1. Introducción
Los agujeros negros son uno de los objetos más intrigantes de la Relatividad General y en general no pueden permanecer de forma aislada. Estos siempre interactuan con materia y campos subyacentes a su alrededor y como resultado de estas interacciones, el agujero negro toma un estado perturbado.
Cuando un agujero negro es perturbado, su comportamiento puede describirse en tres etapas: la primera etapa corresponde a la radiación debido a las condiciones iniciales de las perturbaciones, mientras que en la segunda etapa corresponde a oscilaciones amortiguadas con frecuencias complejas llamados modos cuasi-normales. Estas frecuencias son independientes de las condiciones iniciales y solo dependen de las propiedades del agujero negro, como la masa, la carga y el momento angular, entre otros. Estos modos de vibración son llamados modos cuasi-normales. Finalmente, la tercera etapa corresponde a un decaimiento de los campos que obedecen a una ley de potencias.
Los modos cuasi-normales han sido una de las herramientas más útiles para la caracterización de agujeros negros, debido a que los modos cuasi-normales están relacionados con los parámetros del agujero negro, como: masa, carga y momento angular.
El estudio de los modos cuasi-normales consiste en el análisis de una ecuación tipo onda con un potencial efectivo, dependiendo de las características especificas del potencial efectivo, en la literatura se proponen varios métodos para calcular los modos cuasi-normales, donde el método WKB [1] (Gregor Wentzel, Hendrik Kramers y Leon Brillouin) es uno de los más utilizados. En la aproximación óptica-geométrica (Eikonal) los modos cuasi-normales se pueden determinar a partir de las geodésicas inestables relacionadas con el potencial efectivo que sienten las partículas de prueba en su interacción con el agujero negro. En la [2], se muestra la relación que existe entre geodésicas circulares inestables, exponente de Lyapunov y los modos cuasi-normales en el límite Eikonal.
Han surgido diferentes investigaciones sobre modos cuasi-normales para una variedad de escenarios y en teorías alternativas, por ejemplo en la teoría de la relatividad general acoplada a electrodinámica no lineal se han abordado el estudio de modos cuasi-normales del agujero negro de Bardeen [3] que describe un agujero negro regular magnético, el agujero negro con carga eléctrica de Born-Infeld [4] y Bronnikov [5] por mencionar algunos.
Otra teoría alternativa, es la teoría de Einstein-Gauss-Bonnet [6], la cual considera correcciones a la curvatura. Además, muchos de los nuevos desarrollos de la teoría de cuerdas [7-9] han incrementado la importancia de esta teoría en particular. Por otro lado, es bien conocido que en el límite a bajas energías de las teorías de cuerdas, dan lugar a modelos de gravedad en dimensiones más allá de cuatro, las cuales involucran potencias superiores del tensor de curvatura de Riemann en la acción adicionales al término habitual de Einstein-Hilbert [10].
Datos astronómicos observacionales recientes, muestran que el universo se expande de forma acelerada y que la hipotética energía oscura domina el universo actual, por lo cual, los agujeros negros rodeados de energía oscura son de interés para los investigadores. Existen varios modelos que son candidatos a la energía oscura, en la cual, la componente dominante de la densidad de energía tiene presión negativa. Uno de ellos es la constante cosmológica, que corresponde al caso de energía oscura con un parámetro de estado ω
q
= -1, parámetro de estado es la razón entre la presión y la densidad de energía. Otros modelos alternativos que son propuestos como candidatos a energía obscura se basan en un campo escalar, como por ejemplo, la quintaesencia [11,12], K-esencia [13], tachyon [14] y dilaton [15]. Básicamente, la diferencia entre esos modelos radica en la elección de la magnitud de ω
q
. Para la quintaesencia, el parámetro de estado se encuentra en el rango
Por lo tanto, la presencia de quintaesencia alrededor de agujeros negros deberían de producir algunos efectos astrofísicos, y en consecuencia su análisis sería de gran interés.
Kiselev [16] propuso una solución estática con simetría esférica que describe a un agujero negro rodeado de quintaesencia, las cuales también han sido extendidas a más de cuatro dimensiones [17,18]. La termodinámica de agujeros negros rodeado de quintaesencia ha sido investigada a detalle en [19-21], los modos cuasi-normales de dichas soluciones han sido abordados en [19-21] y el estudio de las trayectorias geodésicas en [26-28].
