SciELO - Scientific Electronic Library Online

 
vol.66 número5Equation of state to predict the solid-liquid-vapor phase coexistences of pure substancesHidden attractors from the switching linear systems índice de autoresíndice de materiabúsqueda de artículos
Home Pagelista alfabética de revistas  

Servicios Personalizados

Revista

Articulo

Indicadores

Links relacionados

  • No hay artículos similaresSimilares en SciELO

Compartir


Revista mexicana de física

versión impresa ISSN 0035-001X

Rev. mex. fis. vol.66 no.5 México sep./oct. 2020  Epub 31-Ene-2022

https://doi.org/10.31349/revmexfis.66.671 

Research

Thermodynamics and Statistical Physics

Superstatistics of the one-dimensional Klein-Gordon oscillator with energy-dependent potentials

M. Labidia 

A. Boumalia 

A. Ndem Ikotb  c 

aLaboratoire de Physique Appliquée et Théorique, LPAT, Université Larbi-Tébessi, Tébessa, Algeria. e-mail: labidimalika89@univ-tebessa.dz; labidimalika89@gmail.com; abdelmalek.boumali@univ-tebessa.dz; boumali.abdelmalek@gmail.com.

bUniversity of Port Harcourt, Department of Physics, Theoretical Physics Group, Nigeria.

cDepartment of Physics, University of South Africa Florida 1710 Johannesburg- South Africa. e-mail: ndemikotphysics@gmail.com.


Absctract

In this paper, we investigate the influence of energy-dependent potentials on the thermodynamic properties of the Klein-Gordon oscillator (KGO). With the obtained energy eigenvalues, all the thermal properties of the system have been calculated using the well-known EulerMaclaurin method. The investigation is extended to the study of the Superstatistics properties of the system. The probability density f(β) follows χ 2 Superstatistics (Tsallis statistics or Gamma distribution) for the system. Under the approximation of the low-energy asymptotics of Superstatistics, we calculated partition function and other thermal properties of the system. This approximation leads to a universal parameter q for any Superstatistics, not only for Tsallis statistics. By using the desired partition function, all thermal properties have been obtained in terms of this parameter. Also, the influence of the potentials on the thermal properties, via the parameter γ, are well discussed.

Keywords: Klein-Gordon oscillator; energy-dpendent potentials; q-calculus formalism

PACS: 03.65.Ge; 03.65.-W; 03.65.Ta

1. Introduction

Wave equations such as Schrodinger, Klein-Gordon, and¨ Dirac with energy-dependent potentials have been studied for a long time now. It can be seen in Klein-Gordon and Dirac equations that considering a particle in an external electromagnetic field [1] arising from momentum-dependent interactions and energy-dependent potentials, one can deduce the non-relativistic quantum mechanics, as shown by Green [2]. The presence of the energy-dependent potential in many wave equations has several non-trivial implications because of the complex nature of the problems. For instance, the Klein-Gordon equation is the modification of the scalar product necessary to ensure the conservation of the norm (see appendix A for details).

Following the works of Sazdjian and Formanek [3,4], we observed that the scalar product in the Klein-Gordon equation must be modified concerning the usual definition to have a conserved norm. This modification of the Klein-Gordon equation leads to some good behavior of the physical properties for the system. Many authors have investigated the Schrodinger, Klein Gordon, and Dirac equation with energy-¨ dependent potentials. In recent times, Boumali et al., [5] studied the influence of energy-dependent potentials on the thermal properties of the one-dimensional harmonic oscillator using the Euler-Maclaurin approach. To the best of our knowledge, no relativistic case has been reported on the influence of energy-dependent potentials on the thermal properties of the one-dimensional harmonic oscillator. Therefore the main aim of this paper is to study the effects of the modified scalar product arising in the energy-dependent KleinGordon oscillator problem. The reasons are in two folds: (i) firstly due to the importance of the Klein-Gordon oscillator and its numerous physical applications, and (ii) secondly motivated by the recent study on the effect of energy dependent potentials on the Shannon and Fisher quantities in quantum information theory [6]. After studying the normal thermal properties, we will extend our treatment to study the Superstatistics and its thermal properties of the system. The properties of these systems have become a topic of great interest in the last few years, and it has found many applications in several branches of physics (see Ref. [7] and references therein). It is known that Superstatistics is a branch of statistical mechanics or statistical physics that is devoted to the study of non-linear and non-equilibrium systems. It is characterized by using the superposition of multiple statistical models to achieve the desired non-linearity. In terms of ordinary statistical ideas, this is equivalent to compounding the distributions of random variables and it may be considered as a simple case of a doubly stochastic model. Besides in Superstatistics it is argued that a system where fluctuations of temperature do exist, coarse-grained measurements of energy performed over spatial and temporal scales are larger than those defined by the correlation properties of the temperature will yield statistical distributions that can be written as a superposition of canonical distributions. More precisely, Superstatistics is a superposition of different statistics such as ordinary Boltzmann factor and the fluctuation of the intensive parameter with inverse temperature. Therefore, Superstatistics describes a non-equilibrium system with stationary state and intensive parameter fluctuations. If E is the energy of a microstate, the Boltzmann factor in the Superstatistics is written as,

