SciELO - Scientific Electronic Library Online

 
vol.62 número4Novel balanced diplexer with band design flexibilityHeat transfer over a stretching cylinder due to variable prandtl number influenced by internal heat generation/absorption: a numerical study índice de autoresíndice de materiabúsqueda de artículos
Home Pagelista alfabética de revistas  

Servicios Personalizados

Revista

Articulo

Indicadores

Links relacionados

  • No hay artículos similaresSimilares en SciELO

Compartir


Revista mexicana de física

versión impresa ISSN 0035-001X

Rev. mex. fis. vol.62 no.4 México jul./ago. 2016

 

Research

The Feng’s first integral method applied to the nonlinear mKdV space-time fractional partial differential equation

H. Yépez-Martínez a  

F. Gómez-Aguilar b   *  

I.O. Sosa a  

J.M. Reyes a  

J. Torres-Jiménez c  

aUniversidad Autónoma de la Ciudad de México, Prolongación San Isidro 151, Col. San Lorenzo Tezonco, Del. Iztapalapa, P.O. Box 09790 México D.F., México.

bCentro Nacional de Investigación y Desarrollo Tecnológico, Tecnológico Nacional de México, Interior Internado Palmira S/N, Col. Palmira, 62490, Cuernavaca, Morelos, México.

cProfesor de la Maestría en Ingeniería Eléctrica, Instituto Tecnológico Superior de Irapuato, Carretera Irapuato-Silao km 12.5 Colonia El Copal. Irapuato, Guanajuato, México.


Abstract:

In this paper, the fractional derivatives in the sense of the modified Riemann-Liouville derivative and the Feng’s first integral method are employed for solving the important nonlinear coupled space-time fractional mKdV partial differential equation, this approach provides new exact solutions through establishing first integrals of the mKdV equation. The present method is efficient, reliable, and it can be used as an alternative to establish new solutions of different types of fractional differential equations applied in mathematical physics.

Keywords: Feng’s first integral method; Jumarie modified Riemann-Liouville derivative; modified korteweg de-Vries equation; nonlinear fractional differential equations; analytical solutions

PACS: 02.30.Hq; 03.65.Fd; 04.20.Jb

1.- Introduction

Fractional differential equations are generalizations of classical differential equations of integer order. In recent years, nonlinear fractional differential equations (NFDEs) have gained considerable interest. It is caused by the development of the theory of fractional calculus itself but also by their applications in various sciences such in physics, biology, engineering, signal processing, system identification, control theory, finance and fractional dynamics and others areas 1-9. A special class of analytical solutions, the so-called traveling waves for nonlinear fractional partial differential equations (NFPDEs), is of fundamental importance because several physical models are often described by such wave phenomena. However, not all NFPDEs are solvable. As a result, recently new techniques have been successfully developed to construct new solutions for fractional nonlinear partial differential equations of physical interest, such as the Adomian decomposition method 10-11, the variational iteration method (14-15), the homotopy analysis method 12-13, the homotopy perturbation method 16-17, the Lagrange characteristic method 16-17, the fractional sub-equation method19, and so on.

In Ref. 20, Jumarie proposed a modified Riemann-Liouville derivative. With this kind of fractional derivative and some useful formulas, we can convert fractional differential equations into integer-order differential equations by variable transformation.

Feng 21 has introduced a reliable and effective method called the Feng’s first integral method to look for traveling wave solutions of NFPDEs. The basic idea of this method is to construct a first integral with polynomial coefficients by using the division theorem. This method in comparison with other methods has many advantages; it avoids a great deal of complicated and tedious calculation and provides exact and explicit traveling solutions with high accuracy. The Feng’s first integral method 22-25 can be used to construct the exact solutions for some time fractional differential equations.

