Antecedentes
Los trastornos musculoesqueléticos (TME) representan un desafío de salud pública a escala global: afectan a aproximadamente 1710 millones de personas, cuya tercera parte se concentra en países de ingresos altos; además, se posicionan como la principal causa de discapacidad, ya que derivan en 149 millones de años vividos con discapacidad (AVD), lo que representa 17 % del total global de AVD.1-3
La creciente prevalencia de TME en poblaciones en proceso de envejecimiento, junto con otros cambios demográficos como crecimiento poblacional y urbanización (entre otros), agrava la complejidad del panorama en salud pública. En el mundo, el número de individuos mayores de 70 años afectados por TME pasó de 110 millones en 1990 a 255 millones en 2019.4,5 México ha presentado esta tendencia global: se evidenció un aumento de 1.1 a 3.6 millones en ese intervalo; además, un estudio de 2018 destacó que se situó entre los países más afectados al ocupar la quinta y sexta posición en años perdidos por muerte prematura y años de vida saludable perdidos, respectivamente.6 Esta situación, junto con la necesidad de información actualizada, subraya la imperiosa necesidad de abordar y profundizar en este desafío de salud.
La integridad del sistema musculoesquelético es importante para garantizar la calidad de vida y bienestar general. Los TME no solo limitan la movilidad y habilidades manuales, también incrementan el riesgo de desarrollar enfermedades crónicas degenerativas. Además, tienen un efecto cascada, resultando en retiro laboral prematuro, deterioro en la calidad de vida y participación limitada en la comunidad.7-9 Frecuentemente se asocian a problemas psicológicos, que, en conjunto con el dolor, generan un ciclo perjudicial para las personas.3
A pesar de la alta prevalencia y del impacto significativo en la calidad de vida,10 los TME han recibido poca atención por parte de los investigadores y tomadores de decisiones. Ante esta omisión y el incremento sostenido de la carga asociada a los TME, el objetivo de este estudio es analizar la carga de los TME en términos de AVD en México desde 1990 hasta 2021, a partir de las estimaciones del estudio Global Burden of Disease (GBD) 2021.
Material y métodos
Se analizaron las estimaciones del GBD 2021 realizadas por el Instituto para la Métrica y Evaluación de la Salud, Universidad de Washington, en Seattle, Estados Unidos. El GBD propone un marco conceptual y metodológico riguroso para la evaluación sistemática y comparativa de 371 enfermedades y lesiones, 288 causas de muerte y 88 factores de riesgo. Las estimaciones se agrupan por grupos de edad y sexo para 204 países, entre los cuales en 12 se dispone de estimaciones subnacionales (incluido México), así como para varios territorios en el período de 1990 a 2021.11 La metodología general del GBD, así como las específicas para ciertos grupos de enfermedades y trastornos, como los musculoesqueléticos, han sido publicadas previamente.12
Para analizar la mortalidad y discapacidad derivadas de los TME, el Instituto para la Métrica y Evaluación de la Salud efectuó una evaluación detallada conforme a los criterios del Colegio Americano de Reumatología y la Décima Revisión de la Clasificación Estadística Internacional de Enfermedades. Consecuentemente, los TME se clasificaron en seis categorías: osteoartritis, artritis reumatoide, gota, dolor cervical, lumbalgia y otros trastornos, que incluyen lupus eritematoso sistémico, espondilitis anquilosante, artritis psoriásica y fibromialgia, entre otras condiciones genéticas y del tejido conectivo.10
Dado que 95 % de la carga de los TME se relaciona con discapacidad y no mortalidad, se utilizaron los AVD como medida principal. Los AVD cuantifican el tiempo vivido con enfermedad o discapacidad. Esta medición se obtiene multiplicando la prevalencia de cada trastorno por un ponderador de discapacidad estandarizado, que oscila entre cero (salud óptima) y uno (máxima pérdida de salud).13 Se presentan los AVD en cifras absolutas, porcentajes, tasas crudas y tasas estandarizadas por edad por 100 000 habitantes en México, tanto en el ámbito nacional, por estados, sexo y grupos de edad, desde 1990 hasta 2021.
