Servicios Personalizados
Revista
Articulo
Indicadores
-
Citado por SciELO -
Accesos
Links relacionados
-
Similares en
SciELO
Compartir
Acta zoológica mexicana
versión On-line ISSN 2448-8445versión impresa ISSN 0065-1737
Acta Zool. Mex vol.28 no.1 Xalapa abr. 2012
Artículos originales
Optimización del proceso de cría de Anastrepha ludens Loew (Diptera: Tephritidae) utilizando una dieta larvaria a base de almidón pregelatinizado
Improving the massrearing process of Anastrepha ludens Loew (Diptera: Tephritidae) using a pregelatinized starch larval diet
J. Pedro RIVERA,1 Emilio HERNÁNDEZ,1 Jorge TOLEDO,2 Bigail BRAVO,1 Miguel SALVADOR3 & Yeudiel GÓMEZ1
1 Subdirección de Desarrollo de Métodos, Programa MoscamedMoscafrat (SAGARPA). Central Poniente No.14. C.P. 30700 Tapachula, Chiapas. México. <anastrephasp@prodigy.net.mx>.
2 Departamento de Entomología Tropical. El Colegio de la Frontera Sur. Apdo. Postal 36. C.P. 30700. Tapachula, Chiapas, México.
3 Centro de Biociencias. Universidad Autónoma de Chiapas. Carretera a Puerto Madero. Km. 2.0. Tapachula, Chiapas. C.P. 30700. Tapachula, Chiapas, México.
Recibido: 21/02/2011;
aceptado: 29/09/2011.
RESUMEN
La dieta larvaria para cría masiva de la mosca mexicana de la fruta, Anastrepha ludens (Loew) representa el 30% del costo de producción y genera una gran cantidad de desechos sólidos con alto contenido de proteína como resultado de un bajo aprovechamiento por las larvas. Para reducir los costos de producción y la cantidad de desechos sólidos generados, se desarrolló una dieta texturizada con almidón pregelatinizado, con la cual se incrementó la producción en comparación con una dieta estandar de 4.6 a 5 larvas/g de dieta, la transformación de huevo a larva paso de 60 a 76%, los pesos de larva y pupa de 29.2 a 29.8 y de 18.6 a 19.8 mg, respectivamente. Se determinó que el porcentaje de eclosión de huevo al momento de la siembra afecto el rendimiento larvario y la transformación de huevo a larva, estableciéndose una eclosión de huevo óptima de 40% al momento de la siembra. La cantidad óptima de dieta gélica en cada recipiente fue de 3 litros, con una capa de 2.0 cm de espesor.
Palabras Clave: Dieta larvaria, dieta de almidón, Anastrepha ludens, cría masiva.
ABSTRACT
The larval diet for mass rearing of the Mexican fruit fly, Anastrepha ludens (Loew) represents 30% of the total cost of production and generates great amount of solid wastes with high contents of protein due to low consumption by larvae. In order to reduce the costs of production and generation pf solid waste, a texturized diet with pregelatinized starch was developed, which in comparison to a standard diet, increased the number of larvae per gram of diet from 4.6 to 5, transformation from egg to larva increased from 60 to 76%, larval weight increased from 29.2 to 29.8 mg, and pupal weight from 18.6 to 19.8 mg. It was determined that the percentage of egg hatch at the time of seeding on the diet affected the yield and the transformation from egg to larva. We found that diets seeded when a minimum egg hatch of 40% is reached gave best results. The optimal amount of diet per tray was found to be of 3.0 kg in a layer of 2.0 cm of depth.
Key words: Larval diet, starch diet, Anastrepha ludens, mass rearing.
INTRODUCCIÓN
Las moscas de las frutas de la familia Tephritidae constituyen un serio problema fitosanitario para diversas especies de frutales y hortalizas (Aluja 1994). Su presencia en los huertos es motivo de imposición de rigurosas medidas cuarentenarias por parte de países importadores de fruta libres de moscas, por lo que son consideradas plagas de interés público (Santiago 2010). Este hecho llevó a que en México se iniciara en 1995 la Campaña Nacional Contra Moscas de la Fruta (CNCMF), cuyo objetivo está centrado en combatir a las cuatro especies de mayor importancia económica en el país: la mosca Mexicana de la fruta, Anastrepha ludens (Loew 1873), la mosca de las Indias occidentales, Anastrepha obliqua (Macquart 1835), la mosca de la guayaba, Anastrepha striata (Schiner 1868) y la mosca de los zapotes, Anastrepha serpentina (Wiedemann 1830) (Aluja 1994, NOM 1995, RullGabayet et al. 1996, Reyes et al. 2000).
Las acciones de control que realiza la CNCMF permiten a los productores de frutas cumplir con los estándares de sanidad e inocuidad establecidos por los países compradores (Gutiérrez 2010). El elemento clave en su control es la Técnica del Insecto Estéril (TIE), basado en la cría, esterilización y liberación de insectos estériles (Knipling 1955). Para la cría masiva de insectos se requiere de dispositivos de oviposición y colecta de huevos, dietas artificiales y condiciones ambientales controladas durante cada fase biológica (Leppla et al. 1973, Cayol 2000, Hernández et al. 2004).
Para tener éxito en la cría se deben formular dietas con los nutrimentos requeridos por los insectos para un óptimo desarrollo. Entre los ingredientes utilizados en la formulación de las dietas, el agua es utilizada como vehículo de dilución y es el componente usado en mayor proporción. A través de ésta las larvas obtienen los nutrimentos requeridos para su desarrollo. En segundo lugar están los texturizantes que representan del l5 al 26% de la dieta formulada, utilizándose tradicionalmente el polvo de olote y la harina de maíz. La levadura torula es la fuente más común de proteína. Además, se adicionan un agente acidificante y conservadores (Domínguez et al. 2010).
