Introducción
El índice de desarrollo humano (IDH) correlaciona negativamente con la incidencia y mortalidad de cáncer de cuello uterino (CACU), que alcanza los primeros lugares en países en vías de desarrollo como Perú e Indonesia, entre otros1-3. El cáncer ocurre en el 70% de las personas de ingresos bajos y medios2. Además, existe el creciente reconocimiento por parte de los oncólogos de la «toxicidad financiera», un término integral para el daño del paciente debido a los costos directos e indirectos del tratamiento oncológico4,5.
Debido a la incidencia del CACU (15.2 por 100,000) en América del Sur, la carga económica asociada resultante es significativa tanto para la sociedad como para el individuo. Sin embargo, hay escasez de estudios que hayan analizado el costo del CACU especialmente en América del Sur, que tiene una tasa de mortalidad promedio de 7.1 por 100,000 habitantes6.
Toda persona que no puede trabajar a causa del cáncer, ya sea de manera temporal o permanente, constituye una pérdida económica para la sociedad. La medida más notable para cuantificar la carga es el costo de productividad, que proporciona una estimación de la pérdida del país debido a la ausencia laboral y la mortalidad relacionada con el cáncer7,8. Sin embargo, dichos datos para Latinoamérica son escasos. Los estudios disponibles que evalúan el impacto económico del CACU solo lo han descrito desde la perspectiva de los proveedores de atención médica y concluyen que el CACU tiene un impacto económico sustancial9,10. Las políticas de salud de los países se centran en controlar y reducir la carga económica total del cáncer11; por lo tanto, el estudio actual se realizó con el objetivo de examinar los gastos indirectos en dólares americanos por el tratamiento de irradiación en CACU y si estos están asociados o relacionados con factores clínicos, sociales y económicos.
Método
Durante el periodo 2020 a 2021, se atendieron 211 pacientes de CACU con indicación de teleterapia seguida o no por braquiterapia de alta tasa de dosis (BATD) en el instituto, ubicado en la región Junín de la Macrorregión Centro de Perú. Al calcular la muestra con margen de error del 5% y un nivel de confianza de 97.5%, resultó en una muestra de 149 casos, siendo escogidas mediante el método aleatorio simple. Se registraron sus datos de manera prospectiva. Características clínicas: edad, sesiones de teleterapia, BATD y estadio clínico. Condiciones sociales: tipo de seguro, acompañante, sexo del acompañante y edad del acompañante. Gasto indirecto: gasto indirecto semanal o por esquema de irradiación.
Los criterios de inclusión fueron los siguientes: pacientes mayores de 18 años, con diagnóstico de neoplasia maligna de cuello uterino por histología, que recibieron la primera teleterapia en 2020 o 2021, más del 70% del total de teleterapias se recibieron en las instalaciones y que mostraron adherencia al esquema planteado. Los criterios de exclusión fueron: esquema de tratamiento para enfermedad en estado de progresión, nunca iniciaron la teleterapia por motivo médico, reirradiación y más del 20% de las sesiones de teleterapia recibidas fueron en condición de hospitalizado.
Características propias del paciente
Respecto a la condición de seguro, tenía dos opciones: si el paciente era atendido bajo el Seguro Integral de Salud (SIS) o bajo la modalidad de Seguro Social de Salud (ESSALUD). La asignación de estadio clínico se realizó según la clasificación de la Federación Internacional de Ginecología y Obstetricia (FIGO)12. Los estadios clínicos IB y IIA, IIB al IIIC1, IIIC2, IVA y IVB por metástasis inguinal recibieron cirugía con teleterapia durante cinco semanas, teleterapia más BATD durante ocho semanas, teleterapia a la pelvis más BATD continuando con teleterapia a retroperitoneo durante 13 semanas3, teleterapia durante siete semanas aproximadamente, y teleterapia más BATD durante nueve semanas aproximadamente13,14, respectivamente.