Para establecer la magnitud de los TME, se destacaron las tasas crudas de las diez principales causas de AVD en 2021, luego se examinaron las tasas de las seis categorías de TME, su variación porcentual desde 1990 y la tendencia de AVD de las seis categorías por sexo durante el período de estudio. Se presenta el panorama nacional de la tasa cruda de los TME en conjunto y categorías para 2021, segmentada por sexo y enfocada en tres grupos de edad, definidos por cambios significativos en el sistema musculoesquelético: de 15 a 49 años, de 50 a 69 años y 70 años en adelante. Adicionalmente, se desglosaron las tasas por intervalos quinquenales de edad. Finalmente, para una visualización geográfica se construyeron mapas estatales de tasas crudas y estandarizadas por edad para 2021.
Las estimaciones se presentaron con intervalos de incertidumbre de 95 % (II 95 %), que refleja la incertidumbre intrínseca del modelado en el GBD, con base en la mediana y percentiles 2.5 y 97.5 de 500 iteraciones. El GBD cumple con la Declaración de Directrices para la Presentación de Estimaciones de Salud Precisas y Transparentes.14 Todos los datos del GBD están disponibles en el sitio web del Instituto para la Métrica y Evaluación de la Salud. Las visualizaciones se encuentran en la plataforma GBD Compare5 y los resultados completos se pueden descargar en GBD Results Tool.15
Resultados
En el ámbito nacional, los TME no solo se mantuvieron como la primera causa de AVD en 1990 y 2021, también presentaron un incremento (57.3 %) de su tasa cruda, pasando de 1458.4 (II 95 % = 1084.7-1915.1) a 2293.7 (II 95 % = 1712.2-3053.7) por 100 000 habitantes en dicho período (Figura 1).

Figura 1 Tasas crudas (por 100 000 habitantes) de las 10 principales causas de AVD a nivel nacional, en todas las edades y ambos sexos combinados, en 1990 y 2021, así como cambio porcentual en ese período. Las tasas están ordenadas de manera descendente. Las líneas punteadas indican que el ordenamiento de una causa disminuyó entre 1990 y 2021, mientras que las líneas continuas indican que no hubo cambio en el ordenamiento o que se incrementó en ese mismo período. AVD: años vividos con discapacidad; II 95 %: intervalo de incertidumbre de 95 %.
En la Figura 2 se muestran las tasas crudas nacionales de AVD de los TME en 2021 y sus cambios desde 1990. En 2021, la lumbalgia (840.6, II 95 % = 584.7-1121.9) y otros TME (791.2, II 95 % = 540.6-1121.1) constituyeron la mayor carga. El dolor de cuello (301.1, II 95 % = 204.5-435.4) y la osteoartritis (291.2, II 95 % = 136.7-634.2) presentaron cargas moderadas, mientras que la artritis reumatoide (62.8, II 95 % = 42.7-84.9) y la gota (6.8, II 95 % = 4.7-9.3), las más bajas. Todas las categorías de los TME se incrementaron entre 1990 y 2021. La osteoartritis, gota y artritis reumatoide presentaron los incrementos más altos: 127.7, 100.1 y 92.0 %, respectivamente. La lumbalgia, pese a su alta tasa, se incrementó 42.3 %, y el dolor de cuello tuvo el menor aumento, 32.8 %.

Figura 2 Tasas crudas de AVD (por 100 000 habitantes) de las seis categorías de los TME a nivel nacional, en todas las edades y ambos sexos combinados en 2021, así como porcentaje de cambio respecto a 1990. Las tasas de AVD están ordenadas de manera ascendente. La línea negra continua al final de cada barra indica el II 95%. AVD: años vividos con discapacidad; II 95 %: intervalo de incertidumbre de 95 %; TME: trastornos musculoesqueléticos.
