Introducción
Del cacao (Theobroma cacao L.) dependen más de 20 millones de personas alrededor del mundo (Ramírez-González, 2008) y de acuerdo con la Organización Internacional del Cacao, América Latina es responsable del 80% de la producción mundial de este cultivo (CAF, 2024). El Servicio de Información Agroalimentaria y Pesquera reportó una producción para México de 29,013.75 ton, de la cual, Tabasco es responsable del 61% (SIAP, 2023); no obstante, el agroecosistema cacao presenta diversos problemas fitosanitarios, como son las plagas (SNICS, 2018) y enfermedades, siendo la moniliasis el principal problema con la generación de pérdidas de hasta el 90% de la producción (Ramírez-González, 2008; Arcos-Méndez et al., 2019). A las dificultades ya existentes se le suman los efectos negativos generados por el cambio climático como el aumento de la temperatura, prolongación de temporadas de sequías, estrés hídrico en las plantas y un aparente aumento de plagas insectiles (Del-Val & Sáenz-Romero, 2017).
Los coleópteros de la subfamilia Scolytinae y Platypodinae son comúnmente conocidos como “escarabajos barrenadores” y “descortezadores”, haciendo referencia a los hábitos alimenticios más comunes de estos grupos, como es el consumo de floema y hongos ectosimbióticos (Atkinson et al., 1986; Atkinson & Equihua, 1986), aunque otras especies se alimentan de madera (xilófagas), la médula de las ramas (mielófagas), plantas herbáceas (herbífagas) y de frutos o semillas (espermatófagas) (Atkinson, 2017). Estos insectos son importantes en la degradación de materia orgánica, ya que por lo regular atacan árboles debilitados por la edad, la sequía, el fuego, enfermedades o daño mecánico. Sin embargo, hay especies que cuando su abundancia poblacional aumenta de manera desmedida pueden infestar árboles sanos (Billings et al., 2004; Bentz et al., 2010; Del-Val & Sáenz-Romero, 2017). Raffa et al. (2008) mencionaron que el incremento de las temperaturas acelera el desarrollo de los adultos, aumenta su tasa reproductiva y por ende tienen un mayor número de generaciones al año. Así mismo, con el aumento de la temperatura se presentan sequias prolongadas y una baja actividad fotosintética de las plantas, lo que las vuelve más vulnerables al ataque y colonización de estos escarabajos (Kolb et al., 2019). Si bien la colonización de las especies de escolítinos depende de su tipo de alimentación, en los ecosistemas tropicales tienden a ser más exitosas las especies que se alimentan de hongos ectosimbióticos con respecto a los que se alimentan del floema de las plantas. Por lo tanto, aquellas pocas especies que han sido reportadas como plagas en el cultivo de cacao se encuentran a menudo asociadas a un hongo fitopatógeno, como se ha documentado para Xyleborus volvulus (F.) en la muerte de árboles de sombra en el cultivo de cacao, así como a Xyleborus ferrugineus (F.), Xylosandrus morigerus (Blanford), Xyleborus affinis (Eichhoff), Xyleborus spinulosus Blandford, Hypothenemus opacus (Eichhoff) e Hypothenemus erectus Le Conte como posibles transmisores del hongo necrótrofo Lasiodiplodia theobromae (Pat.) (Navarro & Liendo, 2010).
El cultivo de cacao tradicional se realiza debajo de árboles de sombra y en un ambiente de alta humedad, sin embargo, esto se ha modificado a lugares con plena exposición solar (Almeida & Valle, 2007), con lo cual se producen cambios fisiológicos como reducción de la producción después de los ocho años, menor área foliar especifica, menor contenido de agua en las hojas, hojas más gruesas y mayor pérdida de agua debido a la evapotranspiración (Zambrano et al., 2024). Los escenarios climáticos futuros predicen incrementos en la temperatura global entre 1 a 4.5 °C, donde los lugares con temperaturas más altas serán más afectados y la producción se verá disminuida (IPCC, 2021; Yuan et al., 2024). Por lo anterior, el objetivo de la investigación fue determinar la diversidad de coleópteros Scolytinae y Platypodinae, así como explorar la influencia de las variables ambientales sobre su abundancia en un agroecosistema de cacao bajo sol y uno bajo sombra en Tabasco, México.
