INTRODUCCIÓN
En las estructuras desplantadas en suelos blandos, los efectos de la Interacción Dinámica Suelo Estructura (IDSE) son muy pronunciados. En general, los efectos IDSE producen alargamientos en el periodo fundamental de vibrar de las estructuras, modificaciones en el amortiguamiento y cambios en el comportamiento inelástico (Avilés y Pérez-Rocha, 2004). En el caso de la Ciudad de México, en donde se pueden encontrar suelos de muy baja rigidez y alta plasticidad, sobre todo en la denominada zona de lago, estos efectos suelen ser pronunciados.
Avilés y Pérez-Rocha (2004) definen la IDSE como un conjunto de efectos cinemáticos e inerciales producidos en la estructura y el suelo. La interacción cinemática se refiere a las modificaciones en las características de la excitación sísmica en la base respecto al movimiento que se tiene en campo libre en ausencia de la estructura. En éste se considera a la estructura carente de masa y solo interviene la rigidez de la cimentación ya que es un efecto asociado a la difracción y refracción de las ondas sísmicas producidas por la presencia del cimiento. Por otra parte, la interacción inercial se refiere a los cambios que experimenta la respuesta estructural, derivados de los desplazamientos relativos producidos entre la cimentación y el terreno, debidos a la acción del cortante basal y el momento de volteo que introduce la estructura al sistema suelo-cimentación.
El subsuelo de la zona de lago de la Ciudad de México está formado por depósitos de arcilla altamente compresibles, intercalados con capas arenosas con contenido diverso de limo o arcilla. Estos suelos tienen propiedades mecánicas y dinámicas únicas, en los cuales es común encontrarse contenidos de agua de hasta 400%, índices de plasticidad mayores a 300% e índices de compresión del orden de 10 (Díaz-Rodríguez, 2016).
Estos depósitos de arcilla se descansan sobre un estrato firme que se localiza, en algunos sitios, a más de 60 metros de profundidad. En la zona donde se hallaba el antiguo lago de Texcoco el nivel freático puede llegar a encontrarse a menos de un metro de profundidad (NTC-Cimentaciones, 2017). Estas condiciones, en conjunto con la sobreexplotación de los mantos acuíferos, producen un proceso de hundimiento regional en gran parte del valle de México, lo que representa un reto para el desarrollo de la infraestructura en la ciudad y zona metropolitana.
Los depósitos de arcilla de la zona lacustre de la Ciudad de México se pueden representar mediante estratos equivalentes debido a que dinámicamente, en las zonas suficientemente alejadas a las orillas originales del lago, su comportamiento es semejante al de un manto homogéneo. Este estrato equivalente debe tener una respuesta dinámica igual o similar a la del depósito estratificado (MDOC-Sismo, 1993).
En los estratos homogeneizados se pueden definir propiedades mecánicas equivalentes que produzcan comportamientos dinámicos iguales tanto del estrato homogéneo como del medio estratificado. Las propiedades que definen el comportamiento dinámico del estrato son: el periodo fundamental de vibrar del estrato (
La IDSE suele tenerse en cuenta exclusivamente en el modo fundamental de vibrar de las estructuras, por lo que se considera que la respuesta del edificio es principalmente de origen inercial (Roesset, 2003). Una forma eficiente de representar los efectos de IDSE es reemplazar al suelo por resortes y amortiguadores, mediante el concepto de rigidez dinámica o funciones de impedancia (Avilés y Pérez-Rocha, 2004). El comportamiento del sistema suelo-cimentación debe estudiarse de manera dinámica debido tanto a la influencia de las fuerzas de inercia asociadas a la masa del suelo como a los mecanismos de amortiguamiento asociados con la propagación de ondas.
La rigidez dinámica del sistema suelo-cimentación en cada una de sus direcciones puede expresarse en función de su rigidez estática modificada por factores dinámicos, los cuales dependen de la frecuencia de excitación. Existen diversas aproximaciones para el cálculo de estos valores y en este estudio, se utilizan las aproximaciones incluidas en el programa Dyna6.1 (El Naggar et al. 2011). Para el caso del grupo de pilotes de fricción, se ha observado que la consideración de los efectos de grupo (EG) puede modificar de manera significativa la rigidez del sistema en edificaciones desplantadas en las arcillas de la Ciudad de México (Correa y Murià 2005) por lo que en este estudio se han tomado en cuenta.
Como ya se ha comentado, los efectos IDSE producen, entre algunos otros efectos, el alargamiento del periodo fundamental de vibrar del sistema. Este trabajo se centra en el estudio de las modificaciones producidas en este parámetro debido a distintas condiciones del suelo. Dado que, por definición, las rigideces dinámicas del sistema suelo-cimentación dependen del periodo de análisis, y a su vez, el periodo del sistema depende de estas rigideces, es necesario realizar un proceso iterativo para definir los valores de estos parámetros. Una vez que se encuentra dicho periodo se calculan las correspondientes rigideces dinámicas para posteriormente emplearlas en el modelado numérico del resorte equivalente. El modelado numérico del edificio, así como del resorte equivalente se realizó en el programa Etabs 2016 versión 16.2.1. (CSI 2016). El periodo fundamental del modelo numérico desplantado sobre un sistema de resortes equivalentes se compara con el calculado mediante la expresión incluida en las NTC-Sismo 17.
En general basta con obtener las propiedades del subsuelo mediante estudios de mecánica de suelos para calcular las rigideces dinámicas de la cimentación y obtener la respuesta dinámica del sistema suelo-cimentación-estructura. Sin embargo, para los edificios desplantados en suelos blandos en la Ciudad de México, las alteraciones que han sufrido éstos debido a la sobreexplotación de los acuíferos, podrían modificar la respuesta de las estructuras con base flexible. Adicionalmente, los posibles efectos no lineales del suelo, particularmente derivados del proceso de remoldeo al que están sometidas las arcillas al sujetarse a ciclos de deformación producidos por los efectos de los sismos, también pueden tener influencia en los efectos IDSE.
En este trabajo, se estudian las modificaciones que introduce el cambio en las propiedades del suelo producidas tanto por el hundimiento regional como por el comportamiento no lineal en el periodo de vibrar de un edificio de 16 niveles, con la finalidad de caracterizar de manera general las implicaciones de ambos fenómenos en el diseño de estructuras futuras.
