Antecedentes
La queratoplastia en la población pediátrica ha sido considerada un procedimiento de alto riesgo y no se practicaba comúnmente hasta hace relativamente poco tiempo.1 Existen múltiples retos en los niños debido a las dimensiones anatómicas pequeñas y la menor rigidez de los tejidos, por lo que se requieren técnicas especializadas. A pesar de lo anterior, los avances en la tecnología y manejo posoperatorio han permitido aumentar la cantidad de cirugías y conocer los resultados para seguir aumentando la supervivencia de los injertos.1
Las indicaciones de queratoplastia difieren entre países desarrollados y en desarrollo. Los traumatismos e infecciones son las causas más comunes en países en desarrollo, mientras que el queratocono y las opacidades congénitas suelen ser más comunes en países desarrollados.2 La información disponible de estos datos en México es escasa, por lo cual el objetivo es conocer datos demográficos, indicaciones y resultados clínicos de la queratoplastia en la población pediátrica.
Independientemente de la indicación, varios factores contribuyen a la complejidad del trasplante corneal en niños, entre ellos la dificultad para valorar la agudeza visual, la menor rigidez corneal y escleral asociada al pequeño tamaño ocular, la cicatrización más rápida (promueve que las suturas se aflojen más rápido, lo cual aumenta el riesgo de infección [incidencia de 10 a 50 %]) y la neovascularización. Por último, la falta de habilidad de los niños para comunicar síntomas como dolor, malestar o baja visual retrasa el diagnóstico y manejo de posibles complicaciones.3 La mayoría de las queratoplastias en niños suelen ser penetrantes, sin embargo, existen informes de novedosos procedimientos lamelares o laminares, como queratoplastia lamelar anterior profunda (DALK) y trasplantes lamelares endoteliales (DSAEK o DMEK).2
Publicaciones previas han reportado que la tasa de supervivencia de la queratoplastia penetrante en niños varía entre 22 y 88 % a un año de seguimiento. En general, las principales causas de falla son rechazo, infección y gluacoma.3
En la Tabla 1 se presentan los estudios publicados entre 2008 y 2019 sobre queratoplastia en niños.2-11
Tabla 1 Estudios publicados entre 2008 y 2019 sobre queratoplastia en niños2-8,10,12,13
| Mun-Wei et al.2 | Kusumesh et al.4 | Shi et al.5 | Low et al.6 | Al-Ghamdi et al.7 | Patel et al.8 | McClellan et al.9 | Limaeim et al.10 | Hovlykke et al.11 | Dos Santos Araujo et al.3 | |||||||||||
|---|---|---|---|---|---|---|---|---|---|---|---|---|---|---|---|---|---|---|---|---|
| País/año | Malasia/2019 | India/2015 | Norte de China/2007 | Singapur/2014 | Arabia Saudita/2007 | Nueva Zelanda/2005 | Australia/2003 | Tunisia/2011 | Dinamarca/2013 | Brasil/2019 | ||||||||||
| N ojos | 16 | 66 | 410 | 44 | 165 | 58 | 19 | 16 | 65 | 51 | ||||||||||
| Edad | 1-17 años | 2 meses-12 años | 2.5 meses-14 años | 1 mes-15 años | 5 meses-12 años | 2 semanas-14 años | 2 semanas-5 años | 3 meses- 14 años | < 16 años | < 7 años | ||||||||||
| n | % | n | % | n | % | n | % | n | % | n | % | n | % | n | % | n | % | n | % | |
| Indicación | ||||||||||||||||||||
| Congénita | 1 | 18.75 | 24 | 36.36 | 112 | 27.32 | 18 | 40.9 | 130 | 78.79 | 9 | 15.52 | 8 | 42.11 | 2 | 12.5 | 3 | 4.62 | 37 | 72.5 |
| Adquirida no traumática | 11 | 68.75 | 37 | 56.06 | 148 | 36.10 | 25 | 59.10 | 18 | 10.91 | 43 | 74.14 | 11 | 57.89 | 8 | 50 | 54 | 83.08 | 10 | 19.6 |
