Servicios Personalizados
Revista
Articulo
Indicadores
-
Citado por SciELO -
Accesos
Links relacionados
-
Similares en
SciELO
Compartir
Geofísica internacional
versión On-line ISSN 2954-436Xversión impresa ISSN 0016-7169
Geofís. Intl vol.51 no.4 Ciudad de México oct./dic. 2012
Original paper
Applicability of attenuation relations for regional studies
Anand Joshi1*, Ashvini Kumar1, Cinna Lomnitz2, Heriberta Castaños3 and Shahid Akhtar
1 Department of Earth Sciences, Indian Institute of Technology Roorkee, Roorkee, India. *Corresponding author: anushijos@yahoo.co.in.
2 Instituto de Geofísica, Universidad Nacional Autónoma de México Ciudad Universitaria Delegación Coyoacán, 04510 México, D.F., México.
3 Instituto de Investigaciones Económicas Universidad Nacional Autónoma de México Ciudad Universitaria Delegación Coyoacán, 04510 México, D.F., México.
Received: August 31, 2011;
accepted: May 23, 2012;
published on line: September 28, 2012.
Resumen
El presente trabajo analiza las aplicabilidades de diferentes ecuaciones predictivas del movimiento del suelo en estadios regionales. Para ello se han utilizado las gráficas cumulativas de probabilidad y de residuales. Tanto la normalidad como la adecuación del modelo están conformes siempre que los conjuntos de datos sean similares; sin embargo, cuando el modelo se utiliza para la predicción de datos en diferentes regiones existe deviación de la normalidad. Por ejemplo, un conjunto de datos provenientes de sismos en los Himalayas registrados en una red sísmica fue predicha mediante las ecuaciones de Abrahamson y Litehiser (1989), de Boore y Atkinson (2008), de Boore et al. (1997) y de Joyner y Boore (1981) y resulta que estos modelos presentan el efecto "fat tail" y amplias desviaciones de adecuación. Por otra parte, si se utiliza el modelo que hemos derivadio a base de datos de los Himalayas la predicción es normal y adecuada. Finalmente, se examina la dependencia de las ecuaciones predictivas de los mapas de zo-nilización sísmica regionales. Se obtuvo un mapa de 10% de probabilidad de excedencia para una aceleración pico de 0.1g con el método de Joshi y Patel (1997) y se encontró que el mapa resultante era similar cuando se empleaban dos ecuaciones predictivas basadas en datos de los Himalayas; en cambio, usando la ecuación de Abrahamson y Litehiser (1989) los resultados eran discordantes.
Palabras clave: normalidad, residual, predicción sísimica, Himalaya.
Abstract
This paper discusses the applicability of different ground motion prediction equations (GMPE) for regional studies. Cumulative probability plots and residual plots are used to check the normality and model inadequacies in various GMPE. It is seen that as long as the data set is similar to that used for generating GMPE the normality and model adequacies are broadly satisfied. However, clear deviation from normality is observed when using GMPE for predicting different data sets. In order to check utility of various worldwide GMPE for dataset other than that used for preparing GMPE, the dataset of Himalayan earthquakes recorded on strong motion network has been predicted using the GMPE given by Abrahamson and Litehiser (1989), Boore and Atkinson (2008), Boore et al. (1997) and Joyner and Boore (1981). It is seen that these GMPE shows presence of fat tails together with large model inadequacies when they are used for predicting Himalayan data. The data for Himalayan earthquake are also predicted by using the GMPE developed using Himalayan data. It is seen that this GMPE obeys normality and does not reflect any model inadequacies. The dependency of GMPE on the seismic zonation map of the region is also checked in this work. The seismic map for 10% probability of exceedence of peak ground acceleration of 0.1g is prepared using modified method given by Joshi and Patel (1997). It is seen that two different regional GMPE developed using Himalayan dataset gives similar seismic zonation map however large deviation in the seismic zonation map is observed when GMPE given by Abrahamson and Litehiser (1989) has been used.
Key words: normality, residual, seismic, Himalaya.