Para tomar en cuenta la degradación del módulo de rigidez del suelo, se utilizan como referencia los estudios realizados por Romo y Ovando (1995), en los cuales, mediante pruebas de columna resonante y pruebas triaxiales cíclicas, emplearon regresiones de mínimos cuadrados para proponer expresiones para estimar dicha degradación. Respecto a la valoración del hundimiento regional, se emplearon las aproximaciones recomendadas por Aguilar et al. (2003) y Avilés y Pérez-Rocha (2010). Estas expresiones tratan de predecir el comportamiento dinámico de los depósitos de arcilla considerando el hundimiento regional en un lapso de 10 a 50 años. Se reporta que el hundimiento regional de algunos estratos de la zona lacustre es de hasta 40 cm/año y presentan acumulaciones de hundimiento de hasta 4 metros.
MODELO INVESTIGADO
El edificio en estudio se construyó hace 50 años (1973-1974) y se encuentra ubicado en el centro de la Ciudad de México. Está conformado por 16 niveles, planta baja y 2 sótanos, puede albergar alrededor de 10,000 personas. Desde su construcción hasta la fecha ha sido testigo de diversos reforzamientos y remodelaciones (Tapia, 1999). El edificio originalmente estaba conformado por tres cuerpos independientes con una cimentación común. Está constituido principalmente de concreto reforzado con muros de cortante de concreto y muros divisorios de mampostería, con columnas y losas reticulares con capiteles en la conexión con la columna. Cuenta con un cajón de cimentación y contratrabes, con una losa de fondo desplantada en 447 pilotes de fricción.
Después del sismo del 19 de septiembre de 1985 los tres edificios sufrieron daños estructurales de mediana importancia, por lo que en 1986 se tomó la decisión de reforzarlos mediante su unión para conformar uno solo. La unión se realizó bajo los lineamientos de las Normas de Emergencia (DOF-1985) de octubre de 1985. Se añadieron muros de rigidez de concreto en ambas direcciones. El reforzamiento del inmueble comenzó en 1986 y culminó en 1987. En 1991 se le realizó una revisión de seguridad estructural, en la que se amplió la geometría de muros y se añadieron contratrabes a la cimentación (Tapia, 1999).
El sistema estructural del edificio es a base de columnas de concreto reforzado de dimensiones diferentes en los primeros 5 niveles y constantes en los niveles restantes. Cuenta con un total de 105 columnas en los primeros cuatro niveles, así como muros de cortante con espesor variable de 0.35 a 0.25 m de concreto reforzado. El sistema de piso lo conforman losas reticulares con peralte de 0.45 m y capiteles reforzados en la unión losa-columna. En la figura 1 se muestra un corte esquemático del edificio y su cimentación. Tanto en planta como en elevación la estructura es predominantemente cuadrada, con salientes y aberturas en algunos niveles. Aunque presenta irregularidades no se considera un edificio fuertemente irregular, dado que la relación de aspecto en ambos sentidos es menor a 1. El área de cada planta varía de 5,000 a 5,500 m2. Las dimensiones oscilan entre 80 m de ancho y 86 m de largo, mientras que la altura máxima del edificio es de 56.25 m (Tapia, 1999).
El edificio cuenta con un cajón de cimentación que compensa parcialmente el peso de la estructura, limitado por muros de contención de concreto reforzado en toda la periferia de la cimentación unidos monolíticamente con las losas de fondo, sótano 1 y planta baja. La losa de fondo es de concreto macizo y tiene 0.30 m de peralte, el cajón cubre toda el área de desplante del edificio. El nivel de desplante es diferente en algunas zonas de los extremos y en la parte central. Para fines de este trabajo se consideró una profundidad de desplante uniforme de 9.5 metros.
El cajón de cimentación cuenta con contratrabes y se desplanta sobre 447 pilotes de fricción distribuidos en toda la planta. Los pilotes son tipo tensa de sección transversal en H, de 0.35 m de ancho de patín y 0.40 m de longitud del alma, con una longitud promedio de 25.4 metros. La distribución de los pilotes y la geometría general del cajón en planta se muestra en la figura 2. El espaciamiento de los pilotes es de 2 m en la parte central, respecto a cada columna y de 0.90 m en la periferia respecto a los muros del cajón de cimentación.
Para definir las propiedades mecánicas y dinámicas del suelo se utilizó un estudio de mecánica de suelos de 1991 (Grupo Dirac, 1991) efectuado para la revisión estructural del edificio en el mismo año. Como parte del estudio de 1991, para la determinación de las características estratigráficas del depósito de suelo se utilizaron sondeos de cono eléctrico e hincado a presión de un muestreador Shelby. En el sondeo de cono eléctrico se reportó la resistencia a la penetración del suelo (
Los efectos IDSE están íntimamente ligados con la respuesta dinámica del depósito. Para caracterizar dicha respuesta, se representó el suelo de desplante por medio de un estrato homogéneo equivalente, definido por la velocidad de onda de cortante (
Donde
En donde
En la que g es la aceleración de la gravedad y
Tabla 1 Valores sugeridos de los parámetros de corrección y referencia (Ovando y Romo, 1991)
| Tipo de suelo |
|
|
||
| Máximo | Medio | Mínimo | ||
| Arcillas del lago de Texcoco preconsolidado y virgen | 10.00 | 9.50 | 9.00 | 1.50 |
| Suelos areno-limosos de las capas duras de todo el valle | 16.00 | 11.10 | 8.00 | 0.37 |
El perfil de velocidades de onda propuesto se muestra en la figura 3. De este perfil se pueden identificar claramente cuatro unidades estratigráficas de arcilla de baja rigidez, con velocidades de propagación de onda que oscilan entre los 50 y los 75 m/s, intercaladas con lentes limo-arenosos con velocidades de propagación de onda ligeramente superiores a los 150 m/s. La profundidad de los depósitos profundos se identificó a los 32 m por debajo del nivel de banqueta (26 m de la profundidad de exploración).
Debido a que la caracterización geotécnica para el estudio de los efectos IDSE debe representar el comportamiento dinámico del conjunto de unidades estratigráficas del sitio, es posible considerarlas mediante un estrato homogéneo equivalente en términos del comportamiento dinámico. Las propiedades del subsuelo tales como el peso específico, la densidad específica, el módulo de Poisson, etc., se determinaron con un valor medio para cada unidad estratigráfica y luego un valor equivalente para el estrato idealizado. Este procedimiento es válido si estas propiedades no cambian abruptamente unas de otras (MOC-Sismo, 1993).