Gasto indirecto
El gasto indirecto de la paciente se calculó a partir de la encuesta, en donde mencionaba la cantidad de su remuneración mensual antes del diagnóstico oncológico. El gasto indirecto del acompañante fue a partir de la encuesta, en donde mencionaba cuánto era su sueldo mensual antes de dedicarse a cuidar a la paciente, adicionalmente detalló cuantas horas del día estaba involucrado durante el tratamiento y en casa. El gasto indirecto acumulado era la sumatoria del gasto indirecto del acompañante y paciente en un intervalo de tiempo establecido ya sea semanal o por esquema. Así mismo, se realizó el cálculo paralelo del acompañante acumulado a partir del valor monetario de la hora que pierde por no trabajar.
Análisis estadístico
Todos los datos y el análisis estadístico se realizaron con SPSS (versión 29.0, Chicago, IL, EE.UU.). La descripción se realizó con medias o proporciones. Se analizaron las variables mediante la prueba de normalidad de Kolmogorov-Smirnov, y en caso de que no siguieran distribución normal, se utilizó estadística no paramétrica. Si el caso no contaba con acompañante, se excluía para el análisis de gastos indirectos acumulado o familiar.
Se realizó la presentación del informe de acuerdo con las normas STROBE (Strengthening the reporting of observational studies in epidemiology).
Resultados
Se incluyeron 149 pacientes, todas con trabajo antes del diagnóstico. Las características de las pacientes se presentan en la tabla 1, de las cuales solo 119 continuaron con BATD luego de la teleterapia; la distribución por estadio clínico predominante fue IIB y IIIC1, con 22.82 y 32.21%, respectivamente. La presencia de acompañantes predominó, el 70.47% de casos. Las medianas del gasto indirecto semanal en dólares americanos para paciente y familiar fueron de $74.47 y $61.05, respectivamente. El esquema de radioterapia que resultó con mayor costo indirecto fue para el estadio clínico IIIC2 con teleterapia más BATD, siendo siempre mayor cuando se calculaba el gasto indirecto del familiar a partir del sueldo/hora (Fig. 1).
Tabla 1 Características clínicas, sociales y económicas de las pacientes
| Variable | n | Media | Mediana | % | DE | |
|---|---|---|---|---|---|---|
| Paciente | Edad | 149 | 54.1 | 53 | 12.2 | |
| ≤ 40 años | 20 | 13.4 | ||||
| 41 a 60 años | 78 | 52.3 | ||||
| 61 a 70 años | 37 | 24.8 | ||||
| ≥ 71 años | 14 | 9.4 | ||||
| Tipo de seguro | ||||||
| SIS | 121 | 81.21 | ||||
| ESSALUD/particular | 28 | 18.79 | ||||
| Tratamiento | ||||||
| Teleterapia | 149 | 29.8 | 28 | 9 | ||
| BATD* Sí | 119 | 79.9 | ||||
| BATD* No | 30 | 20.1 | ||||
| Estadio | ||||||
| IB | 12 | 8.1 | ||||
| IIA | 3 | 2.0 | ||||
| IIB | 34 | 22.9 | ||||
| IIIB | 16 | 10.7 | ||||
| IIIC1 | 48 | 32.2 | ||||
| IIIC2 | 16 | 10.7 | ||||
| IVA | 16 | 10.7 | ||||
| IVB | 4 | 2.7 | ||||
| Sueldo mensual | 149 | 261.9† (995.6) | 276.3† (1050.0) | 53.64† (203.8) | ||
| Acompañante | Presencia | |||||
| Sí | 105 | 70.5 | ||||
| No | 44 | 29.5 | ||||
| Edad | 105 | 34.97 | 34 | 7.61 | ||
| ≤ 40 años | 80 | 76.2 | ||||
| ≥ 41 años | 25 | 23.8 | ||||
| Sueldo mensual | 105 | 268.2† (1019.3) | 250.0† (950.0) | 48.7† (184.9) | ||
| Tiempo por tratamiento§ | 105 | 3.5 | 3 | 0.5 | ||
| Tiempo por hogar§ | 105 | 5.3 | 5 | 0.9 | ||
| Gasto indirecto | Semanal‡ | |||||
| Paciente | 149 | 66.6† (252.9) | 74.5† (283.0) | 14.0† (53.2) | ||
| Acompañante | 105 | 65.5† (249.0) | 61.1† (232.0) | 11.9† (45.1) | ||
| Total del esquema‡ | ||||||
| Paciente | 149 | 478.9† (1820.0) | 483.0† (1838.0) | 154.4† (586.8) | ||
| Acompañante | 105 | 451.0† (1714.0) | 421.6† (1602.0) | 121.2† (460.7) | ||
*Braquiterapia de alta tasa de dosis.