Motivados por lo anterior, en este trabajo se estudian los efectos de la quintaesencia en el comportamiento de modos cuasi-normales para las perturbaciones escalares y electromagnéticas de un agujero negro de Einstein-Gauss-Bonnet en cuatro dimensiones [29]. El documento se organiza de la siguiente forma. En la 2, se presenta el agujero negro de Einstein-Gauss-Bonnet rodeado de quintaesencia, y se analizan los horizontes. En la 3, se describen las perturbaciones escalares y electromagnéticas del agujero negro de Einstein-Gauss-Bonnet (EGB). Se analiza el comportamiento del potencial efectivo para las perturbaciones escalares y electromagnéticas. Luego, en la 4 se da una breve descripción de como obtener los modos cuasi-normales empleando la aproximación WKB de tercer orden, mientras que en la 5, los modos cuasi-normales son descritos por medio del límite Eikonal. En la 6 se presentan y discuten los resultados obtenidos y finalmente en la 7 las conclusiones son presentadas.
2. Agujero negro de EGB rodeado de quintaesencia
En esta sección se describe brevemente, el agujero negro de EGB rodeado de quintaesencia [29]. La acción en cuatro dimensiones de EGB puede ser escrita como
donde R es el escalar de Ricci, α es la constante de acoplamiento de Gauss-Bonnet y L GB es el lagrangiano de Gauus-Bonnet dado por
donde R μvαβ el tensor de Riemann y R μv el tensor de Ricci. La variación de la acción (1) conduce a la siguiente ecuación de campo
donde T αβ es el tensor de energía momento de quintaesencia propuesto por Kiselev [16]
con γ una constante y B(r) el parámetro de quintaesencia. Tomando el promedio isotrópico sobre los ángulos en la Ec. (5) se obtiene
Esto permite derivar la siguiente ecuación de estado
donde el estado de quintaesencia ω q , debe satisfacer -1 < ω q < 0, lo cual implica -3 ≤ γ ≤ 0.
Empleando el principio de aditividad y linealidad (T 0 0 = T r r ), se puede determinar el parámetro de quintaesencia
Por lo tanto, sustituyendo la Ec. (9) en la Ec. (5), las componentes del tensor de energía momento de quintaesencia son
Para un espacio-tiempo con simetría esférica, la métrica es definida por
Para el elemento de línea (12), la ecuación de EGB (3) se puede escribir como
donde la prima indica que se deriva respecto de la coordenada r.
Combinando las Ecs. (10), (11) con las Ecs. (13), (14) se obtiene
A partir de las Ecs. (15) y (16), se tiene
donde la solución de la Ec. (17), toma la siguiente forma
donde M es la masa, α la constante de acoplamiento de Gauss-Bonnet, c un factor de normalización, ω
q
es el parámetro de estado de quintaesencia, el cual se encuentra en el rango
Para estudiar la estructura general de la solución EGB rodeado de quintaesencia, primero se considera el límite r → ∞ en la Ec. (18), teniendo
donde la rama con el signo +, muestra un comportamiento asintóticamente de Sitter o Anti-de Sitter, dependiendo del signo de α, mientras que la rama con el signo -, tiene un comportamiento asintóticamente plano. Por otra parte, cuando α → 0, la solución (18) tiene los siguientes comportamientos
Se puede observar que la rama con el signo negativo (22), se reduce a la solución de Schwarzschild rodeado de quintaesencia [19], mientras que la rama con el signo positivo conduce a una solución tipo de Sitter o Anti-de Sitter. Por lo tanto, en este trabajo se considera únicamente la rama con el signo menos.
2.1. Horizontes de eventos
Para proseguir con el análisis, es importante determinar los horizontes de eventos, para ello, se debe de estudiar las raíces positivas de f(r h ) = 0, siendo r h el horizonte del agujero negro. Esta condición conduce a la siguiente ecuación
donde se ha expresado, la distancia radial, acoplamiento de Gauss-Bonnet y el factor de normalización en unidades de masa, es decir, r → r/M, α → α/M2 y
Recientemente, Rizwan, Jamil y Anzhong propusieron un método para realizar el análisis de los horizontes de un agujero negro [30]. De acuerdo a este procedimiento, a partir de la Ec. (23), se puede parametrizar a α como función de c y r h
Esta función
Nuevamente,
Al introducir la Ec. (26) en la Ec. (25) se obtiene el valor c c , mientras que sustituyendo la Ec. (26) y la expresión de c c en la Ec. (24) se tiene el valor critico de α c . Así, los valores críticos de α c y c c son dados por
Las Figs. 1 y 2, muestran el comportamiento de c c y α c como función de ω q . De ellas se puede apreciar que cuando ω q incrementa, los valores de c c y α c incrementan monótonamente en cada caso.

