Servicios Personalizados
Revista
Articulo
Indicadores
-
Citado por SciELO -
Accesos
Links relacionados
-
Similares en
SciELO
Compartir
Geofísica internacional
versión On-line ISSN 2954-436Xversión impresa ISSN 0016-7169
Geofís. Intl vol.45 no.2 Ciudad de México abr./jun. 2006
Cooling rate effects on the magnetization of volcanic rocks: Some implications for paleointensity determination
Juan Morales*, Avto Goguitchaichvili and Jaime UrrutiaFucugauchi
Laboratorio de Paleomagnetismo y Geofísica Nuclear, Instituto de Geofísica, UNAM, Ciudad Universitaria S/N, 04510 México, D. F., MEXICO
*Corresponding author:
Dr. Juan Morales,
Universidad Nacional Autónoma de México (UNAM),
Instituto de Geofísica
Email: jmorales@geofisica.unam.mx
Received: September 14, 2005
Accepted: March 31, 2006
Resumen
Se analizan los efectos de la variación del ritmo de enfriamiento en la adquisición de la magnetización termoremanente (TRM, por sus siglas en inglés) en un conjunto de rocas volcánicas. Se empleó un procedimiento experimental en tres etapas aplicado a tres temperaturas diferentes de adquisición de TRM. Se aplicó una TRM parcial (pTRM @ 300°C) a una selección de dieciséis muestras, estables térmicamente, de flujos de lava del Cuaternario Tardío, empleando un ritmo de enfriamiento lento. Las intensidades adquiridas se midieron a temperatura ambiente. Una segunda pTRM fue aplicada a los mismos especímenes usando un ritmo de enfriamiento rápido, determinándose las intensidades adquiridas a temperatura ambiente. Finalmente se aplicó una tercera pTRM, como en el primer paso, usando un ritmo de enfriamiento lento. El procedimiento se repitió para crear pTRM's a temperaturas mayores de 450° y 550°C. Se calculó la variación porcentual correspondiente entre la intensidad de las magnetización adquirida a ritmos de enfriamiento lentorápido y lentolento para investigar la influencia del ritmo de enfriamiento sobre la intensidad de adquisición de la TRM, así como los cambios en la capacidad de adquisición de la TRM, respectivamente. Se observan variaciones tan altas como 300% en el primer caso (300°C). La intensidad del campo magnético antiguo, obtenida de rocas volcánicas, podría estar sobreestimada al menos 15% debido a la diferencia entre los ritmos de enfriamiento empleados comúnmente en el laboratorio y los ritmos de enfriamiento, más lentos, encontrados en la naturaleza.
Palabras clave: Ritmo de enfriamiento, paleointensidad, rocas volcánicas, magnetismo de rocas.
Abstract
Effects of variation of cooling rate in the acquisition of thermoremanent magnetization (TRM) are analyzed on a suite of volcanic rocks. We use a threestep cooling rate experimental procedure applied at three distinct temperatures of TRM acquisition. Sixteen selected, thermally stable samples from Late Quaternary lava flows were given a pTRM (300°C) at a slow cooling rate. The acquired intensities were measured at room temperature. A second pTRM was applied to the same specimens using a fast cooling rate, and the acquired intensities were measured at room temperature. Finally a third pTRM was induced as in the first step, using a slow cooling rate. The procedure was repeated to create pTRM's at higher temperatures of 450° and 550°C. Corresponding percent variations between magnetization intensities acquired at slowfast and at slowslow cooling rates were calculated to investigate the influence of cooling rate on TRM intensity acquisition, and on TRM acquisition capacity. We observe values as high as 300 % in the former case (300 °C). Intensity of the ancient geomagnetic field obtained from volcanic rocks could be overestimated by at least 15% due to a variation in cooling rate normally employed in the laboratory, as compared to slower rates found in nature.
Key words Cooling rate, paleointensity, volcanic rocks, rock magnetism.