Among the nonlinear PDEs there are some important examples of fundamental interest in mathematical-physical models. For example, some types of coupled Korteweg de-Vries (KdV). The coupled KdV equation describes, in a general form, competition between the weak nonlinearity and the weak dispersion in many physical systems. Since the first coupled KdV system was presented by Hirota and Satsuma in 1981 26 and have been carefully studied in Refs. 27 and28. Some important coupled KdV models have been proposed 29-30. In Ref. 31 the authors have introduced a 4 × 4 matrix spectral problem with three potentials for the Hirota-Satsuma coupled KdV equation by which the coupled modified Korteweg de-Vries (mKdV) equation was obtained as a new integrable generalization of the Hirota-Satsuma coupled KdV equation. In general the KdV coupled equation describes the interaction between two long waves with different dispersion relations. It is a non-linear equation that exhibits special solutions, known as solitons, which are stable and do not disperse with time 26.

Some kinds of coupled KdV equations have also been introduced in the literature, as a model describing two resonantly interacting normal modes of internal-gravity-wave motion in a shallow stratified liquid 32-33. In principle, many of other coupled KdV equations are introduced mathematically because of their integrability 34. Recently, some quite general coupled KdV equations have been derived in real physical areas, such as in two-layer fluid of atmospheric dynamical system 35 and in a two-component Bose-Einstein condensate 36. A quite general coupled mKdV equation in a two-layer fluid system has been used to describe the atmospheric and oceanic phenomena, and it has been derived by using the reductive perturbation method 37.

The present work investigates the applicability and effectiveness of the Feng’s first integral method to obtain new exact analytical solutions for the nonlinear space-time fractional coupled mKdV equation 31, which has been analyzed applying the sub-equation method in the integer order limit case, called the extended tanh-function method 38-40. We will show that the Feng’s first integral method allows to obtain new analytical solutions for the mKdV space-time fractional partial differential equation, that have not been obtained in previous works 41-43.

The paper is structured as follows, in Sec. 2 the modified Riemann-Liouville derivative and the Feng’s first integral method is presented, in Sec. 3 we present the applications and give conclusions in Sec. 4.

2.- The Modified Riemann-Liouville Derivative and the Feng’s First Integral Method

In this section we present the main ideas of the Feng’s first integral method. This method considers the Jumarie modified Riemann-Liouville fractional derivative of order α, we first give some definitions and properties of the modified Riemann-Liouville derivative which are used further in this work.

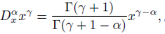
Assume that f: RR, xf(x) denotes a continuous (but not necessarily differentiable) function. The Jumarie modified Riemann-Liouville derivative of order a is defined by the expression 20

(1)

Some properties of the fractional modified Riemann-Liouville derivative are

(2)

(3)

(4)

Now in order to introduce the Feng’s first integral method21, let us consider the space-time fractional differential equation with independent variables x 1, x 2,…, xm , t and dependent variable u

F(u,Dtαu,Dx1αu,Dx2αuDx3αu,,Dt2αu,Dx12αu,Dx22αu,Dx32αu,)=0. (5)

Using the variable transformation

u(x1,x2,,xm,t)=U(ξ),ξ=k1x1α+k2x2α++kmxmα+ctαΓ(1+α), (6)

where ki and c are constants to be determined later; the fractional differential equation (5) is reduced to a nonlinear ordinary differential equation

H=H(U(ξ),U'(ξ),U(ξ),), (7)

where U'(ξ)=dU(ξ)/dξ.

We assume that Eq. (7) has a solution in the form

U(ξ)=X(ξ), (8)

and introduce a new independent variable Y(ξ) = Xˈ (ξ), which leads to the following system of nonlinear ordinary differential equations

X'(ξ)=Y(ξ),Y'(ξ)=G(X(ξ),Y(ξ)). (9)

Now, let us to introduce the central idea of the Feng’s first integral method. By using the division theorem for two variables in the complex domain which is based on the Hilbert-Nullstellensatz theorem 44, we can obtain one first integral to Eq. (9) which can reduce Eq. (7) to a first-order integrable ordinary differential equation. An exact solution to Eq. (5) is then obtained by solving this equation directly.