Materiales y métodos
Área de estudio. El trabajo de investigación se realizó de diciembre 2022 a noviembre de 2023 en el ejido Las Delicias de la Ranchería José María Morelos y Pavón, en el municipio de Teapa, Tabasco, México, en dos plantaciones de agroecosistema de cacao con diferente estructura vegetal: bajo sol directo y otra con árboles de sombra. La plantación bajo sol (PSL) presenta árboles de cacao sembrados en marco real de 5x5 m con una edad de 10 años con una extensión de 12 000 m² y se encuentra localizada a 17°38'12.4"N y 92°55'35.8"O, presenta asociada una variedad de especies vegetales como Psidium guajava (Linnaeus, 1753) (Guayaba), Persea americana (Mill., 1768) (Aguacate), Nephelium lappaceum (Linnaeus, 1767) (Rambután), Annona muricata (Linnaeus, 17531) (Guanábana), Inga inicuil Schltdl. y Cham. ex G.Don, 1832 (vaina), Cinnamomum verum J.Presl, 1825 (canela) y cítricos de diversas variedades que no superan los 2.5 m de altura. Así mismo, se pueden identificar las especies Cedrela odorata (L, 1753) y Colubrina arborescens (Mill.) Sarg, (Tatuán) que superan los 4 m de altura, con una densidad de 0.4 árboles por cada 25 m2. La plantación bajo sombra (PSM) presenta árboles de cacao sembrados en un marco real de 3x3 m con una edad de 20 años con una extensión de 10,000 m2 y se encuentra localizada a 17°38'14.6"N y 92°55'45.3"O, cuenta con tres especies de árboles de sombra: C. odorata (Cedro), Guazuma ulmifolia (Lam., 1789) (Guásimo) y Swietenia macrophylla (King, 1886) (Caoba), los cuales superan los 10 m de altura, con una densidad de 1.1 árboles por cada 25 m2. Ambas plantaciones se encuentran a una altura de 20 msnm. La fisiografía de la zona corresponde a una llanura aluvial, con un clima cálido húmedo con lluvias todo el año (Af), la temperatura promedio es de 25 ºC y una precipitación media de 4,250 mm (INEGI, 2010).
Captura de insectos. Se colocaron cinco trampas ECOIAPAR (Fig. 1a) en PSL y cinco en PSM, considerando la formación de cinco de oros, a una altura de 1.5 m (Pérez-De La Cruz et al., 2009a) con separación de 20 m entre trampas y 5 m con relación a los bordes de los sitios. La trampa consiste en una botella de plástico desechable de 3 L con una ventana de 11 cm x 20 cm en la parte media, con perforaciones en la circunferencia de la botella por debajo de la base de la ventana para el desagüe durante la temporada de lluvia dentro de la botella a la altura de la ventana se colocó un difusor (Barrera et al., 2003) con alcohol etílico al 70% como atrayente y en la base de la trampa glicol etileno como conservante (Prestone) (Vásquez & Jiménez-Martínez, 2017; Romero, 2017). Los insectos atraídos se recolectaron cada 15 días por un año y se conservaron en alcohol etílico al 70% para su posterior montaje y determinación en el laboratorio de la Colección de insectos de la Universidad de Tabasco (CIUT).
Uso de ramas trampas y cámaras de emergencia. En cada sitio de estudio se realizó un muestreo discriminatorio, el cual consistió en la colocación de ramas trampas de cacao recién cortadas (Hernández-Cárdenas et al., 2016) de 30 cm de longitud con diámetros mayores de 2 cm hasta los 15 cm, las cuales se colocaron por triplicado sobre una membrana de plástico tanto en PSL como PSM. Las ramas trampas fueron apiladas y expuestas al medio por lapsos de 15, 30, 45 y 60 días con el fin de atraer a los insectos asociados a T. cacao. Pasado cada tiempo de exposición, las ramas trampas con signos de barrenación se recogieron y se colocaron en cámaras de emergencia por un mes, mismas que eran revisadas cada tercer día para confirmar la presencia de los especímenes. Las cámaras fueron elaboradas a partir de recipientes de 20 L, el cual en la parte anterior se le adicionó un colector de plástico con alcohol etílico al 70% como conservante mientras que en la parte media superior se le realizó un corte de 25 x 40 cm el cual funcionó como tapa a esta se le hicieron perforaciones suficientes a modo de respiraderos. En la porción posterior inferior de la cámara se realizaron perforaciones a modo de desagüe para la humedad contenida en las ramas trampas (Fig. 1b-c1).
Determinación del material biológico. Se realizó mediante las claves taxonómicas de Wood (1982; 1993), Pérez-De La Cruz et al. (2009c; 2011), Burgos-Solorio y Hernández (2020) y Pérez-Silva et al. (2021), comparado con material depositado en la Colección de Insectos de la Universidad de Tabasco (CIUT) del Centro de Investigación para la Conservación y Aprovechamiento de Recursos Tropicales (CICART) de la División Académica de Ciencias Biológicas de la UJAT.
Variables ambientales. Los datos de temperatura y humedad se registraron cada 2 h por un año utilizando data loggers modelo UT 330C, de los cuales se descargó la información cada 15 días. La radiación solar se registró por día durante el tiempo de muestreo utilizando el medidor de radiación SM206 dichas mediciones se realizaron en cinco puntos dentro de cada sitio de estudio entre las 12:00 y 14:00 hrs. Los valores de precipitación fueron obtenidos de la estación meteorológica Puyacatenco, localizada en 17°31'27"N y 92°55'56"O.
