SciELO - Scientific Electronic Library Online

 
vol.60 número1Compact Radio Sources in the Field of Tycho’s Supernova RemnantSNI a Detection Analysis Results from Real and Simulated Images Using Specialized Software índice de autoresíndice de materiabúsqueda de artículos
Home Pagelista alfabética de revistas  

Servicios Personalizados

Revista

Articulo

Indicadores

Links relacionados

  • No hay artículos similaresSimilares en SciELO

Compartir


Revista mexicana de astronomía y astrofísica

versión On-line ISSN 3061-8649versión impresa ISSN 0185-1101

Rev. mex. astron. astrofis vol.60 no.1 Ciudad de México abr. 2024  Epub 18-Nov-2025

https://doi.org/10.22201/ia.01851101p.2024.60.01.09 

Articles

Astronomical Tests of a Medium Format Digital Camera on a Large Schmidt Telescope

F. Della Prugna1 

1 Centro de Investigaciones de Astronomía - CIDA, 5101 Mérida, Venezuela (fdellap@gmail.com).


ABSTRACT

Installation, testing and astronomical capabilities of a medium format digital camera (Fujifilm GFX 50R) on the 1-meter Schmidt Telescope at the National Astronomical Observatory of Venezuela are described. Main useful features and drawbacks are also discussed.

Key Words: instrumentation: detectors; telescopes

RESUMEN

Se describen la instalación, las pruebas y el potencial astronómico de una cámara digital de formato medio (Fujifilm GFX 50R) en el telescopio Schmidt de 1 metro del Observatorio Astronómico Nacional de Venezuela. También se muestran las características importantes y algunas desventajas de esta cámara.

1 Introduction

On December 2023 CIDA-National Astronomical Observatory of Venezuela (OAN) celebrated its 48th anniversary. Plans for a large astronomical observatory to be originally installed in Caracas date back from the early fifties, when Dr. Eduardo Röhl, then director of Cagigal Naval Observatory, ordered four large instruments from two German firms, Carl Zeiss Oberkochen and Askania Werke (Stock 1981). One of them, the 1-meter, f/3 Schmidt telescope, is among the largest in the world and, at an elevation of 3600 meters in the Andes, is indeed the largest near the equator (Classen & Sperling 1981). Originally equipped with a 28×28  cm2 plateholder, this instrument covered a 4.7 deg circular field of view. After using several small, single-CCD cameras, a major collaboration was signed by CIDA, Yale and Indiana Universities to develop a large 4×4-CCD array to be used for the QUEST survey (Baltay et al. 2002). First light of the QUEST camera installed on the CIDA Schmidt telescope was on November 1998. Since then, serious research was carried out and many important discoveries were made, mainly by the QUEST collaboration, but also within several other domestic and international research projects. Unfortunately, by the onset of the Covid-19 pandemic, many serious hardware and software issues, basically due to the obsolescence of critical components, put the QUEST camera down and in wait for a major upgrade. In the meanwhile, we seriously considered the possibility of using a medium format digital camera as a relatively cheap, simple and almost plug-and-play temporary replacement to resume observations with the Schmidt telescope, especially those that do not require state-of-the-art CCD sensors or special optical filters. After an exhaustive review of medium format digital cameras available on the market, we pinpointed the Fujifilm GFX 50R as the best choice, especially considering the top performance, for the money, of its sensor.

2 Camera

The Fujifilm GFX 50R body features a 51 Mpix (8256×6192), 5.3×5.3  μm2 pixels, RGB Bayer filter, 14 bits/channel CMOS sensor with a peak quantum efficiency (QE) of 0.5, which covers a field of 52×39  arcmin2 at the focal plane of the CIDA Schmidt, with a scale of 0.38 arcsec/pix. This camera shows a very low read-out noise of 3e- at ISO 100 (Claff 2023). Being a mirrorless camera, the flange to sensor distance is only 26.7 mm. However, this value sets an inferior limit to the minimum distance from the much larger original field flattener lens (Figure 1), resulting in a slight but evident degradation of images at the very edge of the field (Figure 2) and a small amount of distortion that must be taken into account in astrometric reductions. Also, the rectangular frame of the mechanical shutter in front of the sensor causes a visible vignetting of the f/3 beam at the extreme edge (Figure 3) that must be corrected by flat-fielding. Image acquisition, exposure settings and shutter release are remotely controlled by a PC via the USB port.

Fig. 1 The GFX 50R body inside its housing just in contact with the field flattener lens. 