INTRODUCTION
The effect of cooling rate on thermoremanent magnetization (TRM) was first considered by Neel [1955], and later by Pullaiah et al., [1975] and York [1978]. Since the early 80's, numerous theoretical and experimental studies have been devoted to investigate the influence of cooling rate upon the intensity of TRM acquisition [e.g., Walton, 1980; Fox and Aitken, 1980; Halgedhal et al., 1980; Dodson and McClelland Brown, 1980; McClelland Brown, 1984; Walton and Williams, 1988; Chauvin et al., 1991; Biquand, 1994]. Most of these authors provide analytical or numerical solutions of magnetization for assemblies of singledomain grains, whereas experimental studies are mainly devoted to synthetic magnetite and titanomagnetites of varying sizes, or to archaeomagnetic materials. Dodson and McClellandBrown [1980] predicted a 7% increase in TRM intensity for an order of magnitude decrease in cooling rate. This effect may have important implications for paleointensity determinations, yet few studies take into account the cooling rate effects [e.g., Pick and Tauxe, 1993; Chauvin etal.,2000; Carlut and Kent, 2002; Genevey and Gallet, 2002].
In this study, we report new experimental data to evaluate the effect of cooling rate on the intensity of TRM and we examine some implications on paleointensity determinations for magnetically and chemically wellcharacterized and thermally stable volcanic rock samples.
SAMPLES AND LABORATORY PROCEDURES
Samples used in this study come from Late Quaternary lava flows of Chichinautzin volcanic field in Central Mexico. These samples previously provided high technical quality Thellier paleointensity results. The rockmagnetic and paleodirectional properties of these flows have been previously investigated in detail [Morales et al., 2001 and 2003]. The remanence is dominated by a stable, single component magnetization as attested by alternating field and thermal cleanings. The main magnetic carriers are lowTi titanomagnetites as evidenced by reasonably reversible susceptibility versus temperature curves. The ratios of hysteresis parameters indicate that all samples fall in the pseudosingle domain grain size region, probably indicating a mixture of multidomain and a significant amount of single domain grains [Morales et al., 2003]. Characteristic concaveup Arai plots for MD samples [Shcherbakova et al., 2000] are not observed, suggesting no major influence of MD grains.
Samples were heated to 600°C and maintained at this temperature for 20 minutes in zero magnetic field. After this time they were allowed to cool inside the free field furnace chamber down to 300 °C. A magnetic field intensity of 30 µT was induced at this point by the coil of an MMTD (Magnetic Measurements LtD) oven. Samples were then allowed to cool naturally at a slow cooling rate (
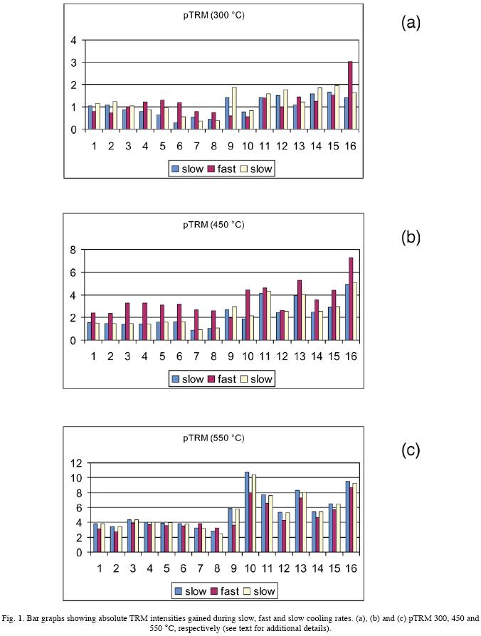
10 hours) down to room temperature. Intensity of the partial TRM (TRM1) so obtained was measured using a JR5 (Agico LtD) spinner magnetometer. In a similar way, a second pTRM (TRM2) was created at a faster cooling rate (for about 30 to 45 min). The intensity of TRM2 was measured. The last step of this procedure consisted of inducing a third partial TRM ( TRM3) in the same conditions as those employed to create TRM1, that is, using the same cooling conditions. Acquired TRM intensities obtained in this threestep procedure were plotted in bar graphs as shown in Figure 1 (a).
The entire procedure was repeated to create pTRM's at two higher temperatures of 450 and 550°C. The corresponding histogram plots are shown in Figure 1 (b) and (c), respectively.
The anisotropy of magnetic susceptibility (AMS) was measured on all samples to further investigate any possible mineralogical effects on remanence acquisition. AMS determinations were carried out on each specimen using a Kappabridge KL2 instrument.
RESULTS
The effect of cooling rate upon TRM intensity was estimated from percent variation between the intensity acquired during a long and a short cooling time (Table 1).
Changes in TRM acquisition capacity was estimated by means of the percent variation between the intensity acquired during same inconsecutive cooling time (first and third pTRMs).