Introduction
An evaluation of seismic hazards, whether deterministic (scenario based) or probabilistic, requires an estimate of the expected ground motion at the site of interest. The most common mean of estimating expected ground motion in the probabilistic seismic hazard analysis (PSHA), depends on use of ground motion prediction equation (Campbell, 1981). A ground motion prediction equation (GMPE) or ground motion model as seismologists prefer to call it is a mathematical based expression that relates a specific strong motion parameter of ground shaking to one or more seismological parameters of an earthquake. The ground motion prediction equation includes a random residual, which can be specified in term of its statistical parameters like mean value and standard deviation. Early works related to the development of GMPE does not include ground motion variability (Bommer and Abrahamson, 2006). McGuire (1976) has published many GMPE which do not report associated standard deviation. The inclusion of ground motion variability became standard at the beginning of the 1980's (e.g., Campbell, 1981; Joyner and Boore, 1981).
New attenuation models for shallow crustal earthquake in the Western United States and similar active tectonic regions have been developed under Next Generation of Ground Motion Attenuation Models (NGA) project by Power et al. (2008). Five set of ground motion models have been developed under this project. The five NGA models developed by Power et al. (2008) are compared with respect to data set utilized, model parameterizations and ground motion predictions by Abrahamson et al. (2008). Selection of appropriate GMPE for any seismological and engineering use plays an important role for any new region. It is seen that almost all parts of the world do not have sufficient strong motion data from which GMPE solely based on instrumental data from a small geographical area can be derived (Douglas, 2011). Validity of GMPE derived from data of similar tectonic setup is confirmed by Douglas (2011) for regional studies. Douglas (2011) conclude that although some regions seem to show considerable differences in shaking it is currently more defensible to use well-constrained models, possibly based on data from other regions, rather than use local, often poorly constrained, models.
This paper discusses the deviation of normality and model inadequacies in the worldwide GMPE when they are used to predict regional Himalayan data. The GMPE's based on worldwide data prepared by Abrahamson and Litehiser (1989), Boore et al. (1997), Boore and Atkinson (2008), Joyner and Boore (1981) has been used to check its deviation from normality and model adequacies for predicting values other than that used for its preparation. The GMPE's prepared from the Himalayan data has been used further to check its deviation from normality and model adequacies.
Residual in GMPE: Concept
Ground-motion prediction equation (GMPE) can be expressed in the following form (Campbell, 1981) as:

Where, Y is the strong motion parameter to be predicted, ƒ1(M) is a function of the magnitude scale M; ƒ2(R) is a function of distance parameter R; ƒ3(M, R) is a joint function of M and R; ƒ4(Pi) is a function representing parameter of earthquake, path, site, or structure and ε (epsilon) is the random residual representing the uncertainty in Y (Campbell, 1981). The random residual is usually assumed to be log normally distributed (Campbell, 1981). A posteriori empirical justification in support of a lognormal distribution for random residual comes from statistical tests on the observed scatter about the predicted value of Y (Esteva, 1970; Donovan, 1973; McGuire, 1977, 1978; Campbell, 1981). It is assumed that random residuals behave normally for all computations related to the ground motion variability. Deviation of this random residual with respect to normality is one of the main causes of presence of fat tail in the distribution function. A simple method of checking nonlinearity assumption is to construct a plot of cumulative probability with respect to residuals plotted in an increasing order. This graph is a straight line for normal distribution as shown in Figure 1(a). A sharp upward and downward curve at both ends in Figure 1(b) indicates that the tail of this distribution is too heavy to be considered as normal distribution. Flattening at the extreme end shown in Figure 1(c), which is a typical pattern from a distribution with thinner tail. The patterns associated with positive and negative skew are shown in Figure 1(d) and 1(e), respectively. Small departures from normality assumption do not affect the model greatly, but gross nonlinearity is potentially more serious. If the errors come from a distribution with thicker or heavier tails than the normal, the least square fit may be sensitive to a small subset of data. Heavy tail distribution often generates outliers that pull the least square fit too much in their direction. The random residual also plays an important role in deciding several types of model inadequacies. The model inadequacies in the GMPE are checked by plotting random variable versus predicted parameter. If the plot of random residuals versus predicted parameter shows the data points within a horizontal band then there are no obvious model defect. The model inadequacies in this plot are shown by deviation in this plot.
