SciELO - Scientific Electronic Library Online

 
vol.65 número2A heterocyclic compound 5-acetyl-2,4-dimethylthiazole, spectroscopic, natural bond orbital, nonlinear optical and molecular docking studiesStudy of thermal properties on the different layers composing a commercial ceramic tile índice de autoresíndice de materiabúsqueda de artículos
Home Pagelista alfabética de revistas  

Servicios Personalizados

Revista

Articulo

Indicadores

Links relacionados

  • No hay artículos similaresSimilares en SciELO

Compartir


Revista mexicana de física

versión impresa ISSN 0035-001X

Rev. mex. fis. vol.65 no.2 México mar./abr. 2019  Epub 17-Abr-2020

https://doi.org/10.31349/revmexfis.65.116 

Investigación

Role of the cut-off function for the ground state variational wavefunction of the hydrogen atom confined by a hard sphere

R.A. Rojasa 

N. Aquinoa  * 

a Departamento de Física, Universidad Autónoma Metropolitana-Iztapalapa, Avenida San Rafael Atlixco 186, Col. Vicentina, Iztapalapa, México D. F. 09340, México.


Abstract

A variational treatment of the hydrogen atom in its ground state, enclosed by a hard spherical cavity of radius Rc, is developed by considering the ansatz wavefunction as the product of the free-atom 1s orbital times a cut-off function to satisfy the Dirichlet boundary condition imposed by the impenetrable confining sphere. Seven different expressions for the cut-off function are employed to evaluate the energy, the cusp condition, the Shannon entropy, r-1, r, r2, and the critical cage radius, as a function of Rc in each case. We investigate which of the proposed cut-off functions provides best agreement with available corresponding exact calculations for the above quantities. We find that most of these cut-off functions work better in certain regions of Rc, while others are identified to give bad results in general. The cut-off functions that give, on average, better results are of the form (1-(r/Rc)n), n=1, 2, 3.

Keywords: Confined hydrogen atom; cut-off function; Dirichlet boundary conditions

PACS: 31.15.B; 31.15.ac; 31.15.xt

1. Introduction

In the middle 1930’s, shortly after the formulation of quantum mechanics, Michels, de Boer and Bijl [1] proposed to study how the polarizability of the hydrogen atom would change when subjected to high pressures. They developed a model consisting of a hydrogen atom with its nucleus centrally located inside a confining impenetrable sphere of radius Rc. The impenetrable character of the sphere boundary represents, as first approximation, the repulsive potential due to all negative charges surrounding the hydrogen atom [2]. Under these conditions, the wavefunction of the particle must vanish at the walls, satisfying the Dirichlet boundary condition. This simple model predicted qualitative results that explain some experimental results and, over the years, it became one of the most successful models about the study of confined quantum systems [2,10]. Confined quantum systems are used to study a great variety of problems of physics and chemistry [1-20]. For example, the effects on electronic structure of atoms and molecules trapped in fullerenes [13] and in other microscopic cavities, the study of artificial systems built within semiconductors, such as quantum wells, wires, and dots [11,12,14]. Other applications for confined quantum systems are: the study of specific heat of a crystal subjected to an external pressure [15], spectroscopic data for astrophysics [16], matter inside electromagnetic fields [17], nuclear models [18], etc.

The model of the confined hydrogen atom proposed by Michels et al. [1], is the following: a hydrogen atom is boxed in a spherical impenetrable cavity with the nucleus clamped at the center of the sphere, and the electron is moving within the volume of the sphere. The impenetrable walls impose Dirichlet condition over the wave functions on the surface δΩ of the sphere.

ψ(r)|rδΩ=0

This simple model has been widely used to test new techniques to solve the Schrödinger equation (exact solutions) or to explore new trial variational wavefunctions to compare with the most accuarte calculations [10]. One of the approximate methods is the direct variational method (DVM), in which the trial wavefunction is constructed as the product of a wave function, similar to the wave function of the free (unbounded) system, times a non-singular function fcut, which vanishes on the boundary of the box δΩ.

The selection of the cut-off term fcut in the literature has been arbitrary. Some authors have used different forms of cut-off function: linear [5-7], exponential [19], or (1-r/Rc)n, where n is a positive integer number [20], etc. On the other hand, to our knowledge there is no systematic study about the effect of the cut-off function on the energy of the confined hydrogen atom, obtained in a variational way.

The objetive of this work is to explore several criteria to decide which of the cut-off functions is the best. We tested seven trial wavefunction constructed as a product of the free 1s hydrogen-like orbital times seven different cut-off function fcut. We compared the calculated physical quantities with the exact ones [9,10,33] to decide which of the trial wavefunctions give the best aproximations.

