Servicios Personalizados
Revista
Articulo
Indicadores
-
Citado por SciELO -
Accesos
Links relacionados
-
Similares en
SciELO
Compartir
Geofísica internacional
versión On-line ISSN 2954-436Xversión impresa ISSN 0016-7169
Geofís. Intl vol.47 no.3 Ciudad de México jul./sep. 2008
Article
Chicxulubites: a New Class of Meteorites?
A. Poveda1,* and G. Cordero2
1 Instituto de Astronomía, Universidad Nacional Autónoma de México, Ciudad Universitaria, 04510 México City, México. * Corresponding author: poveda@servidor.unam.mx
2 Instituto de Geofísica, Universidad Nacional Autónoma de México, Ciudad Universitaria, 04510 México City, México Email: gcordero@geofisica.unam.mx
Received: October 29, 2007
Accepted: January 15, 2008
Resumen
Es bien sabido que los impactos de asteroides con la Luna y con Marte arrojan al espacio una gran cantidad de fragmentos. Tales fragmentos viajan por el Sistema Solar interior durante miles de años y, ocasionalmente, algunos de ellos caen a la Tierra donde se recuperan como meteoritos.
Con esto en mente, es de interés preguntarse qué fracción de la masa excavada durante la formación del cráter de Chicxulub fue arrojada con velocidades de escape, o mayores, como resultado del impacto de 100 millones de megatones que lo originó. Parte de los fragmentos arrojados desde el cráter caen a la Luna y a la Tierra después de deambular por el espacio como EarthCrossing Asteroids (ECA's) convirtiéndose en meteoritos: Chicxulubitas.
Un asteroide de 10 km como el involucrado en el evento de Chicxulub pudo haber arrojado a velocidades altas el equivalente a un milésimo de la masa del proyectil en fragmentos. Con base en el trabajo de Vickery (1987) sobre cráteres secundarios en Mercurio, la Luna y Marte, estimamos la masa y el diámetro de los fragmentos más grandes que pudieron haber sido arrojados a velocidades mayores que la velocidad de escape de la Tierra. Considerando la distribución de masas de Dohnanyi, estimamos que el número de dichos fragmentos con tamaños mayores que 10 y 2 cm es 4x1010 y 2x1012, respectivamente. También estimamos la fracción esperada de Chicxulubitas respecto al número total de ECAs de diámetro similar.
Concluimos que hay un cierto número de fragmentos provenientes del cráter de Chicxulub que han caído a la Luna o regresado a la Tierra después de haberse convertido en ECAs y que esperan ser identificados como Chicxulubitas.
Palabras clave: Chicxulub, cráteres secundarios, fragmentos arrojados.
Abstract
It is well known that asteroidal impacts on the Moon and Mars have ejected a large number of fragments that, after traveling in the inner planetary system for thousands or millions of years, occasionally fall on Earth and are recovered as meteorites.
It is of interest, therefore, to ask the question: what fraction of the mass excavated from the Chicxulub crater was ejected with escape velocities as the result of the 100 million megaton explosion? These fragments, similarly to what happened with lunar and martian ejecta, can fall onto the Moon, as well as back on the Earth as meteorites: Chicxulubites.
A 10 kmdiameter asteroid, like the one at Chicxulub, could have produced a number of high velocity fragments with a total mass of about one thousandth of the mass of the projectile. From the work of Vickery (1987) on secondary craters on Mercury, the Moon and Mars, we estimated the mass and the diameter of the largest fragments that would have a velocity larger than the Earth's escape velocity. Assuming Dohnanyi's mass frequency distribution, we estimated that the number of fragments with sizes larger than 10 cm and 2 cm is about 4x1010 and 2x1012, respectively. We also estimated the expected fraction of these Chicxulubites to the total number of earthcrossing asteroids (ECA's) of similar diameter.
We conclude that a number of fragments from the Chicxulub crater have fallen onto the Moon and the Earth after becoming ECAs, and are waiting to be identified as Chicxulubites.
Key words: Chicxulub, secondary craters, ejected fragments.
Introduction
It is well known that the asteroidal impact that 65 million years ago produced the KT transition, liberated some 100 million megatons or the equivalent to ten thousand times all the nuclear arsenals in the world exploding at the same time at the point of impact (Alvarez et al., 1980). Such a collision created a crater, the Chicxulub crater, with a diameter of 180 km. It is estimated that some 8x1016 kg of material were removed from the soil and ejected world wide.
The existence of numerous lunar and martian meteorites, found mostly in Antarctica, motivated the present authors to investigate the possibility that the Chicxulub impact might have ejected a fraction of the material excavated from the crater with velocities larger than the escape velocity. Some of these fragments may have fallen on the Moon and may be recovered as meteorites of terrestrial origin; some fragments may enter into terrestrial and solar orbits and, after a time, a few of them may have fallen back on Earth as meteorites: Chicxulubites (CHICS)*.
In the second section we examine the frequency distribution of the masses (diameters) of the fragments produced by the impact; we adopt Dohnanyi's distribution (1969) f (m) dm ∞ m11/6 dm, which seems to represent well the presentday distribution of the collisionally generated population of main belt asteroids.
In the third section we follow Vickery's analysis on the secondary impact craters on the Moon, Mercury and Mars to adopt a relation between the maximum diameter of the fragments ejected from the primary craters and their velocities of ejection; from this relation we estimate the diameter of the largest fragments ejected with velocities larger than the escape velocity from the Chicxulub crater.
In the four section we take advantage of the semi empirical work of O'Keefe et al. (1977) and Melosh (1989), which provides the total mass ejected from an impact for a given escape velocity, to calculate the number of escaped fragments larger than 2 cm and 10 cm, and the fraction of the number of CHICS to the number of NEO's of the same diameter.
Finally, we present our conclusion about the existence and number of fragments from the Chicxulub Crater, i.e. CHIC meteorites.
Frequency distribution of masses of fragments produced in impacts. Laboratory results, asteroidal observations and theoretical models
The distribution of masses (diameters) of fragments produced in violent collisions has been studied experimentally, observationally and theoretically. Laboratory experiments by Gault et al. (1963) have found the frequency distribution of masses of fragments to be:

where the exponent β has an average value of 1.8. A theoretical study by Dohnanyi (1969) leads to a mass distribution of f (m) dm ∞ Cm11/6 dm
A comparison of Dohnanyi's distribution with the diameter distribution of a sample of main belt asteroids compiled by Kuiper et al. (1958) gave a very good agreement. Moreover, Poveda et al. (1999a) found from Van Houten's (1970) luminosity function of main belt asteroids that this population is in a good agreement with Dohnanyi's distribution. In fact, Dohnanyi's distribution seems to hold also for the EarthCrossing asteroids.
The fragments produced by an asteroidal impact can be compared with the laboratory experiments or with the diameter distribution of asteroids. Fig 1. taken from Chapman and Morrison (1989) is a very simple but apt analogy to the fragment production at the Chicxulub impact!

For simplicity, through this paper fragments will be consider to be spherical so the above mass frequency distribution f(m) can be converted to a diameter distribution F(D):

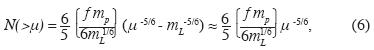
where ρ is the density of the fragments. From the equation 1 we find the total mass MT of the fragments with masses m: µ< m < mL, as given by equation 3, where µ and mL are the masses of the smallest and the largest fragment respectively.

where mp is the mass of the impactor and µ << mL
From equations (1) and (4), we can write de mass distribution function as:

Integrating the last equation between m and mL we get an approximation for the number of fragments larger than a given mass m where we have taken mL5/6 to be negligibly compared to µ5/6 (because µ << mL),

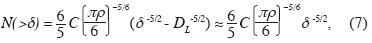
or equivalently, the number of fragments larger than a given diameter δ:

where δ and DL are the diameters of the smallest and largest fragments, respectively, and δ << DL.
Secondary craters: Largest fragment ejected velocity relationship. Mass of the largest fragment ejected as a function of escape velocity
When fragments ejected from impact craters fall back onto their parent body after a ballistic suborbital trajectory they can produce new craters: secondary craters. Fig. 2 shows the Copernicus crater on the Moon; here, from a favorable perspective, we can see various secondary craters coincident with the familiar rays emanating from Copernicus. We can also see their semi major axes pointing to Copernicus. Studying the diameter of secondary craters and their distances to the primary, Vickery (1987) established for the Moon, Mercury and Mars a relation between the diameter of the largest fragments ejected from a given crater and their flight velocities. Figs. 3 and 4 in Vickery's paper show the maximum fragment sizevelocity relation for various craters on the Moon and Mars, respectively. The regressions are well represented by the relation Dmax = Aνα. Vickery determined the values of A and α for each crater.