Data Set:
A network of eight stations has been installed in the Pithoragarh region of Kumaon Himalaya under a major seismicity project sponsored by the Department of Science and Technology, India. Accelerographs have been installed in an area of 11,812 sq. km in the Pithoragarh and adjoining region. This network had recorded several events in this region since March, 2006. The hypocentral parameters of events recorded at three or more than three stations have been determined using HYPO71 software originally developed by Lee and Lahr (1972). Those events which are recorded at one and two stations are also used in the present work after calculating hypocentral distance from S-P time in the record. Location of these eight stations along with the geology of the region is shown in Figure 2. Three-component force balance accelerometer has been installed at each station. The threshold level of instrument was set at a very low threshold of 0.005% of full scale in order to have nearly continuous digital recording mode. The sensitivity of instrument is 1.25V/g and full scale measurement is 2.5V. This means the instrument has very low threshold of 0.1 gal. The purpose of such a low threshold level is to record almost every possible local events in small span of time i.e., March 2006 to March 2008. Sampling interval of digital data is kept at 0.01 sec. The minimum inter station distance between these stations is approximately 11 km. The records collected from the accelerograph have been processed using the procedure suggested by Boore and Bommer (2005). The processing steps involve baseline correction, instrumental scaling and frequency filtering.
Magnitude is one of the most important dependent parameters required for any regression analysis. Keeping in view of the saturation of mb, Ms and ML scales, Mw scale has been used in the present work. In order to calculate Mw, seismic moment is calculated from the source spectrum at each station calculated after correcting the entire record for geometrical and anelastic attenuation. The S phase has been used from each record and is corrected for geometrical and anelastic attenuation term. The quality factor Qβ(f) = 112f.97 obtained for the nearby region of the Garhwal Himalaya by Joshi (2006) has been used for calculating source displacement spectra for all records. The calculated seismic moment is converted into moment magnitude using the following relation of Kanamori (1977):

Distribution of PGA with hypocentral distance is shown in Figure 3(a) and it shows that hypocentral distance of the data set lies in a range between 4 < R < 151 km and most of data lies in range 10-100 km. Distribution of magnitude with hypocentral distance is shown in Figure 3(b) and it shows that magnitude range of data is 3.5 < Mw < 5.3.
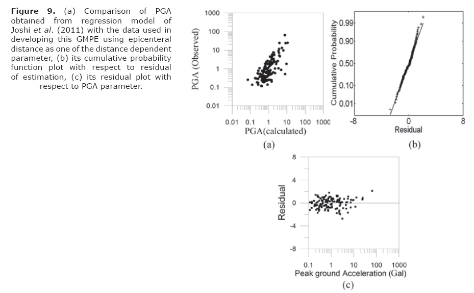
Data set used in the present paper includes 130 accelerograms recorded by eighty two earthquakes. These records have been obtained from this network of eight stations operating in the Uttarakhand Himalaya between 2006 to 2008. This dataset has been used to obtain GMPE using damped least square inversion method. The obtain relation is based on regression model given by Joshi et al. (2011). This relation is given as:

Where, PGA is maximum peak ground acceleration in Gal, Mw is moment magnitude and 'r' is the hypocentral distance in km. Root mean square error between logarithm observed and estimated PGA obtained from this relation is 0.98 and standard deviation in the PGA is 0.82.
In an attempt to check the dependency of distance parameter on obtained GMPE we have introduced term epicentral distance '(E+15)' in place of '(r+15)' in the GMPE given in eq (3). This gives following form of GMPE from same data:

Where in this relation, PGA is maximum peak ground acceleration in Gals observed in the horizontal component, Mw is the moment magnitude, 'r' is the hypocentral distance and E is the epicentral distance in km. Root mean square error between logarithm observed and estimated PGA obtained from this relation is 0.87 and standard deviation in the PGA is 0.42, which is less than that observed in GMPE given in eq. (3).
Various studies done by Joshi and Patel (1957), Joshi et al. (2001), Joshi (1997, 1998, 2001), Kumar et al. (1998) regarding modeling of strong motion data for the Himalayan earthquakes shows that the GMPE of Abrahamson and Litehiser (1989) is suitable to predict PGA parameters in this region. This relation which is hereby referred in the text as AL89, is given as:

In this expression, M is the magnitude of the earthquake represented by an element, R is the distance in km to the closest approach of the zone of energy release and a(g) is the horizontal PGA. The variable E is a dummy variable and is 1 for interplate events and 0 for intra plate eve nts. The dummy variable F is 1 for reverse or reverses oblique events and 0 otherwise. For the Himalayan region, the local condition favour using values E = 1 and F = 1 and hence these are used for calculating the value of PGA by this expression for Himalayan earthquakes. Data set used to develop this GMPE is shown in Figure 4. Figure 4 is a plot of the earthquake magnitude with distance of the 585 recordings. The database includes accelerations from distance ranging between 0.08 km to 400 km and surface wave magnitudes between 5.0 to 8.1.