B(E)=0f(β)e-βEdβ, (1)

where B (E) is a kind of effective Boltzmann factor for the non-equilibrium system for the Superstatistics of the system, f (β) is the distribution function, e −βE is the Boltzmann factor and E is the energy level for the system. B(E) differs significantly from the ordinary Boltzmann factor, which is recovered when f(β) = δ(ββ 0). From (1), we can recognize that the generalized Boltzmann factor of Superstatistics is given by the Laplace transform of the probability density f (β). Although there are many possibilities, certain criteria must be fulfilled for physical relevant of the system:

  • The probability function f (β) must be a normalized probability density. It may, be a physically relevant density from statistics, say Gaussian, uniform, chisquared (Gamma distribution), log-normal.

  • The integral 0f(β)e-βEdβ must exist, and consequently, the new statistics must be normalizable.

  • The new statistics should reduce to BG-statistics if there are no fluctuations in intensive quantities at all.

In this stage, two remarks seem pertinent: (a) although any f(β) is possible in the Superstatistics approach, in practice, one usually observes only a few relevant distributions: (i) χ 2-Superstatistics (=Tsallis statistics), (ii) inverse χ 2Superstatistics, and (iii) log-normal Superstatistics. In our case, we will focus only on χ 2-Superstatistics or Gamma distribution: this choice is justified by the wider use of this distribution in the literature. As an example, in blinking quantum dots, cosmic ray statistics, and various scattering processes in particle physics. Other recent applications of the Superstatistics are briefly reviewed by Refs. [8, 9]. (b) The applicability of this formalism impose that the Superstatistics formalism can only be applied if you have sufficient time scale separation in the complex system. Beck and Tsallis [10,11] show the existence of a mapped of the superstatistical non-equilibrium system onto an equilibrium system of ordinary statistical mechanics with an average inverse temperature β 0 ≡ hβi.

This mapped allows us to say that it is possible to carry out ordinary statistical mechanics to the Superstatistics of a non-equilibrium system with all the known formulas. Thus, the second task of this work is to use the formalism of Superstatistics to study the one-dimensional Klein-Gordon oscillator and calculate the Superstatistics properties of this oscillator. This study, to the best of our knowledge, is new, novel, and has not been treated and discussed in the available literature. Finally, this paper will also study the effect of the saturation of the spectrum on the thermodynamic properties of the one-dimensional Klein-Gordon oscillator for both ordinary statistical mechanics and generalized statistical mechanics for superstatistical systems. Firstly, we will study the effect of the saturation of the spectrum on the thermodynamic properties for this oscillator in ordinary statistical mechanics, and then extend the discussions to the case of generalized statistical mechanics for superstatistical systems. In both cases, the dependence with the gamma parameter of the partition function, and other thermal quantities such as free energy, total energy, entropy and specific heat have been determinate. In our case, we have a choice of a function f(β) following a Gamma distribution, which is defined by

f(β)=1bΓ(c)(βb)c-1e-βb. (2)

where (b > 0, c > 1) are real parameters.

This choice is justified by the wider use of its distribution in the literature. Now, by using the function, we will calculate at first the generalized Boltzmann factor, B(E), and consequently the partition function for the system Z (β). With the partition function, all other thermodynamic properties, as well as their dependence with the parameter γ, will be obtained.

The paper is organized as follows. We study in Sec. 2, the thermal properties of the oscillator for the case of the potentials dependent on energy in the framework of the statistical mechanics. Then Sec. 3 is devoted to the formalism of Superstatistics. Section 4 will be brief a conclusion.

2. The thermal properties of the onedimensional Klein-Gordon oscillator with energy-dependent potentials

2.1. The eigensolutions: review

The free Klein-Gordon equation is (h = m = ω = c = 1) [6]

{p2-(E2-1)}ψ=0. (3)

In the presence of the oscillator interaction, (3) becomes

{(p+ix)(p-ix)-(E2-1)}ψ(x)=0, (4)

or explicitly, we write

(p22+x22)ψ(x,E)={E2-12

+12(1+γE)}ψ(x,E). (5)

To obtain Eq. (5), we make the substitution p x p x + i(1 + γE)x, in which the parameter γ is is the energydependent term, then Eq. (5) represent an equation of a harmonic oscillator in one-dimension. So, the corresponding eigensolutions are given as [6]

ψ(x,E)=CnHn(λx)exp(-λ2x2), (6)

E4-2E2-4n2-4n2γE+1=0, (7)

with λ = 1 + γE , and C n is the normalization constant and is calculated as follows

Cn2=12nn!(1+γE)14π{E-γ21+γE(n+12)}-1,

Here H n is the Hermite polynomials. The Eq. (7) is an algebraic equation of degree 4, which has real and complex solutions. The complex solution does not have any physical meaning except the real solutions. Therefore, some interesting results can be extrapolated directly as follows:

  • the modified scalar product is the origin of the spectrum that exhibits saturation instead of growing infinitely,

  • this saturation appears for the high levels contrary to what has been found in the non-relativistic case,

  • the analytical asymptotic limits are well depicted,

  • the beginning of the saturation starts from a specific quantum number N max . These parameters decrease rapidly when |γ| increases slowly.