Análisis de datos. La eficiencia del muestreo en cada una de las áreas de estudio se obtuvo mediante las curvas de acumulación de especies utilizando el estimador no paramétrico de riqueza Chao 1 (Moreno, 2001). La diversidad de coleópteros asociados al agroecosistema cacao bajo sol y sombra se comparó a través de los números efectivos de orden 1 (1D), en la cual todas las especies son consideradas en el valor de diversidad, ponderadas de manera proporcional según su abundancia en la comunidad (Moreno et al., 2011). La equidad del ensamble de la comunidad se analizó utilizando el índice de Pielou (J´), el cual mide la proporción de la diversidad observada con relación a la máxima diversidad esperada, con valores que van de 0 a 1, donde 1 nos dice que las especies presentan la misma abundancia dentro de la comunidad mediante el programa PAST 3.33. La similitud del ensamble de las comunidades de insectos se determinó con el índice de Sørensen (ls) para datos cualitativos, el cual relaciona el número de especies compartidas con la media aritmética de las especies de ambos ensambles de las comunidades (Moreno, 2001). Se analizó con gráficas la fluctuación anual de los insectos que fueron identificados en las plantas de cacao, utilizando las abundancias de las trampas ECOIAPAR. Finalmente, se aplicó un Análisis de Correspondencias Canónicas (ACC) (Badii et al., 2007) empleando el programa XLSTAT 2024.1.0 (Addinsoft, 2022) para determinar la relación entre las variables ambientales y las especies que se registraron como huéspedes de T. cacao y las más abundantes de cada sitio con la abundancia obtenida en las trampas ECOIAPAR.
Resultados
Riqueza y abundancia de coleópteros. Se recolectaron un total de 3,569 individuos pertenecientes a 35 especies de 15 géneros, de las cuales 33 especies pertenecen a la subfamilia Scolytinae y dos a Platypodinae. Los géneros Hypothenemus y Xyleborus registraron la mayor riqueza de especies con 11 y cuatro, respectivamente. La especie Hypothenemus crudiae (Panzer, 1791) presentó la mayor abundancia, seguida de Hypothenemus birmanus (Eichhoff, 1878), Premnobius cavipennis Eichhoff, 1878 y Corthylus minutissimus Schedl, 1940, con el 57% de la colecta total. En la PSL se capturaron 1,781 individuos, 1,740 con trampas ECOIPAR y 41 con ramas trampas, los cuales estuvieron distribuidos en 33 especies de 15 géneros, 31 especies de Scolytinae y dos de Platypodinae. La especie que presentó la mayor abundancia para este sitio fue C. minutissimus seguida de P. cavipennis, H. birmanus e H. crudiae con el 52% de los individuos. En la PSM se capturaron 1,788 individuos, 1,727 con trampas ECOIPAR y 61 con ramas trampas, las cuales estuvieron distribuidas en 28 especies de 13 géneros, 27 especies de Scolytinae y una de Platypodinae. La especie que presentó la mayor abundancia para este sitio fue H. crudiae seguida de H. birmanus y P. cavipennis con el 53% de los individuos (Cuadro 1).
Cuadro 1 Riqueza y abundancia de Scolytinae y Platypodinae capturados con trampas ECOIAPAR (TA) y ramas trampas en cámaras de emergencia (CE) en las plantaciones del agroecosistema de cacao PSL y PSM.
| Especies | Abrev. | HA | PSL | PSM | ||
| TA | CE | TA | CE | |||
| Scolytinae | ||||||
| Ambrosiodmus sp | Amsp | X | 4 | 0 | 0 | 0 |
| Coccotrypes cyperi (Beeson 1929) | Cocy | Es | 2 | 0 | 0 | 1 |
| Coptoborus sp | Coptsp | Xm | 0 | 0 | 0 | 1 |
| Coptoborus pseudotenius (Schedl 1936) | Copsp | Xm | 7 | 0 | 2 | 0 |
| Coptoborus tolimanus (Eggers 1928) | Copto | Xm | 0 | 0 | 1 | 0 |
| Corthylocurus debilis Wood 1974 | Corde | M | 20 | 0 | 18 | 0 |
| Corthylus minutissimus Schedl 1940 | Cormi | Xm | 254 | 0 | 157 | 0 |
| Corthylus papulans Eichhoff 1869 | Corpa | Xm | 2 | 0 | 11 | 0 |
| Cryptocarenus diadematus Eggers 1937 | Crdia | M | 1 | 0 | 0 | 0 |
| Cryptocarenus heveae (Hagedorn 1912) | Crhev | M | 4 | 0 | 6 | 0 |
| Cryptocarenus sp | Crsp | M | 0 | 1 | 1 | 0 |
| Hypocryphalus mangiferae Stebbing 1914 | Hyman | Fl | 6 | 0 | 0 | 0 |
| Hypothenemus birmanus (Eichhoff 1878) | Hybirm | Fl | 224 | 0 | 276 | 0 |
| Hypothenemus brunneus (Hopkins 1915) | Hybru | M | 59 | 0 | 56 | 0 |
| Hypothenemus crudiae (Panzer 1791) | Hycru | Fl | 209 | 1 | 467 | 1 |
