R. Rigobon, "No contagion, only interdependence: measuring stock market comovements", Journal of Finance, vol. 57, núm. 5, 2002, pp. 22232261. [ Links ]
Galindo, L.M. y C. Guerrero, "La transmisión de las crisis financieras: la relación entre los índices de precios de las bolsas de valores de México y Estados Unidos", Economía: Teoría y Práctica, vol. 11, 1999, pp. 8395. [ Links ]
Goetzmann, W.N., L. Li y K.G. Rouwenhorst, "Longterm global market correlations", Yale International Center for Finance (ICF), Working Paper no. 0060, 2002. [ Links ]
Hodrick, R. y E. Prescott, "Postwar U.S. business cycles: an empirical investigation", Journal of Money, Credit and Banking, vol. 29, núm. 1, 1997, pp. 116. [ Links ]
Hon, M., J. Strauss y SK. Yong, "Contagion in financial markets after September 11 myth or reality?", Journal of Financial Research, vol. 27, núm. 1, 2003, pp. 95114. [ Links ]
Hoti, S., F. Chan y M. McAleer., "Structure and asymptotic theory for multivariate asymmetric volatility: empirical evidence for country risk ratings", Department of Economics, University of Western Australia, mimeo, 2002. [ Links ]
Johansen, S., "Statistical analysis of cointegrating vectors", Journal of Economic Dynamics and Control, vol. 12, núm. 4, 1988, pp. 231254. [ Links ]
, "Estimation and hypothesis testing of cointegration vectors in Gaussian vector autoregressive models", Econometrica, vol. 59, núm. 6, 1991, pp. 15511580. [ Links ]
, "Determination of cointegration rank in the presence of a linear trend", Oxford Bulletin of Economics and StatisTICS, vol. 54, núm. 3, 1992, pp. 383397. [ Links ]
Johansen, S. y K. Juselius, "Maximum likelihood estimation and inference on cointegration with applications to money demand", Oxford Bulletin of Economics and StatisTICS, vol. 52, núm. 2, 1990, pp.169210. [ Links ]
Karlson, A. y L. Norden, "Home sweet home: Home bias and international diversification among individual investors", Journal of Banking and Finance, vol. 31, núm. 1, 2007, pp. 317334. [ Links ]
Kasa, K., "Common stochastic trends in international stock markets", Journal of Monetary Economics, vol. 29, núm. 1, 1992, pp. 95124. [ Links ]
King, M., E. Sentana y S. Wadhwani, "Volatility and Links between National Stock Markets", Econometrica, vol. 62, núm. 4, 1994, pp. 90133. [ Links ].
La Porta, R., F. LopezdeSilanes, A. Shleifer y R.W Vishny, "Law and Finance", Journal of Political Economy, vol. 106, núm. 6, 1998, pp. 11131155. [ Links ]
Ling, S. y M. McAleer, "Asymptotic theory for a new vector armaGARCH model", Econometric Theory, vol. 19, núm. 2, 2003, pp. 280310. [ Links ]
López Herrera, F, "Riesgo sistemático en el mercado mexicano de capitales: un caso de segmentación parcial", Contaduría y Administración, núm. 219, 2006, pp. 85113. [ Links ]
López Herrera, F, E. Ortiz y A. Cabello, "Las bolsas de valores en el área del TLCAN: un análisis a largo plazo", Problemas del Desarrollo, vol. 38, núm. 151, 2007, pp. 3761. [ Links ]
Longin, F y B. Solnik, "Is the correlation in international equity returns constant: 19601990?", Journal of International Money and Finance, vol. 14, núm. 1, 1995, pp. 326. [ Links ]
, "Extreme correlation and intertemporal equity markets", Journal of Finance, vol. 56, núm. 2, 2001, pp. 649676. [ Links ]
Lütkepohl, H. y M. Krätzig, Applied time series econometrics, Cambridge, Cambridge University Press, 2004. [ Links ]
Makridakis, S.G. y S.C. Wheelwright, "An analysis of the interrelationship among major stock exchanges", Journal of Business Finance and Accounting, vol. 1, núm. 2, 1974, pp. 195215. [ Links ]
Nelson, D.B. y C.Q. Cao, "Inequality constraints in the univariate GARCH model", Journal of Business and Economic StatisTICS, vol. 10, núm. 2, 1992, pp. 229235. [ Links ]
Ortiz, E. y F López Herrera, "Patterns of cointegration at the Nafta capital markets", Emerging Markets Letters, vol. 1, núm. 1, 2007 (en prensa). [ Links ]
Patterson, K.D., An introduction to applied econometrics: A time series approach, Londres, Macmillan Press, 2000. [ Links ]
Ravn, M.O. y H. Uhli, "On adjusting the HodrickPrescott filter for the frequency of observations, The Review of Economics and StatisTICS, vol. 84, núm. 2, 2002, pp. 371376. [ Links ]
Suleimann, R., "New technology stock market indexes contagion: A VARdccMVGARCH approach", Institutions et Dynamiques Historiques de l'EconomieModélisation nonlinéaire Risques et Applications (IDHEMORA), Note de Recherche IDHEMORA no. 20033, 2003. [ Links ]
Suh, J., "Home bias among institutional investors: a study of the Economist Quarterly Portfolio Poll", Journal of the Japanese and International Economies, vol. 19, núm. 1, 2005, pp. 7295. [ Links ]
Tse, Y.K. y A.K.C. Tsui, "A multivariate generalized autoregressive conditional heteroscedasticity model with timevarying correlations", Journal of Business and Economic StatisTICS, vol. 20, núm. 3, 2002, pp. 351362. [ Links ]
Uribe Lara, L., "Estado actual del gobierno corporativo en México", Revista Latinoamericana de Mercados de Valores, núm. 17, 2006, pp. 3742. [ Links ]
Wong, A.S.K. y PJ.G. Vlaar, "Modelling the timevarying correlations of financial markets", De Nederlandsche Bank NV, Econometric Research and Special Studies Department, Research Memorandum WO & E no. 739/0319, 2003. [ Links ]
Zivot, E. y D.WK. Andrews, "Further evidence on the Great Crash, the oilprice shock, and the unit root hypothesis", Journal of Business and Economic StatisTICS, vol. 10, núm. 3, 1992, pp. 251270. [ Links ]
* Los autores agradecen las valiosas observaciones y sugerencias de Anand B.S. Gulati de la Hanken Svenska Handelshögkolan de Finlandia, Antonio Ruiz Porras de la Universidad de Guadalajara, Raúl de Jesús Gutiérrez de la Universidad Autónoma del Estado de México y de dos árbitros anónimos. Cualquier error que aún prevalezca es responsabilidad exclusiva de los autores.