El peso específico equivalente del suelo (
Definidos los valores medios para cada unidad estratigráfica se procede a determinar los valores del estrato equivalente que se muestran en la tabla 2. El periodo predominante del estrato se calculó con la ecuación 1 y el módulo de rigidez equivalente con la ecuación 2. El módulo de Poisson se definió de 0.45 que es un valor representativo de las arcillas del valle de México, como se recomienda en el apéndice A de las NTCS-2004. Este parámetro no se determinó en el estudio de mecánica de suelos.
Tabla 2 Propiedades del estrato equivalente
|
|
|
ν |
|
|
|
|
|
1,265 | 0.45 | 63.56 | 2.01 | 5.11 |
El periodo dominante del suelo calculado se puede corroborar comparándolo con el periodo predominante del sitio reportado en las (NTC-S, 2004). Así el periodo predominante del sitio es aproximadamente de
El nivel de exploración del cono eléctrico y el sondeo con tubo Shelby se comenzó a 6 m de profundidad de la superficie (banqueta), por lo que la referencia para el perfil de velocidades de la figura 3 considera cero a partir de dicha profundidad.
Finalmente, las propiedades índice (contendido de agua, límite líquido, límite plástico, índice de plasticidad y consistencia relativa) del estrato equivalente son las que se muestran en la tabla 3, las cuales se obtuvieron también utilizando promedios ponderados de todas las unidades estratigráficas. Se comprueba que las arcillas del sitio corresponden a suelos de muy alta plasticidad.
VARIACIÓN DEL MÓDULO DE RIGIDEZ DEL SUELO (G)
Para determinar la influencia de las diferentes fuentes de variación de las propiedades del suelo en la repuesta dinámica del edificio considerando los efectos de IDSE, se emplearon los resultados reportados en estudios previos para las arcillas de la Ciudad de México. Tanto el comportamiento no lineal del suelo como la subsidencia tienen una influencia directa en el valor del módulo de rigidez al corte. Las rigideces dinámicas dependen del módulo de rigidez del suelo, por lo que las variaciones de éste influyen directamente en las rigideces dinámicas, y por ende la respuesta dinámica del edificio debido a la interacción dinámica suelo-estructura.
Degradación del módulo de rigidez al corte
Para evaluar los efectos de la degradación del módulo de rigidez del suelo se utilizaron los resultados reportados por Romo (1995) y Flores y Romo (2001). En estos estudios, con base en pruebas de columna resonante y pruebas triaxiales cíclicas, se generaron curvas de degradación utilizando un modelo tipo Masing, el cual toma en cuenta las no-linealidades del suelo asociadas a los niveles de deformación de cortante ocasionados durante un sismo (Osorio, 2007).
Mediante regresiones de mínimos cuadrados establecieron expresiones para determinar el módulo de rigidez máximo del suelo y la degradación del módulo de rigidez. Con estas expresiones es posible representar fenómenos como el remoldeo de las arcillas. La degradación del módulo de rigidez al corte queda definida con la ecuación 5 (Romo y Ovando, 1995).
donde:
H(γ) es una función normalizada de la degradación del módulo de rigidez al corte para las arcillas de la Ciudad de México.
A’=A+Cr es un parámetro de control que controla la forma de la curva de degradación y que depende de la compacidad relativa (Cr) y del índice de plasticidad del suelo.
A y B son parámetros del suelo que influyen en la forma de la curva de degradación, y son función del índice de plasticidad del suelo.
γ es la deformación angular esperada del suelo
Los parámetros A, B y
Hundimiento regional
La creciente demanda de agua en el valle de México y la explotación de los mantos acuíferos ha provocado que los depósitos de arcilla pierdan grandes cantidades de agua y presenten asentamientos de hasta 40 cm/año y hundimientos acumulados durante 15 años de hasta 4 m (Aguilar et al., 2003). Este efecto, ampliamente estudiado para el valle de México (González et al. 2011, Martínez-González et al. 2015, Reséndiz et al. 2016, Jaime et al. 2022) se denomina subsidencia o hundimiento regional.
Se ha observado que el hundimiento regional disminuye el espesor de los estratos compresibles, aumenta la velocidad de propagación de ondas de cortante y disminuye el periodo predominante del depósito (Aguilar et al., 2003, Avilés y Pérez-Rocha 2010). Se han desarrollado diversas correlaciones empíricas de estas propiedades para estimar la variación en función de la disminución del periodo de vibrar del suelo en el tiempo. En este trabajo se utilizan las correlaciones propuestas por Aguilar et al. (2003), como se muestra en la figura 5. Estas expresiones son resultado de curvas ajustadas de información recopilada del hundimiento regional. Las ecuaciones 7 y 8 permiten aproximar tanto el espesor del estrato compresible como la velocidad de propagación de ondas de corte en función exclusivamente del periodo del sitio.

Figura 5 Evolución del periodo dominante de vibración del suelo con el tiempo (Aguilar et al., 2003)
Utilizando el periodo predomínate del estrato equivalente en un tiempo inicial y la gráfica de la figura 5, se puede obtener un valor estimado del periodo para un intervalo de tiempo establecido. Con este nuevo valor se calcula el espesor del estrato equivalente y la velocidad de propagación del estrato con la ecuación 7 y 8 respectivamente y, posteriormente se determina el módulo de rigidez del suelo con la ecuación 2. En este estudio se consideró que tanto el peso volumétrico del suelo como la relación de Poisson no se verán alteradas por la subsidencia. Se reconoce que, por la reducción en los contenidos de agua y la consolidación asociados con el hundimiento regional, es de esperarse que ambos parámetros sufran modificaciones, sin embargo, las variaciones esperadas para estos dos parámetros serán menores que las modificaciones en el módulo de rigidez al corte, por lo que por cuestiones de simplificación del problema, se consideran constantes en este estudio.
Para realizar una comparación entre los resultados reportados por Aguilar et al. (2006) y las modificaciones consideradas en las NTC-Sismo en su versión 2017 (NTCS-17), se realizaron cálculos adicionales utilizando los periodos predominantes del sitio reportados en las normas de sismo del 2004 y del 2017. Con ambos periodos, se despejó la velocidad de propagación de las ondas de cortante de la ecuación 1 y se calculó el respectivo módulo de rigidez del suelo (ecuación 2). Se consideró que del 2004 al 2017 el espesor del estrato disminuyo 5%. Con estos datos se definió un nuevo estrato equivalente, manteniendo constantes el peso específico, la densidad específica y el módulo de Poisson. Con esta metodología se toma en cuenta de manera indirecta el hundimiento regional, considerando las variaciones en las propiedades del suelo con el tiempo.