| Hypothenemus eruditus Westwood 1836 | Hyeru | Fl | 158 | 7 | 55 | 5 |
| Hypothenemus seriatus (Eichhoff 1872) | Hyser | M | 64 | 1 | 79 | 2 |
| Hypothenemus sp 1 | Hysp 1 | - | 151 | 18 | 84 | 17 |
| Hypothenemus sp 2 | Hysp 2 | - | 7 | 0 | 4 | 0 |
| Hypothenemus sp 3 | Hysp 3 | - | 25 | 0 | 4 | 0 |
| Hypothenemus sp 4 | Hysp 4 | - | 2 | 0 | 0 | 0 |
| Hypothenemus sp 5 | Hysp 5 | - | 17 | 0 | 0 | 0 |
| Hypothenemus sp 6 | Hysp 6 | - | 4 | 0 | 40 | 0 |
| Premnobius cavipennis Eichhoff 1878 | Prcav | Xm | 243 | 0 | 206 | 0 |
| Sampsonius dampfi Schedl 1940 | Sadam | Xm | 114 | 0 | 76 | 0 |
| Theoborus ricini (Eggers 1932) | Thric | Xm | 30 | 3 | 55 | 3 |
| Xyleborinus gracilis (Eichhoff 1868) | Xygra | Xm | 3 | 0 | 3 | 0 |
| Xyleborus affinis Eichhoff 1868 | Xyaff | Xm | 69 | 3 | 81 | 25 |
| Xyleborus ferrugineus (Fabricius 1801) | Xyfer | Xm | 9 | 4 | 2 | 1 |
| Xyleborus spinulosus Blandford 1898 | Xyspi | Xm | 27 | 2 | 24 | 1 |
| Xyleborus volvulus (Fabricius 1775) | Xyvol | Xm | 17 | 1 | 15 | 1 |
| Xylosandrus curtulus (Eichhoff 1869) | Xycur | Xm | 1 | 0 | 0 | 0 |
| Xylosandrus morigerus (Blandford 1894) | Xymo | Xm | 3 | 0 | 1 | 3 |
| Platypodinae | ||||||
| Euplatypus parallelus (Fabricius 1801) | Eupa | Xm | 2 | 0 | 0 | 0 |
| Euplatypus segnis (Chapuis 1865) | Euseg | Xm | 2 | 0 | 3 | 0 |
| Riqueza | 32 | 10 | 26 | 12 | ||
| Abundancia | 1740 | 41 | 1727 | 61 | ||
HA= hábito de alimentación, de acuerdo con Wood (1982, 2007) y Kirkendall et al. (2015): Fl= fleófago; M= mielófago; Xm= xilomicetófago; X= xilófago; Es= espermatófago.
Estructura y diversidad. El estimador de riqueza Chao 1 mostró que para las capturas realizadas con trampas ECOIAPAR se obtuvieron completitudes de muestreo de 98.7 y 92.04% para PSL y PSM respectivamente. Por su parte, en los muestreos realizados con ramas trampas se obtuvieron completitudes de 77.34 y 61.92% para PSL y PSM respectivamente. De acuerdo con los datos obtenidos con trampas ECOIAPAR el mayor valor de diversidad de orden 1 (1D) se obtuvo en PSL con 13.29 especies efectivas y la menor en PSM con 10.85. En ramas trampas las diversidades fueron de 5.92 en PSL y 5.69 PSM. Así mismo, el índice de Pielou (J´) mostró equidades similares en las dos plantaciones con los diferentes métodos de colectas (Cuadro 2). La similitud de especies capturadas con trampas ECOIAPAR entre las plantaciones fue de 0.83 al compartir 24 especies y de 0.78 entre las capturas con ramas trampas las cuales capturaron nueve especies en común (Cuadro 3).
Cuadro 2 Índices de diversidad, equidad, eficiencia y completitud de muestreo en trampas ECOIAPAR (TA) y ramas trampas en cámaras de emergencia (CE) en las plantaciones del agroecosistema de cacao PSL y PSM.
| SITIO | RIQUEZA | 1D | EQUIDAD | CHAO 1 | COMPLETITUD |
| PSL-TA | 32 | 13.29 | 0.74 | 32.4 | 98.77 |
| PSL-CE | 10 | 5.92 | 0.77 | 12.93 | 77.34 |
| PSM-TA | 26 | 10.85 | 0.75 | 28.25 | 92.04 |
| PSM-CE | 12 | 5.69 | 0.7 | 19.38 | 61.92 |
Cuadro 3 Similitud observada en trampas ECOIAPAR (TA) y ramas trampas en cámaras de emergencia (CE) en las plantaciones del agroecosistema de cacao PSL y PSM.
| SITIO | PSL-TA | PSL-CE | PSM-TA | PSM -CE |
| PSL-TA | - | 0.42 | 0.83 | 0.50 |
| PSL-CE | 9 | - | 0.54 | 0.78 |
| PSM-TA | 24 | 10 | - | 0.53 |
| PSM -CE | 11 | 9 | 10 | - |
Especies hospederas de T. cacao . El muestreo discriminatorio que utilizó ramas trampas mostró la asociación de 13 especies de Scolytinae con T. cacao, de las cuales 10 especies estuvieron presentes en PSL y 12 en PSM. En PSL Hypothenemus sp 1 fue la especie más abundante con el 43.90% de la recolecta para este sitio y en el caso de la PSM las especies más abundantes fueron X. affinis e Hypothenemus sp 1 con el 68.85% (Cuadro 1). De acuerdo con las ramas trampas expuestas a diferentes periodos, la mayor riqueza de especie fue recolectada a los 30 y 60 días en PSL y PSM respectivamente. Por su parte, la mayor abundancia de insectos para ambas plantaciones se presentó en las ramas trampas con 45 días de exposición (Fig. 2).

Figura 2 Fluctuación de insectos en ramas trampa de acuerdo con los días de exposición a) riqueza y b) abundancia en PSL c) riqueza y d) abundancia en PSM.