Most samples experienced an increase in TRM (300°C) acquisition capacity (slowslow cooling rates, first and third heatings) of 14 %, on average, occasionally increasing to 30% and up to 100%, in some extreme cases. Samples with a lower variation index show changes due to differences in cooling rates (slowfast rates, first and second heatings) of 35 %, on average, extending up to 100 and 300 %, in a few cases, Table 1.
In the two remaining cases, [TRM (450 °C) and TRM (550 °C)] the variation in TRM acquisition capacity was below 5% in most of the samples, with only two exceptions. In contrast, variations due to differences in cooling rates yield raised values higher than 30%, on average, and above 100% in some cases for TRM (450 °C). Corresponding values for TRM (550 °C) did not exceed 20% in most of the samples, with only two exceptions (25.5 and 37.9 %) (Table 1).
A higher intensity of pTRM, gained during quick cooling (central bar) for all the samples, is attested in Figure 1 (b), in accordance to McClellandBrown's observations [1984] for PSD or MD titanomagnetites. The same effect is observed in half of the samples for a temperature of 300 °C, Figure 1 (a), though it is more evident at a temperature of 450 °C, which is within the Curie temperature range of the titanomagnetite matrix.
No anisotropy correction was needed since AMS was low (less than 1%) in all the samples. Thus, anisotropy effects may be discarded as responsible of the observed TRM behavior.
DISCUSSION
The effect of cooling rate upon acquisition of pTRMs in volcanic rocks appears to be more complex than found in archaeomagnetic investigations. Even samples with near to zero variations in TRM acquisition capacity can show strong dependence on cooling rate (row 6, column 4 of Table 1). In the best case (row 14, column 6 of Table 1), a difference in cooling rates of just one order of magnitude may produce a difference of more than 10% in magnetization. It should be noted that the effect of cooling rate upon acquisition of pTRMs (TRM1 vs TRM2, Table 1) is generally greater than the variation in TRM acquisition capacity (TRM1 vs TRM3, Table 1).
Carlut and Kent [2002] observed a somewhat similar behavior on four glassy and nonglassy subsamples from submarine basalts. They reported differences of up to 15% between partial remanences acquired using different (one order of magnitude) cooling rates. The cooling in these experiments, however, was performed from relatively low temperatures (340°C maximum), faraway from the higher Curie temperature (Tc) estimated for these submarine basalts. As suggested by McClellandBrown, [1984] no intensity changes occur below the Curie temperature of the titanomagnetite matrix. Above Tc, however, the intensity of the acquired TRM increases drastically.
Paleomagnetic sampling is usually done on artificially exposed outcrops on roads cuts and sampling is distributed horizontally and vertically to minimize block tilting effects. Sampling along several meters of a single lava flow along a profile is also common practice in paleointensity studies. In either case, core samples come from different cooled volumes within the flow.
Calculations made by a simple extension of the model outlined by Pick and Tauxe [1993] led us to estimate the time that it takes for a volcanic rock to cool down from 560° to 100 °C as a function of depth. From Figure 2, it takes a lava flow around 2 days to cool between these limits for a depth of 10 cm. This corresponds to a difference of two orders of magnitude in cooling rate with respect to ordinary laboratory cooling times. For a volcanic unit in the same cooling conditions it will take around 7 and 17 days for a thickness of 20 and 30 cm, respectively. Even within a specific outcrop, differences of several orders in cooling rates between nature and laboratory should be expected.

An estimate of the cooling rate effect on the intensity of TRM for paleointensity (PI) determinations can be straightforward estimated by means of Koenigsberger's 'singleheating' method [1938]. It is not necessary to use the more reliable stepwise Thellier method [Thellier and Thellier, 1959], since the remanences are characterized by stable, single components. Intensity of 'ancient' geomagnetic field would be overestimated by at least 15% for cooling rates normally employed in the laboratory, as shown in the second column of Table 2. On the contrary, when similar cooling rates are used, the' 'PI' is accurately reproduced within 1% error (column 3, Table 2), as reported in earlier studies.

In conclusion, we show that the effect of cooling rate may play an important role in paleointensity determinations. This effect should always be considered when samples are collected at different depths.
ACKNOWLEDGEMENTS
We thank A. GonzálezRangel for assistance with the measurements. AG acknowledges the financial support of UNAMDGAPA IN100403 and CONACyT grant n°42661.