The organization of this work is as follows: in Sec. 2 we present the methodology used to solve the confined hydrogen atom (CHA) problem within spherical impenetrable cavity using the direct variational method. We used seven different cut-off functions to compute the ground state energy and several expectation values of r as functions of the confinement radius. In Sec. 3 we compute the Shannon entropy in coordinate space for the different trial wave functions of Sec. 2. In Sec. 4 we compare the results obtained by using the different trial wave functions with the accurate numerical results [9-10,33]. Finally in Sec. 5 we give our conclusions.

2. The ground state energy of the CHA by using different cut-off functions

The Hamiltonian of the confined hydrogen atom, in atomic units, is given by

H=-122-1r+Uc(r)Uc(r)={0,rRc,r>Rc (1)

In the DVM, the ground state wavefunction ψt of the CHA is the product of a function ψf, similar to the 1 s orbital of the free hydrogen atom, times a nonsingular cut-off function fcut, such that fcut(r=Rc)=0 .

ψt=ψffcut. (2)

In this way ψt satisfies the Dirichlet boundary condition of the problem

ψt(r=Rc,θ,φ)=0. (3)

We propose the wave function ψf as the 1 s hydrogen-like wavefunction:

ψf(r)=Ae-αr, (4)

where A is the normalization constant and α is the variational parameter.

The trial wavefunction for the ground state of the CHA, with its nucleus clamped at the origin of a sphere of radius Rc is given by:

ψt(r,θ,φ)=Ae-αrfcut(r), (5)

This function must be a decreasing function of r in the interval [0, Rc] and it is valid for negative and positive energy values.

We use this trial wave function (5) and the variational method to minimize the energy functional E(α), wich is given by:

E(α)=ψt|H|ψtψtψt, (6)

As we mentioned above the cut-off function fcut is, in principle, arbitrary. We selected seven different cut-off functions to evaluate the quality with which they reproduce the energy of the CHA ground state and several expectation values of r. The following seven trial wavefunctions are constructed by using the rule given by the Eq. (5) :

  • I. e-αr1-rRc.

  • II. e-αr1-rRc2.

  • III. e-αr1-rRc3.

  • IV. e-αr1-rRc4.

  • V. e-αr1-rRc2.

  • VI. e-αrj0x10Rcr.

  • VII. e-αrc1j0X10Rcr+c2j0X20Rcr,

where j0 is the zeroth-order spherical Bessel function. X10=π and X20=2π are the first and second zeros of the spherical Bessel function, c1 and c2 are linear variational parameters, respectively. j0 is the wave function, with angular momentum l=0, of the free particle in a spherical impenetrable box. The wave functions j0(X10/Rcr) and j0(X20/Rcr), are the gound state and the first excited state wave function of the free particle in a box, respectively. The wavefunction VII is the linear superposition of the two linearly independent wavefunctions.

We must note that all the differences in the calculated values of physical properties are due to the kind of cut-off function used.

According to the variational theorem, we must calculate the expectation value of the energy using the trial wavefunction. Thus, because of the symmetry of the problem, the integrals we need to calculate are:

ψt|H|ψt=ψt|T|ψt+ψt|V|ψtψt|ψt (7)

Where

ψt|V|ψt=-0Rc[e-αrfcut(r)]2rdr, (8)

ψt|T|ψt=-120Rce-αrfcut(r)×{1r2ddr[r2ddr(e-αrfcut(r))]}r2dr, (9)

and the overlap integral is given by

ψt|ψt=-0Rc(e-αrfcut(r))2 (10)

The energy functional as a function of the variational parameter α for a given confinement radius Rc is the following:

Evar(α;Rc)=ψt|H|ψt. (11)

Minimizing Evar respect α for a fixed value of Rc, we find an upper limit for the ground state energy E of the CHA.

Most of the integrals involved in the calculation of the energy functional (11) are obtained in analytical form, except for the cut-off functions VI and VII. In order to minimize the energy functional, it is necessary to fix the value of Rc and vary α. We used the program Mathematica 9 and the command FindMinimum to obtain the minimum of Eq. (11) for each value of Rc. The optimum values of the energy for every trial wavefunction as a function of Rc are shown in Table I. We also show the most accurate energy values [10], which we will call “the exact values”.

TABLE I Ground state energy for the CHA, with seven different trial wavefunctions (see the text) by means of the variational method. These results are compared with the exact value [10]. Distances are in Bohrs, while energies are in Hartrees. 