En total se definieron 7 escenarios distintos, considerando diferentes valores para el módulo de rigidez del suelo, que representan las modificaciones introducidas por el hundimiento regional y la degradación por comportamiento no lineal. Para identificarlos, los módulos de rigidez están acompañados por un subíndice que indica que efectos o condiciones está considerando. Para los casos en que el hundimiento regional se estima con la aproximación de Aguilar et al. (2001), se indica con el subíndice h. Para los casos en los que se considera la degradación del módulo de rigidez, se indica con el subíndice d. Con estos módulos de rigidez se calcularon las rigideces dinámicas del suelo y los respectivos valores del periodo fundamental del edificio con IDSE para cada una. El cálculo paso a paso de cada módulo de rigidez se puede consultar en Zamora (2018).
INTERACCIÓN DINÁMICA SUELO ESTRUCTURA
Los efectos de la IDSE modifican las propiedades dinámicas más relevantes de las estructuras como son el periodo, rigidez y amortiguamiento. Las estructuras que son propensas a experimentar estos efectos son aquellas que se encuentran desplantadas en suelo blando y son sometidas a excitación sísmica. Los efectos de la IDSE debido a la flexibilidad de la base ocasionan que el periodo fundamental del sistema se alargue (Avilés y Pérez-Rocha, 2004).
Para aproximar el periodo fundamental de una estructura con base flexible, se puede utilizar la representación por medio de un oscilador de remplazo como se describe en Wolf (1985). Esta aproximación es la que se utiliza en las NTC-Sismo 17 (ecuación 9). El periodo del sistema con base flexible (
Una forma alternativa al método del oscilador de remplazo de introducir los efectos de la flexibilidad de la base en el análisis de las estructuras es mediante el modelado explícito de resortes en la base del modelo estructural. En el presente trabajo se estudió exclusivamente la modificación del periodo fundamental de la estructura por efectos IDSE por lo que no se valoró la influencia del amortiguamiento del sistema suelo cimentación. Se comparan los resultados obtenidos tanto con la aproximación del oscilador de remplazo, como con el modelado explícito de la flexibilidad de la base.
Para el cálculo de las constantes
El programa Dyna6.1, estima la respuesta dinámica de los sistemas suelo-cimentación, con base en la combinación de soluciones analíticas cerradas o aproximaciones numéricas, dependiendo del tipo de cimentación. Para el caso de los cajones de cimentación, el programa utiliza la solución para cimientos circulares desplantados en estratos homogéneos reportadas por Kausel y Ushijima (1979). Éstas soluciones se presentan por medio de expresiones paramétricas que aproximan los resultados obtenidos por medio del método de elementos finitos. En la definición del periodo con base flexible, solamente es necesario considerar los modos traslacionales y rotacionales del cajón. Dado que la planta del cajón no es circular (figura 2), se realizó una caracterización por medio de círculos con radios equivalentes al área y a los momentos de inercia respecto a los ejes ortogonales x y y. En la tabla 4 se muestran las propiedades geométricas del cajón y los radios equivalentes respectivos. Puede observarse que el momento de inercia alrededor del eje y es mayor que el calculado respecto al eje x, lo que se traduce en una mayor rigidez rotacional del cajón respecto a este eje. Las expresiones incluidas en las NTC-Sismo 17, corresponden a las soluciones propuestas por Kausel y Ushijima (1979).
Tabla 4 Propiedades geométricas del cajón de cimentación
| Área (m2) | I xx (m4) | I yy (m4) |
|
|
|
| 5.36E+3 | 1.73E+6 | 3.77E+6 | 41.3 | 38.5 | 46.8 |
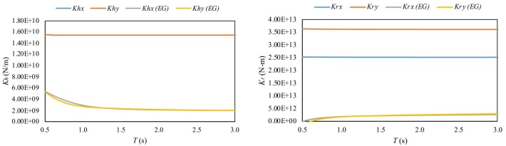
Para el caso de los pilotes de fricción, se utiliza la superposición de dos soluciones. En primera instancia, para determinar el valor de las rigideces dinámicas de los pilotes individuales, se utiliza el método propuesto por Novak y Abou-Ella (1978), el cuál discretiza el problema en un conjunto de estratos de espesor finito para representar la totalidad de los pilotes. Se utiliza una representación del problema tridimensional como un elemento axisimétrico, que permite resolver el problema de propagación de ondas, como una superposición de la solución en el plano y la solución fuera del plano. Dado que la solución considera un elemento axisimétrico, es necesario representar a los pilotes por elementos con radios equivalentes en cada una de las direcciones. Como la orientación de los pilotes es desconocida, se optó por calcular una inercia promedio en ambas direcciones para representarlos por medio de un radio equivalente único. Una vez determinadas las rigideces individuales de cada uno de los pilotes, la rigidez dinámica del grupo se calcula utilizando el método propuesto por El Naggar y Novak (1995). Este método consiste en determinar los factores de interacción entre los distintos pilotes, definidos como el desplazamiento producido en uno de los pilotes, debido al desplazamiento en otro. Con estos factores, se puede construir una matriz de flexibilidades de todo el grupo de pilotes para posteriormente definir la rigidez del grupo. En la figura 6 se muestran las diferencias que existen entre la rigidez dinámica horizontal y rotacional del grupo de pilotes en ambas direcciones, ignorando y considerando los efectos de grupo para la cimentación estudiada. Los resultados se muestran para el intervalo de periodos de interés de 0.5 a 3 s. Es claro que los efectos de grupo tienen una influencia significativa, tanto para la rigidez horizontal como para la rigidez rotacional. Los efectos de grupo reducen un 85% la rigidez horizontal y entre 90 y 95% la rigidez rotacional.
RESULTADOS
Para valorar la influencia de las distintas condiciones del suelo en el periodo de vibrar de la edificación, se utilizó un modelo numérico. El modelo numérico del edificio se realizó en el software Etabs 2016 versión 16.2.1. Se modelaron los 16 niveles y los dos sótanos con las características mencionadas en la descripción de la superestructura, incluyendo los capiteles en la unión losa-columna. La respuesta dinámica del modelo está calibrada con pruebas de vibración ambiental realizadas al edificio (Tapia, 1999). Se evaluó el periodo fundamental de la edificación en sus dos direcciones ortogonales considerando los nodos en la base empotrados. De esta condición se estableció el periodo con base rígida. Se calibraron distintas aproximaciones del modelo con base rígida, en primera instancia se restringieron todos los grados de libertad de los dos sótanos, posteriormente se calibró el modelo utilizando únicamente un nodo maestro empotrado y con un resorte con rigideces infinitas. En todos los casos se supuso que el cajón de cimentación tenía un comportamiento de cuerpo rígido ante los desplazamientos laterales para ser consistente con las hipótesis del cálculo de las rigideces dinámicas. En la tabla 5 se muestran los periodos fundamentales reportados en los modelos con todos los nodos de la cimentación restringidos y utilizando exclusivamente un nodo maestro empotrado.