En las dietas larvarias para moscas de la fruta se han usado como texturizantes diversos productos o subproductos agrícolas, como son el trigo entero y salvado de trigo (Nadel 1965, Tanaka et al. 1969), polvo de zanahoria (Steiner & Mitchell 1966, Katiyar 1970), bagazo de caña de azúcar (Katiyar 1970, Peleg & Rhode 1970), harina texturizada de soya (Schwarz et al. 1985), harina de olote de maíz (Stevens 1991, ArtiagaLópez et al. 2004) y bagazo de betabel (Domínguez et al. 2010). Sin embargo, este tipo de texturizantes tienen desventajas debido a que su calidad es variable y depende de la estación del año y del cultivar de donde son obtenidos, y con frecuencia contienen residuos tóxicos (plaguicidas) o microorganismos contaminantes. Esta variabilidad produce resultados detrimentales en la cría de insectos. Otra de las limitante de las dietas formuladas con dichos materiales es la generación de grandes cantidades de desechos sólidos, representando un problema por el espacio requerido para depositarlos (Chang et al. 2004). Además, durante el desarrollo larvario, en las dietas formuladas con dichos ingredientes se producen incrementos de temperatura (>27 °C), que afectan el peso y la supervivencia de la larva (Tanaka et al. 1972, Manoukas & Tsiropoulos 1977, ArtiagaLópez et al. 2004).
Las dietas larvarias a base de geles tienen como objeto sustituir a los texturizantes, ya que por su viscosidad y gelificación pueden mantener en forma homogénea los nutrimentos y favorecer el desplazamiento de las larvas, hidratandolas y sirviendo de soporte durante el periodo de alimentación. También contribuyen a que la difusión de los solutos se dé con mayor rapidez comparada con las dietas hechas a base de harina de olote (Cohen 2004).
Los carbohidratos son los agentes gelificantes más utilizados. Entre ellos se encuentran diferentes gomas, carboximetilcelulosa, carrageninas, agar, pectinas y almidones (Cohen 2004). Las diferencias químicas entre los agentes gelificantes son el tipo de azúcar que contienen, la presencia o ausencia de grupos funcionales como sulfatos, el tipo de ligadura entre los azucares (uniones a o P), y su estructura espacial (lineal o ramificado). El agar se ha utilizado en la elaboración de dietas larvarias para el gusano barrenador del ganado, Cochliomyia hominivorax (Coquerel) (Chaudhury & Álvarez 1999), la mosca del olivo, Bactrocera (Dacus) oleae (Gmel.) (Tsitsipis 1977), la mosca sudamericana de la fruta, Anastrepha fraterculus (Wied.) (Salles 1992) y A. obliqua (Zucoloto et al. l979, Moreno et al. 1997, Rivera et al. 2007).
El almidón de maíz pregelatinizado se ha evaluado en la elaboración de dietas larvarias para A. ludens, con lo que se han producido larvas de buen tamaño, hecho que indicó que puede ser un sustituto de la harina de olote y de harina de maíz (Rovelo & Molina 1999). Su propiedad gelificante depende de la amilosa para la formación de puentes de hidrógeno con las moléculas vecinas, lo que le proporciona una estructura firme al hidratarse con el agua (Cohen 2004). Debido a que la superficie de la dieta adquiere un aspecto gelatinoso con alto contenido de agua, al momento de realizarse la siembra, los huevos y/o larvas deben ser colocados sobre un substrato que funcione de soporte para reducir la mortalidad por asfixia.
El objetivo de este trabajo fue formular una dieta gelificada con almidón pregelatinizado para la cría de Anastrepha ludens que cumpliese con los parámetros estandar de calidad; evaluando la eclosión del huevo al momento de la siembra, el uso de sustratos de soporte de los huevos sobre la superficie de la dieta, la densidad de huevos sembrados y cantidad de dieta utilizada en cada recipiente.
MATERIALES Y MÉTODOS
Detalles generales del estudio
Sitio de estudio. Este trabajo se realizó en el laboratorio de la Línea de Ecología de Poblaciones de Moscas de la Fruta, de El Colegio de la Frontera Sur, Unidad Tapachula, en Tapachula, Chiapas, México; y en el laboratorio de Colonización y Cría de Moscas de la Fruta de la Subdirección de Desarrollo de Métodos del Programa Moscafrut SAGARPAIICA, ubicado en Metapa de Domínguez, Chiapas, México.
Material biológico. Los huevos utilizados fueron obtenidos de una colonia establecida para la producción masiva de acuerdo a la metodología descrita por Stevens (1991) y Domínguez et al. (2010) en el laboratorio de la Planta Moscafrut en Metapa de Domínguez, Chiapas, México.
Elaboración de la dieta. Para la dieta larvaria texturizada a base de almidones pregelatinizados (dieta gelificada), se utilizó 22% de una mezcla de almidones conocida como Nutrifly® (COLTEC, Guatemala, C. A.), 0.2% de metil paraben (Mallinckrodt Speciality, Chemicals Co. St. Louis Miss., USA), 0.3% de benzoato de sodio (Cia. Universal de Industrias, S.A. de C.V., México), 0.9% de ácido clorhídrico (Mallinckrodt Baker, S.A de C.V., México) y 76.6% de agua. Cada ingrediente fue pesado por separado y vaciado en el contenedor de una mezcladora vertical de tres velocidades con capacidad para 100 kg y luego fueron mezclados a 166 rpm, durante un minuto. El ácido clorhídrico fue diluido en agua, esta dilución fue vaciada en el contenedor con los ingredientes y se mezcló durante tres minutos. Una vez que la dieta estuvo elaborada, volúmenes de 3.0 kg fueron depositados en recipientes de fibra de vidrio de 77.2 × 39.7 × 7.3 cm (largo × ancho × profundidad), formando una capa de 2.0 cm de espesor.