Division Theorem: Suppose that P(x, y) and Q(x, y) are polynomials in ℂ[x, y], and P(x, y) is irreducible in ℂ[x, y]. If Q(x, y) vanishes at all zero points of P(x, y), then there exists a polynomial H (x, y) in ℂ[x, y] such that

Q(x,y)=P(x,y)H(x,y). (10)

3.- Applications

The aim of this work is to obtain analytical solutions, by applying the Feng’s first integral method 20, for the space-time fractional coupled mKdV equation

Dtαu=12Dx3αu-3u2Dxαu+32Dx2αv+3Dxα(uv)-3λDxαu, (11)

Dtαv=-Dx3αv-3vDxαv-3DxαuDxαv+3u2Dxαv+3λDxαv,t>0,0<α1, (12)

where Dxα and Dtα are the Jumarie’s modified Riemann-Liouville derivatives. λ is a constant and a is the parameter describing the order of the fractional derivatives of u(x, t) and v(x, t). The obtained solutions would be important for previous works where approximated methods 45-47 have been applied to solve the coupled mKdV equation.

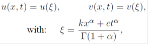
By considering the traveling wave transformation

(13)

where k and c are constants, substituting (13) into Eq. (11), we can reduce the Eq. (11) into an ordinary differential equation (ODE)

cu'(ξ)=k32u(ξ)+32k2v(ξ)+3k(u(ξ)v(ξ))'-3ku2(ξ)u'(ξ)-3αku'(ξ),cv'(ξ)=-k3v(ξ)-3kv(ξ)v'(ξ)-3k2u'(ξ)v'(ξ)+3αkv'(ξ). (14)

For our purpose, we can consider the following ansätz

v(ξ)=A+Bu(ξ), (15)

where A and B are coefficients to be determined. The above transformation was first considered by Fan as one of possible ansätz to obtain analytical solutions of the coupled mKdV Eq. (13), when the extended tanh-function method was applied. Substituting (15) into (14), the Eq. (14) are transformed into the following ordinary differential equations for the function u(ξ), i.e.

2cu'(ξ)=k3u(ξ)+3k2Bu(ξ)+6k(2Bu(ξ)+A-u2(ξ)-λ)u'(ξ),cv'(ξ)=-k3u(ξ)-3k(ku'(ξ)+(A+Bu(ξ))-u2(ξ)-λ)u'(ξ). (16)

By adding the two Eqs. (16), the next equation is obtained

3cu'(ξ)=3k2Bu(ξ)-3k2(u'(ξ))2)+6kBu(ξ)u'(ξ+3k(A+Bu(ξ))u'(ξ)-3ku2(ξ)u'(ξ)-3λku'(ξ). (17)

We can rewrite the above equation to obtain

(18)

now using Eqs. (8) and (9), Eq. (18) is equivalent to the two-dimensional autonomous system u(ξ) = X(ξ) and Y(ξ) = Xˈ (ξ), where

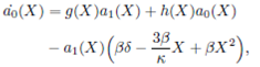
dX(ξ)dξ=Y(ξ),dY(ξ)dξ=[βδ-3βκX(ξ)+βX(ξ)2]Y(ξ)+κY(ξ)2, (19)

with

κ=1B,β=1Bkδ=ck+λ-A. (20)

Now, the solution of the Eq. (19) can be investigated by applying the Feng’s first integral method. According to the Feng’s first integral method, we suppose that X(ξ) and Y(ξ) are nontrivial solutions of Eq. (19), and Q (X, Y) is an irreducible polynomial in the complex domain ℂ, such that

Q(X(ξ),Y(ξ))=i=0mai(X(ξ))Yi(ξ)=0, (21)

where the coefficients ai (X) (i = 0,1, … , m) are polynomials of X and am (X) ≠ 0. Due to the division theorem, there exists a polynomial g(X) + h(X)Y in the complex domain ℂ[x, y], such that

dQdξ=QXdXdξ+QYdYdξ=(g(X)+h(X)Y(ξ))i=0mai(X)Yi(ξ)=0. (22)

We consider the case where m = 1 in Eq. (21), by equating the coefficients of Yi (i = 2,1,0) on both sides of Eq. (22), we have

(23)

(24)