Rc I II III IV V VI VII Exact value
0.5 14.8971 14.8152 14.8774 15.0390 16.1512 14.7621 14.7619 14.7480
0.6 9.6180 9.5657 9.6056 9.7117 10.4975 9.5419 9.5416 9.5277
0.7 6.5272 6.4921 6.5190 6.5924 7.1791 6.4842 6.4839 6.4699
0.8 4.5808 4.5565 4.5752 4.6279 5.0838 4.5577 4.5574 4.5434
0.9 3.2870 3.2699 3.2831 3.3220 3.6873 3.2765 3.2762 3.2622
1 2.3906 2.3784 2.3878 2.4170 2.7168 2.3884 2.3880 2.3740
1.2 1.2767 1.2705 1.2753 1.2924 1.5053 1.2838 1.2833 1.2693
1.5 0.4388 0.4371 0.4384 0.4464 0.5861 0.4515 0.4508 0.4370
1.7 0.1396 0.1394 0.1395 0.1441 0.2541 0.1535 0.1527 0.1391
2 -0.1250 -0.1240 -0.1249 -0.1232 -0.0431 -0.1108 -0.1118 -0.1250
3 -0.4225 -0.4206 -0.4224 -0.4237 -0.3902 -0.4116 -0.4132 -0.4240
4 -0.4811 -0.4796 -0.4811 -0.4824 -0.4670 -0.4741 -0.4760 -0.4833
5 -0.4947 -0.4937 -0.4948 -0.4956 -0.4884 -0.4906 -0.4924 -0.4964
6 -0.4982 -0.4976 -0.4983 -0.4988 -0.4953 -0.4959 -0.4974 -0.4993
7 -0.4993 -0.4989 -0.4994 -0.4996 -0.4978 -0.4979 -0.4990 -0.4999
8 -0.4997 -0.4995 -0.4997 -0.4999 -0.4989 -0.4988 -0.4996 -0.5000
9 -0.4998 -0.4997 -0.4999 -0.5000 -0.4994 -0.4993 -0.4998 -0.5000
10 -0.4999 -0.4998 -0.4999 -0.5000 -0.4996 -0.4996 -0.4999 -0.5000

3. The Shannon entropy

The Shannon entropy in coordinate space is defined as [27,28]

Sr=Rc0d3r|ψt|2ln|ψt|2, (12)

where ψt is normalized to one. We must remember that the trial wavefunction has the following form ψt=Ae-αrfcut(r)Y00(θ,φ), where A is the normalization constant and Y00(θ,φ)=1/4π.

Gadre et al. used the Shannon entropy as a measure of the quality of the basis set for free atomic and molecular systems [27,28]. In their calculations they constructed a wave function as a linear combination of functions from a basis set. They observed that, on having increased the number of functions of the basis set, the constructed wavefunction approaches better the exact wavefunction of the system, and the Shannon entropy increases approaching the Shannon entropy of the exact wavefunction [9-10,33]. According to the Maximum Entropy Principle due to Jaynes [29] one must choose the trial wavefuntion whose Shannon entropy is the highest among a set of functions that satisfy the appropriate constraints of the system. In this way, Shannon entropy could offer an alternative form to determine the quality of the trial wavefunction for confined systems.

4. Results

The optimized energies as a function of Rc for every trial wave function, appears in the Table I. We also calculate the relative percentage error defined in the following way:

Erel=E-EexactEexact×100. (13)