Tabla 5 Periodos fundamentales del modelo numérico en base rígida, restringiendo los grados de libertad de los sótanos y con un nodo maestro empotrado
| Periodos fundamentales restringiendo los grados de libertad de los sótanos | Periodos fundamentales del modelo con un nodo maestro empotrado | ||
| T x (s) | T y (s) | T x (s) | T y (s) |
| 0.780 | 0.883 | 0.782 | 0.886 |
Los periodos del modelo numérico con base rígida de la tabla 5 son consistentes con los encontrados por Tapia (1999). Una vez calibrado el modelo en base rígida, se introdujo la flexibilidad del sistema suelo cimentación, modelando un conjunto de resortes en el nodo maestro con las constantes correspondientes a los distintos grados de libertad.
En la tabla 6 se muestran los módulos de rigidez del suelo correspondientes a los distintos escenarios, que representan el hundimiento regional y la degradación del módulo de rigidez del suelo debido a los efectos de no-linealidad del suelo. Se plantearon siete escenarios diferentes que se explican a continuación:
Condiciones originales del suelo en 1991 (Gs1991).- Se utilizan las propiedades del suelo, calculadas con base en los resultados del estudio de mecánica de suelos de 1991. Estas propiedades son las que se definieron en secciones previas.
Condiciones originales del suelo en 1991 considerando los efectos de degradación (Gsd1991).- En este caso, se realiza la estimación de la reducción del módulo de rigidez al corte debida a la degradación con el procedimiento de Romo y Ovando (1995) descrito previamente.
Condiciones estimadas del suelo en 2017 según las NTC-Sismo (Gs2017).- Las NTC-Sismo han integrado el efecto del hundimiento regional de manera empírica, utilizando las mediciones de los cambios en los periodos del sitio a lo largo del tiempo. Para este caso, se utilizaron las variaciones en el periodo del sitio y espesor del estrato compresible reportadas entre la versión 2004 y la versión 2017 de las NTC-Sismo.
Condiciones estimadas del suelo en 2017 según las NTC-Sismo considerando los efectos de degradación (Gsd2017). -Con base en las propiedades del suelo estimadas en el escenario 3, se introducen los efectos de la degradación de rigidez.
Condiciones estimadas del suelo en 2017 (Gsh2017).- Se utilizan las propiedades del suelo modificadas por el efecto del hundimiento regional estimadas con el procedimiento de Aguilar et al. (2003). Se considera como año de referencia 1991 y se estima la modificación de las propiedades dinámicas del suelo 26 años después.
Condiciones estimadas del suelo en 2017 considerando los efectos de degradación (Gshd2017).- Con base en las propiedades del suelo estimadas en el escenario 5, se introducen los efectos de la degradación de rigidez.
Condiciones estimadas del suelo en 2041 (Gsh2041).- Se utilizan las propiedades del suelo modificadas por el efecto del hundimiento regional estimadas con el procedimiento de Aguilar et al. (2003). Se considera como año de referencia 1991 y se estima la modificación de las propiedades dinámicas del suelo 50 años después.
Tabla 6 Propiedades dinámicas del estrato equivalente considerando el hundimiento regional y la degradación del módulo de rigidez del suelo
| Escenarios | G (MPa) | Vs (m/s) | Hs (m) | Ts (s) | |
| G1 | Gs1991 | 5.11 | 63.56 | 32.00 | 2.01 |
| G2 | Gsd1991 | 4.80 | 61.61 | 32.00 | 2.08 |
| G3 | Gs2017 | 6.63 | 72.46 | 30.40 | 1.68 |
| G4 | Gsd2017 | 6.23 | 70.24 | 30.40 | 1.73 |
| G5 | Gsh2017 | 8.55 | 82.25 | 31.46 | 1.53 |
| G6 | Gshd2017 | 8.03 | 79.73 | 31.46 | 1.60 |
| G7 | Gsh2041 | 9.44 | 86.45 | 25.94 | 1.20 |
El hundimiento regional es el parámetro que tiene mayor impacto en la modificación de las propiedades del estrato equivalente, ocasionando un aumento del módulo de rigidez del suelo del 85% entre los escenarios extremos (G1 y G7), lo cual se asocia a un incremento en la velocidad de onda de cortante del 34%. Este efecto produce una reducción del 18% del espesor del estrato compresible (un poco más de 6 m en 50 años) y una reducción de alrededor del 60% el periodo fundamental de vibrar del sitio. Con estos resultados se manifiesta que el hundimiento regional juega un papel muy importante en los efectos de amplificación dinámica del movimiento por la presencia de los estratos superficiales, denominados efectos de sitio. Estas modificaciones han sido ampliamente estudiadas y están consideradas en las NTC-Sismo 17 y en la actualización para el 2023.
Es interesante que los resultados estimados con la metodología de Aguilar et al. (2006) se apegan de manera razonable a lo reportado por las NTC-Sismo en su versión 2020, que corresponden a los resultados medidos de manera experimental, con variaciones de menores al 10% en el periodo del sitio estimado. Dado que las NTC-Sismo no incluyen ningún procedimiento para estimar estas variaciones a lo largo del tiempo, parece razonable considerar que con el procedimiento propuesto por Aguilar et al. se pueden estimar variaciones consistentes con las esperadas en la norma, para un intervalo de tiempo específico. Por otra parte, las posibles no linealidades del suelo parecen no tener un impacto significativo. Las reducciones en los módulos de rigidez al corte en todos los casos se limitan a menos del 8%. Este resultado es consistente con lo observado para las arcillas del valle de México, en las cuales, debido a su alta plasticidad, presentan un intervalo de deformaciones angulares bastante amplio, en el que no se esperan grandes reducciones en el módulo de rigidez al corte (Diaz-Rodríguez, 2016).