(25)

since ai (X)(i = 0,1) are polynomials of X. Balancing the degrees of g (X) and a 0 (X), from Eq. (23) it can be concluded that a 1 (X) is constant and h (X) = K = 1/B. For simplicity, we take a 1 (X) = 1. Substituting a 1 (X), and h (X) into (24) and (25), and setting all the coefficients of powers of X to be zero, a system of nonlinear algebraic equations have been obtained, from these equations, we get g (X) = 0, and

a0̇(X)=κa0-a1(βδ-3βκX+βX2), (26)

where a 0 (X) can be expressed as follows

a0(X)=A0+B0X+βκX2, (27)

and A 0 and B 0 are given by

B0=-βκ2,A0=βκ(δ-1κ2), (28)

and therefore

a0(X)=βκ(δ-1κ2)-βκ2X+βκX2, (29)

by taking into account the condition:

0=Q(X,Y)=a0(X)+a1(X)Y(X), (30)

and the relation a 1 (X) = 1, from Eq. (29), it follows that

Y(ξ)=-(βκ(δ-1κ2)-βκ2X+βκX2). (31)

Combining this first integral Y (ξ), with the two-dimensional autonomous system of the Eq. (9), the exact solutions to the second order differential equation (18) can be obtained, and considering the relation (15), then the exact traveling wave solutions to the mKdV system (11) can be written in terms of the solution of the following first order differential equation

dX(ξ)dξ=-(βκ(δ-1κ2)-βκ2X+βκX2). (32)

If we substitute this last result into any one of the Eqs. (16), (u (ξ) = X (ξ)) i.e.

2cu'(ξ)=k3u(ξ)+3k2Bu(ξ)+6k(Bu(ξ)+(A+Bu(ξ))-u2(ξ)-λ)u'(ξ), (33)

the following condition required for the ansätz of the Eq. (15) is obtained

A=-B22+λ, (34)

in order that the solution u (ξ) = X (ξ) satisfies the coupled mKdV equation, with

κ=1B,β=1Bkδ=ck+B22. (35)

The general solution for the space-time fractional mKdV Eq. (11) is obtained by solving the first order differential equation (32), which can be written as follows

dX(ξ)dξ=r+pX+qX2, (36)

where

q=-1k=-βκ,r=q(δ-1κ2)=1k(B22-ck),p=-qκ=Bk, (37)

and X (ξ) satisfies the generalized Riccati equation (36). The generalized Riccati equation (36) has twenty seven solutions 48, which can be expressed as follows.

Family 1: When p 2 - 4qr < 0 and pq ≠ 0 (or rq ≠ 0), the solutions of Eq. (36) are

X1(ξ)=12q(-p+htan(12hξ)),X2(ξ)=-12q(p+hcot(12hξ)),X3(ξ)=12q(-p+h(tan(hξ)±sec(hξ))),X4(ξ)=-12q(p+h(cot(hξ)±csc(hξ))),X5(ξ)=14q(-2p+h(tan(14hξ)-cot(14hξ))),X6(ξ)=12q(-p+(M2-N2)(h2)-Mhcos(hξ)Msin(hξ)+N),X7(ξ)=12q(-p+(M2-N2)(h2)+Mhcos(hξ)Msin(hξ)+N), (38)

with h=4qr-p2, where M and N are two non-zero real constants and satisfies the condition M 2 - N 2 > 0.

X8(ξ)=-2rcos(12hξ)hsin(12hξ)+pcos(12hξ),X9(ξ)=-2rsin(12hξ)-psin(12hξ)+hcos(12hξ),X10(ξ)=-2rcos(hξ)hsin(hξ)+pcos(hξ)±h,X11(ξ)=2rsin(hξ)-psin(hξ)+hcos(hξ)±h,X12(ξ)=4rsin(14hξ)cos(14hξ)-2psin(14hξ)cos(14hξ)+2hcos2(14hξ)-h. (39)

Family 2: When p 2 - 4qr > 0 and pq ≠ 0 (or rq ≠ 0), the solutions of Eq. (36) are

