1 Introduction
The photorefractive effect can be simply defined to be refractive index change as a function of incident intensity. An inhomogeneous light distribution excites charge carriers from donors and creates a charge concentration gradient. Charge transport through diffusion and/or drift and subsequent recombination at acceptor levels leads to a space charge field. The space charge electric field induces a refractive index change through the electro-optic effect. Self trapping or formation of spatial solitons can be realized in such photorefractives due to this index waveguide which leads to counteraction of diffraction. Hence, it is actually a robust balance between the nonlinearity and diffraction which leads to soliton formation in such materials.
Optical spatial solitons in photorefractive materials, which were theoretically predicted to exist in steady state [1,2] and demonstrated experimentally [3,4] have been an attractive topic for research ever since spanning a diverse range of investigations of the soliton characteristics [5-26]. The photorefractive effect can be said to correspond to a saturable nonlinearity and hence avoids the catastrophic collapse associated with the Kerr nonlinearity for 2+1 D solitons [27]. In addition, solitons are realizable in photorefractive media at relatively low laser powers(a few mW) and hence very convenient to observe experimentally. Potential practical applications of photorefractive solitons lie in the fields of optical switching, optical navigation, waveguiding, beam steering, optical computing, optical interconnects etc. [28-31].
There is a rich diversity of photorefractive solitons depending upon the type of nonlinearity in the photorefractive crystal (linear or quadratic or both) and the charge transport mechanism incorporating the drift and diffusion of charge carriers subsequently resulting in the formation of the space charge field. Screening solitons [1,32], photovoltaic solitons [33-35], screening photovoltaic solitons [21,36], pyroelectric solitons [20], screening photovoltaic pyroelectric solitons [37], centrosymmetric solitons [23], solitons in photorefractives having both linear and quadratic nonlinearity [38], photorefractive polymeric solitons [39,40] are some of the types of spatial solitons investigated in photorefractive materials.
The mechanism of the above mentioned solitons is the single photon photorefractive effect. Optical spatial solitons can be supported by the two-photon photorefractive effect also. The well-known model of Castro-Camus et al. [41] can be used to understand the two-photon photorefractive effect lucidly. According to this model, an intermediate level (IL) must be considered in addition to the valence band (VB) and conduction band (CB). A gating beam is assumed to provide a constant supply of excited electrons from the valence band subsequently excited to the conduction band by the signal beam. The signal beam induces a charge redistribution which then creates a space charge field. The space charge field results in an index waveguide through the electro-optic effect as before. Spatial soliton formation in such two-photon photorefractive media has been investigated in detail in previous researches [22,42-44].
An interesting mechanism which supports the self trapping process in photorefractives is the creation of a channel waveguide. The self defocusing of an optical beam induced by diffraction can be countered by the waveguiding effect and hence the waveguide supports the formation of solitons [12,19,45]. This results in lowering of the threshold power required to self trap a light beam as compared to the threshold power required in bulk photorefractive media. Photorefractive waveguides have attracted much interest recently with investigations of formation and propagation characteristics of solitons in waveguides embedded in different types of photorefractive crystals [12,19,45]. To the best of our knowledge, no one has investigated the self trapping in a photovoltaic photorefractive waveguide having two-photon photorefractive effect as yet and that will be our objective in this paper. We formulate the theory governing the existence and study the dynamical characteristics of the solitons in Secs. 2 and 3. In Sec. 4, we have investigate the stability of the solitons in the photorefractive waveguide by Lyapunov theory and numerical methods. Section 5 contains a brief summary of our results.
2 Theoretical foundation
Consider a light beam propagating in the z direction in a waveguide embedded in a
photovoltaic photorefractive crystal. The optical c-axis of the photorefractive
waveguide is coincident with the
where
where
where
The expression for the space charge field in two photon photorefractive photovoltaic media neglecting the effect of diffusion can be stated [24],
where
where
Where
It is interesting to compare our dynamical evolution (6) with the corresponding equation for photovoltaic solitons in two-photon photorefractive crystals as derived in [24]. The authors in [24] investigate the photovoltaic solitons in photorefractive crystals without any embedded planar waveguide and hence the refractive index change is purely due to the electro-optic effect in the photorefractive crystal. We can see that the (13) of Ref. [24] is similar to our (6) but it does not contain the last term which signifies the strength of the waveguide. The effect of the embedded waveguide on the self trapping is the main aspect studied in this paper and hence the last term in (6) assumes significance.
Also, in (6), the non-linear variation of the refractive index results due to the fourth and fifth terms. By examining (6), we get to know that an exact analytical solution cannot be obtained. But there are several methods to approximately solve this equation. Segev’s method [32], Akhmanov’s paraxial method [46], Anderson’s variational method [47] and Vlasov’s moment method [48] can be used to solve (6). In our current analysis, we shall make use of the paraxial approximation and use a variational solution to obtain physically acceptable soliton states. Assume the slowly varying beam envelope to be of the form,
where
In (8), the first two terms represent the convergence or divergence of the beam and the third term represents the diffraction properties of the beam. The fourth, fifth and sixth terms elucidate the photovoltaic properties of the crystal. The fifth and sixth term in particular, represent the nonlinear terms contributing to the refractive index change. The last term in (8) is due to the planar waveguide structure in the photorefractive material. The last three terms control the diffraction effects and hence lead to a self trapped soliton propagation. The solution of (8) can be taken to be Gaussian. If we see [47], Anderson set a trend by suggesting the use of Gaussian profile in variational methods. Subsequently, this was implemented by many researchers in nonlinear optics [12,19,49-58]. Gaussian ansatz is most widely used for approximating solutions for non integrable systems and most widely used by the nonlinear optics and soliton community.
Firstly, Gaussian ansatz enables the calculations to become remarkably easier. Secondly, numerically computed exact profiles do not differ widely from the Gaussian one in most of the cases and thirdly, Gaussian profile is qualitatively very close to sech profile as it has almost the same half width and also the integral of the two profiles are comparable [47]. Finally, analytical simplification is not expected by using sech ansatz in most cases [58]. Since we use an approximate solution, we can term these solutions as quasi-solitons and henceforth the term soliton will refer to such quasi-solitons. We shall use the Gaussian ansatz of the form,
Here,
In general, we can assume,
Now, we know that
3 Existence of solitons
The above (10) illustrates the dynamical evolution of the beam width parameter and hence tells us about the variation of the spatial width itself. A self trapped beam results if the beam width remains constant. So we equate LHS of (10) to zero and obtain,
Equations (11) and (12) can be denoted to be an existence equation for bright
solitons propagating stably through the photorefractive waveguide since it shows a
relationship between the equilibrium spatial width (r), the threshold power