Hábitos alimentarios. Los gremios alimenticios de las especies capturadas en ambas plantaciones fueron cinco: fleófago (Fl), mielófago (M), xilomicetófago (Xm), xilófago (X) y espermatófago (Es). Se determinó que el 48.57% de las especies capturadas presentan una alimentación xilomicetófaga, seguida de la mielófaga con el 17.14%. De acuerdo con las capturadas de individuos adultos con trampas ECOIAPAR, el tipo de alimentación xilomicetófago fue el dominante, al estar presentarse en 15 de las 32 especies en PSL y 14 de las 26 especies en PSM (Cuadro 1).
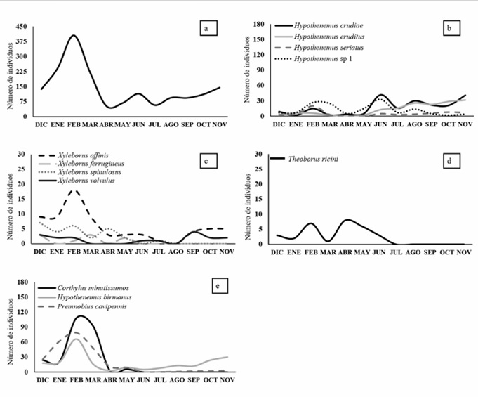
Fluctuación anual. La fluctuación del ensamble de la comunidad entre ambas plantaciones presenta diferencias marcadas en las abundancias a lo largo del año. En cuanto a la evaluación de la fluctuación poblacional de las especies huéspedes de T. cacao y con mayor abundancia solo se consideraron las especies H. crudiae, H. seriatus, H. eruditus, Hypothenemus sp 1, X. affinis, X. spinulosus, X. volvulos, X. ferrigineus y T. ricini, y las especies C. minutissimus, P. cavipennis e H. birmanus en PSL el máximo pico de abundancia se presentó en febrero con 406 individuos, contrastando con PSM donde se presentan tres picos, el primero en febrero con 302 individuos, seguido de junio con 259 y el último en septiembre con 209. La fluctuación poblacional de las especies huésped de T. cacao en PSL muestra que la mayor abundancia para H. crudiae e Hypothenemus sp 1 se registró en junio con 42 y 33 individuos respectivamente, contrastando con H. eruditus quien obtuvo su mayor abundancia en noviembre con 32 individuos. Por su parte, X. affinis y X. spinulosus presentaron sus mayores abundancias en febrero con 18 y 6 individuos respectivamente. Con relación a T. ricini su mayor abundancia fue en febrero y abril con 7 y 8 individuos; para las especies C. minutissimus, P. cavipennis e H. birmanus, estas presentaron picos de mayor abundancia solo en el mes de febrero (Fig. 3a-e).

Figura 3 Fluctuación del a) ensamble de la comunidad de insectos en la PSL; b) número de individuos de Hypothenemus; c) número de individuos de Xyleborus, d) número de individuos de Theoborus ricini y e) número de individuos de especies más abundantes capturadas con trampas ECOIAPAR de la PSL.
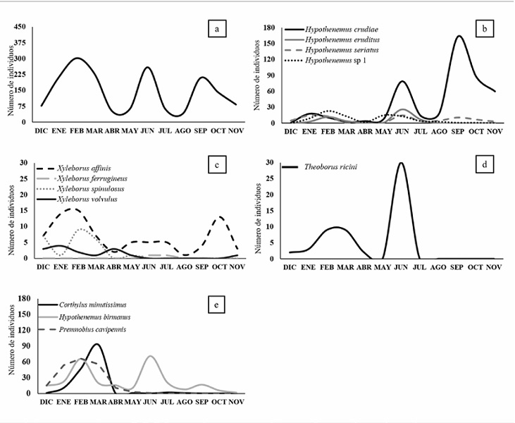
La fluctuación de las poblaciones en PSM mostró que la mayor abundancia de H. crudiae se registró en junio y septiembre con 79 y 163 individuos. La especie H. eruditus presentó su mayor abundancia en junio con 26 individuos. No obstante, X. affinis presentó dichos incrementos en febrero y octubre con 15 y 13 individuos respectivamente; así como, X. spinulosus en febrero con nueve individuos. Con relación a T. ricini su mayor pico poblacional fue en febrero y marzo con nueve individuos, presentando un tercer momento en junio con 30 individuos; para las especies C. minutissimus, P. cavipennis e H. birmanus, éstas presentaron picos de abundancia en marzo, febrero y junio y febrero, respectivamente (Fig. 4a-e4.

Figura 4 Fluctuación del a) ensamble de la comunidad de insectos en la PSM; b) número de individuos de Hypothenemus; c) número de individuos de Xyleborus, d) número de individuos de Theoborus ricini y e) número de individuos de especies más abundantes capturadas con trampas ECOIAPAR de la PSM.