†Valor en dólares americanos (1 dólar es igual a 3.80 soles).
‡Calculado a partir del sueldo ganado por semana.
§Horas empleadas por día.
BATD: braquiterapia de alta tasa de dosis; DE: desviación estándar; ESSALUD: Seguro Social de Salud; SIS: Seguro Integral de Salud.

Figura 1 Distribución del gasto indirecto por la radioterapia*. *Los cálculos están basados en dólares americanos. Spsueldo: gasto indirecto calculado por equivalente a semana perdida según salario; Sphora: gasto indirecto calculado por equivalente a hora desaprovechada en trabajar; Tpsueldo: gasto indirecto total del esquema según el sueldo promedio mensual; Tphora: gasto indirecto total calculado por equivalente a hora desaprovechada en trabajar; Tele: teleterapia y braquiterapia de alta tasa de dosis.
Se analizaron las variables mediante la prueba de normalidad de Kolmogorov-Smirnov, resultando que todas las variables carecen de una distribución normal, lo que forzó a utilizar pruebas no paramétricas para asociación y correlación, como la prueba U de Mann-Whitney/Kruskal-Wallis y la rho de Spearman, respectivamente.
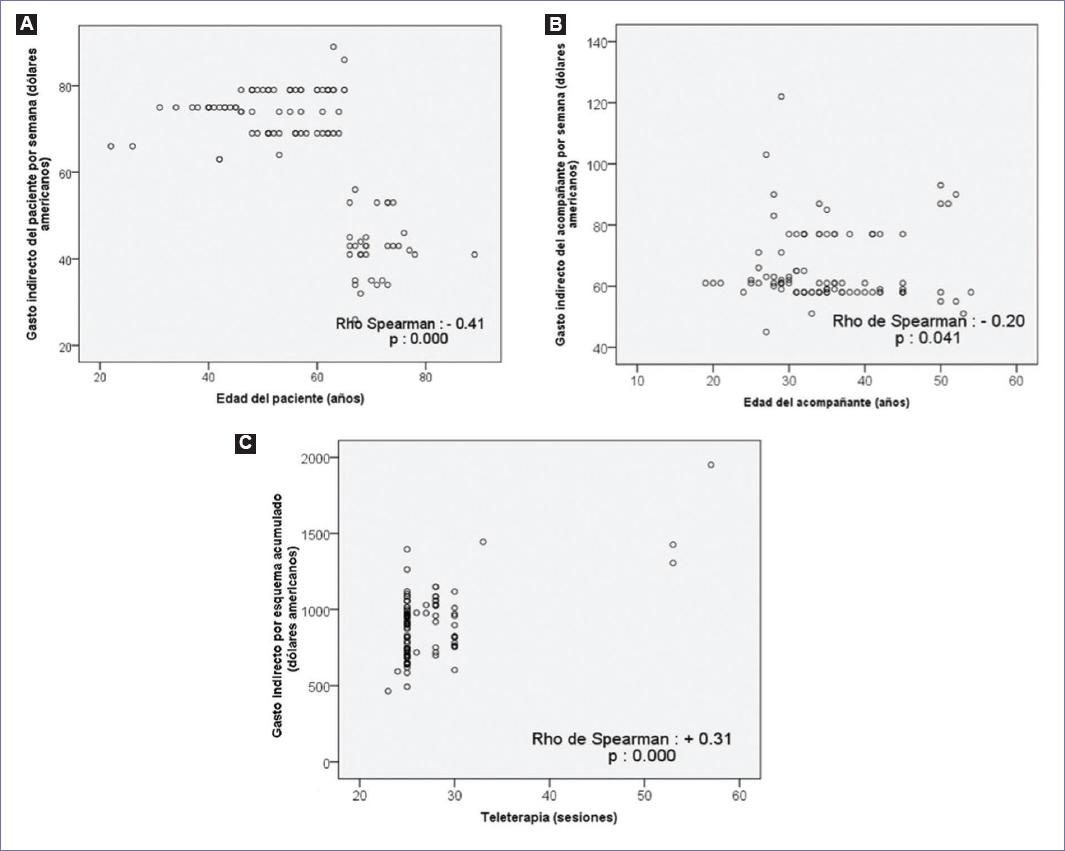
Al evaluar los gastos indirectos semanales, resultó estadísticamente significativo que el gasto indirecto semanal acumulado está correlacionado negativamente con la edad del paciente y la edad del acompañante; así mismo, este gasto indirecto es mayor y está asociado con el sexo varón del acompañante. El estadio clínico se asocia cuando se calcula el gasto por las horas involucradas del acompañante en el cuidado en casa (Tabla 2, Fig. 2A y B, Fig. 3A y B).