Con el conjunto de propiedades del suelo estimadas para cada uno de los escenarios, se calcularon las rigideces dinámicas del sistema suelo cimentación. En la tabla 7, se muestran los resultados para el cajón de cimentación, el grupo de pilotes y el conjunto cajón-grupo de pilotes (total). Se reportan las rigideces horizontales para ambas direcciones de análisis (
Tabla 7 Rigideces dinámicas de la cimentación obtenidas de con el programa Dyna6.1, asociadas a las condiciones del estrato equivalente de la tabla 9
| Rigideces dinámicas | Escenarios | |||||||
| G1 | G2 | G3 | G4 | G5 | G6 | G7 | ||
|
|
Cajón | 2.57E+09 | 2.41E+09 | 3.35E+09 | 3.15E+09 | 4.38E+09 | 4.11E+09 | 5.81E+09 |
| Pilotes | 2.23E+09 | 2.12E+09 | 2.74E+09 | 2.59E+09 | 3.32E+09 | 3.17E+09 | 3.59E+09 | |
| Total | 4.80E+09 | 4.53E+09 | 6.09E+09 | 5.74E+09 | 7.70E+09 | 7.28E+09 | 9.39E+09 | |
|
|
Cajón | 2.60E+09 | 2.44E+09 | 3.39E+09 | 3.18E+09 | 4.44E+09 | 4.17E+09 | 6.02E+09 |
| Pilotes | 2.27E+09 | 2.16E+09 | 2.77E+09 | 2.64E+09 | 3.36E+09 | 3.20E+09 | 3.64E+09 | |
| Total | 4.86E+09 | 4.60E+09 | 6.16E+09 | 5.82E+09 | 7.80E+09 | 7.37E+09 | 9.65E+09 | |
|
|
Cajón | 1.69E+12 | 1.58E+12 | 2.29E+12 | 2.14E+12 | 3.09E+12 | 2.89E+12 | 3.66E+12 |
| Pilotes | 2.17E+12 | 2.06E+12 | 2.73E+12 | 2.60E+12 | 3.39E+12 | 3.23E+12 | 3.66E+12 | |
| Total | 3.86E+12 | 3.64E+12 | 5.03E+12 | 4.74E+12 | 6.48E+12 | 6.11E+12 | 7.32E+12 | |
|
|
Cajón | 3.26E+12 | 2.99E+12 | 4.62E+12 | 4.30E+12 | 6.47E+12 | 5.97E+12 | 7.87E+12 |
| Pilotes | 2.34E+12 | 2.21E+12 | 2.94E+12 | 2.80E+12 | 3.67E+12 | 3.48E+12 | 3.98E+12 | |
| Total | 5.60E+12 | 5.20E+12 | 7.55E+12 | 7.10E+12 | 1.01E+13 | 9.45E+12 | 1.19E+13 | |

Figura 7 Variación de las rigideces horizontales y rotacionales del cajón y del grupo de pilotes respecto al incremento del módulo de rigidez al corte
Las rigideces del grupo de pilotes son menos sensibles a los incrementos del módulo de rigidez al corte, para ambos modos y ambas direcciones. Por ejemplo, para incrementos de alrededor de 2 del módulo de rigidez al corte, las rigideces del grupo de pilotes en ambos modos y ambas direcciones se incrementan alrededor de un 60%, mientras que para el cajón se identifican incrementos de hasta 140%. Estas diferencias pueden asociarse a los efectos de grupo a los que están sometidos los pilotes, los cuales producen que los incrementos de rigidez por el módulo de rigidez al corte se vean limitados.
Con las rigideces dinámicas totales de la tabla 7 y el modelo numérico con base infinitamente rígida calibrado, se calcularon los periodos fundamentales de vibrar en cada una de las direcciones de análisis, modelando las rigideces del sistema suelo-cimentación con un conjunto de resortes en el nodo maestro. Los periodos de vibrar calculados con el modelo numérico se compararon con los calculados con la aproximación del oscilador de remplazo utilizando la ecuación 9. Esta última aproximación es la utilizada en las NTC-Sismo 17. Los resultados se resumen en la tabla 8, en donde se muestran los periodos en base rígida del modelo numérico y en la última columna se muestra la diferencia en los periodos efectivos obtenidos con las normas y el programa.
Tabla 8 Periodos efectivos (con IDSE) del edificio empleando las normas de sismo de 2017 y el programa ETABS 2016
| Escenario | Periodos del edificio (s) en base rígida (BR) y efectivos (con IDSE) empleando las normas de sismo de 2020 y el programa ETABS | ||||||||
| G (MPa) |
|
|
|
|
|
|
|
|
|
| G1 | 5.11 | 0.79 | 0.87 | 1.53 | 1.72 | 1.58 | 1.71 | 1.04 | 0.99 |
| G2 | 4.80 | 1.56 | 1.77 | 1.60 | 1.73 | 1.03 | 0.98 | ||
| G3 | 6.63 | 1.38 | 1.58 | 1.46 | 1.58 | 1.06 | 1.00 | ||
| G4 | 6.23 | 1.41 | 1.61 | 1.48 | 1.61 | 1.05 | 1.00 | ||
| G5 | 8.55 | 1.26 | 1.46 | 1.37 | 1.46 | 1.09 | 1.00 | ||
| G6 | 8.03 | 1.29 | 1.48 | 1.39 | 1.48 | 1.08 | 1.00 | ||
| G7 | 9.44 | 1.20 | 1.39 | 1.32 | 1.40 | 1.10 | 1.01 | ||
Se aprecia que la aproximación en los periodos efectivos empleando la ecuación 9 y con el modelo numérico son similares, con diferencias menores al 10%. Las diferencias pueden asociarse al incremento en el factor de participación modal de los modos fundamentales en traslación que produce la flexibilidad de la base (Castilllo y Fernández-Sola 2020). Esta modificación produce cambios en el peso modal del primer modo que se considera en la ecuación 9. A medida que el módulo de rigidez aumenta los periodos se disminuyen, en consistencia con el aumento de la rigidez del estrato debido al hundimiento regional (Aguilar et al., 2003). Por otro lado, la no linealidad estimada del suelo parece tener poca influencia sobre los periodos del sistema. En todos los casos, las variaciones del periodo fundamental de vibrar por este efecto son menores al 2.5%. De esta forma, se puede concluir que los efectos de la subsidencia durante la vida útil de la edificación son mucho más importantes que el comportamiento no lineal del suelo. Los periodos con base flexible se reducen alrededor de un 20% para el edificio estudiado debido a la rigidización del terreno.