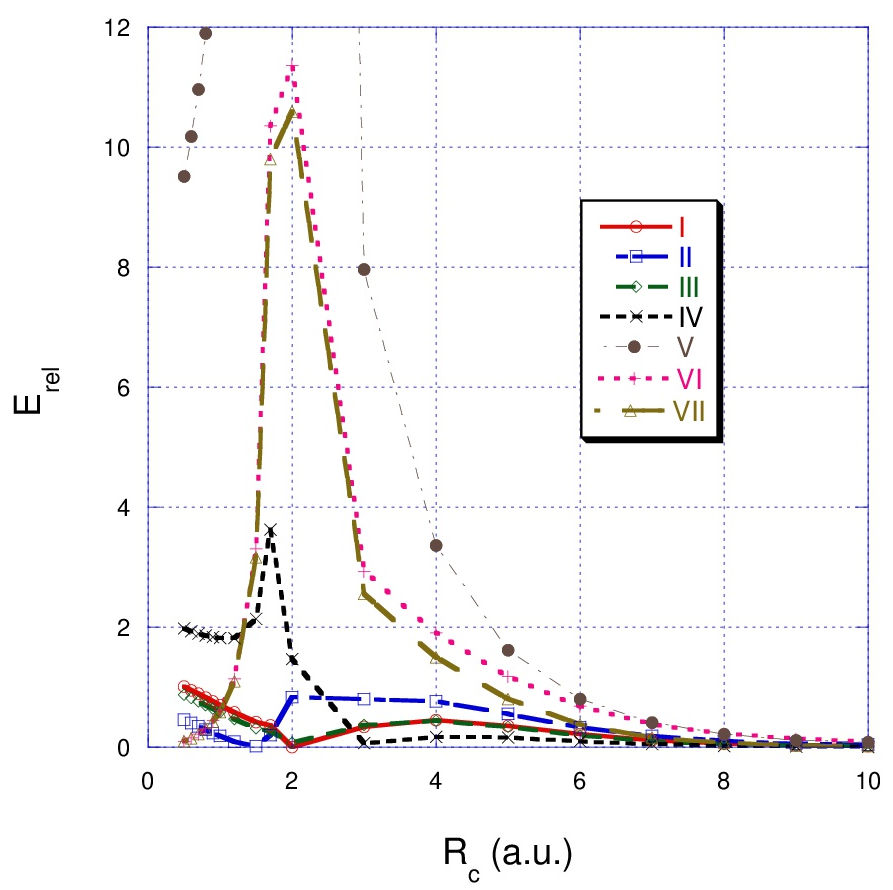
This quantity, Erel, is always positive because the energy calculated in a variational way E is always greater than the exact energy [9-10,33]. In Fig. 1 we plotted Erel vs Rc for every trial wavefunction considered in this work.

From Table I, we see that for confinement radii less than 1.0 au, the trial wavefunction VI gives the lowest energy with, fcut(r)=j0((X10r/Rc). This can be understood because in the strong confinement regime the system behaves like a free particle inside an impenetrable spherical box [25] whose radial wavefunctions are precisely the spherical Bessel functions [26]. For confinement radii between 0.8 and 1.7 au, the trial wavefunction II gives the lowest energy. From Fig. 1 we can observe that the wavefunctions VI and VII produce an overestimation of the energy in a neighborhood of Rc=2 au. We also can observe that the trial wavefunction IV overestimates the ground state energy for Rc<2 au.

Figure 1 Relative percentage error in the ground state energy of CHA produced by the seven different trial wavefunctions as a function of the confinement radius Rc. The wavefunction V gives the mayor errors. Whereas the wavefunctions V and VI give the lowest errors for the strong confinement. 

As we can see from the Fig. 1, every trial wavefunction has a region in Rc at which it approaches better to the exact energy [9-10,33]. Nevertheless, the trial wavefunctions I - III are those that predict energies nearer to the exact value [9-10,33]. The wavefunction V gives the largest error in the region 0.5Rc4.

Finally, for Rc larger than 2.0 au all trial wavefunctions give good estimations for the ground state energy. This behavior is shown graphically in Fig. 1.

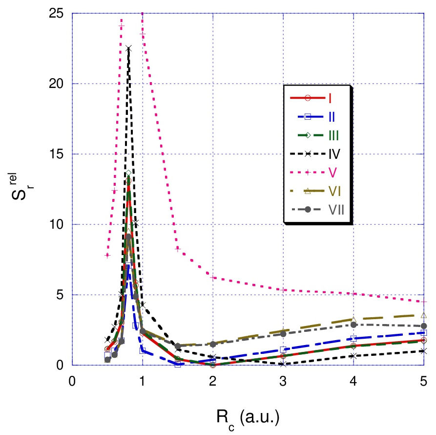
We calculated the Shannon entropy for each of the trial wavefunctions. The Shannon entropy for all trial wavefunctions have smaller values than the Shannon entropy for the exact wavefunction [9-10, 33]. We define the Shannon entropy relative error Srrel as follows:

Srrel=Srexact-SrtrialSrexact×100, (14)

where Srexact and Srtrial, are the Shannon entropy for the exact wavefunction [9-10,33] and for any trial wavefunction, respectively. In the Fig. 2 we show the relative error Srrel for each of the trial wavefunctions. For the region, 0.5<Rc<0.8 au, the trial wavefunctions that have values closer to the exact Shannon entropy [32] are I - III and VI - VII. While in the region 0.8<Rc<2 au, the trial wavefunctions with less error are I - III. For values, Rc>2 au, the trial wavefunction IV has the lowest errors. Whereas the wavefunction V produces the largest errors. The maximum error produced by the all wavefunction are reached near the Rc=0.8.