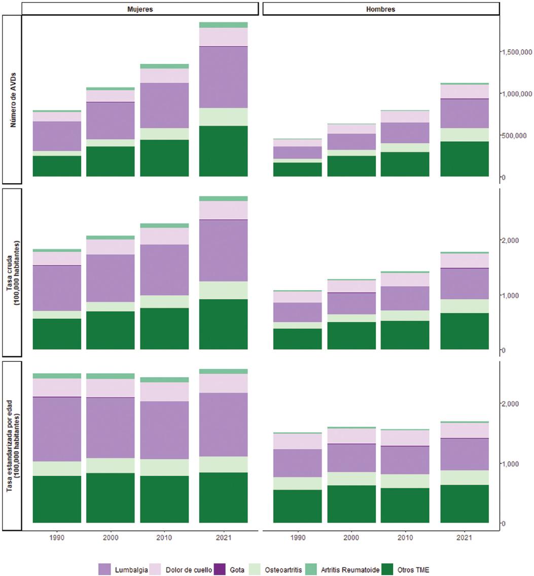
Durante el período de análisis, la carga en mujeres superó consistentemente a la de hombres. En 2021, las mujeres registraron 1 849 199.6 AVD (II 95 % = 1 225 256.6-2 719 970.9) y los hombres, 1 120 573.7 (II 95 % = 734 982.9-1 696 218.4). Se observó un incremento sostenido del número y tasas crudas de AVD en las seis categorías de TME de mujeres y hombres. En contraste, las tasas estandarizadas mostraron variaciones: las mujeres presentaron una ligera disminución entre 1990 y 2010 y posteriormente un crecimiento marginal, mientras que los hombres manifestaron un incremento gradual desde 1990 (Figura 3).

Figura 3 Tendencias del número, tasas crudas (por 100 000 habitantes) y ajustadas por edad (por 100 000 habitantes) de AVD de las seis categorías de los TME para todas las edades y estratificado según sexo en México, 1990-2021. AVD: años vividos con discapacidad; II 95 %: intervalo de incertidumbre de 95 %; TME: trastornos musculoesqueléticos.
A partir de la comparación de las categorías de TME según sexo en 2021, se identificó que la lumbalgia fue particularmente mayor en mujeres (1115.8, II 95 % = 776.1-1494.0) que en hombres (551.8, II 95 % = 383.8-739.4). Además, se corroboró el incremento de la carga con la edad: la tasa del total de TME en mayores de 70 años (5460.1, II 95 % = 3776.9-8181.7) fue 2.5 veces superior a la del grupo de 15 a 49 años (2205.9, II 95 % = 1580.1-2946.1), Tabla 1.
Tabla 1 Tasa cruda de AVD (por 100 000 habitantes) del total de TME y las seis categorías de TME, estratificada según sexo y grupos de edad. México, 2021
| Total de TME* Tasa (II 95 %) | Lumbalgia** Tasa (II 95 %) | Dolor de cuello** Tasa (II 95 %) | Osteoartritis** Tasa (II 95 %) | Artritis reumatoide** Tasa (II 95 %) | Gota** Tasa (II 95 %) | Otros TME** Tasa (II 95 %) | |
|---|---|---|---|---|---|---|---|
| Todas las edades y según sexo | |||||||
| Ambos sexos | 2 293.7 (1 712.2-3 053.7) | 840.6 (584.7-1121.9) | 301.1 (204.5-435.4) | 291.2 (136.7-634.2) | 62.8 (42.7-84.9) | 6.8 (4.7-9.3) | 791.2 (540.6-1 121.1) |
| Mujeres | 2789.8 (2 100.6-3 692.5) | 1 115.8 (776.1-1 494.0) | 332.6 (229.9-484.6) | 324.7 (152.5-707.3) | 99.5 (67.6-134.3) | 5.1 (3.5-7.1) | 912.0 (618.9-1 276.2) |
| Hombres | 1716.4 (1 299.7-2 383.6) | 551.8 (383.8-739.4) | 268.1 (178.3-384.2) | 256.0 (120.1-557.5) | 24.3 (16.6-33.1) | 8.6 (6.0-11.7) | 664.6 (458.4-958.4) |
| Ambos sexos y por grupos de edad | |||||||
| 15-49 años | 2 205.9 (1 580.1-2 946.1) | 887.2 (593.8-1 241.7) | 359.6 (229.8-545.1) | 78.6 (34.9-171.5) | 51.2 (33.0-72.2) | 5.2 (3.0-7.9) | 824.2 (549.4-1 219.5) |
| 50-69 años | 4 760.2 (3 432.6-6 766.7) | 1 521.3 (1 065.4-2 078.1) | 473.6 (274.7-758.3) | 975.9 (461.2-2 154.8) | 156.7 (108.4-209.4) | 16.4 (10.9-24.8) | 1 616.2 (1 063.2-2 264.3) |
| ≥ 70 años | 5 460.1 (3 776.9-8 181.7) | 1 718.9 (1 236.7-2 291.6) | 440.6 (253.1-701.5) | 1 599.1 (749.6-3 330.9) | 170.8 (116.3-226.7) | 23.5 (14.8-33.6) | 1 507.2 (1 025.7-2 131.6) |
| Según sexo y grupos de edad | |||||||
| Mujeres | 2 704.3 | 1 205.4 | 392.5 | 83.9 | 83.0 | 3.8 | 935.8 |