| Adquirida traumática | 2 | 12.5 | 5 | 7.58 | 150 | 36.6 | 0 | 17 | 10.3 | 6 | 10.34 | NA | 6 | 37.50 | 8 | 12.31 | 4 | 7.84 | ||
| Agudeza visual al año | ||||||||||||||||||||
| 6/12 o mejor | 3 | 18.75 | NA | NA | NA | 8 | 4.80 | 18 | 35.29 | 7 | 36.8 | 2 | 12.5 | NA | NA | |||||
| 6/15-6/60 | 1 | 6.25 | NA | NA | NA | 52 | 31.51 | 16 | 32 | 3 | 15.8 | 6 | 37.5 | NA | NA | |||||
| < 6/60 | 6 | 7.5 | NA | NA | NA | 105 | 63.63 | 12 | 25.32 | 9 | 47.4 | 8 | 50 | NA | NA | |||||
| Supervivencia del injerto al año | ||||||||||||||||||||
| Injerto transparente | 5 | 31.75 | NA | NA | - | 92.8 | 73 | 44.24 | 42 | 82 | 14 | 73.68 | 8 | 52 | 38 | 60 | - | 64.7 | ||
| Falla del injerto | 1 | 8.25 | NA | NA | NA | 92 | 55.75 | 8 | 16 | 3 | 15.7 | NA | 25 | 40 | NA | |||||
El rechazo inmunológico es una complicación común después de la queratoplastia y tiene gran influencia sobre la transparencia y tiempo de supervivencia del injerto. Existen diversos factores de riesgo para rechazo o falla del injerto que han sido estudiados, como edad del receptor, diagnóstico preoperatorio, estado de rechazo del receptor, antecedente de queratoplastia en ojo contralateral, cirugías asociadas y glaucoma preoperatorio.4
La edad en el momento de la cirugía es un factor de riesgo para rechazo. En un estudio de Lowe et al., el grupo de 13 a 19 años tuvo mayor supervivencia del trasplante que otros grupos de menor edad. Dos Santos et al. no encontraron diferencia entre los menores de dos años y el resto de los niños.3 La frecuencia de rechazo varía en las diferentes publicaciones, en parte por los diferentes conceptos adoptados por cada autor. Los estudios indican que menos de 30 % de los rechazos en niños son reversibles.3 Otro factor de riesgo para falla del injerto es la cirugía concomitante al momento de trasplante, como la lensectomía o vitrectomía.2
La importancia del injerto transparente en edades tempranas y de un eje visual libre radica en que minimizan la incidencia de ambliopía.3 Desafortunadamente, un injerto transparente no es sinónimo de buena agudeza visual. Un estudio multicéntrico reportó que si bien se identificó que 80 % de los injertos era transparente, solo 33 % tenía una agudeza visual de 20/200.3 El pronóstico visual es peor en los niños con glaucoma congénito. El control efectivo y temprano de la presión intraocular antes y después del trasplante es imperativo para prevenir daño al nervio óptico, mejorar la supervivencia del injerto y mejorar la agudeza visual final.3 Huan et al. reportaron una tasa de supervivencia del injerto de 32 % en pacientes con glaucoma, a diferencia de 70 % en pacientes sin glaucoma.1
La agudeza visual suele ser mejor en los pacientes en quienes se indicó la cirugía por opacidad corneal adquirida, ya que probablemente desarrollaron una visión adecuada antes de las alteraciones corneales.3 Se sabe que las queratoplastias por queratocono tienen mayor éxito en términos de supervivencia del injerto. El registro de Injertos Corneales de Australia reportó que la tasa de supervivencia a cinco años de 722 ojos operados por queratocono fue de 97.5 %.9
La mayoría de los estudios están enfocados en queratoplastias penetrantes y muy pocos reportan indicaciones y resultados de queratoplastias lamelares. Low et al. compararon y analizaron los resultados de queratoplastia penetrante y queratoplastia lamelar anterior; aunque esta ultima suele ser todavía técnicamente más difícil, ofrece varias ventajas sobre la penetrante en términos de menor incidencia de rechazo y falla.6