Figure 2 Relative percentage error in the Shannon entropy, for the CHA ground state produced by the seven different trial wavefunctions as a function of the confinement radius Rc. The wavefunction IV produces the lowest error for Rc>2, whereas the wavefunction V produces the highest error. 

In the interval, [0.5,1.5], trial wavefunction II that produces small errors on the prediction of the Shannon entropy and in the energy whereas the function IV has similar behavior in for Rc>5 au. We conclude that the Gadre’s conjecture is not a good criterion to decide the quality of the trial wavefunctions.

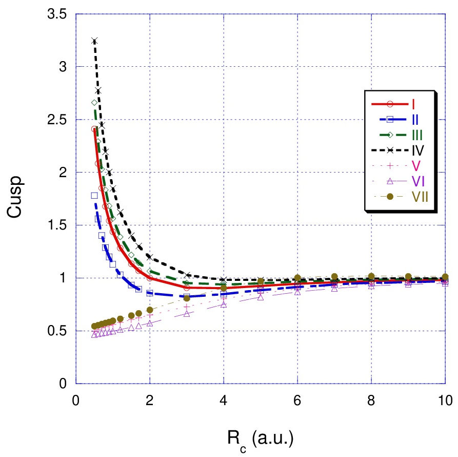
In Fig. 3 we show the cusp condition at the origin of the trial wavefunctions I-VII as a function of Rc. The cusp condition at the origin of the exact wavefunction for CHA is equal to 1. Accordingly, the best trial wavefunction will be the one with the cusp closer to 1. As we can see, for large confinement radius all functions satisfy this requirement. However, as the confinement radius Rc decreases the cusp condition for all trial functions start to move away from 1. In the region, Rc2 au, this difference begins to be noticeable. The wavefunctions V, VI and VII are those closer to one, reaching a value of 0.5 at Rc0.5 au. The cusp values for the rest of the trial functions are not good, few of them having a cusp value greater than 1.5, as for example, the wavefunction I, II and IV at, Rc0.5 au.

Figure 3 The cusp condition of CHA produced by the seven different trial wavefunctions as a function of the confinement radius Rc

These two criteria, the Shannon entropy and the cusp condition, are not sufficient to decide which of trial wavefunctions approximates better to the exact one. To try to give a clearer answer to this question, we need to compute few expectation position values by using the trial wave functions I-VII and comparing those results with the exact ones.

The position expectation values are given by:

rn=ψt|rn|ψtψt|ψt=Rc0(e-αrfcut(r))2rn+2drRc0(e-αrfcut(r))2r2dr,nZ, (15)

whereas the relative error is the following:

Errorrn=rn-rnexactornexacto×100. (16)

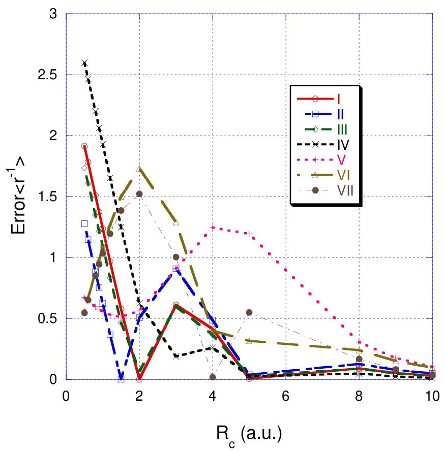
The relative error for n=-1, 1 and 2 are shown in Figs. 4-6. In Fig. 4 we show the relative error in the calculation of the expectation value r-1 as a function of the confinement radius, Rc, for all wavefunctions I-VII. Fora confinement radius of Rc=0.5 au all the trial wavefunctions give errors between 0.5% to 2.5%, the wavefunctions V-VII have the lowest relative error. However, as the radius, Rc, increases the percentage error produced by those trial wavefunctions also increases up to a maximum value of about 1.6%. Whereas, the trial wavefunction I-III give errors smaller than 1.5% at, 1<Rc<2 au.

Figure 4 Relative percentage error of r-1 produced by the seven different trial wavefunctions as a function of the confinement radius Rc

Figure 5 Relative percentage error of r produced by the seven different trial wavefunctions as a function of the confinement radius Rc. The mayor error is produced by the wavefunctions V and VI for Rc>2 au. 