Now, we intend to show the influence of the parameter γ on the probability density ρ KG . The probability density is expressed by the following equation (see Appendix A for details)

ρKG(x,E)=ψ(x,E)*{2E-V(x,E)E}ψ(x,E),=(2E-12γx2)|ψ(x,E)|2, (8)

So that ρ KG represent a physical system, only two possibilities can exist regardless of the sign of ρ KG , i.e., either ρ KG < 0 or ρ KG > 0. Thus, as a consequence of this, the sign of the parameter γ is negative for particles, and positive for antiparticles (see Ref. [6])

2.2. The thermal quantities in ordinary statistical mechanics via the Euler-MacLaurin formula

To obtain the partition function from the obtained energy spectrum, we adopt the following way, which the partition function Z is defined by [5]:

Z=n=0e-βEn, (9)

were β = (1/k B T) with k b is the Boltzmann constant and T is the temperature in Kelvin. Tto calculate this function, we adopt two approaches: (i) we first fixed the parameter γ, and then varied the values of n until we obtain the saturation phenomena in our spectrum of the energy (Eq. (7)) and so on, and (ii) via the method used by the authors [5] which is well described in their work. Following this, Eq. (9) becomes

Zn=0e-βEnn=0Ne-βEnI+All levels are

in saturations n=0Ne-βEncontribution of few levels. (10)

The first term in (10) is the contribution of all levels until the beginning of a saturation behavior in the spectrum of energy. The second one is the contribution of all saturation levels.

To evaluate the partition function, we use the EulerMaclaurin formula [13-18]

n=0f(x)=12f(0)+0f(x)dx

-p=1B2p(2p)!f(2p-1)(0), (11)

where B 2 p are the Bernoulli numbers. and f (2p−1) is the derivative of order (2p − 1) . In statistical mechanics, the Boltzmann factor e −βE is an essential tool used to determine thermodynamic quantities such as the partition function Z(β), free energy F(β), total energy U(β), entropy S(β), and specific heat C(β), for a given system. These quantities are defined as

F=-1βlnZ,U=-lnZβ, (12)

SkB=lnZ-βlnZβ,CkB=β22lnZβ2. (13)

In what follows we will focus our study on the influence of the parameter γ on these quantities for the case of the one dimensional Klein-Gordon oscillator.

2.3. Results and discussions

We give our basic results in Figs. 1, 2, 3, and 4, where we plot the variation of all thermal functions versus the inverse of the temperature β for different values of γ. We emphasize that the behavior of the partition function, specific heat, free energy, and entropy are not identical to those obtained for the relativistic oscillators. The reason for this is fundamentally related to the nature of the interactions of KG oscillator and the potential that are linearly depends on the energy considered here. We must mention that all these results found here about the thermal properties in our problem can be extended to the case of 1D Dirac oscillator (both Eqs. (7) and (B.8).

FIGURE 1 The partition function Z versus β with different parameters of γ

FIGURE 2 The free energy F versus β with different parameters of γ

FIGURE 3 The entropy S versus β with different parameters of γ

FIGURE 4 Specific heat versus β with different parameters of γ

In Fig. 1, we plot the variation of the partition function Z concerning β for different values of γ. Figure 1 shows that partition function increases with decreases values of β. Besides the effect of the parameter γ on the partition function is more apparent for nearly high temperatures.

In Fig. 2, we give the variation of the free energy F as a function of the parameter β for different values of γ: we can see that the free energy F has an upper limit for the low temperatures.

In Fig. 3 we observe that the entropy decreases with parameter β and has an upper limit for the high temperatures: The effect of γ on the entropy S is more apparent for the high temperatures. For the low temperatures, we have S → 0.

In Fig. 4 the specific heat C v versus the temperature inverse β for different values of γ values have been well depicted. We observe that, for each specific value of γ, each curve has a peak symmetry around a suitable temperature β. The intensity of these peaks increases as γ increases. For the high values of β we have C v → 0: the third law of thermodynamics is well fulfilled.

Now, we are ready to extend our discussions to the case of Generalized statistical mechanics for a superstatistical framework.

3. Superstatistical properties of the onedimensional Klein-Gordon oscillator with energy-dependent potentials

3.1. Partition function in Superstatistics

Instead to use the habitual stationary probability distribution

e-βEZ, (14)

we have

p(E)=B(E)Z, (15)

with

Z(β)=nB(En),

where Z(β) is the normalization constant of e −βE for a given β (or partition function).