La queratoplastia pediátrica sigue siendo un reto y el éxito depende de un buen manejo multidisciplinario. La familia también es una parte importante en el seguimiento y antes de iniciar este proceso debe estar enterada de los posibles resultados anatómicos y funcionales, así como de los riesgos asociados.3 También es importante considerar el estado socioeconómico, ya que en países en desarrollo el apego suele ser deficiente, por lo tanto, existe un mal seguimiento e identificación tardía de complicaciones que requieren tratamiento.4 De la misma manera, la identificación de las principales causas en cada país ayudaría a instituir estrategias para prevenir la ceguera corneal pediátrica.5 Aun cuando la recuperación de la visión sea mínima, cualquier ganancia proporciona un beneficio funcional y social que mejora la calidad de vida.7
Material y métodos
Se realizó un estudio retrospectivo en el Instituto de Oftalmología Conde de Valenciana, para lo cual se revisaron los expedientes de los pacientes que cumplían con los criterios de inclusión: de uno u otro sexo, edad de 0 a 18 años y tratados con queratoplastia óptica. Fueron excluidos los pacientes con expedientes incompletos y quienes fueron tratados con queratoplastia tectónica.
Se revisaron los expedientes de niños tratados entre 2009 y 2019. Se recolectó información demográfica de los pacientes, indicación de queratoplastia, agudeza visual en la primera y última cita, cirugías previas, durante o después de la queratoplastia, incidencia de glaucoma y tiempo hasta la falla del injerto, la cual se definió como opacificación corneal central irreversible. El tiempo de supervivencia se calculó como el intervalo entre la queratoplastia y la fecha en la que se diagnosticó la falla del injerto.
Se realizó análisis estadístico descriptivo en el que se reportaron frecuencias y proporciones para las variables cualitativas; para las variables continuas se obtuvieron medidas de dispersión y de tendencia central, promedios, así como desviación estándar o medianas, según correspondiera. La supervivencia de los injertos se analizó mediante el método de supervivencia de Kaplan-Meier con el programa SPSS versión 21 (IBM/SPSS Inc., Chicago, Illinois, Estados Unidos).
Resultados
De 46 pacientes, se analizaron 53 ojos. La edad promedio al momento de la queratoplastia fue de 13.75 ± 3.89 años, 28 pacientes eran del sexo masculino (62 %) y 18 del femenino (38 %). El queratocono en 26 ojos (49 %) constituyó el diagnóstico más común como indicación de queratoplastia (Tabla 2). El procedimiento más frecuente fue queratoplastia penetrante en 47 ojos (89 %), DALK en cinco ojos (9 %) y DSAEK en un ojo (2 %). El promedio de agudeza visual inicial fue de 2.05 ± 0.99 logMAR y en la última visita, 0.82 ± 1.33 (p < 0.05). El tiempo de seguimiento promedio fue de 56.98 ± 42.83 meses (rango de 2 a 211 meses), mientras que el tiempo de supervivencia promedio del injerto fue de 130.34 meses (IC 95 % = 115.34-145.33). La tasa de supervivencia a un año fue de 86.79 %. Se identificó un total de cuatro fallas: una a los cinco meses del trasplante, otra a los 63 meses, una falla primaria y otra a los 92 meses.