Figura 1 La figura muestra el comportamiento del parámetro cc como función de ωq. Cuando ωq → -1, c c → 1/27, mientras que si ωq → -1/3, c c → 1/2.

Figura 2 La figura muestra el comportamiento del parámetro α c como función de ω q . Cuando ω q → -1, α c - 9/8 y cuando ω q → -1/3, α c diverge.
La Tabla I, proporciona algunos valores de c c y α c , particularmente, se presentan los casos ω q = -7/20 y ω q = -9/20 reportados en Ref. [29] para el análisis termodinámico del agujero negro de Einsten-Gauss-Bonnet rodeado de quintaesencia.
Tabla I Valores críticos c c y α c para diferentes ω q .
| ω q | -7/20 | -9/20 | -5/9 | -2/3 | -7/9 | -8/9 |
| c c | 0.398975 | 0.196519 | 0.122149 | 0.0833333 | 0.0609668 | 0.0467261 |
| α c | 10.7561 | 2.21581 | 1.5625 | 1.33333 | 1.225 | 1.16364 |
En resumen, para 0 ≤ c ≤ c c y 0 ≤ α ≤ α c la solución EGB rodeado de quintaesencia puede representar un agujero negro con diferentes horizontes r in (horizonte interno), r ex (horizonte externo) y r ωq (horizonte de quintaesencia). Cabe mencionar que cuando se considera a la quintaesencia, un nuevo horizonte emerge, el horizonte de quintaesencia o cosmológico.
Para realizar un estudio completo de los horizontes, es necesario analizar el caso extremo (cuando dos o más horizontes colapsan). El caso extremo puede ser obtenido de las condiciones f(r h ) = 0 y df(r h )=dr = 0, las cuales se deben de cumplir simultáneamente. De la condición df(r h )=dr = 0, se tiene
Para poder continuar con el análisis del caso extremo, es necesario definir un valor específico para ω q , particularmente, se considera el caso ω q = -2/3, el cual permite un tratamiento relativamente simple de las propiedades del agujero negro.
Por otra parte, al introducir la Ec. (24) (f(r h ) = 0) en la Ec. (29), es posible obtener la expresión que debe satisfacer el caso extremo
Esta ecuación puede ser resuelta analíticamente y posee cuatro raíces positivas, de las cuales solo dos son relevantes para 0 ≤ c ≤ c c . Estas dos raíces positivas son dadas por
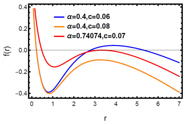
La Fig. 3, muestra el comportamiento de r + y r - como función de c, en la cual se puede apreciar que cuando c incrementa, r + disminuye, mientras que r - aumenta ligeramente y ambos convergen cuando c = c c = 0.0833333.
En general, los horizontes del agujero negro de EGB rodeado de quintaesencia satisfacen la relación r in ≤ r - ≤ r ex ≤ r + ≤ r ωq . De la Fig. 3 se puede observar que para valores pequeños del parámetro c, r + toma valores muy grandes y por lo tanto, r ωq también toma valores muy grandes, mientras que para valores del parámetro c muy cercanos a c c , r ωq considera valores muy pequeños. Por otra parte, si c se incrementa, r - igualmente se incrementa y por lo tanto el horizonte de eventos se incrementa, aunque de forma lenta.