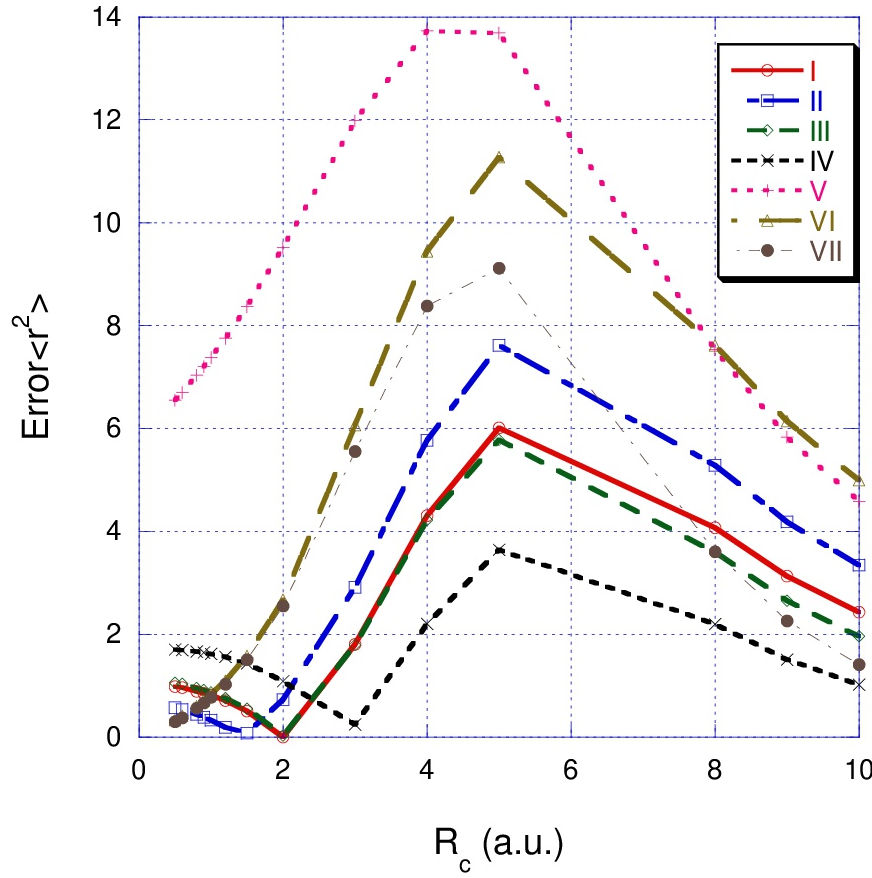
Figure 6 Relative percentage error of r2 produced by the seven different trial wavefunctions as a function of the confinement radius Rc. The mayor error is produced by the wavefunction V. 

In the region, 1Rc2 au, the trial wavefunction II produces the lowest error of r-1. For the region Rc>2 au, in general, the best results are obtained with the trial wavefunction I and III. The function IV has the highest relative error for Rc<2 au. The trial wavefunction V produces unsatisfactory results for 2Rc8 au.

Regarding the relative error of r we see that in the region, 0Rc2 au, all functions except the function of type V, produce very small errors. In the region, 2Rc4 au, the trial wavefunction VI produces an error which can reach more than 10%. For the region Rc>2 the trial wavefunctions I-IV and VII produce errors less than 4%. While the functions V and VI have the larger errors.

For the relative error of r2 as a function of Rc we found the following features. In the region, 0Rc2 au, all functions except the function V produce errors lower than 2%. For the region Rc>2 au the functions VI and VII produce the largest errors, between 9-12%, around, Rc=5 au, and the error tends to diminish as Rc grows. While the functions I-IV have errors lower than 8%, and those errors tend to diminish fast as Rc increases. The larger error is produced for the function V.

On the other hand, there exist two additional criteria to test the variational trial wave functions I-VII. They are: the critical cage radius [30,32,34,36-37] and a degeneracy which results from choosing the radius of confinement Rc exactly at nodes of the free hydrogen wave functions [ 38-40].

The confinement radius at which the CHA total energy becomes zero is called the critical cage radius rc [30,34,36]. Sommerfeld and Welker [30], and recently Ley-Koo [37] showed that rc can be obtained as a function of the zeros of the Bessel function of first class J of order 2l+1.

rc=18(χi,2l+1)2, (17)

Where χi,2l+1 denotes the ith zero of J2l+1.

The exact value of the critical radius for the CHA ground state is equal to 1.8353. The critical radius predicted by the trial wave functions I-VII are: 1.83, 1.83, 1.79, 1.75, 1.69, 1.851 and 1.852, respectively. The wave functions I-III are the best to predict a critical cage radius.