Como ya se ha comentado, el hundimiento regional modifica, tanto el periodo del sitio, como el periodo fundamental de vibrar del sistema suelo cimentación, sin embargo su influencia en ambos parámetros es diferente. En la figura 8, se muestra la evolución tanto del periodo del sitio (estimada con la metodología de Aguilar et al. 2003) como de los periodos fundamentales de vibrar del sistema suelo-cimentación estructura en ambas direcciones, en el periodo de 1991 a 2041. La modificación del periodo del sitio es mucho más pronunciada que las modificaciones en los periodos fundamentales de vibrar del sistema, lo cuál se debe a que, a diferencia de la respuesta dinámica del estrato, el hunidmiento regional solamente afecta a una de las fuentes de rigidez del sistema suelo-cimentación estructura.

Figura 8 Evolución del periodo del sitio (T
s
) y los periodos fundamentales de vibrar del sistema suelo-cimentación estructura (
El efecto combinado tiene un impacto importante en la relación entre el periodo del suelo y el periodo estructural, parámetro que históricamente ha sido definitorio en el diseño de las edificaciones en la Ciudad de México. Además, el cociente entre ambos periodos es uno de los parámetros fundamentales para establecer la relación entre el factor de reducción de fuerzas por comportamiento inelástico (Q’ en los reglamentos mexicanos) y el factor de comportamiento sísmico Q que define la demanda esperada de ductilidad. En este caso, para 1991, los periodos estructurales eran más cortos que el periodo del sitio. Para el año 2017, los periodos estructurales seguían siendo más cortos que los del sitio, pero con una mucho mayor proximidad. Según las estimaciones, en los primeros años de la década del 2020, el periodo en dirección y coincide con el periodo del sitio, mientras que para el año 2030, será el periodo en la dirección x el que esté en esta situación. Para el año 2040, los periodos estructurales en ambas direcciones serán más largos que el periodo del sitio. De esta forma, es claro que utilizar como criterio de diseño la relación entre los periodos estructurales y los periodos del sitio se vuelve súmamente complejo ante las condiciones del hundimiento regional al que está sometida la Ciudad de México, ya que en este análisis se debe integrar la temporalidad de dicha relación. Para demostrar este efecto, en la tabla 9, se muestra la comparación de la relación del periodo del sistema en la dirección y (
Tabla 9 Relación entre el periodo fundamental del sistema con base flexible
| Escenario |
|
T s (s) |
|
| G1 | 1.72 | 2.01 | 0.86 |
| G2 | 1.77 | 2.08 | 0.85 |
| G3 | 1.58 | 2.13 | 0.74 |
| G4 | 1.61 | 2.13 | 0.76 |
| G5 | 1.46 | 1.53 | 0.95 |
| G6 | 1.48 | 1.60 | 0.93 |
| G7 | 1.39 | 1.20 | 1.16 |
| BR | 0.87 | 2.01 | 0.44 |
Para valorar los resultados estimados con el modelo numérico, se compararon los periodos calculados, con aquellos medidos en diversas campañas de vibración ambiental. Las campañas se realizaron en 2017 los días 11 y 26 de septiembre y el 18 de octubre. Para la vibración ambiental, se utilizó la instrumentación permanente con la que cuenta el edificio. La disposición y características de los sensores y la instrumentación del edificio puede verse con detalle en Tapia (1999). Los registros utilizados son los asociados a los sensores que se encuentran en la azotea, estos están dispuestos de la siguiente manera, dos paralelos en el sentido y y uno perpendicular en el sentido x.
En la figura 9 se muestran los espectros de potencia de los registros en la azotea. Los canales 1 y 2 corresponden a la dirección y en los extremos opuestos de la planta y el canal 3 corresponde al centro en la dirección x. Para el cálculo de los espectros de potencia, se utilizó un filtro Butterword pasa alta, y se utilizó la técnica de autoregresión de covarianza que permite identificar de manera más clara las frecuencias para las cuáles se presentan amplificaciones, y así determinar los periodos de vibrar del sistema. En las etiquetas de las figuras se refiere el valor de la frecuencia en la que se identifica el modo fundamental con la variable X y la amplitud del especto de potencia con la variable Y. Puede observarse que consistentemente, en las tres pruebas realizadas, el canal correspondiente a la dirección x (canal 3) no permite establecer las frecuencias que se amplifican por la respuesta del sistema. Para la dirección y, se identifica que las frecuencias que corresponden al primer modo de vibrar del sistema están asociadas a una banda de frecuencias

Figura 9 Espectro de potencia de los registros de los sensores de azotea orientados en dirección y (canales 1 y 2 dirección y y en dirección x (canal 3) obtenidos de las campañas de vibración ambiental realizadas en el edificio en el año 2017: a) 11 de septiembre, b) 26 de septiembre y c) 18 de octubre)
CONCLUSIONES
El comportamiento sísmico de las edificaciones en la Ciudad de México está fuertemente influido por las condiciones del suelo, debido a los efectos de amplificación producidos por el comportamiento dinámico de los suelos blandos (efectos de sitio) y a los efectos de la Interacción Dinámica Suelo Estructura (IDSE). El potencial comportamiento inelástico de estos depósitos y la subsidencia a la que están sometidas las arcillas del valle de México, producen cambios en sus propiedades de rigidez, lo cual impacta directamente tanto en los efectos de sitio como los efectos IDSE y en consecuencia al comportamiento dinámico de las estructuras. En este trabajo se explora la influencia de la degradación de rigidez producida por el comportamiento inelástico del suelo y del incremento de rigidez producida por la subsidencia en el periodo fundamental tanto del sitio como de una edificación existente correspondiente a la zona de lago de la Ciudad de México.
Para estudiar estos efectos, se tomó como referencia un estudio de mecánica de suelos existente para el sitio. El terreno de desplante se representa por medio de un estrato homogéneo equivalente, caracterizado por su módulo de rigidez (G s ) y su espesor (H s ). La influencia sobre la magnitud del módulo de rigidez al corte de cada uno de los efectos es diferente, la degradación debida a los efectos de no-linealidad del suelo produce reducciones mientras que el hundimiento regional se traduce en incrementos de este parámetro. Para considerar estos efectos, se utilizaron procedimientos propuestos en estudios previos basados en resultados experimentales para las arcillas del valle de México. Para la estimación de la degradación del módulo de rigidez al corte, se utilizó la metodología propuesta por Romo y Ovando en 1995. Para la consideración de los efectos del hundimiento regional, se utilizó la aproximación propuesta por Aguilar et al. en 2003. Se definieron siete escenarios, con base en el estudio de mecánica de suelos de referencia que data de 1991. Se analizaron las condiciones del sitio modificadas por los efectos de subsidencia para los años 2017 y 2041. Para el escenario de 2017, se consideró el periodo del sitio previsto con la metodología de Aguilar et al., y utilizando el periodo del sitio reportado en las NTC-Sismo 17. Adicionalmente, se estimaron los módulos de rigidez al corte reducidos por efectos no lineales, tomando como referencia las condiciones originales del año 1991 y las dos previsiones para 2017.