The GMPE developed by Joyner and Boore (1981) has been used for preparing the seismic hazard map of India and adjoining region by Bhatia et al. (1999) under Global Seismic Hazard Assessment Program (GSHAP). The GMPE given by Joyner and Boore (1981) is hereby referred as JB81in the text and is given as:

Where r = (d2 + h2)1/2 , h = 7.3
In this expression, 'r' is the hypocentral distance, 'M' is the magnitude of earthquake and a(g) is PGA in g. This relation is restricted to the data of Western North American shallow earthquakes with depth less than 20 km and magnitude more than 5.0 and includes 183 records. The distribution of hypocentral distance and magnitude with respect to PGA is shown in Figure 5.
Testing normality and model adequacies on GMPE:
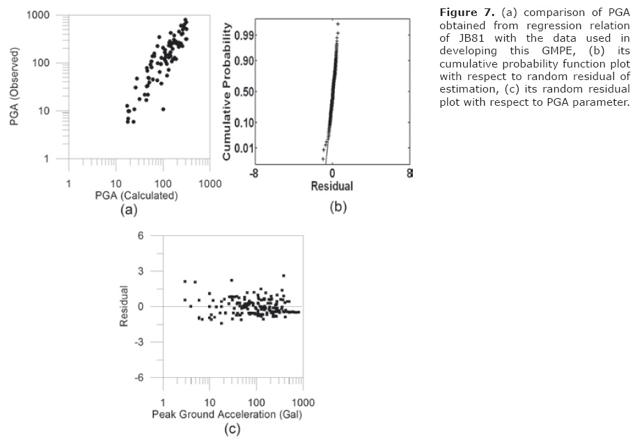
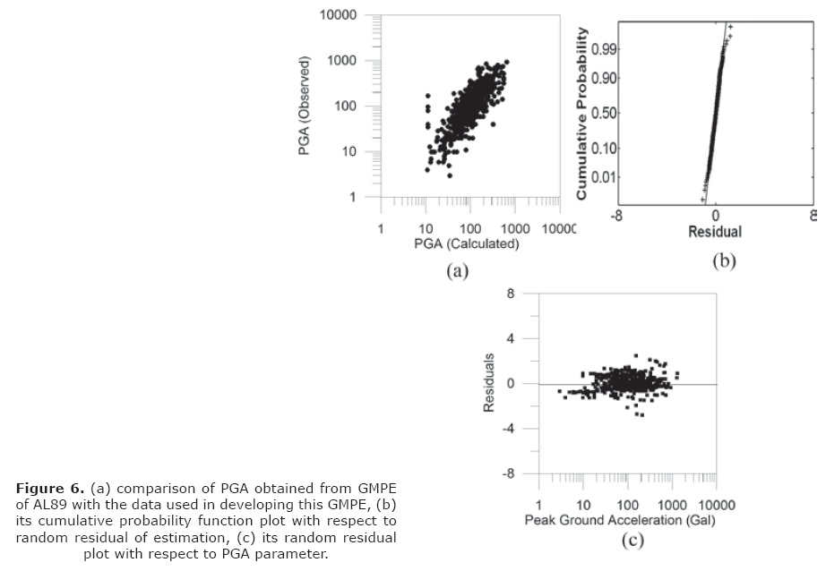
A very simple method for checking the normality assumption in GMPE is to construct a cumulative probability plot of the residuals. First step in this process is calculation of random residuals. The random residual is defined as difference of logarithm of actual and predicted values. The random residuals are arranged in an increasing order and are plotted against cumulative probability in order to make cumulative probability plot. The ideal normal probability plot of random residual follows a straight line. Substantial departures from a straight line indicate that the distribution is not normal. A departure from normality is potentially serious as the t or F statistics and confidence and prediction interval depends on normality assumption (Montgomery et al., 2001). The model inadequacies in the GMPE are checked by the plot of random residual versus actual value. In the present work model adequacies present in various GMPE are checked by plotting random residuals versus observed PGA values with random residual on vertical axis. It is seen that as long as the plot of random residuals versus observed values follows horizontal band there are no model inadequacies. Strong deviations of random residuals from this band and strange patterns often resulted due to the model inadequacies (Montgomery et al., 2003). The GMPE given by AL89 has been tested for normality and model inadequacies in the present work. The observed and predicted value of PGA is shown in Figure 6(a). The check of normality and model inadequacies is shown in Figure 6(b) and 6(c), respectively. The relation between predicted value of the PGA used in the dataset and the actual value obtained from this relation is shown in Figure 6(a). The linear trends of plot in Figure 6(a) denote that GMPE is capable of predicting the data which has been used for its generation. The plot of random residual versus cumulative probability in Figure 6(b) shows presence of weak tail in the cumulative probability plot. The horizontal band of residual in all range of actual data defend that the model is adequate to predict PGA values. The GMPE given by JB81 is tested in the present work. First look between estimated and observed parameters in Figure 7(a) shows a linear trend which gives an impression that the relation can predict PGA parameter; however a closer look on the plot of cumulative probability function versus random residual in Figure 7(b) shows presence of tail in one end of this relation. Funnel pattern in the plot of random residual versus predicted parameter in Figure 7(c) shows that variance increases as Y decreases and this can be attributed from less number of data point in high magnitude range.