La dieta testigo (dieta de olote), se formuló utilizando harina de olote como agente texturizante. Esta dieta se preparó con 9.2% de azúcar (Ingenio Huixtla, Huixtla, Chiapas, México), 5.3% de harina de maíz (Maíz Industrializado del Sureste, S.A. de C.V., Arriaga, Chiapas, México), 7.0% de levadura torula seca inactiva (Lake States Div. Rhinelander Paper Co. Rhinelander, Wis., USA), 20% de harina de olote (Corn cob fractions 100, Mt. Pulaski Products Inc., Chicago, IL., USA), 0.1% de goma guar (Tic gums, Inc. Belcamp, Md., USA), 0.2% de metil paraben, 0.4% de benzoato de sodio, 0.44% de ácido cítrico (Anhidro acidulante FNEUM, Mexana, S.A. de C.V., Morelos, México) y 57.36% de agua. El azúcar, la harina de maíz y la levadura seca inactiva se mezclaron durante cinco minutos en el recipiente de la mezcladora. Posteriormente se agregó la goma guar y se mezcló durante un minuto más. Luego se adicionó la harina de olote y se mezcló por cinco minutos más. Después se adicionaron el ácido cítrico, el metil paraben y el benzoato de sodio previamente diluidos en 25% de agua. Finalmente se adicionó el remanente del agua (<<75% del volumen total) y se continuó mezclando durante 25 minutos. Una vez que la dieta estuvo elaborada se depositaron y distribuyeron siete kg en recipientes de fibra de vidrio de 77.2 × 39.7 × 7.3 cm (largo × ancho × profundidad), formando una capa de 2.0 cm de espesor.
El pH de las dietas elaboradas con almidón y harina de olote fue ajustado entre 3.4 y 3.8. Para sembrar los huevos en forma uniforme sobre la superficie de la dieta, estos fueron preparados agregando un mL de huevo en 16 mL de solución de goma guar al 0.55%. Las condiciones ambientales que prevalecieron en la sala en donde se realizaron estas actividades fueron 30 ± 2 °C de temperatura, y 85 ± 3% de H. R.
Manejo de las dietas. Antes de sembrar los huevos en la dieta, se determinó el porcentaje de eclosión, para esto se alinearon 100 huevos sobre un recorte de tela negra y utilizando un microscopio estereoscópico se verificó la eclosión, cuando se alcanzo la eclosión requerida se procedió a sembrarlos sobre las dietas de acuerdo con los tratamientos previamente establecidos.
Una vez que los recipientes con dieta estuvieron sembrados, se cubrieron con fundas de tela pañalina para evitar infestaciones Drosophila spp. y posteriormente se acomodaron en un cuarto a una temperatura de 26 ± 1 °C y 90% de H. R., en donde permanecieron nueve días, tiempo requerido por las larvas para completar su desarrollo.
Cuando completaron el desarrollo, las larvas fueron separadas de la dieta, diluyendo la dieta en agua y pasando la mezcla por un tamiz (Malla 14). Para cada tratamiento fue evaluado el rendimiento larvario considerando el número y peso. Posteriormente las larvas fueron colocadas en un contenedor con vermiculita húmeda para promover la pupación, permaneciendo las primeras 24 h en un ambiente de 20 ± 1 °C y 70% H. R., determinándose en este momento el porcentaje de pupación a las 24 horas. Los recipientes con las larvas/pupas fueron transferidos a otra sala con una temperatura de 26 ± 1 °C, en donde permanecieron durante 14 días, que fue el tiempo requerido para el desarrollo de la pupa. Al final de este periodo se determinó el peso de pupa y la emergencia de adultos y etandares de calidad relacionados (% de voladoras, no voladoras, deformes y medio emergidas), de acuerdo a los métodos descritos en FAO/IAEA/USDA (2003), Hernández et al. (2005), Orozco et al. (1983) y Rivera et al. (2007).
Variables investigadas
Efecto de la eclosión del huevo sobre parámetros de calidad. El efecto del porcentaje eclosión de huevo al momento de la siembra sobre los parámetros de calidad fue evaluado utilizando dos de tipos de dietas, gelificada y olote. Los huevos utilizados correspondieron del mismo lote y fecha de colecta, procedentes de hembras que estaban en el tercer día de oviposición. Los huevos fueron sembrados en la dieta al cuarto día en el momento que registraron porcentajes de eclosión del 0, 20, 40, 60, 80 y 100%. La evaluación de dos tipos de dieta y seis porcentajes de eclosión originaron 12 tratamientos. Cada tratamiento estuvo compuesto por seis repeticiones y en total fueron 72 unidades experimentales. La unidad experimental consistió en un recipiente con dieta descrito previamente. En el caso del tratamiento con 100% de eclosión del huevo, las larvas fueron separadas colocando el huevo sobre papel filtro húmedo en cajas Petri de plástico de 150 × 25 mm, debido a que las larvas se desplazaron fuera del papel, se colectaron con una pipeta Pasteur de plástico de un mL para se transferirse a la dieta.
Cada muestra de huevos y/o larvas al momento de la siembra fue colocada sobre una recorte de papel filtro (3 × 1 cm) de color negro (Whatman® No. 2) que posteriormente fue colocado sobre la dieta para que las larvas neonatas se desplazaran hacia esta.
Los parámetros de calidad evaluados fueron: rendimiento larvario expresado en larvas obtenidas/g de dieta, transformación de huevo a larva expresado en porcentaje, peso de larva expresado en mg, pupación a las 24 horas expresado en porcentaje, peso de pupa expresado en mg y habilidad de vuelo expresado en porcentaje, de acuerdo a las metodologías establecidas para los laboratorios de cría de moscas de la fruta (FAO/IAEA/USDA 2003, Hernández et al. 2005, Orozco et al. 1983, Rivera et al. 2007).