In what follows we use the χ 2-distribution or Gamma distribution: the probability density function reads as

f(β)=1bΓ(c)(βb)c-1e-βb. (16)

Note here that in the superstatistics approach, only a few possible distributions f(β) are relevant: (i) χ 2-superstatistics (=Tsallis statistics), (ii) inverse χ 2-superstatistics, and (iii) log-normal superstatistics. In our case, we are focused on Gamma distribution defined by Eq. (16): this choice is justified by the wide use of this distribution in the literature: as an example, we can cite the following: in blinking quantum dots, cosmic ray statistics, various scattering processes in particle physics [9], one-dimensional Dirac oscillator [7] and the thermo-magnetic properties of a system of 2D GaAs quantum dots [34]. Other recent applications of the superstatistics are briefly reviewed by Refs. [8,25,26] and references therein.

The integration over β yields the generalized Boltzmann factor

B(En)={1+bEn}-c. (17)

Now, according to the following works of Tsallis [19-23], the non-extensive statistics of Tsallis defined by the so-called q-exponential function

eq-β0E=(1+(q-1)β0E)-1q-1, (18)

with the q-exponential function is defined by [22,23]

eq(x)={(1+(1-q)x)-1q-10<q<1exq=1, (19)

and where the parameter q is the index of non-extensive statistical mechanics: if we identify c = 1/q − 1 and bc = β 0 where β 0

β0β=0βf(β)dβ=bc, (20)

is the average of β, Eq. (17) becomes the generalized Boltzmann factor [(1+(q −1)hβiE n ) −(1/q−1) ] of non-extensive statistical mechanics. In this case, Eq. (17) is transformed into

B(E)=eq-βEn. (21)

Note here that in the limit where q → 1, we recover both (i) the habitual exponential function and (ii) the ordinary statistics mechanics.

In our case, to seek simplicity, we use the approximation of the low-energy asymptotics (for more detail, see Ref. [7]). This approximation represents the leading order correction to ordinary statistical mechanics in our system with temperature fluctuations for small values of the energy E. More precisely, the low-energy asymptotics behavior is universal: that means that the generalized Boltzmann factor for a different choice of Superstatistics is expressed in terms of the universal parameters q and β 0 as follows:

B(En)e-β0En(1+a2β2En2

+g(q)β3En3+), (22)

where the function g(q) depends on the Superstatistics chosen, e, on the choice of f (β). In our case (Gamma distribution), g (q) = −(α 2 /3).

Now, due to this universality, Beck [24] introduced a universal parameter q for any Superstatistics, not only for Tsallis statistics: this parameter is given by the following relation

q=β2β2. (23)

The physical meaning of the parameter q is just the coefficient of variation of the distribution f (β), defined by the ratio of standard deviation and mean. If there are no fluctuations of β at all, we obtain q = 1 as required.

So, according to this approximation, the generalized Boltzmann factor, can be rewritten as

B(En)=e-1q-1ln(1+(q-1)βEn)e-β0En

×(1+a2β2En2-a23β3En3+), (24)

with α = q − 1. The zeroth-order approximation to B (E n ) corresponds, as is expected, to the “pure” Boltzmann statistics

B(En)e-βEn. (25)

3.2. Generalized statistical mechanics for superstatistical systems

As we know in statistical mechanics, the habitual Boltzmann factor e −βE is an essential tool used to determine thermodynamic quantities such as the partition function Z(β), free energy F(β), total energy U(β), entropy S(β) and specific heat C(β), for a given system. These quantities are defined as

F=-1βlnZ,U=-lnZβ, (26)

SkB=lnZ-βlnZβ,CkB=β22lnZβ2. (27)

Recently, a remark about the validity of the applicability of the Eqs. (26) and (27) to the case of Superstatistics seems important has been treated. To extend all well-known formulae of normal statistical mechanics to the case of Superstatistics, are restricted by the following conditions; First, Superstatistics is characterized by using the superposition of multiple different statistical models to achieve the desired nonlinearity. In terms of ordinary statistical ideas, this is equivalent to compounding the distributions of random variables.

More precisely, Superstatistics assumes that the correct ensemble is not canonical, but a superposition of canonical ensembles at different (inverse) temperatures weighted by a factor f(β). So, the Superstatistics denoted by symbol B(E), allows the infinite types of system’s distribution with respect to E, once the fluctuating distribution f (β) is given. This factor is based on three crucial premises; (i) a system is partitioned into cells that can be considered to be reached an equilibrium locally, which is characterized by a single β, (ii) its statistical factor is Gibbsian and (iii) the separation between two time scales is adequate, that is, the time for approaching to each local equilibrium state is much faster than that for varying f(β). This last criterion means that the framework of the theory of Superstatistics regards the existence of temporally local equilibrium within each of the cells that subdivide a non-equilibrium thermodynamic system. Thus, this formalism can only be applied if we have sufficient time scale separation in the complex system, so that the system has enough time to find local equilibrium in the local cells with a given β. In the local cells, local equilibrium statistical mechanics is then valid for the given β in that cell (for more detail see Ref. [7] and references therein). In conclusion, and following these arguments, it is possible to do ordinary statistical mechanics for this superstatistical non-equilibrium system, with all the known formulae such as described by Eqs. (12 and 13)). Note here that some recent theoretical developments, in the context of the theory of superstatistics, have used the known formulae of normal statistical mechanics in their investigation on some problems in physics [27-33]. Their results can be accepted only in the framework of the above arguments about the applicability of the habitual thermodynamics laws in the superstatistics formalism.