Seven decades ago de Groot and ten Seldam [38] noted that each zero of the wave function, of some state of the free hydrogen atom, is a cage size Rc for the confined atom, and the latter has the same energy as the state of the former. For example, the 2s wave function of the free hydrogen atom has a node at r=2 au.[39-41] The ground state energy of the hydrogen atom confined in a box Rc=2 au, is -1/8 au, that corresponds to the energy of the 2s state of the free hydrogen atom.

The wave function of the state 2s of the free hydrogen atom is

ψ2s=N(2-r)e-r/2=(2N)(e-r/2)1-r2, (18)

apart from the normalization, it is identical to the function I for Rc=2 and α=1/2.

The first node of the wave function of any given state of the free hydrogen atom gives a cage of size Rc, in which case the ground state of the CHA has the same energy as the free hydrogen atom. This argument can be extended for the identification of the excited states of the CHA. However, this procedure gives the ground state energy of the CHA only for particular values of Rc.

5. Conclusions

In this work we used the direct variational method to compute the ground state energy of the confined hydrogen atom in an impenetrable spherical box. In this approach, the trial wavefunction is constructed as the product of the 1s hydrogen-like (free) orbital times a cut-off function. Seven different cut-off functions were used for calculations of the energy, cusp condition, Shannon entropy, r-1, r, r2 and the critical cage radius as a function of Rc.

We found that there are regions of Rc for which certain trial wavefunctions predict a physical property with a small error, but in other regions the same wavefunctions predict it with a high error. For example, the trial wavefunctios VI and VII, predict energy values with small errors in the region of strong confinement, Rc<1, but large error in 1Rc3. On the other hand, the wavefunction I-III give small errors in the energy for the region Rc>2. It should be noted that the functions I and III behave in much the same way, but the calculations with the wavefunction of type I are more simple than those with the wavefunction of type III. The trial wavefunction V gives the larger errors in the estimation of the energy, and for this reason it is not recommended for this kind of computations.

Acording to the criterion on the degeneracy which results from choosing the confinement radius, Rc, on the radial node of the free wave function, the best function should be the wavefunction I. However, this is apparent because this wavefunction I does not behave as the wave function of the free particle, for small radii. A good trial wave function must behave as the wavefunction of a free particle in a box for small values of Rc and like a free 1s hydrogen wavefunction for large values of Rc.

The best wavefunction is one that reproduces all the physical properties of the system with the lowest error comparing with the exact ones. None of the wavefunctions studied in this work satisfy this definition. We can conclude that, the wavefunctions VI and VII are very useful for strong confinement (small Rc). For intermediate and large values of Rc wave functions of types I and II are the most recommendable.

One way to construct better trial wavefunctions for this problem consists in the inclusion of more radial terms and variational parameters in the radial wavefunction. For example, Varshni [22] improved wavefunction I, as follows:

ψ=1-rRce-αr(1+βr),

Where α and β are variational parameters.

Whereas, Montgomery [36] proposed a generalization of Varshni’s vawefunction:

ψ=1-rRce-αr(1+βr)e-αrpaprp

Where an, are linear variational parameters and α is a non-linear variational parameter.

The last trial wavefunction gives energy and other physical properties near to the exact ones [10]. We must note that Varshni [10] and Montgomery [36] used (1-(r/Rc)) as a cut-off function.

Acknowledgments

We thank S. A. Cruz and an anonymous referee for their usefull coments. One of us (RAR) is grateful to Universidad Autónoma Metropolitana for providing the through a PhD studies scholarship.

References

1. Michels, J. De Boer and A. Bijl, Physica 4 (1937) 981. [ Links ]

2. N. Aquino, Advances in Quantum Chemistry 57 (2009) 123. [ Links ]

3. J. Gorecki, W. Byers Brown, J. Phys. B: At. Mol. Opt. Phys. 20 (1987) 5953. [ Links ]

4. J. Gorecki , W. Byers Brown, J. Phys. B: At. Mol. Opt. Phys. 22 (1989) 2659. [ Links ]

5. J. L. Marín and S. A. Cruz, J. Phys. B: At. Opt. Phys. 24 (1991) 2899-2907. [ Links ]

6. Y.P. Varshni, J. Phys. B: At. Mol. Opt. Phys. 30 (1997) L589. [ Links ]

7. E. V. Ludeña, J. Chem. Phys. 66 (1977) 468. [ Links ]

8. A. Sarsa, E. Buendía and F. J. Gálvez, J. Phys. B: At. Mol. Opt. Phys. 47 (2014) 185 002. [ Links ]

9. N. Aquino , Int. J. Quantum Chem. 54 (1995) 107. [ Links ]

10. N. Aquino , G. Campoy and H. E. Montgomery, Int. J. Quantum Chem. 107 (2007) 1548. [ Links ]

11. P. Harrison, Quantum Wells, Wires and Dots: Theoretical and Computational Physics of Semiconductor Nanostructures, 2a Ed., John Wiley and Sons, Ltd., 2005. [ Links ]