Efecto del tipo de sustrato de siembra sobre los parámetros de calidad. Diferentes sustratos fueron evaluados como soporte de los huevos y/o larvas neonatas durante la siembra en dieta gelificada. Los tratamientos evaluados fueron: a) capa fina de harina de olote, b) papel sanitario, c) sin sustrato y d) siembra en dieta estandar (testigo).
Para la capa fina de harina de olote se aplicaron 10 g de harina sobre la superficie de la dieta, con lo que se obtuvo una capa de 50 cm de largo × 10 cm de ancho × 1 mm de espesor. En el caso del soporte a base de papel sanitario se utilizó una capa de 50 cm de largo × 10 cm de acho de papel sanitario liso y sin olor. La siembra sin sustrato se utilizó para determinar el efecto sobre los huevos y/o larvas del uso de un sustrato de siembra. La siembra de huevos en la dieta testigo (de olote) se realizó de acuerdo al método que se utiliza para la cría en la Planta Moscafrut en Metapa, Chiapas, México (Domínguez et al. 2010, Stevens 1991).
Cada tratamiento consistió de seis repeticiones, dando en total 24 unidades experimentales, distribuidas en un diseño completamente al azar. Cada unidad experimental consistió en una charola con dieta, previamente descrita. Los parámetros de calidad evaluados en esta fase fueron los que se indicaron en el experimento anterior.
Efecto de la densidad de huevo sembrado y del tipo y cantidad de dieta por recipiente sobre la calidad del insecto. Esta fase consistió en realizar un experimento con base en un diseño de tres factores, en el cual el primer factor fue la densidad de huevo sembrado (10 y 15 larvas/g de dieta), el segundo factor correspondió a la cantidad de dieta utilizada por recipiente (3.0 y 4.0 kg) y el tercer factor correspondió al tipo de dieta (gelificada y olote). Cada tratamiento consistió en seis repeticiones, con un total de 48 unidades experimentales. La unidad experimental consistió en un recipiente con dieta descrita previamente. Los parámetros de calidad evaluados fueron los que se indicaron en los experimentos anteriores.
Validación de la dieta gelificada a base de almidón. En esta etapa se mantuvo una colonia de moscas criadas en la dieta larvaria gelificada para evaluarla durante el proceso de cría. Se evaluaron los resultados encontrados en cada una de las etapas anteriores; para esto el huevo se sembró con una eclosión entre 40 y 60%. Para la siembra se utilizaron tres kg de dieta y una densidad de 10 huevos/gramo de dieta. Al momento de la siembra de los huevos y/o larvas se utilizó como sustrato de siembra la capa fina de harina de olote. Los resultados fueron comparados con los obtenidos en la colonia que fue criada en la dieta a base de olote.
Las condiciones ambientales que prevalecieron fueron las mismas descritas para etapas anteriores. Los parámetros de calidad evaluados para el insecto fueron los indicados para las pruebas anteriores.
Análisis de datos. Los datos de peso de larva, peso de pupa y rendimiento larvario de todos los experimentos fueron sometidos a un análisis de varianza (ANOVA) y la separación de medias se hizo de acuerdo a la prueba de Tukey (p < 0.05).
Los parámetros expresados en porcentaje de transformación de huevo a larva, pupación a las 24 h, y habilidad de vuelo, fueron transformados al arcoseno (Underwood 2005). Con los datos transformados se realizó un análisis de varianza (ANOVA), y la separación de medias se hizo de acuerdo a la prueba de Tukey (p < 0.05). Los datos de la evaluación del efecto del porcentaje de eclosión del huevo al momento de la siembra fueron ajustados a una regresión lineal simple. Todos los análisis fueron realizados utilizando el programa SAS (SAS Institute 2003).
El efecto del tipo de dieta y del porcentaje de eclosión sobre el rendimiento larvario y los parámetros de calidad del insecto producido se analizaron con un análisis factorial y de covarianza. El análisis de covarianza consideró como factor de variación al tipo de dieta y como covariable al porcentaje de eclosión. Para este experimento y en el que se evaluaron el efecto del tipo de dieta, densidad de huevo sembrado y cantidad de dieta por recipiente sobre los parámetros de producción y de calidad, se realizó un análisis de los componentes principales de varianza utilizando el software Statgraphics Plus Version 5.1. (2000). Para el análisis, se dividió la varianza de la variable dependiente en dos componentes, uno por cada factor. Cada factor después del primero se anida por encima de él mismo. El análisis de la eclosión del huevo sobre los parámetros de calidad se realizó considerando la hipótesis de b = 0 para el análisis de regresión lineal simple para los tipos de dieta por separado. El análisis factorial y la significancia de las interacciones se realizó utilizando el JMP 5.0.1 (SAS Institute 2003).
RESULTADOS
Efecto de la eclosión del huevo sobre los parámetros de calidad. El análisis de covarianza indicó que los mayores valores para número de larvas por gramo de dieta (F1,69 = 70.01, p < 0.001), transformación de huevo a larva (F1,69 = 88.38, p < 0.001) y pupación a las 24 h (F1,69 = 68.41, p < 0.001) correspondieron a la dieta gelificada. Mientras que el peso de la larva (F1,69 = 3.06, p = 0.085), peso de la pupa (F1,69 = 0.14, p = 0.708) y porcentaje de voladoras (F1,69 = 1.44, p = 0.235) no presentaron diferencia alguna con respecto al tipo de dieta. Considerando como covariable el porcentaje de eclosión del huevo al momento de sembrar las dietas se observó un efecto significativo sobre el número de larvas por gramo de dieta (F1,69 = 27.72, p < 0.001), transformación de huevo a larva (F1,69 = 60.56, p < 0.001), peso de la larva (F1,69 = 5.83, p = 0.018) y la habilidad de vuelo (F1,69 = 4.05, p = 0.048) cuyos valores superiores correspondieron a la dieta gelificada. Mientras que la pupación a las 24 h (F1,69 = 2.07, p = 0.146) y el peso de pupa (F1,69 = 1.81, p = 0.183) no presentaron diferencia alguna con respecto al tipo de dieta.