| 15-49 años | (1 940.7-3 585.2) | (807.5-1 704.7) | (251.1-591.6) | (37.4-181.6) | (53.7-116.7) | (2.2-5.7) | (630.9-1 370.7) |
| Mujeres | 5 548.12 | 1 898.5 | 517.3 | 1 049.5 | 240.5 | 12.5 | 1 829.8 |
| 50-69 años | (4 025.8-7 812.3) | (1 332.6-2 613.4) | (302.5-843.6) | (496.8-2 322.5) | (165.8-320.3) | (8.1-19.2) | (1 211.3-2 549.7) |
| Mujeres | 6 226.0 | 2 095.7 | 475.6 | 1 721.9 | 235.6 | 16.3 | 1 681.0 |
| ≥ 70 años | (4 357.9-9 202.0) | (1 502.8-2 810.5) | (276.9-744.3) | (806.66-3 587.64) | (160.8-315.1) | (10.2-23.2) | (1 155.3-2 350.4) |
| Hombres | 1 683.3 | 553.5 | 325.1 | 73.0 | 17.8 | 6.7 | 707.2 |
| 15-49 años | (1 207.7-2 283.4) | (369.2-757.0) | (206.9-498.5) | (32.2-160.9) | (11.1-26.2) | (3.8-10.1) | (460.2-1 060.7) |
| Hombres | 3 874.0 | 1 097.0 | 424.5 | 893.1 | 62.5 | 20.9 | 1 375.9 |
| 50-69 años | (2 765.3-5 593.9) | (758.7-1 490.8) | (246.0-690.1) | (421.2-1 964.7) | (41.6-83.2) | (14.2-31.5) | (892.4-1 945.1) |
| Hombres | 4 544.3 | 1 268.4 | 398.6 | 1 452.40 | 93.3 | 32.2 | 1 299.4 |
| ≥ 70 años | (3 082.2-6 961.6) | (918.6-1 685.8) | (232.4-637.0) | (681.4-3 028.0) | (630.0-124.7) | (20.4-46.0) | (870.8-1 888.1) |
*Total de los trastornos musculoesqueléticos.
**Abarca las categorías de los trastornos musculoesqueléticos (lumbalgia, dolor de cuello, osteoartritis, artritis reumatoide, gota, otros TME), ordenados de izquierda a derecha de manera descendente, con excepción de "otros TME". AVD: años vividos con discapacidad; II 95 %: intervalo de incertidumbre de 95 %; TME: trastornos musculoesqueléticos.
La distribución de TME difirió entre los grupos de edad en 2021. Por ejemplo, en la población de 50 a 69 años, la mayor tasa estuvo representada por el dolor de cuello (1521.3, II 95 % = 1065.4-2078.1) y otros TME (1616.2 = II 95 % = 1063.2-2264.3), mientras que en mayores de 70 años destacaron la lumbalgia (1718.9, II 95 % = 1236.7-2291.6) y la osteoartritis (1599.1 = II 95 % = 749.6-3330.9). Además, se constató que las mujeres enfrentan mayor carga que los hombres en todas las categorías de TME, con excepción de la gota. Respecto a esta última, la tasa en hombres mayores de 70 años fue 4.8 veces mayor que la observada en hombres de 15 a 49 años (Tabla 1).
Durante 2021 se observó un incremento en las tasas de TME en ambos sexos, que alcanzó su punto máximo de los 75 a 79 años en mujeres y de los 70 a 74 años en hombres. Después de estos picos, las tasas disminuyeron, con mayor reducción en las mujeres. Destacó la presencia constante de lumbalgia y dolor cervical desde edades tempranas, que se prolongó a lo largo de la vida adulta. La osteoartritis se observó a partir de los 35 años, con incremento notable conforme transcurrió la edad. Aunque la gota constituyó una carga menor, se presentó alrededor de los 40 años con una tasa constante (Figura 4).

Figura 4 Distribución de las tasas crudas (por 100 000 habitantes) de AVD de las seis categorías de TME estratificado según grupos quinquenales (15 años y más) de edad y sexo en México, 2021. AVD: años vividos con discapacidad; TME: trastornos musculoesqueléticos.