La fluctuación de las poblaciones en PSM mostró que la mayor abundancia de H. crudiae se registró en junio y septiembre con 79 y 163 individuos. La especie H. eruditus presentó su mayor abundancia en junio con 26 individuos. No obstante, X. affinis presentó dichos incrementos en febrero y octubre con 15 y 13 individuos respectivamente; así como, X. spinulosus en febrero con nueve individuos. Con relación a T. ricini su mayor pico poblacional fue en febrero y marzo con nueve individuos, presentando un tercer momento en junio con 30 individuos; para las especies C. minutissimus, P. cavipennis e H. birmanus, éstas presentaron picos de abundancia en marzo, febrero y junio y febrero, respectivamente (Fig. 4a-e).
Análisis de Correspondencias Canónicas de variables ambientales y abundancias de especies huésped de T. cacao . Para el ACC solo se consideraron las especies que emergieron de las ramas trampa de PSL y PSM y las especies más abundantes para cada sitio capturadas con trampas ECOIAPAR, así mismo, las abundancias de estas especies fueron obtenidas de las trampas antes mencionadas. El ACC indica que ambos ejes explican el 89.07% de la varianza en la correlación entre variables ambientales y las especies de ambos sitios de estudio, los coeficientes de correlación demuestran que el eje uno está definido por la variable temperatura (r= 1.386) y el eje dos por humedad (r= -0.542) con una significancia de p< 0,001 (Cuadro 4). En el gráfico de ordenación se muestra que la especie H. birmanus tiene preferencia por una humedad reducida y precipitaciones bajas; la especie H. seriatus parece ser sensible a la precipitación; X. volvulus tiene asociación con la humedad alta; para el caso de Hypothenemus sp.1, T. ricini y X. ferrugineus exhiben preferencias por radiaciones altas (Fig. 5).
Discusión
La presente investigación es la primera en que hace un acercamiento al estudio de las variables ambientales sobre la diversidad de escarabajos barrenadores en el agroecosistema de cacao expuesto a pleno sol y con cobertura arbórea (sombra); si bien podemos encontrar algunos trabajos donde se describe la diversidad de insectos de la subfamilia Scolytinae y Platypodinae asociados a plantaciones de cacao con un manejo tradicional bajo sombra (Pérez-De la Cruz et al., 2009a; b), las investigaciones de agroecosistemas expuestos a sol y con sombra, en su mayoría, se concentran en plantaciones de café dirigidos al estudio de la diversidad de artrópodos y fluctuación poblacional de insectos plagas como lo es Hypothenemus hampei Ferrari, 1867 (Matos et al., 2004; Mera-Velasco et al., 2010). Por su parte, los trabajos que hacen referencia a T. cacao se han enfocado al estudio de los cambios fisiológicos de las plantas en condiciones de alta radiación y luminosidad (Zambrano et al., 2024).
La riqueza y abundancia de escolítinos y platipodinos que se determinaron en la presente investigación es menor a lo registrado en otros agroecosistemas de cacao en el estado de Tabasco, donde registran entre 34 y 40 especies de barrenadores (Pérez-De la Cruz et al., 2009a; b), la diferencia entre los resultados puede obedecer a un mayor número de técnicas utilizadas en la captura de este grupo de insectos, como fueron las trampas de luz UV y capturas directas sobre plantas huésped, aunado a un mayor número de especies, así como, la edad de los huéspedes y árboles de sombra descritos en las plantaciones estudiadas por Pérez-De la Cruz et al. (2009a; b). Sin embargo, la abundancia recolectada utilizando trampas ECOIAPAR es similar a las reportadas por Aguilar-Castillo et al. (2023)) en tres ecosistemas de Chiapas, donde se incluye una plantación de café y superior a lo registrado por Fernández-García et al. (2023) en bosques templados de Durango. La implementación de glicol etileno utilizado en las trampas ECOIAPAR como conservante de los especímenes aparentemente no influye sobre la captura de este grupo de insectos, así mismo, evita la desecación del líquido colector producto de la evaporación.
Corthylus minutissimus fue la especie más abundante en PSL, si bien no hay estudios equiparables, Estrada-Pérez et al. (2012) comentan que especies del género Corthylus están asociadas a T. cacao y presentan una fuerte atracción al alcohol etílico, el cual fue utilizado como el material atrayente en las trampas ECOIAPAR. Por su parte, en PSM la especie H. crudiae presentó la mayor abundancia, resultado similar a lo reportado por Lázaro-Dzul et al. (2023) en uno de tres huertos de aguacate estudiados en Michoacán. Otros trabajos, como el de García-Méndez et al. (2024)) y Matos et al. (2004) reportan que especies de este género, en plantaciones de café bajo sombra, presentan mayor abundancia que en las expuestas al sol. Así mismo, al comparar nuestros valores de diversidad registrados en PSM se determina que son similares a los reportados por Pérez-De la Cruz et al. (2009a) en diferentes agroecosistemas de cacao del estado de Tabasco, los cuales van de 9.87 a 11.59 especies efectivas. No obstante, en nuestro estudio se registró la mayor diversidad de insectos barrenadores en PSL esto puede deberse a la mayor riqueza de especies vegetales presente en el sitio, así como, la susceptibilidad de las plantas por causa del estrés hídrico y aumento de la evapotranspiración, los cuales debilitan fisiológicamente a las plantas, ya que no producen de manera eficientes los metabolitos secundarios que les permiten contrarrestar el ataque de los barrenadores. Pérez-De la Cruz et al. (2009a) mencionan que la alta diversidad de barrenadores se asocia a la diversidad vegetal, alimento disponible, edad de las plantas huésped, competidores, depredadores y manejo de las plantaciones. Sin embargo, en estudios de interacciones de artrópodos asociados a plantaciones de café en condición bajo sol y sombra, como el de Mera-Velasco et al. (2010) reportan una mayor diversidad en el cultivo bajo sombra, estas diferencias se deben a los métodos utilizados para la captura de los artrópodos, los cuales estuvieron enfocados a insectos caminadores como son las hormigas. Por otro lado, Matos et al. (2004) reportan que, en condiciones de menor sombra y porcentajes bajos de humedad como las presentes en las plantaciones a plena exposición solar, insectos barrenadores como H. hampei son menos abundantes. La equidad del ensamble de las comunidades en ambas plantaciones estudiadas fue similar a las registradas por Pérez-De la Cruz et al. (2009a) las cuales oscilaron de 0.65 a 0.67, lo anterior es producto de la dominancia de algunas especies como lo son X. volvulus, H. eruditus, X. affinis, H. birmanus las cuales representa alrededor del 16.46 y 14. 62% de las recolectas totales de este estudio. La similitud de los ensambles de insectos presentes en PSL y PSM fueron relativamente altas al compartir 24 de las 35 especies recolectadas, es así, que las 11 especies que no se comparten entre los sitios se debe a una mayor riqueza de especies vegetales presente en PSL.