The GMPE from database of network installed in the Himalayan region is given by eqs. (3) and (4). In the present work the data set of 130 accelerograms used in preparing this GMPE is used to check the assumption of normality and model inadequacies. Figure 8 and Figure 9 show that GMPE given in eq. (3) and eq. (4) respectively, predict values which are comparable with the observed data. The cumulative probability plot of random variable also falls in a straight line indicating it to be following normality assumption. However some weak tails are also evident at the extreme ends.
The test on normality and model inadequacies on various GMPE shows that GMPE behave almost similar to its dataset which was initially used for its prediction. In order to check the effect of normality for predicting data set other than that used for developing the respective GMPE a test is performed to predict data set of AL89 using GMPE given by JB81 and that of JB81 using GMPE given by AL89. Clear deviation from normality is observed in this test which is shown in Figure 10. These cumulative probability plots show that the mean is a negative value which means there is a problem of underestimation. The problem of underestimation can also be due to the difference in the variables used in two GMPE models. It is seen that the deviation from cumulative probability plot on predicting the data of AL89 by JB81 is less because of the large amount of data used by AL89 as compared to JB81.
The effect on the assumption of normality and model inadequacies in the GMPE used for predicting regional Himalayan data is checked in this paper. In this test GMPE of AL89, JB81 are included because of its frequent use in strong motion modeling of Himalayan earthquakes (Joshi, 2006; Kumar et al., 1998) and in seismic hazard estimation of the region (Bhatia et al., 1999). This test also includes other recent GMPE given by Boore et al. (1997) and Boore and Atkinson (2008). The GMPE given by Boore and Atkinson (2008) and Boore et al. (1997) is now hereby referred to in the text as BA08 and BO97, respectively. The test checks the distribution of random residual with respect to PGA and deviation of its random residuals from normality and is shown in Figure 11. It is seen that the ground motion relations by AL89, BA08 and JB81 overestimate the value of PGA when applied for predicting Himalaya data, thus clearly emphasizing the need to develop a new GMPE for the region. Although BO97 gives comparable match in terms of predicted parameter, strict deviation from normality is clearly seen in the GMPE when used for predicting Himalayan data. It is seen from this test that when these relations are used for predicting values of PGA for Kumaon Himalaya, a fat tail or heavy tail is clearly seen in the normality of random residual which clearly indicates deviation of GMPE from normality. This type of deviation from normality is expected to affect PSHA technique where we use 10% of probability of exceedence of PGA in 50 years as a major parameter for seismic hazard zonation.