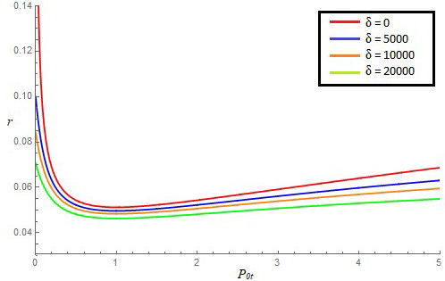
Figure 1 Existence curve in the presence of waveguiding showing the threshold
power
Looking at the Fig. 1, we can infer the
parameters of the solitons which can travel stably through the photorefractive
waveguide. For stable soliton propagation, we can infer the threshold power
Equation (12) has got four solutions or roots for the equilibrium spatial width
parameter
We shall now try to understand the propagation behaviour of the solitons at different
peak powers. We first consider the scenario in which there is no waveguiding effect
and hence

Figure 2 Soliton evolution shown by the variation in the beam width parameter
When the peak power is equal to

Figure 3 Dynamical evolution of the soliton beam in the absence of
waveguiding(

Figure 4 Dynamical evolution of the soliton beam in the absence of
waveguiding(

Figure 5 Dynamical evolution of the soliton beam in the absence of waveguiding
(

Figure 6 Dynamical evolution of the soliton beam in the absence of waveguiding
(
In Fig. 3, we can see a stable soliton does not
form and diverges because the power is less than the threshold power
Next, we shall investigate the effect of the waveguide on the propagation of the
light beam within the photorefractive crystal. Solving (11) for different values of
Figure 7 graphically shows how the beam width
changes with propagation distance. For the unguided case, i.e.,

Figure 7 Soliton evolution shown by the variation in the beam width parameter

Figure 9 Dynamical evolution of the soliton beam in the presence of
waveguiding (

Figure 10 Dynamical evolution of the soliton beam in the presence of
waveguiding (

Figure 11 Dynamical evolution of the soliton beam in the presence of
waveguiding (
4 Linear stability analysis
At this point, it is important that we investigate the stability of the solitons
propagating inside the photorefractive waveguide since only stable solitons have
potential practical applications. It will be in order to revisit the Eq. (11) and
define new quantities
And
In Eq. (13), as a general case,
where,
and
Constructing a Jacobian determinant and equating to zero for a non trivial solution,
Solving (17), we get,
where,
and
Following Lyapunov, we can conclude that steady state solutions of (13)-(14) will be
stable if
Since both the roots come out to be imaginary, we can conclude that the solitons are stable. This can be verified numerically also by investigating the behaviour of solitons in the phase plane under small perturbations. The variation in spatial width a is plotted in Figs. 13-15 under small perturbations. The perturbation ranges from 5% to 15%. The stability of solitons is inferred by the closed trajectories.

Figure 13 Phase trajectory of the spatial soliton resulting from the
perturbation in its value at steady state. The perturbation ranges from
5% to 15% and a low power regime has been considered. (

Figure 14 Phase trajectory of the spatial soliton resulting from the
perturbation in its value at steady state. The perturbation ranges from
5% to 15% and a high power regime has been considered. (
5 Conclusion
We have investigated the existence, propagation and characteristics of optical spatial solitons in a waveguide embedded in a two photon photovoltaic photorefractive crystal. In the absence of waveguiding, we have identified four distinct regimes of power and investigated the dynamical evolution of the solitons in all of these. We also observe the presence of bistable states. We then study the effect of the waveguide parameter or the strength of the waveguide on the self trapping. The planar waveguide enhances the self focussing due to the photorefractive nonlinearity resulting in lessening of the threshold power required to support steady state self trapping. The higher is the considered value of the waveguide parameter or the waveguoide strength, the lower is the threshold power required to self trap a soliton. Finally, we have investigated the linear stability of such solitons analytically and also by numerical simulations which reveal that they are stable against small perturbations.
Data availability statement
The data that support the findings of this study are available from the author, upon reasonable request.










nueva página del texto (beta)