De acuerdo con el parámetro, b = 0 de la regresión, el incremento del rendimiento larvario en la dieta de olote fue significativo conforme aumentó la eclosión del huevo al momento de la siembra (b = 0.34; F1,4 = 7.95; p = 0.048), mientras que para la dieta gelificada el incremento del rendimiento larvario no fue significativo (b = 0.21; F1,4 = 6.41; p = 0.064) (Fig. 1A). El incremento del porcentaje de transformación de huevo a larva fue significativo al aumentar la eclosión del huevo, tanto para la dieta de olote (b = 6.24; F1,4 = 14.03; p = 0.020), como para la dieta gelificada (b = 4.06; F1,4 = 8.015; p = 0.046) (Fig. 1B). El peso de la larva disminuyó en forma no significativa conforme aumentó la eclosión del huevo al momento de la siembra, tanto para la dieta de olote (b = 0.48; F1,4 = 2.63; p = 0.180), como para la dieta gelificada (b = 0.33; F1,4 = 5.83; p = 0.073) (Fig. 1C); sin embargo, el peso de la pupa registró una ligera disminución que no fue significativa para la dieta de olote (b = 0.35; F1,4 = 0.10; p = 0.762), mientras que para la dieta gelificada la disminución fue significativa (b = 0.05; F1,4 = 10.02; p = 0.034) (Fig. 1E). La pupación a las 24 h permaneció constante en las larvas recuperadas de la dieta de olote (b = 0.05; F1,4 = 0.22; p = 0.661), mientras que la pupación de las larvas obtenidas de la dieta gelificada disminuyó no significativamente al aumentar la eclosión (b = 3.93; F1,4 = 1.41; p = 0.301) (Fig. 1D). La habilidad de vuelo permaneció constante con la dieta de olote (b = 0.18; F1,4 = 0.017; p = 0.903), mientras que con la dieta gelificada el incremento fue significativo conforme aumento la eclosión al momento de la siembra (b = 2.18; F1,4 = 11.06; p = 0.029) (Fig. 1F).

El análisis de los componentes de la varianza indicó valores de varianza total de 1.898, 391.274, 6.341, 4.791, 1161.600 y 55.282 para las variables dependientes, larvas por gramo, transformación de huevo a larva, peso de la larva, peso de la pupa, pupación a las 24 h y voladoras, respectivamente. De la varianza total correspondió para el tipo dieta como variable independiente el 55.32, 52.14, 3.99, 0.00, 63.69 y 0.00%, respectivamente; por cada parámetro. Para la variable independiente eclosión, la varianza correspondió al 18.68, 30.47, 6.33, 12.32, 8.03, 18.72%, respectivamente.
Efecto del tipo de sustrato de siembra sobre los parámetros de calidad. Cuando la dieta gelificada fue sembrada utilizando diferentes sustratos para soporte de los huevos y/o larvas al momento de la siembra, el mayor rendimiento larvario se obtuvo cuando fueron colocados sobre una capa fina de harina de olote, aunque las diferencias observadas no fueron significativas (F3 ,20 = 1.89; p = 0.164) (Cuadro 1).

La transformación de huevo a larva registrada para la dieta testigo fue significativamente más alta (F3,20 = 27.44; gl = 3, 20; p < 0.001) seguida por el sustrato capa fina de harina de olote sobre dieta gélica (Cuadro 1).
Los valores de peso de larva y de pupa no registraron diferencias significativas entre los diferentes sustratos de siembra probados: capa fina de harina de olote, papel sanitario y sin sustrato, pero la diferencia sí fue significativa con respecto al de la dieta testigo (F3,20 = 7.24; p = 0.002). Los valores de ambos parámetros fueron mayores cuando el huevo y/o larva fue sembrada sobre una capa fina de harina de olote (Cuadro 1).
No se observaron diferencias significativas entre los valores de pupación a las 24 horas (F3,20 = 0.43; p = 0.736) y habilidad de vuelo (F3,20 = 0.41; p = 0.744), aunque los mayores valores se registraron para los insectos recuperados de la dieta cuando se utilizó como sustrato de soporte una capa fina de harina de olote (Cuadro 1).
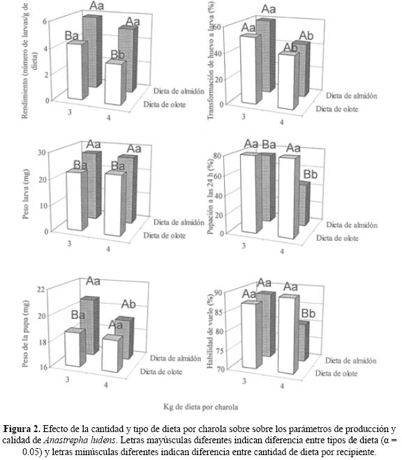
Efecto de la densidad de huevo sembrado y del tipo y cantidad de dieta por recipiente sobre la calidad. De acuerdo con el resultado del análisis factorial, la densidad de huevo sembrado causó un efecto significativo sobre los pesos de larva y pupa (F1,40 = 6.93; p = 0.012). Mientras que la cantidad de dieta y tipo de dieta causaron efecto significativo (F1,40 = 45.62; p < 0.001) sobre todos los parámetros evaluados. Las interacciones significativas solo correspondieron a tipo de dieta*densidad de huevo (F1,40 = 13.66; p = 0.001) para larvas por gramo, tipo de dieta*cantidad de dieta (F1,40 = 45.03;p < 0.001) para pupación a las 24 h y voladoras (F1,40 = 6.37; p = 0.016). El análisis de los componentes de la varianza indicó valores de varianza total de 2.763, 207.219, 15.654, 4.169, 420.020 y 63.391 para las variables dependientes, larvas por gramo, transformación de huevo a larva, peso de la larva, peso de la pupa, pupación a las 24 y voladoras. De la varianza total correspondió el tipo dieta como variable independiente el 46.75, 0.00, 46.45, 14.18, 41.16 y 0.81%, respectivamente para cada parámetro. Para la variable independiente kg por charola la varianza correspondió al 5.27, 32.13, 0.00, 0.00, 46.69 y 10.05%, respectivamente. Para la variable independiente huevo por gramo la varianza correspondió al 18.88, 23.62, 7.57, 20.74, 0.35 y 17.28%, respectivamente.