X13(ξ)=-12q(p+-h2tanh(12-h2ξ)),X14(ξ)=-12q(p+-h2coth(12-h2ξ)),X15(ξ)=-12q(p+-h2(tanh(-h2ξ)±isech(-h2ξ))),X16(ξ)=-12q(p+-h2((coth(-h2ξ)±icsch(-h2ξ))),X17(ξ)=-14q(2p+-h2(tanh(14-h2ξ)+coth(14-h2ξ))),X18(ξ)=12q(-p+(M2+N2)(-h2)-M-h2cosh(-h2ξ)Msinh(-h2ξ)+N),X19(ξ)=12q(-p-(N2-M2)(-h2)+M-h2sinh(-h2ξ)Mcosh(-h2ξ)+N), (40)

where M and N are two non-zero real constants and satisfies the condition N 2 - M 2 > 0

X20(ξ)=2rcosh(12-h2ξ)-h2sinh(12-h2ξ)-pcosh(12-h2ξ),X21(ξ)=2rsinh(12-h2ξ)-h2cosh(12-h2ξ)-psinh(12-h2ξ),X22(ξ)=2rcosh(-h2ξ)-h2sinh(-h2ξ)-pcosh(-h2ξ)±i-h2,X23(ξ)=-2rsinh(-h2ξ)-psinh(-h2ξ)+-h2cosh(-h2ξ)±-h2,X24(ξ)=2rsinh(14-h2ξ)cosh(14-h2ξ)-2psinh(14-h2ξ)cosh(14-h2ξ)+2-h2(cosh2(14-h2ξ)-12). (41)

Family 3: When r = 0 and pq ≠ 0, the solutions of Eq. (36) are

(42)

where d is an arbitrary constant.

Family 4: When q ≠ 0 and r = p = 0, the solution of Eq. (36) is

X27(ξ)=-1qξ+c1, (43)

where c 1 is an arbitrary constant.

For the nonlinear space-time fractional coupled mKdV Eq. (11), we have found twenty seven solutions that can be

obtained from the solutions (38), (39), (40), (41), (42) and (43) the relations (15), (37) and the condition (34).

It is worth noting that solution (38) and (39) are not of the soliton type, because they are periodical-type solutions in the variable ξ. Moreover, for the solution X 27 (ξ) it can be shown that this one does not correspond with the traveling wave solution, since the condition r = p = 0, together with the relation (37) give as a result that c = 0 and then X 27 (ξ) is not an analytical solution of the traveling wave type for the coupled mKdV equation.

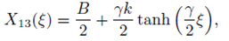
However, the solutions (40), (41) and (42) correspond to the traveling wave type soliton solutions. It can be shown that for the special case of the solution

X13(ξ)=-12q(p+-h2tanh(12-h2ξ)), (44)

when we take into account the relation h=4qr-p2, where the coefficients p, q, and r are given by Eq. (37), then the solution X 13 (ξ) can be rewritten as

X13(ξ)=-[p2q+p2-4qr2qtanh12p2-4qrξ]. (45)

Substituting (37) in order to simplify the expression p2-4qr, we obtain

p2-4qr=1k3B2-4(ck)=γ, (46)

and

c=3kB24-γ2k34, (47)

where

γ= p2-4qr. (48)

Therefore the solution (45) simplifies to

(49)

taking into account the relation u (ξ) = X (ξ) and the Eq. (15), the exact analytical solution for the space-time fractional coupled mKdV Eq. (11), is given by

u(ξ)=B2+γk2tanh(γ2ξ),v(ξ)=-B22+λ+B(B2+γk2tanh(γ2ξ))=λ+γkB2tanh(γ2ξ), (50)

with

ξ=kxα+ctαΓ(1+α), (51)

where we have taken into account that A = -(B 2/2) + λ.

We notice that for this particular solution u (ξ) = X 13 (ξ), we have recovered the previously well known solution (50), that have been found in Ref. (43), but to the best of our knowledge the general solutions: (40), (41) and (42), that correspond to the travelling wave type soliton solution, have not been obtained previously in the literature. Since the coupled mKdV equation describes approximately the motion phenomena appearing in a two-layer fluid system 35, the new analytical solutions (40), (41) and (42) would be useful in the study of the physical behavior of these fluid systems.