Se observó que el hundimiento regional es el factor que tiene una mayor influencia en las variaciones del valor del módulo de rigidez al corte, con incrementos de hasta el 85% para el caso estudiado. Las propiedades dinámicas del estrato equivalente se modificaron en consecuencia, manifestando un incremento en la velocidad de propagación ondas de cortante, una disminución del espesor del estrato compresible y por lo tanto una reducción en el periodo dominante del sitio. La influencia del comportamiento no lineal del suelo fue pequeña. Las reducciones en el módulo de rigidez al corte fueron menores al 8%.
La magnitud de los efectos IDSE depende fuertemente de la rigidez del suelo, por lo que las variaciones en el módulo de rigidez al corte influyen notablemente. En una primera aproximación, se estudió el impacto de las variaciones en el módulo de rigidez al corte en las rigideces dinámicas del sistema suelo-cimentación. El edificio está cimentado con un sistema de cimentación correspondiente a un cajón de cimentación en conjunto con un grupo de 447 pilotes de fricción. Como es de esperarse, se observó que a medida que aumenta el valor del módulo de rigidez al corte las rigideces del cajón y de los pilotes se incrementan. Sin embargo, debido a los efectos de grupo que se producen en el sistema de pilotes, los incrementos de las rigideces dinámicas del cajón son mucho mayores. El incremento en el módulo de rigidez al corte entre 1991 y 2041 fue de 1.85 veces, lo que produce un incremento máximo en las rigideces del cajón de 2.41 y de solamente 1.7 veces para el grupo de pilotes.
Para valorar el impacto de las modificaciones en la respuesta estructural, se estudiaron los periodos efectivos del edificio empleando un modelo numérico calibrado con una representación explícita de la flexibilidad de la base, por medio de un conjunto de resortes con constantes correspondientes al valor de las rigideces dinámicas. Adicionalmente, se utilizó la aproximación del oscilador de remplazo incluida en las NTC-Sismo 17. Las diferencias en los periodos calculados con ambas estrategias son menores al 10%. Estas diferencias surgen de las modificaciones en los factores de participación modal producidas por la flexibilidad de la base. Se observó que, a medida que aumenta el valor del módulo de rigidez del suelo y la velocidad de onda de cortante, y que disminuye el espesor del estrato, los periodos efectivos se reducen debido a que el sistema se rigidiza. La reducción del periodo entre 1991 y 2041 es de alrededor del 20% en ambas direcciones. La influencia del incremento del módulo de rigidez al corte en el periodo del sistema es menor que en el valor de las rigideces dinámicas y mucho menor que en el comportamiento dinámico del estrato. La reducción en el periodo del sitio en este mismo intervalo de tiempo es del 40%.
Un parámetro de diseño ampliamente utilizado como referencia es la relación que existe entre el periodo fundamental de vibrar del sitio y el periodo fundamental de vibrar de la estructura. Este parámetro es fundamental. En primera instancia, este parámetro permite definir la posición dentro del espectro de diseño del periodo fundamental de vibrar de la estructura. En segundo lugar, las reglas para determinar los factores de reducción de fuerzas sísmicas para una ductilidad objetivo en suelos blandos dependen fuertemente de dicho parámetro. Debido al cambio en el periodo fundamental de vibrar del suelo y del edificio en ambas direcciones derivado de los cambios en la rigidez del terreno, este parámetro sufre modificaciones a lo largo del tiempo. En el caso estudiado, el periodo de la estructura corresponde a 0.86 del periodo del sitio para 1991 mientras que para 2041, se prevé que el periodo de la estructura sea 1.16 veces el del sitio.
Los resultados numéricos se comparan con los resultados experimentales derivados de una campaña de vibración ambiental que se llevó a cabo entre septiembre y octubre de 2017, utilizando la instrumentación permanente con la que cuenta la edificación. Con estos resultados, se observa que el periodo fundamental experimental del sistema en una dirección oscila entre 1.33 y 1.43 s, mientras que con el modelo numérico, considerando los cambios por el efecto de subsidencia oscilan entre 1.46 y 1.61 dependiendo la aproximación utilizada. Este resultado reafirma que, por un lado, los efectos IDSE con importantes ya que el periodo estimado con base rígida es de solamente 0.87 s, y que el hundimiento regional ha modificado estos efectos, ya que el modelo considerando las propiedades del suelo del estudio de 1991 representa un periodo de vibrar de 1.72 s, significativamente mayor al periodo medido experimentalmente. En los casos que se tengan sistemas de cimentación que aporten menos rigidez (losas de cimentación o cajones de cimentación) los efectos IDSE serán de mayor importancia y por lo tanto, la influencia en el cambio de las propiedades del terreno serán más pronunciadas.
El comportamiento y diseño sísmico de las estructuras desplantadas en suelos blandos depende fuertemente de las propiedades dinámicas de los mismos (rigidez, masa y amortiguamiento). Estas propiedades pueden ser dependientes tanto de la amplitud de las deformaciones (degradación de rigidez) como del paso del tiempo debido a la subsidencia (incremento de rigidez). Para las arcillas de la Ciudad de México correspondientes al sitio del caso estudiado, los efectos de la subsidencia sobre el comportamiento dinámico de la estructura son mucho más pronunciados que el de la degradación de la rigidez del suelo. Este efecto de hundimiento regional está incluido en las NTC-Sismo desde el punto de vista de los efectos de sitio, sin embargo, no se hace referencia a su influencia en los efectos IDSE. Es entonces importante que, en el diseño de estructuras bajo estas condiciones, se realicen valoraciones respecto a las posibles consecuencias de este fenómeno en el comportamiento sísmica de la estructura durante su vida útil. Sería recomendable que en las NTC-Cimentaciones, se incluyan algunas recomendaciones para calcular la variación de las propiedades de las arcillas con el tiempo para poder valorar de manera adecuada los efectos IDSE para diferentes épocas.










nueva página del texto (beta)