Con respecto a la densidad de siembra se determinó que los pesos de larva y de pupa disminuyeron significativamente (F1,40 = 6.935; p = 0.012 y F1,40 = 5.485; p = 0.024, respectivamente), cuando se aumentó la densidad de 10 a 15 larvas por gramo de dieta. Por el contrario, no hubo diferencias significativas entre los valores de rendimiento larvario (F1,40 = 3.022; p = 0.089), transformación de huevo a larva (F1,40 = 0.584, p = 0.449), pupación a las 24 horas (F1,40 = 3.591; p = 0.065) y habilidad de vuelo (F1,40 = 0.029; p = 0.865). (Fig. 2).

Para la dieta formulada a base de almidón pregelatinizado se obtuvo un rendimiento larvario significativamente mayor que el de la dieta estandar (F1,40 = 45.62; p < 0.001) (Fig. 2A), así como un mayor peso de larva (F1,40 = 26.25; p < 0.001) (Fig. 2C), y peso de pupa (F1,40 = 8.14; p = 0.007) (Fig. 2E). Por el contrario, los resultados fueron significativamente menores para la pupación a las 24 h (F1,40 = 126.05; p < 0.001) (Fig 2D), y habilidad de vuelo (F1,40 = 7.09; p = 0.011) (Fig. 2f). La diferencia entre los valores de transformación de huevo a larva entre las dos dietas no fue significativa (F1,40 = 2.79; p = 0.102) (Fig. 2B).
El mayor rendimiento larvario se registró cuando la siembra se realizó en recipientes con 3.0 kg de dieta, las diferencias registradas con respecto a los recipientes de 4.0 kg de dieta fueron significativas (F1,40 = 13.20; p = 0.001) (Fig. 2A), de la misma manera fue con la transformación de huevo a larva (F1,40 = 24.82;p < 0.001) (Fig. 2B) y la pupación a las 24 h (F1,40 = 52.35; p < 0.001) (Fig. 2D). No se observaron diferencias significativas entre los valores de peso de larva (F1,40 = 0.005; p = 0.946) (Fig. 2C), peso de pupa (F1,40 = 3.122; p = 0.085) (Fig. 2E) y habilidad de vuelo del adulto (F1,40 = 1.873; p = 0.179) (Fig. 2F).
Validación de la dieta gelificada con almidón. La colonia que fue mantenida en la dieta gelificada registró valores de transformación de huevo a larva (F1,70 = 18.78; p < 0.001) y peso de pupa (F1,70 = 6.62; p = 0.012) significativamente mayores con respecto a los registrados para la colonia de la dieta de olote. Por el contrario, el valor de la pupación a las 24 h fue significativamente mayor para la dieta de olote (F1,70 = 48.52;p < 0.001). No se registraron diferencias significativas entre colonias para los valores de rendimiento larvario (F1,70 = 2.88; p = 0.094), peso de larva (F1,70 = 0.37; p = 0.544) y habilidad de vuelo de adultos (F1,70 = 0.08; p = 0.780) (Cuadro 2).

DISCUSIÓN
Las dietas gelificadas texturizadas con agar utilizadas para la cría de moscas de la fruta se han elaborado disolviendo el agar en agua caliente y posteriormente adicionando los demás componentes (Moreno et al. 1997, Rivera et al. 2007, Salles 1992, Tsitsipis 1977, Zucoloto et al. 1979). Este proceso de calentamiento contribuye a incrementar la disponibilidad y digestibilidad de las proteínas (Cohen 2004). Este hecho explica en parte que los parámetros de desarrollo y calidad registrados para A. ludens y A. obliqua criadas en dietas gelificadas sean mayores en comparación con los obtenidos con dietas de harina de olote de maíz (ArtiagaLópez et al. 2004, Rivera et al. 2007). Sin embargo, las dietas cuyas texturas gelificadas se elaboran disolviendo el agar en agua caliente tienen mayor dificultad durante el manejo a nivel masivo, por lo que tienen desventaja comparadas con las dietas elaboradas a base de otros ingredientes (i.e. harina de olote).
En el presente estudio, la dieta cuya textura fue a base de almidón pregelatinizado preparada en frío, el rendimiento larvario, la transformación de huevo a larva y el peso de pupa de cumplieron con los estándares establecidos en el sistema de cría de A. ludens (Hernández et al. 2005, Rivera et al. 2007). Este hecho indicó que tanto la textura como la calidad nutrimental de la dieta son los requeridos para una cría sostenida a gran escala. Sin embargo, la pupación de larvas a las 24 h fue menor que en la dieta testigo, aunque mayor a lo reportado por Rivera et al. (2007). Lo anterior coincide con lo observado para A. suspensa (Taschenberg et al. 1974), donde se determinó que la pupación sufrió un retraso cuando las larvas permanecieron en agua durante un periodo de cuatro a 24 h. Para las dietas gálicas y texturizadas con almidón, la humedad fue mayor al 80% y se mantuvo durante el tiempo de desarrollo larvario, a diferencia de las dietas texturizadas con harina de olote, las cuales tienen la característica de secarse en forma gradual hasta alcanzar una humedad menor al 45%, que es cuando adquiere una apariencia de polvo seco.