Conclusions

In this paper, the Feng’s first integral method was applied successfully to obtain new exact analytical solutions of the nonlinear space-time fractional mKdV equation (11). The performance of the Feng’s first integral method is reliable and effective to obtain new solutions. This method has more advantages: it is direct and concise. Thus, the proposed method can be extended to solve many systems of nonlinear fractional partial differential equations in mathematical and physical sciences. Also, the new exact analytical solutions, Eq. (40), (41) and (42), obtained for the coupled mKdV equation can be very useful as a starting point of comparison when some approximate methods are applied to this nonlinear space-time fractional equation.

Acknowledgments

The authors appreciates the constructive remarks and suggestions of the anonymous referees that helped to improve the paper. We gratefully acknowledge to the Universidad Autónoma de la Ciudad de México for supporting and facilitating this research work. We would like to thank to Mayra Martínez for the interesting discussions. José Francisco Gómez Aguilar acknowledges the support provided by CONACYT: cátedras CONACYT para jovenes investigadores 2014.

Reference

1. K.S. Miller and B. Ross An Introduction to the Fractional Calculus and Fractional Differential Equations (John Wiley & Sons, New York, NY, USA, 1993). [ Links ]

2. J.F. Gómez-Aguilar, H. Yépez-Martínez, R.F. Escobar-Jiménez, C.M. Astorga-Zaragoza, L.J. Morales-Mendoza, and M. González-Lee, Journal of Electromagnetic Waves and Applications 29 (2015) 727-740. [ Links ]

3. J.F. Gómez-Aguilar , M. Miranda-Hernández, M.G. López-López, V.M. Alvarado-Martínez and D. Baleanu, Communications in Nonlinear Science and Numerical Simulation 30 (2016) 115-127. [ Links ]

4. H. Yépez-Martínez , J.M. Reyes and I.O. Sosa, Latin-American Journal of Physics Education 8 (2014) 155-161. [ Links ]

5. J.F. Gómez Aguilar, Turk. J. Elec. Eng. & Comp. Sci 24 (2016) 1421-1433. [ Links ]

6. J. Tenreiro Machado, V. Kiryakova and F. Mainardi, Communications in Nonlinear Science and Numerical Simulation 16 (2011) 1140-1153. [ Links ]

7. J.A. Tenreiro Machado, A.M.S.F. Galhano and J.J. Trujillo, Scientometrics. 98 (2014) 577-582. [ Links ]

8. J.F. Gómez Aguilar and D. Baleanu , Proceedings of the Romanian Academy, Series A. 1-15 (2014) 27-34. [ Links ]

9. I. Podlubny, Fractional Differential Equations, 198 of Mathematics in Science and Engineering, Academic Press, (San Diego, California, USA, 1999). [ Links ]

10. A.M.A. El-Sayed, S.Z. Rida and A.A.M. Arafa, Communications in Theoretical Physics 52 (2009) 992-996. [ Links ]

11. M. Safari, D.D. Ganji and M. Moslemi, Computers and Mathematics with Applications 58 (2009) 2091-2097. [ Links ]

12. M. Inc, Journal of Mathematical Analysis and Applications 345, (2008) 476-484. [ Links ]

13. F. Fouladi, E. Hosseinzadeh, A. Barari and G. Domairry, Heat Transfer Research 41 (2010) 155-165. [ Links ]

14. L.N. Song and H.Q. Zhang, Chaos, Solitons & Fractals 40 (2009) 1616-1622. [ Links ]

15. M.M. Rashidi, G. Domairry , A. Doosthosseini and S. Dinarvand, International Journal of Mathematical Analysis 2 (2008) 581-589. [ Links ]

16. Z. Ganji, D. Ganji, A.D. Ganji and M. Rostamian, Numerical Methods for Partial Differential Equations 26 117-124 (2010). [ Links ]