El muestreo discriminatorio generado a partir de las ramas trampa, permitió identificar las especies que utilizan a T. cacao como huésped, registrando diez y 12 especies asociadas a ramas expuestas en PSL y PSM respectivamente, así como establecer el periodo de exposición más factible para el arribo de los insectos barrenadores y descortezadores, el cual fue a los 45 días de exposición, para ambas plantaciones. Si bien a través del estimador Chao 1 se obtuvieron completitudes de muestreo entre el 66 y 77%, esto se debió a que hizo falta más esfuerzo de muestreo a lo largo del estudio, ya que se obtuvieron 72 muestras en cada sitio. Sin embargo, podemos inferir que dentro de las especies faltantes pueden encontrarse P. cavipennis y algunas especies del género Hypothenemus las cuales fueron capturadas con las trampas ECOIAPAR y han sido antes registradas como huéspedes de T. cacao en el estado de Tabasco (Pérez-De la Cruz et al., 2009a). Así mismo, se encontró que la especie Cryptocarenus sp solo se registró en las ramas trampa expuestas en PSL, y Cocotrypes cyperi (Beeson 1929), Coptoborus sp y Xylosandrus morigerus (Blandford 1894) en PSM. La presencia de las tres especies antes mencionadas en la PSM obtenidas de las ramas trampa, puede deberse a la estabilidad de las variables ambientales como lo es la temperatura y humedad presente en el sitio, dichas estabilidad permitirían la colonización de un mayor número de especies, en particular las ambrosiales, como el caso de las especies del género Coptoborus y Xylosandrus que presentan estrechas relaciones con hongos del género Fusarium spp. (Carreras-Villaseñor et al., 2022; Osborn et al., 2022). En el caso de C. cyperi, su presencia pudo deberse a las mazorcas de cacao que se encontraban en algunas ramas que se colocaron dentro de las cámaras de emergencia, ya que se reporta que estos escarabajos son atraídos por frutos del género Theobroma (Pérez-De la Cruz et al., 2009a). Por su parte, en las ramas trampa de la PSL la presencia de Cryptocarenus sp, podría ser explicada por su hábito alimenticio, debido que se encuentra asociado a pequeñas ramas no mayores de 3 cm de diámetro y por lo general no barrenan tejidos leñosos a menos que se encuentren apilados (Wood, 2007), como fue en el caso de nuestro muestreo; así mismo, este género de escolítinos necesita altos valores de humedad (Lara-Rodrigues et al., 2021) y esta condición estuvo presente en las ramas expuestas en el mes de diciembre, fecha en la que fue registrada. Así mismo, se pudo observar que la mayor abundancia de insectos en PSL y PSM fue en los 45 días de exposición, Serna-Mosquera et al. (2020) mencionan que la madera a plena exposición tiene un proceso acelerado de descomposición, debido a la precipitación y la humedad relativa, lo que favorece el accionar de hongos e insectos xilófagos. Sin embargo, hay que tomar en cuenta que dicha descomposición dependerá de la resistencia de la madera dada por taninos y sustancias fenólicas complejas que son tóxicos para hongos e insectos xilófagos (Paes, 2002). En cuanto a los gremios alimenticios identificados, se encontró que 17 de las 35 especies registradas en el presente estudio presentan una alimentación xilomicetófaga (48.57%). Este resultado es congruente con lo reportado por Lázaro-Dzul et al. (2020) en huertos de aguacate en Michoacán, México, donde el 41.66% de las especies asociadas a este agroecosistema mostraron el mismo tipo de alimentación. Por otro lado, en ecosistemas naturales como la selva alta perennifolia, Gerónimo-Torres et al. (2021a) determinaron que el 66.66% de las especies presentes se alimentan de hongos ectosimbióticos. Este patrón puede explicarse por las condiciones ambientales de las zonas tropicales, como el estado de Tabasco, donde la alta humedad favorece que las especies xilomicetófagas encuentren un ambiente óptimo para alimentarse, colonizar y establecerse, con lo cual pueden alcanzar altos niveles poblacionales. Es aquí donde radica la importancia en la determinación de las especies de escolítinos y platipodinos presentes en el agroecosistema cacao, ya que al ser este tipo de gremio alimentico el más abundante puede traer consigo problemas fitosanitarios, debido a la asociación que presentan con los hongos de los cuales se alimentan y que pueden tener la capacidad para debilitar, enfermar o causar la muerte de las plantas huéspedes.