In the recent paper of Castaño et al [34], the authors used the q-algorithm of the q-calculus formalism [22, 23] to discuss thermo-magnetic properties of a system of 2D GaAs quantum dots. Here we can mention two remarks about this formalism:

• When we use a q-logarithm, the algebra of our problem is deformed, and it follows the theory of q-calculus formalism with the following q-sum and q-product definitions [22,23]

xqy=(x1-q+y1-q-1)+11-q,(x>,y>0) (28)

xqy=x+y+(1-q)xy. (29)

• Following this algebra, the q-derivative definition, in the framework of the q-calculus formalism, is given by [35-39]

Dqf(x)limxyf(x)-f(1y)xqy

={1+(1-q)x}df(x)dx. (30)

Although the superstatistics is a non-equilibrium process, the authors (i) do not give the arguments of the validity of applicability of habitual law thermodynamics in superstatistics for their case, and (ii) they have not used Eq. (30) in their calculations.

Now, when we starting with the following generalized Boltzmann factor defined by E. (24), the partition function is

Z=nBEn=ne-βEn×(1+a2β2En2-a33β3En3),=1+a2β2d2dβ2+a33β3d3dβ3n=0e-βEn,

=(1+a2β2d2dβ2+a33β3d3dβ3)Z. (31)

To evaluate this partition function, we calculate at first the term Z with the same method used above. Thus, we found That

Z(β)=(1+a2β2d2dβ2+a33β3d3dβ3)

×n=0Ne-βEncontribution of few levels (32)

So, Z is an essential tool used to determine thermodynamic quantities such as the partition function Z(β), free energy F(β), total energy U(β), entropy S(β), and specific heat C(β), for a given system. These quantities are defined by replacing β by hβi in Eqs. (12) and (13).

3.3. Results and discussions

Now, after this discussion about (26) and (27) in the case of the Superstatistics formalism, we are ready to discuss our numerical simulations found. In our case, we concentrate only on the main function, such the entropy, and the specific heat to seek the existence of saturation and the nature of this saturation.

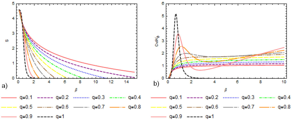
Our basic results are plotted in Figs. 5, 6, 7 and 8, in these figures, we plot the variation of the entropy and the specific heat versus the inverse of the temperature β for different values of γ and q: recall that these parameters denote the parameter of the dependence of the potential with energy and the parameter of deformation respectively.

FIGURE 5 Thermal quantities of 1D (KGO) for γ = −0.1 and different values of q

FIGURE 6 Thermal quantities of 1D (KGO) for γ = −0.3 and for different values of q

FIGURE 7 Thermal quantities of 1D (KGO) for γ = −0.5 and for different values of q

FIGURE 8 Thermal quantities of 1D (KGO) for γ = −0.7 and for different values of q

Besides these figures are subdivided into four canvas following the choice of the parameter γ. Here we have selected four values of γ < −1 [6], which correspond the case of particles (E > 0). Each canvas is presented and specified by a value of the parameter γ. It contains the curves of the entropy and the specific heat for different values of the parameter of deformation q. We emphasize that the behavior of these functions is not identical from canvas to another.

Now, from these canvases, three remarks can be made about the influence of both parameters γ and q on the thermal properties of our oscillator:

  • From canvas to another, we can see that the number of Gaussian-like shape in specific heat curves is different. For a specific value of the parameter γ, we observe that (i) these curves have a peak symmetry around a suitable temperature β, (ii) the intensity of these peaks increases as q decreases and (ii) finally, they appear when q → 1 . Also, the number of these peaks decreases when |γ| increases, and they increase when γ decreases: in our case, we have a maximum number of these peaks when γ = −0.1.

  • These peaks correspond to the phenomena of saturation that appear in the case of the problems with the potentials dependence energy. In this context, we note that the observation of peaks in the curves of specific heat indicates that there are a small number of discrete energy levels dominating the behavior of our system in question. This behavior is due essentially to the dependence of the potential of our oscillator with the energy: as argued in [5], this situation is very similar to the case of Schottky peak (Schottky anomaly) which is a broad maximum in the specific heat observed in systems with several discrete energy levels, and not a phase transition.

  • Contrarily to the non-relativistic limit( see Ref. [5]), the limit of specific heat is equal zero only in very high-temperatures (β → 0). In very low-temperatures (β → ∞), for different values of γ, this limit depends on the value of the parameter q. When q is around 1, we obtain the well know third thermodynamic law.

  • On the other hand, in the range of high temperatures (β → 0), we have C → 0 : this situation, for all canvas, can be argued to the existence of saturation of spectrum of energy for this type of potential, i.e., the energy-dependent potential. So, all curves, exhibit a transition phase between the growth phase, and the socalled saturation phase. In our best knowledge, this phenomena do not treated and discussed in the literature.