17. P.K. Gupta and M. Singh, Computers and Mathematics with Applications 61 (2011) 250-254. [ Links ]

18. G. Jumarie, Applied Mathematics Letters 19 (2006) 873-880. [ Links ]

19. S. Zhang and H.Q. Zhang , Physics Letters. A 375 (2011) 1069-1073. [ Links ]

20. G. Jumarie , Computers and Mathematics with Applications 51 (2006) 1367-1376. [ Links ]

21. Z. Feng, Journal of Physics. A 35 (2002) 343-349. [ Links ]

22. Z. Feng and R. Knobel, Journal of Mathematical Analysis and Applications 328 (2007) 1435-1450. [ Links ]

23. Z. Feng , Chaos, Solitons & Fractals 38 481-488 (2008). [ Links ]

24. B. Liu, Journal of Mathematical Analysis and Applications 395 684-693 (2012). [ Links ]

25. M. Eslamil, B. Fathi Vajargah, M. Mirzazadeh and A. Biswas Indian Journal of Physics 88 (2014) 177-184. [ Links ]

26. R. Hirota and J. Satsuma, Physics Letters A 85 (1981) 407-408. [ Links ]

27. R. Hirota andJ. Satsuma , Journal of the Physical Society of Japan 51 (1982) 3390-3397. [ Links ]

28. H.C. Hu and Q.P. Liu, Chaos, Solitons & Fractals 17 (2003) 921-928. [ Links ]

29. B. Fuchssteiner, Progress of Theoretical Physics 68 (1982) 1082-1104. [ Links ]

30. A.Y. Zharkov, Journal of Symbolic Computation 15 (1993) 85-90. [ Links ]

31. Y. Wu, X. Geng, X. Hu and S. Zhu, Physics Letters A 255 (1999) 259-264. [ Links ]

32. J.A. Gear and R. Grimshaw Studies in Applied Mathematics 70 (1984) 235-258. [ Links ]

33. J.A. Gear , Studies in Applied Mathematics 72 (1985) 95-124. [ Links ]

34. M.J. Ablowitz and P.A. Clarkson, Solitons, Nonlinear Evolution Equations and Inverse Scattering Transform, 149 of London Mathematical Society Lecture Notes Series, Cambridge University Press, Cambridge, UK, (1991). [ Links ]

35. S.Y. Lou, B. Tong, H.C. Hu and X.Y. Tang, Journal of Physics A: Mathematical and General 39 (2006) 513-527. [ Links ]

36. V.A. Brazhnyi and V.V. Konotop, Physical Review E 72 (2005) 026616-1-9. [ Links ]

37. Y. Gao and X.Y. Tang , Communications in Theoretical Physics 48 (2007) 961-970. [ Links ]

38. E.G. Fan, Physics Letters A 282 (2001) 18-22. [ Links ]

39. X.L. Yong and H.Q. Zhang , Chaos, Solitons & Fractals 26 (2005) 1105-110. [ Links ]

40. A.H.A. Ali, Physics Letters. A 363 (2007) 420-425. [ Links ]

41. J. Liu and H. Li, Abstract and Applied Analysis 2013 (2013) 11. [ Links ]

42. D. Baleanu , B. Killic, Y. Ugurlu and M. Inc , Romanian Journal of Physics 60 (2015) 111-125. [ Links ]

43. J. Zhao, B. Tang, S. Kumar and Hou Y. Mathematical Problems in Engineering 2012 (2012) 11. [ Links ]

44. N. Bourbaki Elements of mathematics. Commutative algebra, Hermann, Addison-Wesley, Paris, (1972). [ Links ]

45. M. Garshasbi and F. Momeni, Journal of Computer Science & Computational Mathematics 1 (2011) 13-18. [ Links ]

46. S. Effati, N.H. Saberi and R. Buzhabadi, International Journal of Differential Equations, 2011 (2011) 15. [ Links ]

47. Y. Chen and H. An, Applied Mathematics and Computation 204 (2008) 764-772. [ Links ]

48. S.D. Zhu, Chaos, Solitons & Fractals 37 (2008) 1335-1342. [ Links ]

Received: January 13, 2016; Accepted: April 04, 2016

Creative Commons License This is an open-access article distributed under the terms of the Creative Commons Attribution License