Tabla 2 Indicación para queratoplastia
| Diagnóstico | Número de ojos (n = 53) | % |
|---|---|---|
| Opacidad congénita | ||
| Glaucoma congénito | 2 | 3.7 |
| Distrofia endotelial | 2 | 3.7 |
| Anomalía de Peters | 1 | 1.8 |
| Queratoglobo | 1 | 1.8 |
| Opacidad adquirida no traumática | ||
| Hidrops por queratocono | 10 | 18.8 |
| Queratitis intersticial | 2 | 3.7 |
| Queratitis herpética | 1 | 1.8 |
| Queratitis micótica | 1 | 1.8 |
| Opacidad adquirida traumática | ||
| Cicatriz/leucoma | 7 | 13.2 |
| Queratocono | 26 | 49 |
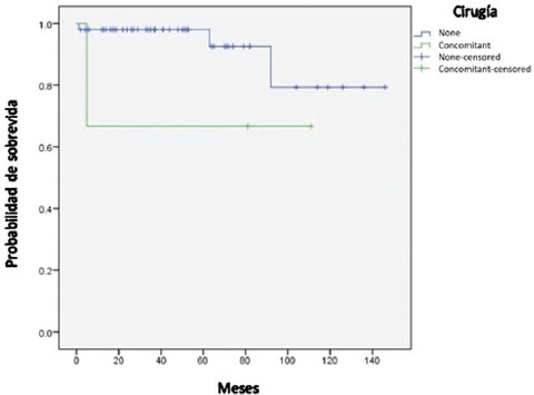
Respecto a las cirugías asociadas, la más común antes del trasplante fue cierre de la herida corneal en siete ojos (13.2 %), la más común durante la queratoplastia fue la vitrectomía anterior en dos ojos y la más común después del trasplante fue el implante de válvula de Ahmed y resutura, cada una en cuatro ojos (Tabla 3). El tiempo de supervivencia del injerto en los cinco ojos con cirugía previa y en los tres ojos con cirugía concomitante fue diferente al de los ojos sin cirugías asociadas (p = 0.02), como puede observarse en la Figura 1. Por otro lado, el tiempo de supervivencia de los 15 ojos con cirugía después del trasplante no fue diferente (p = 0.601), según se aprecia en la Figura 2. Un total de 17 ojos (32.1 %) tuvieron hipertensión ocular, de los cuales ocho (15.1 %) tuvieron diagnóstico confirmado de glaucoma. De estos ocho ojos, cinco tenían el diagnóstico de glaucoma previo al trasplante. El tiempo de supervivencia promedio del injerto en pacientes sin glaucoma fue de 116.7 meses y de 132.5 meses en pacientes con glaucoma, sin que fuera estadísticamente significativo (p = 0.582). Respecto al rechazo, 15 ojos tuvieron un episodio durante el seguimiento y el tiempo promedio de rechazo del trasplante fue de 10.8 meses.
Tabla 3 Cirugías asociadas
| Cirugía | Número de ojos (n = 53) | % |
|---|---|---|
| Cirugías antes del trasplante | ||
| Cierre de herida corneal | 7 | 13.2 |
| Implante de válvula de Ahmed | 3 | 5.6 |
| Iridectomía | 1 | 1.8 |
| Vitrectomía | 1 | 1.8 |
| Panfotocoagulación | 1 | 1.8 |
| Facoemulsificación+lente intraocular | 1 | 1.8 |
| Trasplante tectónico | 1 | 1.8 |
| Cirugías combinadas con trasplante | ||
| Vitrectomía anterior | 2 | 3.7 |
| Facoemulsificación+lente intraocular | 1 | 1.8 |
| Implante de válvula de Ahmed | 1 | 1.8 |
| Cirugías después del trasplante | ||
| Implante de válvula de Ahmed | 4 | 7.54 |
| Resutura | 4 | 7.54 |
| Recolocación de tubo valvular | 2 | 3.7 |
| Bevacizumab | 2 | 3.7 |
| Trabeculectomía | 1 | 1.8 |
| Trabeculoplastia laser selectiva | 1 | 1.8 |
Discusión
La indicación para queratoplastia en la población pediátrica varía ampliamente entre los diversos estudios. Las opacidades congénitas y el queratocono son las principales causas en países desarrollados mientras que el trauma y las queratitis infecciosas son las principales en países en desarrollo.1,2 En este estudio el queratocono fue la indicación más común para queratoplastia. La tasa de supervivencia del injerto a un año se ha reportado en 35 a 82 %;1 en el presente estudio fue de 86.79 %. Dos Santos Araujo et al. informaron una supervivencia de 64.7 % en Brasil, pero se debe tomar a consideración que la principal indicación para queratoplastia fue la opacidad congénita.3 En esta investigación se encontró cuatro ojos con falla del injerto, de los cuales uno pertenecía al grupo de opacidades congénitas (16 %), dos a opacidades adquiridas traumáticas (28.5 %) y uno al grupo de queratocono (3.8 %).