Finalmente, se identificó que tanto la tasa cruda como la estandarizada de todos los estados fueron mayores en las mujeres que en los hombres. Las mayores tasas estandarizadas por edad en hombres (2133.0, II 95 % = 1540.5-2813.2) y mujeres (3102.4, II 95 % = 2281.8-4033.4) coincidieron en el Estado de México; las más bajas en hombres (1564.1, II 95 % = 1124.1-2107.9) y mujeres (2282.4, II 95 % = 1660.2-3023.4) coincidieron en Yucatán (Figura 5).
Discusión
En este estudio analizamos la carga actualizada de los TME en términos de AVD en México para el período de 1990 a 2021, para lo cual utilizamos las estimaciones del GBD 2021. El hallazgo primordial estribó en que durante este período la primera causa de AVD en México, principalmente en población adulta, fueron (y aún son) los TME, algunos de los cuales, como la lumbalgia y el dolor cervical, se presentan desde edades tempranas.10
El mayor cambio porcentual en los TME fue de 127.7 % en osteoartritis desde 1990. La osteoartritis corresponde a un grupo heterogéneo de condiciones en las cuales se presentan síntomas y signos articulares asociados a la pérdida de integridad del cartílago articular en combinación con cambios en el hueso subyacente y márgenes de la articulación.16 Estudios recientes sobre las proyecciones de osteoartritis para 2050 indican que, en comparación con 2020, se prevé que los casos de osteoartritis de rodilla aumenten 74.9 % (59.4-89.9); de mano, 48.6 % (35.9-67.1); de cadera, 78.6 % (57.7-105.3); y otros tipos, 95.1 % (68.1-135.0).17 Esta enfermedad es reconocida como una de las causas más importantes de discapacidad en el mundo, cuyo principal factor de riesgo es la obesidad. Existe evidencia de que los factores metabólicos asociados a IMC elevado son también predictores de osteoartritis.17
No existe una cura conocida para la osteoartritis, por lo que su carga representa un desafío importante para los sistemas de salud,17 sobre todo por el alto costo de su tratamiento, entre cuyas modalidades se encuentran los reemplazos de articulaciones en los casos de osteoartritis avanzada de cadera y rodilla. Tomando como referente los costos del tratamiento de la osteoartritis de cadera en 2019 publicados por el Instituto Mexicano del Seguro Social en los Grupos Relacionados de Diagnostico,18 así como el número de incidencias de esta enfermedad para el mismo año,10 el estimado del costo ajustado por discapacidad solo para esta enfermedad fue de $365 611 406.34 MXN.
La lumbalgia destaca como la principal causa de AVD en el mundo19 y en México. Estudios recientes proyectan que en el mundo más de 800 millones de personas tendrán dolor lumbar para 2050.1,19 Según algunos estudios científicos, estos trastornos son prevenibles en parte mediante estrategias que abordan factores como el esfuerzo mecánico excesivo, exposición prolongada a posturas forzadas y manipulación de objetos pesados, causantes comunes del lumbalgia en trabajadores según su ocupación. Además, seguir pautas preventivas básicas puede reducir o evitar estos problemas.20 Destacamos la importancia de implementar estas reglas básicas de manera temprana en la población mexicana en los lugares de trabajo. Por otro lado, en la población adulta mayor, la lumbalgia se relaciona con cambios degenerativos en las articulaciones de la columna vertebral, estenosis espinal lumbar, espondilolistesis y aplastamientos vertebrales (fracturas vertebrales) por osteoporosis, que requieren tratamientos con altos costos para los sistemas de salud debido a la mayor prevalencia de estos padecimientos en este grupo de edad.4,19 Dado el aumento en la esperanza de vida, es esencial orientar investigaciones hacia enfoques terapéuticos personalizados y costo-efectivos para este grupo etario, con el objetivo de prevenir inequidades en el acceso al tratamiento en nuestro sistema de salud.21
La investigación actual muestra una manifiesta diferencia de los TME entre hombres y mujeres, de los cuales las mujeres son las más afectadas en términos de frecuencia, persistencia y gravedad del dolor. Esta disparidad también la encontramos en nuestro análisis de la población mexicana. Las diferencias en las tendencias entre tasas crudas en hombres y mujeres se distorsionan por las variaciones en la estructura de edad, generando tendencias que no reflejan cambios reales en la incidencia de eventos. Al estandarizar por edad, se eliminan estas disparidades, con lo que se facilitan comparaciones precisas a lo largo del tiempo y entre poblaciones diversas. Además, algunas hipótesis sobre la diferencia entre estas tendencias incluyen factores genéticos, hormonales (estrógenos y progesterona), función inmunológica, así como diferencias psicológicas y conductuales en la percepción del dolor. Además, aspectos como la relajación de ligamentos, la actividad física y la postura laboral pueden influir en estas diferencias.10,22