1 Este sesgo de los inversionistas a invertir en las bolsas de valores de su propio país no está limitado a los inversionistas individuales; también está presente entre los inversionistas institucionales, aunque gran parte de este comportamiento institucional se debe a regulaciones propias del país. Entre los estudios recientes sobre este problema pueden citarse Suh (2005) y Karlson y Norden (2007).
2 A pesar de que en México y América Latina se puede observar cierta tendencia a formas y estructuras de gobierno corporativo más abiertas, la propiedad y control de las empresas todavía conserva muchas características de los grupos industriales objeto de múltiples estudios en el siglo pasado e incluso en el presente. Véanse Fischer, Ortiz y Palasvirta (1994); Castañeda (1998); Uribe Lara (2006).
3 Bauwens, Laurent y Rombout (2006) ofrecen una excelente revisión del desarrollo de los modelos multivariados tipo GARCH, en la cual se pueden ver con más detalle los alcances y limitaciones de los más importantes representantes de esta familia de modelos de volatilidades variantes en el tiempo.
4 Llamado así a partir de Baba et al., 1992. Nota del editor.
5 En Ling y McAleer (2003) se describen las propiedades de este modelo, entre las cuales destaca la consistencia de parámetros cuando los residuales de la ecuación de media no siguen una distribución normal (estimación de cuasimáxima verosimilitud).
6 Otro modelo con correlaciones variantes en el tiempo es el GARCH multivariado (MGARCH) de Tse y Tsui (2002).
7 Se requiere que αi,i + βi,i < 1 para que el proceso sea estacionario.
8 Para la estacionariedad del proceso se requiere a + b < 1.
9 No se ajustan las series a una moneda común (dólares) con el fin de capturar el comportamiento inmediato de los inversionistas locales a innovaciones de los mercados foráneos.
10 Los valores mínimos alcanzados en los estadísticos de las pruebas para los casos de ruptura en el nivel, ruptura en la tendencia o bien ruptura conjunta tanto en el nivel como en la tendencia de la serie son: 3.6395, 3.0406 y 3.6775, respectivamente; en tanto que los valores críticos correspondientes a 5% de significancia para rechazar H0, el proceso es de raíz unitaria, son: 4.80, 4.42 y 5.08, respectivamente. Tampoco en los casos de los índices de los mercados de México y Estados Unidos fue posible rechazar la hipótesis de raíz unitaria mediante la prueba de Zivot y Andrews (1992).
11 Para detalles sobre el procedimiento de eliminación de la influencia de la dinámica de corto plazo en el término de corrección de errores véase Lütkepohl y Krätzig (2004).
12 Se considera esta fecha por sugerencia de uno de los dictaminadores, fecha que parece muy adecuada pues la firma del acuerdo puede verse como detonador de reformas legales para incrementar el grado de apertura financiera que se venía dando como consecuencia de las reformas económicas implementadas con antelación, impactando por tanto las expectativas sobre el comportamiento del mercado mexicano.
14 Evidentemente este punto requiere mayor investigación, al igual que tratar de explicar porqué el TLCAN parece haber aumentado los rendimientos en el mercado canadiense. Sin embargo, esto está más allá del propósito de este artículo, por lo que se considera como parte de la agenda futura de investigación.
15 Se observan algunos signos negativos en los parámetros estimados de las ecuaciones de las varianzas condicionales, aunque casi todos son no significativos. Un problema posible es que pudieran producir varianzas no positivas, lo que evidentemente no sería congruente con la definición de varianza; sin embargo, como señalan Hoti, Chan y McAleer (2002), los modelos VARMAGARCH y DCC no garantizan que hi,i,t > 0
t, pero sí que Ht > 0. Aunque es de señalarse que en ningún caso las estimaciones reportadas en este artículo producen valores negativos para las varianzas condicionales y, por otra parte, Nelson y Cao (1992) demuestran que las violaciones a las restricciones de no negatividad en las estimaciones de modelos GARCH univariados no se deben necesariamente a errores de especificación o de muestreo, sugiriendo incluso que en la práctica no se impongan tales restricciones. Obviamente, hacen falta estudios que extiendan los avances de Nelson y Cao al caso multivariado.
16 La vida media = log(0.5)/(αii + βii) se refiere al tiempo que tarda la volatilidad en disminuir la mitad del aumento sufrido después de un choque.
17 Por su obvia importancia, la selección de un valor de λ acorde con la frecuencia de las observaciones ha sido ampliamente discutida. Ravn y Uhlig (2002) proponen que se use la regla λ = (s/4)4 x 1600, donde s es el número de períodos por año, que es el criterio que empleamos en este documento.