Los almidones utilizados como agentes texturizantes son polímeros gelificantes que incrementan la viscosidad; formados por unidades de glucosa y están compuestos de dos fracciones, una amilosa y la otra amilopectina, los cuales son degradados y consumidos por las larvas. Por el contrario, en la dieta que se utiliza actualmente para la cría de A. ludens se adiciona entre 16 y 18% de harina de olote, que no es consumida por las larvas y no se disuelve en agua, lo que se representa una limitante, a pesar de que la dieta texturizada con almidón pregelatinizado tiene mayor costo comparada con la dieta a base de harina de olote (Rovelo & Molina 1999). Ante esta desventaja se sugiere realizar un estudio de costobeneficio, dado que con las dietas elaboradas a base de almidón pregelatinizado se reducirían los costos por manejo de residuos sólidos, lo que no ocurrirá con la dieta formulada a base de harina de olote.
Los parámetros establecidos como los indicadores de la calidad del insecto criado de acuerdo los procesos indicados registraron un nivel aceptable, lo que sugiere que hubo un incremento significativo en el proceso de cría cuando el desarrollo larvario se hizo con la dieta texturizada con almidón pregelatinizado, y utilizando un sustrato de soporte de los huevos a base de harina de olote o de papel sanitario al momento de realizar la siembra, así como utilizar huevos con un alto porcentaje de eclosión al momento de la siembra, con lo que se incrementa el número de larvas recuperadas por gramo de dieta si se utiliza una dieta texturizada con almidón pregelatinizado.
AGRADECIMIENTOS
A Julio DomínguezGordillo y Eduardo Solís (Programa MoscamedMoscafrut), por las facilidades proporcionadas para llevar a cabo este estudio. A Estuardo Bustos de COLTEC, Guatemala, C. A., por el apoyo y material proporcionado para el desarrollo de este estudio. A Margoth García, del Departamento de Colonización y Cría de la Subdirección de Desarrollo de Mátodos del Programa Moscafrut (SAGARPAIICA), por su apoyo técnico. Este trabajo recibió financiamiento de la FAO/IAEA, Contrato No. 13023/20052010 y de la Campaña Nacional Contra Moscas de la Fruta, Programa Moscamed Moscafrut (SAGARPAIICA).
LITERATURA CITADA
Aluja, M. 1994. Bionomics and management of Anastrepha. Annual Review of Entomology, 39: 155178. [ Links ]
ArtiagaLópez, T., E. Hernández, J. DomínguezGordillo, D. S. Moreno & D. OrozcoDávila. 2004. Massproduction of Anastrepha obliqua at the Moscafrut fruit fly facility, Mexico. Pp. 389392. In: B. N. Brian [Ed.]. Proceedings of the 6th International Symposium on Fruit Fly of Economic Importance. Heriotdale, Johannesburg, South Africa. [ Links ]
Cayol, J. P. 2000. Changes in sexual behavior and life history traits of tephritid species caused by massrearing processes. Pp. 843860. In: M. Aluja, and A. L. Norrbom. [Eds.]. Fruit Flies (Tephritidae): Phylogeny and Evolution of Behavior. CRC Press, Boca Raton, FL. USA. [ Links ]
Chang, C. L., C. Caceres & E. B. Jang. 2004. A novel liquid larval diet and its rearing system for melon fly, Bactrocera cucurbitae (Diptera: Tephritidae). Annals of the Entomological Society of America, 97: 524528. [ Links ]
Chaudhury, M. F. & L. A. Alvarez. 1999. A new starchgrafted gelling agent for screwworm (Díptera: Calliphoridae) larval diet. Journal of Economic Entomology, 92: 11381141. [ Links ]
Cohen, A. C. 2004. Insect Diets. Science and Technology. CRC Press, Boca Raton, FL. USA. 324 pp. [ Links ]
Domínguez, J., T. ArtiagaLópez, E. Solís, & E. Hernández. 2010. Métodos de colonización y cría masiva, pp. 259276. In: P. Montoya, J. Toledo & E. Hernández [Eds.]. Moscas de la Fruta: Fundamentos y Procedimientos para su Manejo. S y G. Editores. México D.F. 395 pp. [ Links ]
FAO/IAEA/USDA. 2003. Manual for Product Quality Control and Shipping Procedures for Sterile MassReared Tephritid Fruit Flies. Versión 5.0. International Atomic Energy Agency, Viena, Austria. 85p. [ Links ]
Gutiérrez, J. M. 2010. El programa moscas de la fruta en México, pp. 310. In: P. Montoya, J. Toledo & E. Hernández [Eds.]. Moscas de la Fruta: Fundamentos y Procedimientos para su Manejo. S y G. Editores. México D.F. 395 pp. [ Links ]
Hernández, E., S. FloresBreceda, M. de la L. SosaIturbe & H. Ezquivel. 2005. Tamaño de unidad muestral y número de repeticiones para la estimación de los parámetros de desarrollo de Anastrepha obliqua y Anastrepha ludens (Diptera: Tephritidae). Folia Entomologica Mexicana, 44: 155164. [ Links ]
Hernández, E., T. Artiaga & S. Flores. 2004. Development of an artificial oviposition device for Anastrepha striata Schiner (Diptera: Tephritidae), pp. 393398. In: B. N. Brian [Ed.]. Proceedings of the 6th International Symposium on Fruit Flies of Economic Importance. Heriotdale, Stellenbosch, South África. [ Links ]
Katiyar, K. P. 1970. Comparación de dietas de zanahoria y de bagazo para la cría de larvas de moscas del Mediterráneo. Turrialba, 20: 217222. [ Links ]
Knipling, E. F. 1955. Possibilities of insect control or eradication through the use of sexually sterile males. Journal of Economic Entomology, 48: 459462. [ Links ]