Ahora, sustituyendo las Ecs. (31) y (32) en la Ec. (24), se tiene
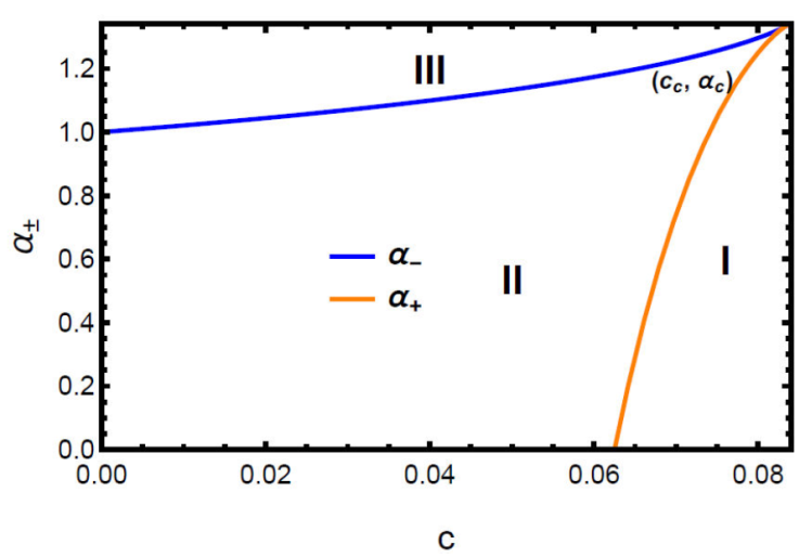
La Fig. 4 muestra el comportamiento de α ± como función de c. Para valores de (c, α) correspondientes a la región I y III, el agujero negro de EGB rodeado de quintaesencia tiene solo un horizonte, mientras para valores de (c, α) que pertenecen a la región II, el agujero negro tiene tres horizontes. Asimismo, para valores de (c, α) contenidos en la frontera de las regiones II y III (que corresponde a α - ), así como a la frontera de las regiones I y II (para α +), se tiene un agujero negro con dos horizontes de eventos.

Figura 4 La gráfica muestra el comportamiento de α- y α+ como función de c, con cc = 0.0833333 y αc = 1.33333.
Dependiendo de la elección de los valores (c, α) (ver Fig. 5), el número de horizontes puede decrecer de tres a uno, donde el horizonte cosmológico (quintaesencia) nunca desaparece. Por otra parte, cuando únicamente se tiene el horizonte de quintaesencia, el agujero negro de EGB rodeado de quintaesencia describe una singularidad desnuda.
3. Perturbaciones escalares y electromagnéticas
En esta sección se da una breve descripción de las ecuaciones para las perturbaciones escalares y electromagnéticas.
La ecuación de Klein-Gordon para un campo escalar sin masa en un espacio-tiempo curvo toma la siguiente forma
Considerando, un espacio-tiempo con simetría esférica dado por la Ec. (12) en la Ec. (35), y usando el ansatz para el campo escalar Φ
con Y (θ,φ) los armónicos esféricos e introduciendo también el cambio de la coordenada r a la coordenada tortuga r *
donde se tiene que si r → r ex , entonces la coordenada tortuga r * → -∞, y cuando r → ∞, r * → ∞, esto permite describir de forma fácil las ondas salientes o entrantes.
Entonces se puede obtener la siguiente ecuación de perturbación radial
donde
Como se puede apreciar de la Ec. (39), el potencial efectivo V E(r) depende de la constante de acoplamiento α de Gauss- Bonnet, el término de normalización de quintaesencia c, y del índice armónico angular l.
Las ecuaciones de Maxwell en un espacio-tiempo curvo que describen las perturbaciones electromagnéticas (ver [31,32]) son
donde Fβγ = ∂βAγ − ∂γAβ y Aγ es el potencial electro-magnético.
Al considerar simetría esférica, se puede tomar el siguiente ansatz [33]
donde P l (cos µ) son los polinomios de Legendre. Empleando el ansatz (41) en la Ec. (40), se puede tener una ecuación de onda, como la Ec. (38), donde el potencial efectivo esta dado por
En este caso se tiene que l ≥ 1.
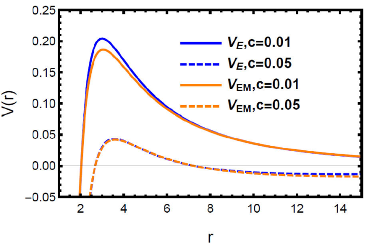
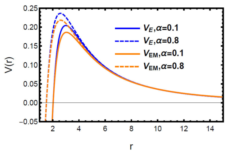
La gráfica de V E(r) y V EM(r) para distintos valores de c, se muestran en la Fig. 6, mientras que en la Fig. 7 se muestra el comportamiento de los potenciales para distintos valores de α. En general, los potenciales efectivos V E (r) y V EM (r) tienen la forma de un potencial de barrera con un solo máximo, siendo el potencial del campo escalar mayor que para el campo electromagnético. Cuando r → ∞, los potenciales efectivos tiene un valor asintótico, V E (r) ≈ 4c 2 para el campo escalar y V EM (r) ≈ -[2cl(l + 1)]=r para el campo electromagnético.