Recently, the superstatistical of the one-dimensional Dirac oscillator has been well studied [7]. Although arguments of the validity of applicability of law thermodynamics in superstatistics for both Dirac and Klein-Gordon equations are the same, the difference is very clear. The reason for this is twofold:

  • This study in question is devoted to the case of the onedimensional Dirac oscillator describing fermionic particles without energy-dependent potentials.

  • Although the eigenvalues of one-dimensional Dirac oscillator with energy-dependent potentials have the same form of energy as those for our considered case, the situation is not the same: the probability density, in this case, is given by [3]

ρ=ψ-γ0(1-VE)ψ. (33)

which ψ is a spinor, not a scalar. This definition is very different from the case of the Klein-Gordon equation (see Eq. (A.17)), which describing the bosonic particles.

In conclusion, in order to understand well the influence of the parameter of q of our Superstatistics formalism on the thermal properties of our oscillator, we choose the lowest values of the parameter γ. This parameter contains all information about the potentials which depend on energy.

4. Conclusion

In this work, we studied the influence of energy-dependent potentials on the thermodynamic quantities of a onedimensional Klein-Gordon oscillator. The variation of these functions vs β have been given in the figures. We have obtained the variation of thermal functions such as the free energy, the entropy, and the specific heat with β, and also discussed the results for high temperatures for different values of γ.

Also, we considered the Superstatistics of the statistical mechanics of 1D-(KGO). We derived, by using the form of the energy spectrum of this oscillator, the partition function of our problem in question. In the framework of the applicability of this formalism, which imposes that the Superstatistics formalism can only be applied if you have sufficient time scale separation in the complex system. So, we show the existence of a mapped of the superstatistical non-equilibrium system onto an equilibrium system of ordinary statistical mechanics exists. This mapped allows us to tell that it is possible to do ordinary statistical mechanics for this superstatistical non-equilibrium system, with all the known formulas.

In our case, we have used (i) this mapping to determinate the Superstatistics of our problem in question, and (ii) choice a function f(β) following a Gamma distribution which is defined by Eq. (2). Now, by using this function, we have calculated at first the generalized Boltzmann factor, B (E), and consequently the desired partition function for our problem Z (β). According to this function, all thermodynamic properties such as mean energy, Helmholtz free energy, entropy, and the specific heat have been determinate: as a result we observe that phenomena of saturation in the curve of specific heat appear only in the lowest values of γ (in our case γ = −0.1) and when the parameter of our Superstatistics formalism q → 1. Finally, the limit of specific heat is equal to zero only in very high-temperatures β → 0. In very lowtemperatures (β → ∞), for different values of γ, this limit depends on the value of the parameter q. When q is around 1, we obtain the well-known third thermodynamic law. In the range of high temperatures (β → 0), we have (C → 0). This situation, can be argued to the existence of saturation of the spectrum of energy for this type of potential, i.e., the energydependent potential. So, all curves, as in the non-relativistic limit, exhibit a transition phase between the growth phase and the so-called saturation phase.

Acknowledgments

The authors would like to thank Prof Lyazid Chetouani, University of Constantine, Algeria, for his communication about the modified product scalar in the Klein-Gordon equation.

It is a great pleasure for the authors to thank the referee for helpful comments. This work was fully supported by the “Direction Générale de la Recherche Scientifique et du Développement Technologique (DGRSDT)” of Algeria as a part of PRFU B00L02UN120120200001.

References

1. H. Snyder and J. Weinberg, Phys. Rev. 57 (1940) 307; I. Schiff, H. Snyder and J. Weinberg, Phys. Rev. 57 (1940) 315. https://doi.org/10.1103/PhysRev.57.307 https://doi.org/10.1103/PhysRev.57.315 [ Links ]

2. A. M. Green, Nucl. Phys. 33 (1962) 218. https://doi.org/10.1016/0029-5582(62)90521-7 [ Links ]

3. H. Sazdjian, J. Math. Phys. 29 (1988) 1620. https://doi.org/10.1063/1.527910 [ Links ]

4. J. Formanek, J. Mares and R. Lombard, Czech. J. Phys. 54 (2004) 289. https://doi.org/10.1023/B:CJOP.0000018127.95600.a3 [ Links ]

5. A. Boumali, S. Dilmi, S. Zare and H. Hassanabadi, K. Int. J. Mod. Sci (2017) 191. https://doi.org/10.1016/j.kijoms.2017.09.001 [ Links ]

6. A. Boumali, and M. Labidi, Mod. Phys. Letters A 33 (2018) 1850033. https://doi.org/10.1142/S0217732318500335 [ Links ]

7. A. Boumali, F. Serdouk and S. Dilmi, Physica A 553 (2020) 124207. https://doi.org/10.1016/j.physa.2020.124207 [ Links ]

8. H. Touchette, and C. Beck, Phys. Rev. E 71 (2005) 016131. https://doi.org/10.1103/PhysRevE.71.016131 [ Links ]

9. C. Beck, Braz. J. Phys. 39 (2009) 357. http://dx.doi.org/10.1590/S0103-97332009000400003 [ Links ]

10. C. Tsallis, Andre, and M.C. Souza, Phys. Rev. E 67 (2003) 026106. https://doi.org/10.1103/PhysRevE.67.026106 [ Links ]