We adopt the regressions for the largest craters: for the Moon we take the average of the parameters of Theophilus (100 km) and Copernicus (93 km), and for Mars we only consider the parameters correspondent to Lyot's (227 km). We take equations (8) and (9) for the Moon and Mars, respectively, as representative of the velocitydiameter relationship for Chicxulub (
200 km):

The parameters in equation 8 are the averages of the coefficients and the exponents of the regressions for Theophilus and Copernicus found respectively by Vickery (1987). Equation 9 is the regression for Lyot given by the same author.
Clearly, equations (8) and (9) have been established for impacts with velocities smaller than the escape velocity because fragments with larger velocities escape without making a crater. We extrapolate equations (8) and (9) for larger velocities because the physical process of fracturing and accelerating fragments is independent of the escape velocity of the impacted body.
In Table 1 we list the diameter of the largest fragments ejected from Chicxulub with velocities 11.2 and 12 km s1 using equations (8) and (9), respectively. It is interesting to note that in spite of the very different constants A and α in Vickery's equations for the Moon and Mars, the diameters of the largest fragments ejected from Chicxulub with escape velocities are very similar i.e., in the range of 2.3 2.8 m. These results are consistent with the metersized clasts (D < 7.5 m) from Chicxulub discovered by Ocampo et al. (1996) on Albion Island in Belize, some 400 km from the center of the crater. These suborbital deposits are considerably more massive than the fragments we have proposed to have escape velocities (see Table 1); this is to be expected from the diametervelocity relation, because the largest boulders have smaller velocities.

O'Keefe and Ahrens, (1977) and Melosh (1989) have proposed a semiempirical relation between the mass ejected from an impact as a function of the impact velocity and the escape velocity from the planetary body. Fig. 3 adapted from Melosh gives the ejected mass as a fraction of the mass of the impactor mp for different impact velocities. We do not really know what was the velocity of the impactor at Chicxulub; it has been assumed frequently a typical velocity of 20 km s1 so it would be convenient to make an interpolation between the curves given by Melosh (15 and 30 km s1), in the fig. 3 the dotted line represents our estimate for such velocity. We see that for the case of the impact in Chicxulub, within the uncertainties, the mass ejected with escape velocity is about a thousandth of the mass of the asteroid (which of course is also uncertain), i.e. some 1.6 x 1012 kg.
We note here that the presence of the atmosphere is not relevant for the dynamics of the fragments ejected, nor for the magnitude of the mass lost. In fact, the energy liberated during the impact is so large that the dynamics of the fireball generated in the Earth's atmosphere is essentially the same as if it had developed in vacuum (on the Moon or Mars). The fragments interact with the fireball rather than with the atmosphere, because the temperature and pressure in the fireball overwhelm those in Earth's atmosphere during the first stages of crater formation.
Number of escaped fragments. Comparison to the number of ECAs of similar diameter
From the work of Vickery et al. and Melosh, we adopt the fraction f in equation (4) to be 103 and from Table 1 we take the values of the largest fragments ejected. Inserting these values in equation (4) we determine the values of the constant C. Taking ρ = 3,000 kg m3, we find from equation (7) the number of fragments ejected with velocities 11.2 and 12 km s1 and diameters 2 and 10 cm. These values are listed in Table 2.