Fig. 2 Left, on-axis polychromatic spot diagram of a stellar image and at right, at the upper right corner of the field. The additional small amount of chromatism and coma is caused by the field flattener lens. The color figure can be viewed online. 

Fig. 3 Flat field image. Vignetting of the f/3 beam is caused by the rectangular frame of the mechanical shutter in front of the sensor. 

3 Photometric tests

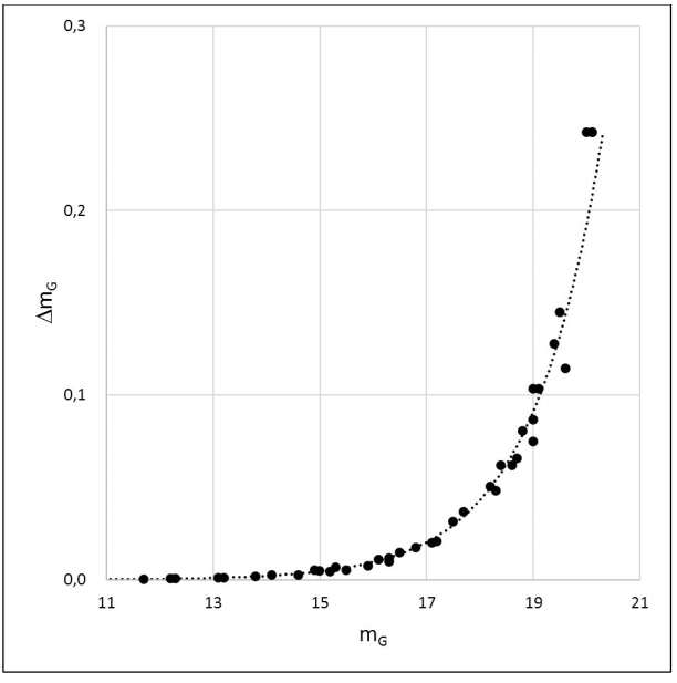
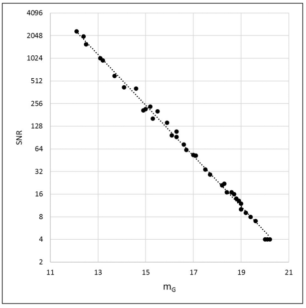
Lacking a temperature control, all tests were carried out with the camera already installed at the focus of the CIDA Schmidt to determine performance at ambient temperature inside the telescope, which typically drops to a few degrees above 0°C at night. After several trials, we resolved to use a single, 1-min exposure at ISO 1600 to carry out astronomical tests. With these settings, sky background is already clearly visible in the image as well as faint, mV20 stars with a signal-to-noise ratio (SNR) 4. A stretched, histogram-equalized mean bias frame is shown in Figure 4. The mean dark signal at 10°C is shown in Figure 5. All images were stored using the lossless, compressed Fujifilm RAW format (.RAF) and linearly converted to 16-bits Tiffs for analysis. Photometric capabilities were determined by carrying out aperture photometry of stars in the range 9<mV<20 from Selected Area (SA) 51 (Chiu 1980) using the G-channel image of the GFX 50R. Results are shown in Figure 6, where only a zero-point magnitude correction was applied. Linearity starts at mV12.5 and is very good up to the faintest recorded mV20 stars. At ISO 100, linearity increases to a range of 9 magnitudes (Claff 2023), but a longer exposure time is needed to record faint stars. Figure 7 shows the SNR dependence on magnitude and Figure 8 the expected magnitude uncertainty determined from SNR values. The latter can be effectively improved by stacking several images of the same field. Also, RGB Bayer filters do not exactly match the BVR Johnson-Cousins photometric standard and transformations are needed (Park et al. 2016).

Fig. 4 A stretched, histogram-equalized mean bias image. 

Fig. 5 Mean dark signal at 10°C ISO 1600. 

Fig. 6 m V vs. m G of stars from SA 51 (dots). Triangles show m G - m V . The solid, horizontal line corresponds to m G - m V = 0 ISO 1600 single 1-min exposure.  

Fig. 7 m G vs. SNR. ISO 1600 single 1-min exposure. 

Fig. 8 Expected m G uncertainty. ISO 1600 single 1-min exposure. 