Interesantemente, la segunda indicación más común se clasificó en el grupo de opacidad adquirida no traumática, pero también relacionada con queratocono: opacidad secundaria a hidrops corneal (18.8 %). Aún no se conoce completamente la patogénesis del hidrops, pero se relaciona con ruptura de la membrana de Descemet que lleva a la infiltración de humor acuoso al estroma corneal, la cual provoca edema corneal importante.12
Entre más extensa sea el área de la córnea involucrada, mayor será el tiempo de resolución del edema corneal.12 El hidrops corneal fue común en nuestra población, a diferencia de lo que sucede en otros países donde es un hallazgo raro, con una estimación de 2.6 a 2.8 %.8 Otros autores han reportado una estimación de 1.43 casos de hidrops agudo por cada 1000 pacientes, con necesidad de trasplante en 20 %.13 Aunque el hidrops agudo tiende a ser autolimitado, la mayoría de las veces deja una cicatriz que compromete la visión y requiere trasplante para la rehabilitación visual.8 Lo anterior se asocia a morbilidad significativa en una población joven, ya que se ha reportado que la edad promedio en la que inicia el hidrops es de aproximadamente 25 años de edad.8
La agudeza visual promedio al inicio fue de 2.05 ± 0.99 y en la última visita aumentó 0.82 ± 1.33. Un total de 25 ojos (47.16 %) tuvo una agudeza visual final superior a 0.30 logMAR, resultado mejor comparado con los de otros estudios en los cuales el queratocono también constituyó la principal indicación de trasplante, con una agudeza final de 0.30 logMAR, que solo se reportó en 35.29 % de los pacientes.2
Numerosos estudios han demostrado que el glaucoma afecta la tasa de supervivencia del injerto en adultos y niños; sin embargo, en el presente análisis no se identificaron diferencias al respecto. Otras investigaciones han demostrado que la supervivencia del injerto también es reducida en pacientes con antecedente de cirugía previa; la anterior observación es reforzada por la diferencia significativa en la supervivencia de injertos en ojos con antecedente o no de cirugía previa o concomitante al trasplante encontrada en este estudio. Aunque se ha reportado una supervivencia disminuida en ojos con cirugía subsecuente al trasplante, no fue un hallazgo en el presente análisis.
Las diferencias con otros reportes pueden estar relacionadas con la indicación de la queratoplastia y el rango de edad considerado como edad pediátrica: se ha señalado que los resultados son más favorables cuando las queratoplastias son indicadas por queratocono y menos favorables en ojos con opacidad congénita.9
Las limitaciones de este estudio son el reducido tamaño de la muestra y el abordaje retrospectivo.
Conclusiones
Lo que esta investigación y otras han demostrado es que si bien la queratoplastia en niños es un desafío, se puede lograr una supervivencia prolongada del injerto si se tiene un mejor conocimiento y manejo de los diferentes factores asociados. También se demuestra la importancia de conocer las indicaciones del trasplante y los riesgos asociados con ellas, debido a que la supervivencia del injerto varía entre las etiologías.










nueva página del texto (beta)