Estimation of seismic hazard map using different GMPE:
It is seen that appropriate choice of GMPE influence the value of predicted parameter. In an attempt to check how GMPE can influence seismic hazard map of the region, the seismic hazard map of Uttarakhand Himalaya is prepared using different GMPE. Joshi and Patel (1997) have formulated a method of seismic zonation which is based on the deterministic modeling of finite ruptures along identified probable fault in an area using a semi empirical approach. This method of zonation has been applied for the Doon valley (Joshi and Patel, 1997); Assam valley (Joshi et al., 2007) and the Uttarakhand Himalaya (Joshi and Mohan, 2010). The technique of zonation is dependent on the semi empirical simulation technique which in turn is dependent on the GMPE applicable for the region under study. In the preparation of seismic zonation maps for the Uttarakhand Himalaya by Joshi and Mohan (2010), Joshi and Patel (1997) the GMPE relation given as AL89 has been used. Although AL89 is based on worldwide data it is seen in the present work that this relation suffers from problem of overestimation and deviation from normality when used for predicting Himalayan earthquakes. In the present work seismic hazard for PGA of 100 Gals for 10% probability of exceedence is prepared using modified seismic zonation technique given by Joshi and Patel (1997). Various steps in this technique are as follows:
(i) The first step is the identification of active lineaments in the region. The length of a possible rupture along these lineaments is measured from the same map. The length and width of possible ruptures along these lineaments are calculated using the empirical relationship of Wells and Coppersmith (1994) and Kanamori and Anderson (1975), respectively.
(ii) The entire region is divided into a grid consisting of several observation points at which PGA is computed from the simulated acceleration record using semi empirical technique.
(iii) At the each observation point PGA's are computed by modeling one by one, the rupture along each selected lineament using semi the empirical modeling technique given by Midorikawa (1993). This technique is based on GMPE. For 'm' number of lineaments, 'm' values of peak ground accelerations (i.e., Pa1, Pa2,...,Pam) are obtained at that observation point. In this process the PGA's are also obtained for various possibilities of nucleation points. For a rupture divided into subfaults of size nxn there are nxn possibilities of nucleation points. Therefore the process of simulation generates a dataset of PGA's which consists of all possibilities of ruptures. The database includes contributions from ruptures within 100 km radius from the observation point. The probability of exceedence of PGA of 100 Gal is computed using the obtained database of PGA's values from several model at the observation site.
(v) Since we are dealing with a small area therefore a similar frequency-magnitude relation is expected in the region. The frequency magnitude relation for this region is calculated on the basis of available data from USGS and is given as:
Log N = 5.7 - .71 M
Where, M is the magnitude of earthquake and N is number of earthquake equal or more than M.
(v) The process is repeated for all observation points and the probability of exceedence of PGA at each point is computed. Contours of the expected acceleration have been used for defining various zones. These zones are used to get the value of PGA in a region due to an expected earthquake. This parameter is finally used in the preparation of a seismic hazard zonation map.
The tectonic map of the Uttarakhand Himalaya showing various ruptures along lineaments that are modeled for seismic zonation is shown in Figure 12. These lineaments are identified from the tectonic and geological map of the region given by GSI (2000). The region of Uttarakhand Himalaya consists of Garhwal and Kumoan Himalaya. Although these two regions have similar tectonics and geology, different attenuation models have been obtained for these regions by Joshi et al. (2011). The Garhwal Himalaya has been selected as an area between latitude 29° to 33° and longitude 78° to 80°, which covers 60% area of the Uttarakhand Himalaya. The Kumaon region has been selected as an area between latitude 29° to 33° and longitude 80° to 81° which covers 40% of total area of Uttarakhand Himalaya. In this work we have used the GMPE given by eqs. (3) and (4) for modeling lineaments in the Kumaon region while for Garhwal region we have followed the GMPE given by Joshi et al. (2011). The software used for preparing seismic hazard in this paper is a modification of MICRZ given by Joshi and Patel (1997). The GMPE given by eqs. (3) and (4) are both based on regional data and differ only in term of distance parameter. The seismic hazard map prepared using eqs. (3) and (4) is shown in Figure 13(a) and (b) respectively and it shows that as long as a GMPE prepared from regional database is used in seismic hazard zonation there is no drastic difference in the obtained seismic hazards of the region using similar technique. However strong difference in terms of shape of zones is observed when the AL89 is used as GMPE for seismic hazard zonation. Since AL89 clearly shows overestimation of PGA values the zones of 10% probability of exceedence of PGA of value 100 Gal shown in the seismic zoning map in Figure 14 has also increased drastically. This test demonstrates importance of proper choice of GMPE for seismic hazard zonation in any region.