11. C. Beck, Phil. Trans. R. Soc. A 369 (2011) 453. https://doi.org/10.1098/rsta.2010.0280 [ Links ]

12. G. Andrews, R. Askey, and R. Roy, Special Functions Cambridge University Press, Cambridge, 1999. [ Links ]

13. M. H. Pacheco, R. R. Landim and C. A. S. Almeida, Phys. Lett. A 311 (2003) 93. https://doi.org/10.1016/S0375-9601(03)00467-5 [ Links ]

14. M. H. Pacheco, R. Valuf, C. A. S. Almeida and R.R. Landim, Eur. Phys. Lett. 108 (2014) 10005. https://doi.org/10.1209/0295-5075/108/10005 [ Links ]

15. V. Santos, R. V. Maluf, and C. A. S. Almeida, Ann. Phys. 349 (2014) 402. https://doi.org/10.1016/j.aop.2014.07.005 [ Links ]

16. A. Arda, C. Tezcan and R. Sever, Pramana J. Phys 39 (2017) 88. https://doi.org/10.1007/s12043-016-1347-y [ Links ]

17. A. Arda, C. Tezcan and R. Sever, Few-Body Syst 57 (2016) 93. https://doi.org/10.1007/s00601-015-1031-7 [ Links ]

18. A. Boumali and H. Hassanabadi, Eur. Phys. J. Plus 128 (2013) 124. https://doi.org/10.1140/epjp/i2013-13124-y [ Links ]

19. C. Tsallis, J. Stat. Phys. 52 (1988) 479. https://doi.org/10.1007/BF01016429 [ Links ]

20. C. Tsallis, R.S. Mendes, and A.R. Plastino, Physica A 261 (1998) 534. https://doi.org/10.1016/S0378-4371(98)00437-3 [ Links ]

21. C. Tsallis, Braz. J. Phys. 29 (1999) 1. https://doi.org/10.1590/S0103-97331999000100002 [ Links ]

22. C. Tsallis, in: S. Abe, and Y. Okamoto (Eds.), Nonextensive Statistical Mechanics and its Applications, Springer, Berlin, 2001. [ Links ]

23. C. Tsallis, Introduction to Nonextensive Statistical Mechanics, (Springer, 2009). [ Links ]

24. C. Beck and E.G.D. Cohen, Physica A 322 (2003) 267. https://doi.org/10.1016/S0378-4371(03)00019-0 [ Links ]

25. E. G. D. Cohen, Physica D. 139 (2004) 35. [ Links ]

26. S. Abe, Cent. Eur. J. Phys. 7 (2009) 401. https://doi.org/10.2478/s11534-008-0149-3 [ Links ]

27. S. Sargolzaeipor, H. Hassanabadi, and W.S. Chung, Eur. Phys. J. Plus 133 (2018) 157. https://doi.org/10.1140/epjp/i2018-12006-2 [ Links ]

28. S. Sargolzaeipor, H. Hassanabadi and W. S. Chung, Mod. Phys. Lett A 33 (2018) 1850060. [ Links ]

29. U. S. Okorie, A. N. Ikot, G. J. Rampho and R. Sever, Commun. Theor. Phys. 71 (2019) 1246-1252. [ Links ]

30. A.N. Ikot, U.S. Okorie, C.A. Onate, M.C. Onyeaju, and H. Hassanabadi, Can. J. Phys. 1-6 (2018). [ Links ]

31. H. Sobhani, H. Hassanabadi, and W.S. Chung, Eur. Phys. J. C, 78 (2018) 106. https://doi.org/10.1088/0253-6102/71/11/1301 [ Links ]

32. S. Sargolzaeipor, H. Hassanabadi and W.S. Chung, Eur. Phys. J. Plus 133 (2018) 125. https://doi.org/10.1140/epjp/i2018-11962-7 [ Links ]

33. S. Sargolzaeipor, H. Hassanabadi and W.S. Chung, Eur. Phys. J. Plus 133 (2018) 5. https://doi.org/10.1140/epjp/i2018-11827-1 [ Links ]

34. J. David. Castaño-Yepes and D. A. Amor-Quiro, Physica, A 548 (2020) 123871. https://doi.org/10.1016/j.physa.2019.123871 [ Links ]

35. S. Kim, W. S. Chung and H. Hassanabadi, Eur. Phys. J. Plus 134 (2019) 572. https://doi.org/10.1140/epjp/i2019-13082-4 [ Links ]

36. W. S. Chung and H. Hassanabadi, Mod. Phys. Lett. A (2019) 2050074. https://doi.org/10.1142/S0217732320500741 [ Links ]

37. W. S. Chung and H. Hassanabadi, Mod. Phys. Lett. A (2020) 2050147. https://doi.org/10.1142/S0217732320501473 [ Links ]