La fluctuación del ensamble de la comunidad para ambas plantaciones exhibe diferencias marcadas, en PSL se observa un único pico de abundancia a principios del año de muestreo, en comparación con los tres picos observados a principios, mediados y finales del año de estudio en la PSM. Esto se debe a las condiciones estables de temperatura y humedad presente en los sitios con mayor cobertura, como lo indican Rudinsky (1962) y Wood (1982) quienes mencionan que estas variables en condiciones óptimas son las que propician la distribución y abundancia de estos escarabajos. Por otro lado, Navarro y Liendo (2010) sugieren que los máximos picos poblacionales de este grupo de insectos están más condicionados por sus ciclos biológicos y menos por los factores climáticos. Sin embargo, dichos picos en los ensambles de escolítinos y platipodinos condicionados a diferentes variables climáticas han sido puestos en evidencia por Gerónimo-Torres et al. (2019), 2021b) en el borde e interior de selvas y manglares, quienes mencionan que las variables ambientales son más estables y constantes en el interior de estos ecosistemas.
Las especies H. crudiae, X. affinis y T. ricini fueron las especies dominantes para ambas plantaciones esto se debe a la asociación ya descrita por diversos autores entre ellos Pérez-De la Cruz et al. (2009a) donde especifica que estos escarabajos colonizan las ramas de T. cacao. Así mismo, esto concuerda con lo descrito por Almeida y Valle (2007), donde explican que la evapotranspiración y otros cambios fisiológicos promueven un estado de debilitamiento en la planta; lo cual, propicia el ataque de barrenadores como lo mencionan Kolb et al. (2019). De igual manera, es destacable que las especies del género Hypothenemus muestran picos de abundancias con mayor dinámica, esto puede deberse a la estrecha relación que tienen estas especies con la precipitación, la humedad relativa y los microclimas generados a partir de estas condiciones, como fue observado por García-Méndez et al. (2024) y Matos et al. (2004) en plantaciones de café bajo sombra y pleno sol.
El ACC muestra que las especies de escolítinos responden de diferente manera a las variables de temperatura, humedad, precipitación y radiación, siendo esta última la más significativa al influir en tres de las 12 especies evaluadas, como puede observarse con Hypothenemus sp 1, T. ricini y X. ferrugineus, las cuales exhiben una preferencia por radiaciones altas. Carrasco-Ríos (2009) menciona que altas intensidades de radiación y cambios en la composición espectral pueden afectar importantes procesos en los organismos vegetales, dentro de las cuales se encuentra una disminución de la fotosíntesis y de la producción de biomasa, lo cual permitiría una mayor incidencia en el ataque de insectos barrenadores. Las especies H. seriatus e H. birmanus respondieron de manera positiva a la precipitación y X. volvulus se asoció a la humedad estas relaciones son similares a las descritas por Gerónimo-Torres et al. (2019) en una selva del estado de Tabasco, donde describen que la mayor abundancia de escolítinos se presentó cuando se redujo la precipitación. Wood (1982) y Rudinsky (1962) mencionan que variables como la humedad y temperatura adecuadas son indispensables para el desarrollo de estos escarabajos. Por su parte, H. eruditus, H. crudiae, X. affinis, C. minutissimus, P. cavipennis y X. spinolosus no presentaron asociación aparente con las variables analizadas, sin embargo, estos géneros se consideran de ambrosia por su fuerte relación con hongos que cultivan dentro de las galerías, para el consumo propio y el de sus crías (Wood, 2007). Por lo tanto, estos escarabajos estarían influenciados por variables como la humedad captada por las ramas trampa expuestas al medio, la cual no fue medida en el presente trabajo.
Diversas investigaciones como las realizadas por Del-Val & Sáenz-Romero (2017), García-Villafuerte (2023) y Gómez-Pineda y Ramírez (2023) advierten de las consecuencias que derivan del aumento de la temperatura global, así como de las repercusiones que se producirán en los ecosistemas de todo el mundo con el inminente aumento de las poblaciones de insectos barrenadores y descortezadores. El estudio de la influencia de las variables ambientales sobre los insectos, han evidenciado que el aumento de la temperatura producto del cambio climático beneficia a los insectos fitófagos en los ecosistemas de climas templados y se considera que los efectos de esta variable son más inciertos en los ambientes tropicales (Garibaldi & Paritsis, 2012). Por lo cual, investigaciones como la desarrollada en agroecosistemas con una reconversión en su manejo tradicional de sombra a sol directo, pueden brindarnos una visión al panorama esperado por efectos del cambio climático global y su posible influencia sobre las plagas y enfermedades.










nueva página del texto (beta)