Conclusions
The main conclusion drawn from the study is that when using a GMPE in any region we must test it against the data that are present in that region which can help us decide the applicability of GMPE. The paper discusses the applicability of GMPE for predicting values for which it is made. Cumulative probability plots and random residual plots are used to check the presence of fat tail and model adequacies in the GMPE given by BO97, BA08, AL89 and JB81. It is seen that as long as the data set is similar as the one used for generating GMPE the normality and model adequacies are satisfied. When the data is different than that used for generation of the GMPE, deviation is observed in the cumulative probability plot. In order to check utility of the worldwide GMPE for predicting dataset other than that used for preparing the GMPE, the dataset of Himalayan earthquakes recorded on strong motion network has been predicting using various GMPE's. It is seen that these GMPE's show the presence of fat tails together with large model adequacies when are used for predicting Himalayan data. On the other side the regression model developed using Himalayan data obeys normality and does not reflect any model inadequacies. In order to check the dependency of selected GMPE on obtained seismic zonation map, the region of Uttarakhand Himalaya is selected in the present work. The seismic Zonation map is prepared for this region using the technique given by Joshi and Patel (1997). Different zonation map are prepared for different GMPE's and it is seen that similar seismic zonation maps are obtained when different GMPE based on similar regional data are used and strong difference is obtained when GMPE based on other data is used in seismic zonation. The main conclusion that can be drawn from the study is that when using a GMPE in any region we must test it against the deviation from normality and model adequacies before using it for seismic zonation and other uses.
Acknowledgements
Authors sincerely acknowledge the grant received from Indo-Mexican project grant no. DST/INT/ MEX/PRO-05/2007 for this work. The data used in this project is outcome of project grant No. MoES /P.O.(Seismo)/ 1(42)/2009.
Bibliography
Abrahamson N.A., Litehiser J.J., 1989, Attenuation of vertical peak acceleration, Bull. Seism. Soc. Am., 79, p.549-580. [ Links ]
Abrahamson N., Atkinson G., Boore D., Bozognia Y., Campbell K., Chiou B., Idriss I. M., Silva W., Youngs R., 2008, Comparisons of the NGA ground-motion relations, Earthquake Spectra 24, p. 45-66. [ Links ]
Bhatia S.C., Ravi Kumar M., Gupta H.K, 1999, A probabilistic hazard map of India and adjoining regions. Annali di geofísica, 42:1153-1164. [ Links ]
Bommer J.J., Abrahamson N.A., 2006, Why Do Modern Probabilistic Seismic-Hazard Analyses Often Lead to Increased Hazard Estimates? Bull. Seism. Soc. Am., 96, p.1967-1977. [ Links ]
Boore D.M., Atkinson G.M., 2008, Ground motion prediction equations for the average horizontail component of PGA, PGV and 5% damped PSA at spectral periods between 0.01s and 10.0s, Earthquake Spectra, 24, 1,pp. 99-138. [ Links ]
Boore D.M., Bommer J.J., 2005, Processing of strong motion accelerograms: needs, options and consequences, Soil Dynamics and Earthquake Engineering, 25, pp. 93-115. [ Links ]
Boore D.M., William B., Joyner, Fumal T.E., 1997, Equations for Estimating Horizontal Response Spectra and Peak Acceleration from Western North American Earethquakes: A Summary of recent Work, Seismological Research Letters, 68, 1, p. 128-153. [ Links ]
Campbell K.W., 1981, Near source attenuation of peak horizontal acceleration, Bull. Seism. Soc. Am., 71, 6, 2,039-2,070. [ Links ]
Donovan N.C., 1973, A statistical evolution of strong motion data including the February 9, 1971 san Fernando earthquake 5th world conf. earthquake Eng. [ Links ]
Douglas J., 2011, Investigating possible regional dependence in strong motions, in Earthquake data in Engineering Seismology, S. Skkar, P. Gulkan and T. Van Eck (eds.). Springer Ltd. Pp. 29-38. [ Links ]