Por otra parte, de las Ecs. (39) y (42), se puede apreciar que los ceros de los potenciales efectivos coinciden con los ceros de la función métrica, es decir, los potenciales efectivos se anulan en los horizontes.
De la Fig. 6 se puede ver que cuando c incrementa la altura máxima del potencial disminuye tanto para el caso escalar, como para el electromagnético, lo cual implica que la presencia de quintaesencia reduce la magnitud de los diferentes potenciales. Se puede apreciar que con el aumento de c, no existe una diferencia significativa entre el potencial efectivo para el campo escalar y para el campo electromagnético. Cuando α incrementa, el pico del potencial incrementa en ambos casos y su posición se mueve hacia la izquierda, como se puede apreciar en la Fig. 7.
4. Modos cuasi-normales de un agujero negro de EGB rodeado de quintaesencia: aproximación WKB
Los modos cuasi-normales están relacionados con las soluciones de la Ec. (38). Para hallar dichas soluciones, se deben de imponer las siguientes condiciones de frontera:
En el horizonte, la onda debe ser únicamente entrante ξ(r) ~ e -iωr* .
En el infinito espacial, la onda deber ser solamente saliente ξ (r) ~e iωr* .
De acuerdo a la Ec. (36), la función de onda Φ tiene una dependencia temporal dada por
la cual describe las oscilaciones temporales. Donde la frecuencia ω tiene una componente real e imaginaria, es decir, ω = ω r + iω i , por lo que la expresión (43) se puede expresar como
La parte real de la frecuencia, ω r representa la oscilación real del agujero negro, la cual es siempre positiva. Por otra parte, la parte imaginaria de la frecuencia ω i puede ser positiva o negativa. Si ω i > 0, entonces la solución (44) diverge a medida que el tiempo aumenta, y por lo tanto la oscilación del agujero negro siempre crecerá, lo cual describe una solución inestable. En el caso en el que ω i < 0, se tiene una oscilación amortiguada, debido a que la Ec. (44) decrece conforme el tiempo avanza y eventualmente tiende a cero para tiempos muy grandes, por lo que gradualmente la oscilación del agujero negro cesará. Este comportamiento describe una solución estable.
En el caso, en el que ω i = 0, la solución (38) describe los modos normales, donde el agujero negro permanece oscilando indefinidamente.
Se pueden definir a los modos cuasi-normales como una oscilación general, que posee un factor de amortiguamiento exponencial, es decir, de la forma
Usualmente la Ec. (38) no se puede resolver de forma exacta, por lo cual se han desarrollado una variedad de métodos para calcular los modos cuasi-normales. En este trabajo, se emplea la técnica desarrollada por Iyer y Will [34], la cual se basa en la aproximación WKB.
Siguiendo la [4], en la fórmula WKB, las frecuencias de los modos cuasi-normales están relacionadas con los potenciales (39) y (42) de acuerdo a la siguiente ecuación
Donde
Con
donde r * (r p ) indica el valor de la variable r * en el máximo de los potenciales V E (r), V EM (r) y n = 0, 1, 2, . . . .
Cabe señalar que la precisión del método WKB depende de la elección del número multipolar l y del armónico n, es decir, como se ha mostrado en [35], el método WKB funciona bastante bien cuando l > n, sin embargo, si l = n este, no proporciona resultados satisfactorios y si l < n, no es posible aplicar el método WKB. Por otra parte, los resultados mejoran progresivamente al aumentar los valores de l.
5. Modos cuasi-normales en el límite Eikonal
En Ref. [2], se presentó un método para calcular los modos cuasi-normales, en el límite Eikonal a través de geodésicas inestables. La idea es interpretar a las oscilaciones libres del agujero negro en términos de partículas de prueba atrapadas en órbitas circulares inestable, en este trabajo consideraremos únicamente geodésicas nulas (fotones).
La parte real de las frecuencias de los modos cuasi-normales está determinada por la velocidad angular en la geodésica nula inestable, mientras que la parte imaginaria está relacionada con la escala de tiempo de la inestabilidad de la órbita circular.