Es crucial continuar con la evaluación de la carga de TME en México, tanto en el ámbito nacional como en el estatal, dado que las características socioeconómicas varían a lo largo del país y que los estados con mayor desarrollo tienen patrones de TME similares a los de países de alto ingresos.3,10,23 Aunado a ello, es indispensable seguir con el monitoreo ocupacional y clínico. Se deben desarrollar intervenciones específicas a través de equipos multidisciplinarios y evaluar su eficacia en nuestra población, adaptándolas según sea necesario. Para detectar tempranamente factores de riesgo y modificar hábitos nocivos para el sistema musculoesquelético es esencial promover una estrecha colaboración entre las unidades de vigilancia y medicina laboral. En caso de identificar casos de TME, es fundamental garantizar su seguimiento y control. Las instituciones deben recopilar indicadores relacionados con estas afecciones, incluyendo factores de riesgo y factores protectores que se implementen en cada institución. Además, se debe prestar atención a los días de trabajo perdidos por estas afecciones y a las estrategias de cada institución para reducir las ausencias laborales por esta causa. Recomendamos la formación de grupos de colaboración entre las agencias de salud ocupacional, medicina laboral y colegios de reumatología, ortopedia, medicina ocupacional y rehabilitación, para el seguimiento e implementación de directrices en las instituciones de trabajo.
En el ámbito clínico, nuestros resultados proporcionan una perspectiva estadística a médicos de todos los niveles de atención sobre la relevancia de estas afecciones en sus pacientes. Destacamos la importancia de incluir la búsqueda activa de TME en la historia clínica desde el primer nivel de atención. Asimismo, recomendamos la formación de equipos multidisciplinarios de salud que involucren a médicos de atención primaria, especialistas en reumatología, ortopedia, rehabilitación, medicina del dolor, psicología y educadores en salud, con el propósito de diseñar estrategias de cuidado específicas para este grupo de pacientes.
Dado el potencial impacto que nuestros hallazgos tienen en instituciones, en el ámbito clínico y en la población en general, es aconsejable impulsar estudios de investigación traslacional que involucren la formulación de estrategias integrales de prevención y tratamiento. Estos estudios deben enfocarse en el logro de una óptima salud musculoesquelética en distintos grupos de edad, respaldados por financiamiento destinado al desarrollo de intervenciones y su correspondiente seguimiento para abordar eficazmente este grupo de afecciones. En las Tablas 2 y 3 se exponen algunas recomendaciones a partir de este estudio.
Una limitación del estudio estribó en la categorización amplia de "otros TME", que agrupa a un alto porcentaje de los TME. Una desagregación más detallada de esta categoría, en colaboración con los encargados del CIE, permitiría una mejor comprensión. Otra limitación de este estudio deriva del enfoque de análisis secundario de datos, a partir del cual la precisión de las estimaciones depende de la calidad de los datos originales. Es crucial obtener más información primaria de calidad sobre TME para futuros análisis y monitorear eficazmente la salud musculoesquelética.19 En ese sentido, proponemos un apartado específico sobre TME en las encuestas nacionales del país, como la Encuesta Nacional de Salud y Nutrición.
Es crucial abordar los TME, al igual que las enfermedades crónicas degenerativas, dado su carácter progresivo e incurable. Con el envejecimiento de la población, se espera un incremento significativo en la carga de estas afecciones que derivará en la demanda de los servicios de salud, lo que podría generar desigualdades en el acceso.17 Los líderes deben enfocarse en la prevención, formación de equipos multidisciplinarios e intervenciones tempranas para evitar complicaciones avanzadas. Es así como se contribuirá significativamente a mejorar la salud de las comunidades.










nueva página del texto (beta)