Leppla, N. C., J. L. Carlyle & T. C. Carlysle. 1973. Effect of surface sterilization and automatic collection on Cabbage looper eggs. Journal of Economic Entomology, 67: 3336. [ Links ]
Manoukas, A. G. & G. J. Tsiropoulos. 1977. Effect of density upon larval and pupal yield of the olive fruit fly. Annals of the Entomological Society of America, 70: 414416. [ Links ]
Moreno, D. S., D. A. OrtegaZaleta & R. L. Mangan. 1997. Development of artificial larval diets for West Indian fruit fly (Diptera: Tephritidae). Journal of Economic Entomology, 90: 427434. [ Links ]
Nadel, D. J. 1965. Massreared technique for the Mediterranean fruit fly, pp. 1417. In: Advances in Insect Control by the Sterile Male Technique. Technical Report Series No. 44. IAEA. [ Links ]
NOM [Norma Oficial Mexicana]. 1995. NOM023FITO1995. Por lo que se establece la Campaña Nacional Contra moscas de la fruta. Publicado en Diario Oficial de la Federación 06 de septiembre de 1995. Secretaria de Agricultura, Ganadería y Desarrollo Rural (SAGAR). México, D. F. [ Links ]
OrozcoDávila, D., A. SchwarzGehrke & A. PérezRomero. 1983. Manual de procedimientos de control de calidad. Programa Mosca del Mediterráneo. Secretaría de Agricultura y Recursos Hidráulicos. México, D.F. 139 pp. [ Links ]
Peleg, B. A. & R. H. Rhode. 1970. New larval medium and improved pupal recovery method for Mediterranean fruit fly in Costa Rica. Journal of Economic Entomology, 63: 13191321. [ Links ]
Reyes, F. J., G. Santiago M. & P. Hernández M. 2000. The Mexican fruit fly eradication programme, pp. 377380. In: K. H. Tan [Ed.]. AreaWide Control of Fruit Flies and Other Insect Pests, Penerbit Universiti Sains Malaysia, Penang. [ Links ]
Rivera, J. P., E. Hernández, J. Toledo, M. Salvador & R. Silva. 2007. Dieta texturizada con agar para el desarrollo larvario de tres especies de moscas de la fruta (Diptera: Tephritidae). Folia Entomologica Mexicana, 46: 3752. [ Links ]
Rovelo M., R. E. & E. R. Molina G. 1999. Desarrollo de una dieta larvaria a base de un gel alimenticio para la cría masiva de Anastrepha ludens (Loew). Tesis de Licenciatura. Facultad de Ciencias Químicas. Universidad Autónoma de Chiapas. Tapachula, Chiapas, México. 53 pp. [ Links ]
RullGabayet, J. A., J. ReyesFlores & W. EnkerlinHoeflich. 1996. The Mexican national fruit fly eradication campaign: Largest fruit fly industrial complex in the world, pp. 561563. In: B. A. McPheron & G. J. Steck [Eds.]. Fruit Fly Pests. A World Assessment of their Biology and Management. St. Lucie Press. FL., USA. [ Links ]
Salles L., A. B. 1992. Metodología de cricao de Anastrepha fraterculus (Wied., 1830) (Diptera: Tephritidae) em dieta artificial em laboratorio. Anais da Sociedade Entomologica do Brasil, 21: 479486. [ Links ]
Santiago, M. G. 2010. Aplicación del concepto de áreas libres de plagas, pp. 229242. In: P. Montoya, J. Toledo & E. Hernández [Eds.]. Moscas de la Fruta: Fundamentos y Procedimientos para su Manejo. S y G. Editores. México D.F. 395 pp. [ Links ]
SAS Institute. 2003. JMP Statistical, Discovery Software, Version 5.0.1. SAS Institute Inc., Carg., North Carolina. USA. [ Links ]
Schwarz G. A., A. Zambada, D. Orozco, J. L. Zavala & C. O. Calkins. 1985. Mass rearing of the Mediterranean fruit fly at Metapa, México. Florida Entomologist, 68: 467477. [ Links ]
Statgraphics Plus Version 5.1. 2000. Statistical Graphics Corp. Manugistics, Inc. Rockville, MD. [ Links ]
Steiner, L. F. & S. Mitchell. 1966. Tephritid fruit flies, pp. 555583. In: C. N. Smith [Ed.]. Insect Colonization andMass Production. London Academic Press, N. Y., USA. [ Links ]
Stevens, L. 1991. Manual of Standard Operating Procedures (SOP) for the MassRearing and Sterilization of the Mexican Fruit Fly, Anastrepha ludens (Loew). USDAAPHIS, South Central Region, Míssion, Texas. 39 pp. [ Links ]
Tanaka, N., L. F. Steiner, K. Ohinata & R. Okamoto. 1969. Low cost larval rearing medium for mass production of oriental and Mediterranean fruit flies. Journal of Economic Entomology, 63: 967968. [ Links ]
Tanaka, N., R. A. Hart, R. Y. Okamoto & L. F. Steiner. 1972. Control of the excessive metabolic heat produced in diet by a high density of larvae of the Mediterranean fruit fly. Journal of Economic Entomology, 65: 866867. [ Links ]
Taschenberg, E. F., F. López & L. F. Steiner. 1974. Responses of maturing larvae of Anastrepha suspensa to light and to immersion in water. Journal of Economic Entomology, 67: 731734. [ Links ]
Tsitsipis, J. A. 1977. Larval diets for Dacus oleae: The effect of inert materials cellulose and agar. Entomologia Experimentalis et Applicata, 22: 227235. [ Links ]
Underwood A., J. 2005. Experiments in ecology. Their logical design and interpretation using analysis. Cambridge University Press. UK. 504 pp. [ Links ]
Zucoloto, F. S., S. Puschel & C. M. Message. 1979. Valor nutritivo de algumas dietas artificiais para Anastrepha obliqua (Diptera: Tephritidae). Boletin de Zoología de la Universidad de São Paulo, 4: 7580. [ Links ]