BIBLIOGRAPHY
BIQUAND, D., 1994. Effet de la vitesse de refroidissement sur l'intesité de l'aimantation thermorémanente: étude expérimentale, conséquences théoriques. Can. J. Earth Sci. 31, 13421352. [ Links ]
CARLUT, J. and D. V. KENT, 2002. Grainsizedependent paleointensity results from very recent midoceanic ridge basalts. J. Geophys. Res., 107, B3, 10.1029/ 2001JB00439. [ Links ]
CHAUVIN, A., P. Y. GILLOT and N. BONHOMMET, 1991. Paleointensity of the Earth's Magnetic Field Recorded by Two Late Quaternary Volcanic Sequences at the Island of La Réunion (Indian Ocean). J. Geophys. Res., 96, B2, 19812006. [ Links ]
CHAUVIN, A., A. GARCÍA, PH. LANOS and F. LAUBENHEIMER, 2000. Paleointensity of the geomagnetic field recovered on archaeomagnetic sites from France. Phys. Earth Planet. Int., 120, 111136. [ Links ]
DODSON, M. H. and E. MCCLELLANDBROWN, 1980. Magnetic blocking temperature of singledomain grains during slow cooling. J. Geophys. Res., 85, 26252637. [ Links ]
FOX, J. M. W. and M. J. AITKEN, 1980. Cooling rate dependence of the thermoremanent magnetization. Nature, 283, 462463. [ Links ]
GENEVEY, A. and Y. GALLET, 2002. Intensity of the geomagnetic field in western Europe over the past 2000 years: New date from ancient French pottery. J. Geophys. Res., 107, B11, 10.1029/2001JB000701. [ Links ]
HALGEDAHL, S. L., R. DAY and M. FULLER, 1980. The effect of cooling rate on the intensity of weak field TRM in single domain magnetite. J. Geophys. Res., 85,36903698. [ Links ]
KOENIGSBERGER, J. G., 1938. Natural residual magnetism of eruptive rocks. Terr. Magn. Atmos. Electr., 43, 299320. [ Links ]
McCLELLANDBROWN, E., 1984. Experiments on TRM intensity dependence on cooling rate. Geophys. Res. Lett., 11, 3, 205208. [ Links ]
MORALES J., A. GOGUITCHAICHVILI and J. URRUTIAFUCUGAUCHI, 2001. A rockmagnetic and paleointensity study of some Mexican volcanic lava flows during the Latest Pleistocene to Holocene. Earth Planets Space, 53, 893902. [ Links ]
MORALES J., A. GOGUITCHAICHVILI and J. URRUTIAFUCUGAUCHI, 2003. An experimental evaluation of Shaw's paleointensity method and its modifications using Late Quaternary basalts. Phys. Earth Planet Inter., 138, 110. [ Links ]
NEEL, L., 1955. Some theoretical aspects of rock magnetism. Adv. Phys., 4, 191243. [ Links ]
PICK, T. and L. TAUXE, 1993. Holocene Paleointensities: Thellier Experiments on Submarine Basaltic Glass From the East Pacific Rise. J. Geophys. Res., 98, B10, 1794917964. [ Links ]
PULLAIAH, G., E. IRVING, K. L. BUCHAN and D. J. DUNLOP, 1975. Magnetization changes caused by burial and uplift. Earth Planet Sci. Lett. 28, 133143. [ Links ]
SHCHERBAKOVA, V. V., V. P. SHCHERBAKOV and F. HEIDER, 2000. Properties of partial thermoremanent magnetization in PSD and MD magnetite grains. J. Geophys. Res. 105, B1. 767782. [ Links ]
THELLIER, E. and O. THELLIER, 1959. Sur l'intensité du champ magnétique terrestre dans le passé historique et géologique. Ann. Géophysique, 15, 285376. [ Links ]
WALTON, D., 1980, Timetemperature relations in the magnetization of assemblies of single domain grains. Nature, 286, 245247. [ Links ]
WALTON, D. and W. WILLIAMS, 1988. Cooling Rate Effects in the Magnetization of SingleDomain Grains. J. Geomag. Geoelectr., 40, 729737. [ Links ]
YORK, D., 1978, A formula describing both magnetic and isotopic blocking temperatures. Earth Planet Sci. Lett. 39, 8993. [ Links ]