12. T. Chakraborty, Quantum Dots: A survey of the properties of artificial atoms, (Elsevier, 1999). [ Links ]

13. J. Hernández-Rojas, J. Bretón, J. M. Gomez Llorente, J. Chem. Phys. 104 (1996) 1179. [ Links ]

14. Zhu, Y. C. Chang, Phys. Rev. B 50 (1994). [ Links ]

15. E. M. Corson, I. Kaplan, Phys. Rev. 71 (1947) 130. [ Links ]

16. S. Goldman, C. Joslin, J. Phys. Chem. 96 (1992) 6021. [ Links ]

17. M. Friedman, A. Rabinovitch, R. Thieberger, J. Comp. Phys. 33 (1979) 359. [ Links ]

18. R. J. Swenson, S. H. Danforth, J. Chem. Phys. 57 (1972) 1734. [ Links ]

19. Le Sech, A. Banerjee, J. Phys. B: At. Mol. Opt. Phys. 44 (2011) 105003. [ Links ]

20. A. Banerjee , C. Kamal, A. Chowdhury, Phys. Lett. A 350 (2006) 121. [ Links ]

21. J. Griffiths, Introduction to Quantum Mechanics, Prentice Hall (1995). [ Links ]

22. S. Saxon, Elementos de Mecánica Cuántica, Ed. Easo (1968). [ Links ]

23. Arfken, Mathematical Methods for Physicists, 3​a Ed., Academic Press Inc. (1985). [ Links ]

24. M. T. Yamashita, Revista Brasileira de Ensino de Fisica 30 (2008) 3312. [ Links ]

25. R. A. Rojas, Tesis de Maestría, (Universidad Autónoma Metropolitana-Iztapalapa, 2014). [ Links ]

26. A. S. Davydov, Quantum Mechanics, (Pergamon Press 1965). [ Links ]

27. S. R. Gadre, S. B. Sears, S. J. Chakravorty, R. D. Bendale, Phys. Rev. A 32 (1985) 2602. [ Links ]

28. M. Hô, R. P. Sagar, V. H. Smith Jr., R. O. Esquivel, J. Phys. B: At. Mol. Opt. Phys. 27 (1994) 5149. [ Links ]

29. E. Jaynes, Papers on Probability Statistics and Statistical Physics, Ed. Rosencrantz (Dordrecht: Reidel). [ Links ]

30. V. A. Sommerfeld and H. Welker, Annalen der Physik 5 (1938) 32. [ Links ]

31. D. Suryanarayana and J. A. Weil, J. Chem. Phys. 64 (1976) 510. [ Links ]

32. N. Aquino , A. Flores-Riveros and J. F. Rivas-Silva, Phys. Lett. A , 377 (2013) 2062. [ Links ]

33. E. Ley-Koo and S. Rubinstein, J. Chem. Phys. 71 (1979) 351. [ Links ]

34. Y. P. Varshni, J. Phys. B 31 (1998) 2849. [ Links ]

35. J. Garza, R. Vargas and A. Vela, Phys. Rev. E 58 (1998) 3949. [ Links ]

36. H. E. Montgomery , Jr. Int. J. Mol. Sci. 2 (2001) 103. [ Links ]

37. E. Ley-Koo , Advances in Quantum Chem. 57 (2009) 84. [ Links ]

38. S. R. de Groot and C. A. ten Seldam, Physica XII (1946) 669. [ Links ]

39. P. W. Fowler, Mol. Phys. 53 (1984) 865. [ Links ]

40. K. D. Sen, J. Chem. Phys. 122 (2005) 194324 and references therein. [ Links ]

41. H. E. Montgomery Jr. , N. Aquino andK. D. Sen , Int. Journal of Quantum Chem. 107 (2007) 798. [ Links ]

Received: July 23, 2018; Accepted: October 20, 2018

*e-mail: naa@xanum.uam.mx

Creative Commons License This is an open-access article distributed under the terms of the Creative Commons Attribution License