Esteva L., 1970, Seismic risk and seismic design decisions, in Seismic Design for Nuclear Power Plants, R. J. Hansen (Editor), MIT Press, Cambridge, Massachusetts, 142-182. [ Links ]
G.S.I., 2000, Seismotectonic atlas of India and its environs, Geol Soc India 43, [ Links ] eds. Dasgupta S., Pande P., Ganguly D, Iqbal Z., Sanyal E., Venkatraman N.V., Dasgupta S., Sural B., Harendranath L., Mazumdar K., Sanyal S., Roy A., Das L.K., Mishra P.S. and Gupta. [ Links ]
Joshi A., 1997, Modelling of peak ground acceleration for Uttarkashi earthquake of 20th October, 1991, Bull. Ind. Soc. Earthquake Tech. 34, 75-96. [ Links ]
Joshi A., 1998, Study of the Uttarkashi earthquake in terms of rupture model and isoseismals , J. Geophys. 19, 133-140. [ Links ]
Joshi A., 2001, Strong motion envelope modelling of the source of the Chamoli earthquake of March 28, 1999 in the Garhwal Himalaya, India, J. Seismol., 5, pp. 499-518. [ Links ]
Joshi A., 2006, Use of acceleration spectra for determining frequency dependent attenuation coefficient and source parameters, Bull. Seism. Soc. Am., 96, 2165- 2180. [ Links ]
Joshi A., Patel R.C., 1997, Modeling of active lineaments for predicting possible earthquake scenario around Dehradun, Garhwal Himalaya, India, Tectonophysics 283, 289-310. [ Links ]
Joshi A., Singh S., Kavita G., 2001, The simulation of ground motions using envelope summations, P Pure and applied Geophysics, 158, pp. 877-901. [ Links ]
Joshi A., Mohan K., Patel R.C., 2007, A deterministic approach for preparation of seismic hazard maps in North East India. Nat Hazards 43, 129-146. [ Links ]
Joshi A., Mohan K., 2010, Expected peak ground acceleration in Uttarakhand Himalaya, India region from a deterministic hazard model. Natural Hazards 52, 299-317. [ Links ]
Joshi A., Ashvini Kumar, Sinvhal A., 2011, Attenuation relation for the Kumaon and Garhwal Himalaya, Uttarakhand, India, Proceeding of International symposium on The 2001 Bhuj earthquake and advances in earthquake sciences - AES 2011, ISR, Gandhinagar, Gujart, India, January 22-24. [ Links ]
Joyner W.B., Boore D.M., 1981, Peak horizontal acceleration and velocity from strong-motion records including records from the 1979 Imperial Valley, California, earthquake, Bull. Seism. Soc. Am. 71, 6, 2,011-2,038. [ Links ]
Kanamori H., 1977, The energy release in great earthquakes, J. Geophys., Res. 82, 2,981-298. [ Links ]
Kanamori H., Anderson D.L., 1975, Theoretical basis of some empirical relation in seismology, Bull. Seismol. Soc. Am., 65, pp. 1,073-1,095. [ Links ]
Kumar D., Teotia S.S., Khattri K.N., Rai S.S., 1998, Modeling of accelerograms of two Himalayan earthquakes using a novel semi-empirical method and estimation of accelerograms for a hypothetical great earthquake in the Himalaya. [ Links ]
Lee W.K.H., Lahr J.C., 1972, HYPO71: A computer program for determination of hypocenter, magnitude, and first motion pattern of local earthquakes", Open File Report, U.S. Geological Survey, 100pp. [ Links ]
McGuire R.K., 1976, FORTRAN computer program for seismic risk analysis, U.S. Geol. Surv. Open-File Rept, 76-67. [ Links ]
McGuire R.K., 1977, Seismic design spectra and mapping procedures using hazard analysis based directly on oscillator response, Earthquake Engineering and Structural Dynamics, 5, 211-234. [ Links ]
McGuire R.K., 1978, FRISK-Computer program for seismic risk analysis using faults as earthquake sources United States Geological Survey-open file report, 78-110. [ Links ]
Montgomery D.C., Peck E.A., Vining G.G., 2003, Introduction to linear regression analysis, John Wiley and Sons ( ASIA) Ptv Ltd, Clementi Loop, Singapore. [ Links ]
Power M., Chiou B., Abrahamson N., Bozorgnia Y., Shantz T., Rooblee C., 2008, An overview of the NGA project, Earthquake Spectra, 24 p. 3-21. [ Links ]
Wells D.L., Coppersmith K.J., 1994, New empirical relationships among magnitude, rupture length, rupture width, and surface displacements, Bull. Seismol. Soc. Am., 84, pp. 974-1002. [ Links ]