Esta técnica ha sido empleada para un agujero negro de Kerr [36,37], anti-de-Sitter [38], de Hayward [39], entre otros.
En el límite Eikonal, los potenciales efectivos relacionados con las perturbaciones escalares y electromagnéticas presenten el mismo comportamiento (ver [40]) y su potencial efectivo, toma la siguiente forma
donde L representa el momento angular de los fotones.
El radio r 0 de la órbita circular inestable se obtiene de las condiciones
De las expresiones anteriores se obtiene la relación
Las frecuencias de los modos cuasi-normales ω, se pueden expresar por una relación sencilla, que depende de la función métrica f(r) y del radio r 0 de la órbita circular inestable,
con
Aquí, Ω es la velocidad angular orbital y λ es el exponente de Lyapunov, el cual es interpretado como la razón de decaimiento de las geodésicas circulares inestables. El exponente de Lyapunov es una medida de la tasa promedio a la que trayectorias cercanas convergen o divergen en el espacio de fase. Un exponente de Lyapunov positivo indica una divergencia entre trayectorias cercanas, es decir, una alta sensibilidad a las condiciones iniciales (para una mayor referencia en la derivación de las expresiones anteriores, el lector puede consultar [41]).
6. Resultados
En esta sección se obtienen las frecuencias de los modos cuasi-normales para perturbaciones escalares y electromagnéticas usando el método WKB a tercer orden y en el límite Eikonal para un agujero negro de EGB rodeado de quintaesencia. Las frecuencias han sido obtenidas para los valores de (c, α) correspondientes a la región II (ver Fig. 4).
En la Tabla II se muestra las frecuencias de los modos cuasi-normales para distintos valores de c y para los primeros armónicos, debido a que estas decaen más lentamente y son relevantes para la descripción de los campos alrededor del agujero negro. Como pueden apreciarse, la parte imaginaria de las frecuencias de los modos cuasi-normales para los primeros tres armónicos son negativos, lo cual indica que el agujero negro EGB rodeado de quintaesencia es estable bajo perturbaciones escalares y electromagnéticas, cuando el parámetro c se incrementa. Por otra parte, al incrementar el valor de n (para un valor fijo de l y c), la norma de la parte imaginaria de las frecuencias de los modos cuasi-normales aumenta, lo cual provoca que el agujero negro EGB rodeado de quintaesencia eventualmente sea menos estable. De la Tabla III, se puede apreciar un comportamiento similar al incrementar el parámetro α.
Tabla II La tabla muestra las frecuencias de los modos cuasi-normales para perturbaciones escalares y electromagnéticas usando WKB a tercer orden para diferentes valores de c, con α = 0.4.
| c | Frecuencias Escalares | Frecuencias Electromagnéticas | Frecuencias Escalares | Frecuencias Electromagnéticas |
|---|---|---|---|---|
| n = 0, l = 0 | n = 0, l = 0 | n = 1, l = 1 | n = 1, l = 1 | |
| 0.01 | 0.089044-0.093899i | - | 0.248694-0.251154 i | 0.210127-0.240091i |
| 0.02 | 0.075309-0.085196i | - | 0.222945-0.219232 i | 0.192258-0.208902i |
| 0.03 | 0.061237-0.075501i | - | 0.194608-0.185556 i | 0.171789-0.176279i |
| 0.04 | 0.047204-0.064667i | - | 0.162997-0.149606 i | 0.147719-0.141629i |
| 0.05 | 0.019727-0.044220i | - | 0.122710-0.105970 i | 0.117799-0.103713i |
| 0.06 | 0.151351-0.153791i | - | 0.127381-0.118754 i | 0.074313-0.058304i |
| n = 0, l = 1 | n = 0, l = 1 | n = 1, l = 2 | n = 1, l = 2 | |
| 0.01 | 0.271694-0.080640i | 0.237018-0.076139i | 0.439372-0.242943i | 0.418579-0.238419i |
| 0.02 | 0.241118-0.070690i | 0.214211-0.066579i | 0.393948-0.211687i | 0.377724-0.207529i |
| 0.03 | 0.208430-0.060083i | 0.188919-0.056512i | 0.344440-0.178858i | 0.332653-0.175264i |
| 0.04 | 0.172661-0.048634i | 0.160041-0.045741i | 0.289158-0.144043i | 0.281475-0.141028i |