38. W. S. Chung and H. Hassanabadi, Fortschr. Phys. (2019) 1800111. https://doi.org/10.1016/j.physletb.2019.04.063/ https://doi.org/10.1140/epjc/s10052-019-6718-3 [ Links ]

39. A. Guha and K. D. Prasanta, Phys. A 495 (2018) 18. [ Links ]

Appendix

A. Modified product scalar in the Klein-Gordon equation

Let us examine this problem of normalization by considering the Klein-Gordon equation [3]

2ψt2-Δψ+m2ψ+V(r,it)ψ=0, (A.1)

and its complex conjugate

2ψ*t2-Δψ*+m2ψ*+V(r,-it)ψ*=0 (A.2)

When we multiply these two equations multiplied by ψ and ψ respectively, and after a subtraction we obtain

t(ψψ*t-ψ*ψt)+(ψ*ψ-ψψ*)

+ψ{V(r,-it)ψ*}

-ψ*{V(r,it)ψ}=0. (A.3)

By using that

f(t)=ttdsf(s), (A.4)

and to obtain the continuity equation (∂ρ/∂t)+(∂j/∂x) = 0, with j = ψ ψψψ , we have

t[ψψ*t-ψ*ψt+tds

×[ψ(r,s){V(r,-is)ψ*(r,s)}

-ψ*(r,s){V(r,is)ψ(r,s)}]]

+(ψ*ψ-ψψ*)=0. (A.5)

Here the density ρ is written as

ρ=1i{ψψ*t-ψ*ψt+tds

×[ψ(r,s){V(r,-is)ψ*(r,s)}

-ψ*(r,s){V(r,is)ψ(r,s)}]}. (A.6)

As we have that Z

d3rρ=1, (A.7)

so

d3r1i[ψψ*t-ψ*ψt+tdstds

×[ψ(r,s){V(r,-is)ψ*(r,s)}

-ψ*(r,s){V(r,is)ψ(r,s)}]]=1, (A.8)

is the exact expression of normalization.

Putting now that

ψ(r,t)=dEaEφE(r)e-iEt, (A.9)

ψ*(r,t)=dE'aE'*φE'*(r)e+iE't (A.10)

so we have

iρ=idEdE'aE'*aEφE(r)φE'*(r)

×[e-i(E-E')t(E'+E)

-{e-i(E-E')tE'-E+Cte}

×{V(r,E')-V(r,E)}]. (A.11)

Now, if we choose that

aE=δ(E-E0), (A.14)

aE'=δ(E'-E0), (A.13)

and after a limit development of V with

V(r,E')=V(r,E)+(E'-E)V(r,E)E

+12(E'-E)22V(r,E)E2+..., (A.14)

Eq. (A.11) becomes

iρ=idEdE'δE-E0δE'-E0φErφE'*r

×e-iE-E't[E'+E-Vr,EE-12(E'-E)

×2V(r,E)E2+]+Cte[(E'-E)V(r,E)E

+12(E'-E)22V(r,E)E2+.] (A.15)

After integration on E and E 0, we arrive at the final result

ρ=φE0(r)φE0*(r){2E0-V(r,E0)E0}, (A.16)

and the condition of normalization becomes

d3rφE0(r)φE0*(r){2E0-V(r,E0)E0}=1. (A.17)

B. The eigensolutions of 1D Dirac oscillator with energy-dependent potential

The free Dirac equation is:

[α(p-iλγ0x)+γ0]ψ=Eψ. (B.1)

where λ=1+γE, α = σ x and γ 0 are the Dirac matrices. These matrices are given by

σx=(0110),γ0=σz=(100-1). (B.2)

From (B.1) we get a set of coupled equations as follows:

(px-iλx)ψ1=(E+1)ψ2, (B.3)

(px+iλx)ψ2=(E-1)ψ1. (B.4)

Using (B.4) we have

ψ2=(px-iλx)(E+1)ψ1 (B.5)

Putting (B.5) into (B.3), we get

(px+iλx)(px-iλx)ψ1=(E2+1)ψ1 (B.6)

In the presence of a potential with energy-dependent potential, (B.6) changes into

(px22+12λ2x2)ψ1(x,E)

=(E2-1+λ2)ψ1(x,E) (B.7)

the Eq. (B.7) is the standard equation of a harmonic oscillator in one-dimensional. The energy levels are well-known, and are given by

E4-2E2-4γn2E-4n2+1=0, (B.8)

and the wave functions is

ψ1(x,E)=CnHn(λx)exp(-λ2x2). (B.9)

The total associated wave function is

ψ(x,E)=Cn(1(px-iλx)(E+1))

×Hn(λx)exp(-λ2x2) (B.10)

where C n is the normalization constant, and H n is the Hermite polynomial

Cn2=λπ(2nn!(1-γ2λ(n+12))+(2nλ(E+1))2

×2n-1(n-1)!(1-γ2λ(n-12)))-1. (B.11)

Received: April 15, 2020; Accepted: July 31, 2020

Creative Commons License This is an open-access article distributed under the terms of the Creative Commons Attribution License