We can compare the number of fragments listed in Table 2 with the numbers of Earthcrossing asteroids larger than 2 and 10 cm; The number of ECAs with diameters larger than D is given in Poveda et al. (1999b):

Taking the ratio of equation (7) to equation (10) for δ = D, we have:

Note that this ratio is independent of the minimum diameter of the fragment considered.
From the above, and taking an average value C =5 x 1010 kg5/6 (see Table 2), we conclude that at the time of the impact approximately one in 300 meteorites orbiting near the Earth was a CHIC. With the passage of time, dynamical perturbations will gradually deplete the nearEarth population of CHICS while the ECA population will remain nearly constant.
Conclusions
After a comparative analysis of high velocity ejecta from impact craters in the Moon and Mars, we conclude that a giant crater like the one in Chicxulub, should have ejected some 2 x 1012 fragments with diameters larger than 2 cm and velocities larger than the Earth's escape velocity. These fragments, while circulating in the inner solar systems as ECA's will fall onto the Moon and Earth as meteorites: Chicxulubites, as we propose to call them. With the passage of time these meteorites will gradually drift throughout the solar system and even be lost into the interstellar medium because of dynamical perturbations by the giant planets.
Shortly after the impact, approximately one in 300 Earth crossing asteroids would be a Chicxulubite; gradually this ratio will decrease because the dynamical diffusion of Chicxulubites, while the general population of ECA's remains approximately constant.
In the past, a significant number of Chicxulubites should have been deposited both on the Moon as well as on the Earth. Because of the well known activity of the Earth's surface, Chicxulubites should be difficult to find. However, we note that the deposits in Belize can be considered as suborbital Chicxulubites. The Moon should be a more promising place to find them.
Acknowledgements
We thank Fernando Ortega and Jaime Urrutia for a valuable discussion. We are grateful to Alejandro Hernández for his help in various technical aspects of this paper.
Bibliography
Alvarez, L.W., W. Alvarez, F. Asaro and H. V. Michel, 1980. Extraterrestrial Cause for the Cretaceous Tertiary Extinction, Science, 208, 1095. [ Links ]
Chapman, Clark R. and D. Morrison, 1989. Cosmic Catatrophes. Plenum Press. USA, p. 71. [ Links ]
Dohnanyi, J. S., 1969. Collisional Model of Asteroids and their Debris, JGR, 74, 10, 25312554. [ Links ]
Gault, D. E., E. M. Shoemaker and H. J. Moore, 1963. Spray ejected from the lunar surface by meteoroid impact, NASA Rept. TND1767. [ Links ]
Kuiper, G. P., Y. Fujita, T. Gehrels, I. Groeneveld, J. Kent, G. Van Biesbroeck and C. J. Van Houten, 1958. Survey of Asteroids, Astrophys. J. Suppl., Ser. 3, 289428. [ Links ]
Melosh, H. J., 1989. Impact Cratering. A Geological Process, Oxford University Press. [ Links ]
Ocampo, A., K. O. Pope and A. G. Fischer, 1996. Ejecta Blanket Deposits of the Chicxulub Crater from Albion Island, Belize. GSA, Special Paper 307, 7588. [ Links ]
O'Keefe, J. D. and T. J. Ahrens, 1977. Meteorite Impact Ejecta: Dependence of Mass and Energy Lost on Planetary Escape Velocity, Science, 198, 12491251. [ Links ]
Poveda, A., M. A. Herrera, J. L. García and K. Curioca, 1999a. The Diameter Distribution of earthcrossing Asteroids. Planet. Space. Sci., 47, 679685. [ Links ]
Poveda, A., M. A. Herrera, J. L. García, A. HernándezAlcántara and K. Curioca, 1999b. The Expected Frequency Of Collisions Of Small Meteorites With Cars And Aircraft. Planet. Space. Sci., 47, 715719. [ Links ]
Van Houten, C. J., Y. Van HoutenGroeneveld, P. Herget and T. Gehrels, 1970. The PalomarLeiden Survey of Faint Minor Planets. Astron. and Astrophys. Suppl. 2, 339448. [ Links ]
Vickery, A. 1987. Variation in Ejecta Size with Ejection Velocity, Geophys. Res. Lett., 14, 726729. [ Links ]
* In the present paper we will use CHIC(S) instead of the tonguetwister Chicxulubite (s).