| 0.05 | 0.131424-0.034991i | 0.125194-0.033834i | 0.225170-0.108080i | 0.220070-0.103536i |
| 0.06 | 0.083930-0.036458i | 0.076648-0.019282i | 0.123370-0.016453i | 0.134882-0.058377i |
| n = 0, l = 2 | n = 0, l = 2 | n = 2, l = 2 | n = 2, l = 2 | |
| 0.01 | 0.454099-0.079881i | 0.434009-0.078283i | 0.414960-0.412023i | 0.393205-0.404951i |
| 0.02 | 0.405882-0.069682i | 0.390375-0.068227i | 0.374100-0.358566i | 0.356770-0.352049i |
| 0.03 | 0.353720-0.058965i | 0.342537-0.057716i | 0.328851-0.302456i | 0.316080-0.296792i |
| 0.04 | 0.295754-0.047550i | 0.288556-0.046549i | 0.278059-0.243197i | 0.269360-0.238186i |
| 0.05 | 0.228000-0.035359i | 0.224266-0.034286i | 0.222691-0.184387i | 0.212650-0.174144i |
| 0.06 | 0.136322-0.013460i | 0.136171-0.019417i | 0.135148-0.101102i | 0.132477-0.097595i |
Tabla III La tabla muestra las frecuencias de los modos cuasi-normales para perturbaciones escalares y electromagnéticas usando WKB a tercer orden para diferentes valores de α, con c = 0.01.
| α | Frecuencias Escalares | Frecuencias Electromagnéticas | Frecuencias Escalares | Frecuencias Electromagnéticas |
|---|---|---|---|---|
| n = 0, l = 0 | n = 0, l = 0 | n = 1, l = 1 | n = 1, l = 1 | |
| 0.1 | 0.202505-0.208298i | - | 0.691042-0.700784 i | 0.198644-0.255201i |
| 0.2 | 0.092282-0.101635i | - | 0.239429-0.258776 i | 0.202337-0.250604i |
| 0.3 | 0.089354-0.096426i | - | 0.246063-0.257058 i | 0.206172-0.245595i |
| 0.4 | 0.089036-0.093892i | - | 0.248694-0.251154 i | 0.210127-0.240091i |
| 0.5 | 0.088070-0.091107i | - | 0.251631-0.245040 i | 0.214162-0.233978i |
| 0.6 | 0.086747-0.088381i | - | 0.254475-0.238303 i | 0.218199-0.227102i |
| n = 0, l = 1 | n = 0, l = 1 | n = 1, l = 2 | n = 1, l = 2 | |
| 0.1 | 0.345177-0.238895i | 0.227455-0.080638i | 0.459024-0.310843i | 0.402314-0.251764i |
| 0.2 | 0.265748-0.083113i | 0.230443-0.079250i | 0.429030-0.252479i | 0.407485-0.247729i |
| 0.3 | 0.268791-0.082414i | 0.233623-0.077759i | 0.434027-0.247835i | 0.412902-0.243307i |
| 0.4 | 0.271694-0.080640i | 0.237018-0.076139i | 0.439374-0.242946i | 0.418579-0.238419i |
| 0.5 | 0.274792-0.078794i | 0.240649-0.074355i | 0.444932-0.237473i | 0.424528-0.232959i |
| 0.6 | 0.278076-0.076759i | 0.244544-0.072358i | 0.450708-0.231301i | 0.430746-0.226781i |
| n = 0, l = 2 | n = 0, l = 2 | n = 2, l = 2 | n = 2, l = 2 | |
| 0.1 | 0.440964-0.087180i | 0.419723-0.082426i | 0.414960-0.412023i | 0.393205-0.404951i |
| 0.2 | 0.444688-0.082839i | 0.424204-0.081173i | 0.374100-0.358566i | 0.356770-0.352049i |
| 0.3 | 0.449250-0.081413i | 0.428954-0.079800i | 0.328851-0.302456i | 0.316080-0.296792i |
| 0.4 | 0.454099-0.079881i | 0.434009-0.078283i | 0.278059-0.243197i | 0.269360-0.238186i |
| 0.5 | 0.459264-0.078170i | 0.439412-0.076586i | 0.222691-0.184387i | 0.212650-0.174144i |
| 0.6 | 0.464792-0.076238i | 0.445217-0.074663i | 0.135148-0.101102i | 0.132477-0.097595i |
De las Figs. 8 y 9 se pueden observar que las frecuencias de oscilación y la razón de amortiguamiento para el campo escalar y el campo electromagnético incrementan cuando α se incrementa y en general se observa que
Cuando el parámetro c se incrementa, la frecuencia de oscilación disminuye (ver Fig. 10), mientras que la razón de amortiguamiento aumenta, como se puede ver en la Fig. 11. Esto significa que conforme c aumenta, la oscilación es menos intensa, es decir, la presencia de quintaesencia suprime la oscilación. Es importante mencionar, que en este caso particular, no hay una diferencia significativa en la parte real e imaginaria de las frecuencias de los modos cuasi-normales para el caso escalar y electromagnético cuando c se incrementa. Este comportamiento puede entenderse debido a que cuando c se incrementa no existe una diferencia significativa entre los potenciales (ver Fig. 6).
