Servicios Personalizados
Revista
Articulo
Indicadores
-
Citado por SciELO -
Accesos
Links relacionados
-
Similares en
SciELO
Compartir
Geofísica internacional
versión On-line ISSN 2954-436Xversión impresa ISSN 0016-7169
Geofís. Intl vol.47 no.1 Ciudad de México ene./mar. 2008
Short notes
The ellipticity of Rayleigh waves at infinite depth
P. Malischewsky Auning
FriedrichSchiller Universität Jena, Institut für Geowissenschaften, Burgweg 11, 07749 Jena, Germany Email: p.mali@uni-jena.de
Received: October 18, 2007
Accepted: November 9, 2007
Resumen
Se presenta una fórmula analítica y una aproximación para calcular la elipticidad de las ondas de Rayleigh en un semiespacio homogéneo a profundidad infinita, en función del módulo de Poisson. Se compara el resultado con las fórmulas correspondientes para elipticidad en la superficie.
Palabras clave: Ondas de Rayleigh, elipticidad.
Abstract
I present an analytical formula and an approximation for the ellipticity of Rayleigh waves in a homogeneous halfspace at infinite depth in terms of Poisson's ratio. The result is compared with the corresponding formulas for surface ellipticity.
Key words: Rayleigh waves, ellipticity.
Introduction
The ellipticity or H/V ratio χ0 of seismic Rayleigh waves propagating on the surface of the Earth has attracted the attention of experimental seismologists (see, e. g., Lermo and ChávezGarcía, 1994; Bard, 1998); FloresEstrella, 2004) as well as theoreticians (see, e. g., Malischewsky and Scherbaum, 2004). The ellipticity of Rayleigh waves at infinite depth χ∞ is a significant parameter that belongs to a complete theoretical description of the wave field. Weichert (2007) pointed out that the ellipticity adopts a constant value at infinite depth. This is indeed the case: its value may be simply determined as a function of Poisson's ratio v. It should be noted, however, that the meaning of "infinite depth" is frequencydependent. It can extend over an interval of many kilometers for longperiod Rayleigh waves, or of a few meters for very highfrequency waves. This feature can be significant in some geophysical situations, e. g. for borehole measurements.
An analytical formula for χ∞
Representations of the Rayleigh eigenfunctions for a homogeneous halfspace lead to the simple formula

where c is the phase velocity and β is the shearwave velocity. By using Malischewsky's formula for the Rayleighwave velocity in a halfspace (see Malischewsky, 2004), the ellipticity at infinite depth may be expressed analytically as a function of Poisson's ratio as

where the following abbreviations are used:

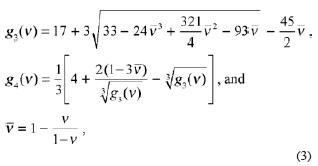
and the main values of the cubic roots are used throughout. For the reader's convenience we recall the formula for χ0 (see Malischewsky et al., 2007):

The ellipticities χ0 and χ∞ in terms of Poisson's ratio are shown in Fig. 1 together with the difference between both values. Negative Poisson's ratios do not arise in seismology, except in some particular crystallization phases of ice (Bormann, 2002). However, they do have some importance in material science, and they are included here for completeness. At infinite depth, the ellipse described by particle motion is always flatter than it is on the surface. In Fig. 1, the difference between the ellipticities has a maximum at v = 0 (χ0 χ∞ = 0.3), and the relative deviation (χ0 χ∞ )/χ0 is maximum at v = 0.5. In the valley of Mexico, Poisson's ratio is as high as 0.499 and the ellipti city at infinite depth reaches 54.4% of the surface ellipticity.

Finally, we may make use of a method proposed by Pham Chi Vinh and Malischewsky (2006) which involves carrying out a Taylor expansion of Equations (2) and (4) in the interval
. The approximation is very accurate, with a relative error of less than 0.1 % in the whole interval:

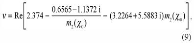
These formulas may be easily inverted to obtain Poisson's ratio. Let

then the equations for the corresponding ellipticities are


where i denotes the imaginary unit and the main values of the cubic roots should be used. These formulas may also be useful in possible new applications of the H/Vmethod for nondestructive testing (see Malischewsky et al., 2006, and Weichert, 2007).
Acknowledgements
The support of the Bundesministerium für Bildung und Forschung (BMBF) in the framework of the joint project "WTZ GermanyIsrael: System Earth" under Grant No. 03F0448A is gratefully acknowledged.
Bibliography
Bard, P.Y., 1998. Microtremor measurements: A tool for site effect estimation. Proc. Second International Symposium on the Effect of Surface Geology on Seismic Motion, Yokohama, Japan, 13 December 1998, pp. 2533. [ Links ]
Bormann, P. (Ed.), 2002. IASPEI New Manual of Seismological Observatory Practice, GeoForschungsZentrum, Potsdam. [ Links ]
FloresEstrella, H., 2004. The SPAC method: An alternative for the estimation of model velocities in the valley of Mexico (in Spanish), MSc thesis, UNAM, Mexico. [ Links ]
Lermo, J. and F. J. ChávezGarcía, 1994. Are microtremors useful in site response evaluation? Bull. Seismol. Soc. Am., 84, 13501364. [ Links ]
Malischewsky, P. G. and F. Scherbaum, 2004. Love's formula and H/Vratio (ellipticity) of Rayleigh waves. Wave Motion, 40, 5767. [ Links ]
Malischewsky Auning, P. G., 2004. A note on Rayleighwave velocities as a function of the material parameters. Geofísica Internacional, 43, 507509. [ Links ]
Malischewsky, P. G., J. D. Schnapp and A. Ziegert, 2006. The ellipticity of Rayleigh waves and nondestructive testing. Abstracts, 9th European Conference on NDT (ECNDT), Berlin, Germany, September 2529, 2006, We. 2. 4. 3. [ Links ]
Malischewsky, P. G., F. Scherbaum, C. Lomnitz, Tran Thanh Tuan, F. Wuttke and G. Shamir, 2007. The domain of existence of prograde Rayleighwave motion for simple models, submitted to Wave Motion. [ Links ]
Pham Chi Vinh and P. G. Malischewsky, 2006. Explanation for Malischewsky's approximate expression for the Rayleigh wave velocity. Ultrasonics, 45, 7781. [ Links ]
Weichert, CH, 2007. Investigation of material properties by using the ellipticity of Rayleigh waves, Ph. D. thesis, FriedrichSchiller University, Jena, Germany, 226 pp. [ Links ]