4 Discussion

CMOS sensors have been steadily replacing CCDs in common, digital cameras for several reasons, among them cost, read-out speed and low noise. Recently, also critical low-light applications are being carried out by state-of-the-art CMOS (Jorden et al. 2017). A special, large 200×200 mm2 CMOS sensor covering 3.3×3.3 deg2 has already been tested on a large Schmidt telescope, albeit with a low resolution (Watanabe et al. 2013). The GFX 50R’s sensor covers a field of 52×39  arcmin2 (Figure 9) at the focal plane of the CIDA Schmidt with a scale of 0.38 arcsec/pix, which allows us to easily attain an astrometric accuracy of 0.10.2 arcsec (Abad 1995). Among regular observations with the CIDA Schmidt, are detection and determination of accurate positions of asteroids, space debris in the geostationary ring and objective-prism stellar spectroscopy, which can be appropriately carried out with the GFX 50R. However, at the time this is written, the image EXIF data only contain the internal GFX 50R’s parameters, without any information of telescope’s position nor relevant observing data that are usually found in astronomical images’ headers. We hope to solve this issue soon by including into the image EXIF the required instrumental parameters which are digitally available from the telescope’s control console. A lossless compressed raw image has a file size of 50 MB, but when converted to 16-bits Tiff this value can reach 200300 MB. Since a scale of 0.38 arcsec/pix is oversampling the typical seeing disk at the OAN of 1.5 arcsec, we found that a post capture 2×2 binning is useful to both reduce the file size fourfold and increase the SNR, without significantly diminishing photometric or astrometric accuracies. A 2-min exposure in drift-scan mode from the QUEST camera and a GFX 50R 1-min exposure at ISO 1600 show similar limiting magnitudes, with the latter reaching a bit fainter, probably due to the slightly better QE of the CMOS sensor compared with the now old QUEST’s CCDs. Moreover, use of the camera is quite straightforward, since there are no cooling and related vacuum equipment, nor long-exposures tracking issues involved. Image stacking will improve SNR, allowing fainter magnitudes to be reached. Also, the field of view can be increased by mosaicking several overlapping images. A 2×2-image mosaic with a 20% overlap will allow to cover 1.6×1.2 deg2, and a 3×3-image 2.3×1.7 deg2.

Fig. 9 A HDR image of the Orion Nebula showing the field covered by the GFX 50R’s CMOS sensor. The color figure can be viewed online. 

5 Summary

A medium format digital camera has been installed and tested at the focus of the 1-meter f/3 Schmidt telescope at the National Astronomical Observatory of Venezuela. We believe the results are quite encouraging, especially considering the very simple arrangement and operation, low cost and easy installation. Field coverage apart, astrometric and photometric accuracies are on par, or even better, with those from the QUEST camera, provided that the necessary calibration images (bias, flat, and dark) are taken into account. This low-cost solution could be of interest to other observatories with mid-sized or large telescopes on a limited budget. We found that on the CIDA Schmidt, a single, 1-min exposure at ISO 1600 will properly record sky background and faint, mV20 stars. Stacking will further improve both limiting magnitude and SNR, and mosaicking will significantly expand field coverage. We foresee that in the near future, back-side illuminated CMOS sensors (BSI CMOS), will further improve the astronomical capabilities of common, digital cameras at modest costs.

Acknowledgements

The Fujifilm GFX 50R and a Desktop PC were made available by Ministerio para Ciencia y Tecnología (MinCyT). The author would like to thank Gerardo Sánchez, Gustavo Sánchez and Gustavo Barroeta for support and advice, Richard Rojas for assistance during the night tests at the OAN and Carlos Abad for astrometric processing.

References

Abad, C. 1995, A&AS, 111, 369 [ Links ]

Baltay, C., Snyder, J. A., Andrews, P., et al. 2002, PASP , 114, 780, https://doi.org/10.1086/341705 [ Links ]

Chiu, L.-T. G. 1980, ApJS, 44, 31, https://doi.org/10.1086/190684 [ Links ]

Claff, W. J. 2023, https://photonstophotos.netLinks ]

Classen, J. & Sperling, N. 1981, S&T, 61, 303 [ Links ]

Jorden, P. R., Jerram, P. A., Fryer, M., & Stefanov, K. D. 2017, JInst, 12, 07, https://https://doi.org/10.1088/1748-0221/12/07/C07008 [ Links ]

Park, W., Pak, S., Shim, H., et al. 2016, AdSpR, 57, 509, https://doi.org/10.1016/j.asr.2015.08.004 [ Links ]

Stock, J. 1981, RMxAA, 6, 13 [ Links ]

Watanabe, J., Kasuga, T., Terai, T., et al. 2014, The Meteoroids 2013, ed. T. J. Jopek, F. J. M. Rietmeijer, J. Watanabe, & I. P. Williams, 325 [ Links ]

Received: November 22, 2023; Accepted: December 22, 2023

Creative Commons License This is an open-access article distributed under the terms of the Creative Commons Attribution License