En el límite Eikonal, el comportamiento de la velocidad angular (frecuencias reales) para valores de α en el rango 0.1 ≤ α ≤ 0.6 se muestra en la Fig. 12 y el comportamiento es similar al de las frecuencias calculadas empleando WKB a tercer orden.
La razón de amortiguamiento mostrada en la Fig. 13, cuando α se incrementa, indica que el efecto de la quintaesencia provoca que las frecuencias de los modos cuasi-normales sean menos estables, de forma contraria a los datos obtenidos usando WKB.
Para valores pequeños de α, no existe una diferencia significativa en los valores de λ con y sin presencia de quintaesencia.
El comportamiento en el límite Eikonal cuando c se incrementa, muestra resultados de Ω similares a los obtenidos con el método WKB (ver Fig. 14). Aquí el efecto de c es atenuar las frecuencias de oscilación del agujero negro, mientras que en la Fig. 15, el comportamiento de λ indica que cuando c aumenta, las frecuencias de oscilación del agujero negro son más estables.
Cabe mencionar que en electrodinámica no lineal, se ha mostrado que la trayectoria de los fotones se modifica, es decir, los fotones no siguen las geodésicas nulas de la métrica del agujero negro, más bien siguen las geodésicas nulas de una métrica efectiva [42,43].
Estudios de los modos cuasi-normales de distintos agujeros negros en electrodinámica no lineal considerando la métrica efectiva [44], muestran comportamientos similares a los obtenidos en este trabajo, para el caso de Ω y λ. El efecto de la métrica efectiva, produce que las oscilaciones se atenúen, y una mayor estabilidad, como el comportamiento que se observa al considerar quintaesencia en el agujero negro de EGB.
7. Conclusiones
En este trabajo se estudia el agujero negro de Eintein-Gauss-Bonnet rodeado de quintaesencia, para el caso particular de ω = -2/3, debido a que permite un tratamiento relativamente simple de las propiedades del agujero negro.
Los horizontes de eventos y el caso extremo son analizados. En la Fig. 4, se presentan los valores (α, c) en donde el agujero negro de Eintein-Gauss-Bonnet rodeado de quintaesencia tiene tres, dos o un horizonte.
Las frecuencias de los modos cuasi-normales para perturbaciones escalares y electromagnéticas son calculadas empleando el método WKB a tercer orden y en el límite Eikonal. Los resultados obtenidos usando WKB, muestran un comportamiento similar en ω r y ω i con y sin la presencia de quintaesencia, donde el efecto de quintaesencia produce una disminución en el valor de ω r , pero dichas oscilaciones son más estables (aumento de ω i ), para ambas perturbaciones.
En el límite Eikonal, el comportamiento de Ω (que se encuentra relacionado con ω r ), ante el incremento del parámetro c, es muy similar al caso WKB, es decir, conforme aumenta la presencia de quintaesencia, Ω disminuye. En el caso en el que α se incrementa, las oscilaciones se incrementan.
Cabe señalar que el amortiguamiento de las frecuencias de los modos cuasi-normales con y sin la presencia de quintaesencia producen un comportamiento diferente al caso WKB.
Al considerar la presencia de quintaesencia, en el límite Eikonal, se observa una menor estabilidad, este tipo de comportamiento también se presenta al tomar en cuenta la métrica efectiva que siguen los fotones en electrodinámica no lineal










nueva página del texto (beta)