Tabla 2 Análisis de la relación entre las variables y el gasto indirecto semanal. El gasto acumulado es la sumatoria del GIS paciente más el GIS acompañante
| Variables | Coeficiente | p |
|---|---|---|
| Edad del paciente* | ||
| GIS acumulado§ | –0.50 | 0.000 |
| GIS acompañante§ | –0.07 | 0.460 |
| GIS paciente | –0.41 | 0.000 |
| Tipo de seguro† | ||
| GIS acumulado§ | 684.50 | 0.269 |
| GIS acompañante§ | 812.00 | 0.966 |
| GIS paciente | 576.00 | 0.520 |
| Sesiones* | ||
| GIS acumulado§ | 0.099 | 0.313 |
| GIS acompañante§ | 0.009 | 0.930 |
| GIS paciente | 0.082 | 0.320 |
| BATD† | ||
| GIS acumulado§ | 907.50 | 0.622 |
| GIS acompañante§ | 814.50 | 0.220 |
| GIS paciente | 1418.50 | 0.800 |
| Estadio‡ | ||
| GIS acumulado§ | 2.66 | 0.448 |
| GIS acompañante§ | 5.61 | 0.132 |
| GIS paciente | 5.82 | 0.121 |
| GIS horas acompañante§ | 41.24 | 0.000 |
| GIS horas acompañante en radioterapia§ | 3.75 | 0.290 |
| GIS horas acompañante en casa§ | 62.79 | 0.000 |
| Acompañante† | ||
| GIS acumulado | 0.00 | 0.00 |
| GIS paciente | 2211.50 | 0.679 |
| Sexo acompañante† | ||
| GIS acumulado§ | 347.00 | 0.000 |
| GIS acompañante§ | 195.00 | 0.000 |
| GIS paciente§ | 773.00 | 0.377 |
| Edad acompañante* | ||
| GIS acumulado§ | –0.29 | 0.003 |
| GIS acompañante§ | –0.20 | 0.041 |
*Prueba de correlación de rho de Spearman, estadísticamente significativa si
p ≤ 0.05.
†Prueba U de Mann-Whitney, estadísticamente significativa si p ≤ 0.05.
‡Prueba de Kruskal-Wallis, estadísticamente significativa si p ≤ 0.05.
§Se analizaron 109 casos con acompañante, estadísticamente significativo si
p ≤ 0.05.
BATD: braquiterapia de alta tasa de dosis; GIS: gasto indirecto semanal.

Figura 2 Análisis de correlación entre variables clínicas del paciente y del acompañante con el gasto indirecto. A: correlación negativa entre gasto indirecto paciente semanal y edad del paciente. B: correlación negativa entre gasto indirecto acompañante semanal y edad del acompañante. C: correlación positiva entre gasto indirecto total por esquema y teleterapia.
En la evaluación por gasto indirecto por esquema acumulado resultó estadísticamente significativa la correlación positiva del número de sesiones de teleterapia con la presencia de BATD. El estadio clínico se asocia al gasto indirecto por esquema del paciente, especialmente el III (Tabla 3, Figs. 2C y 3C).
Tabla 3 Análisis de la relación entre las variables y el gasto indirecto total por esquema. El gasto acumulado es la sumatoria del GIS paciente más el GIS acompañante
| Variable | Coeficiente | p |
|---|---|---|
| Teleterapia* | ||
| GIE Acumulado§ | 0.31 | 0.001 |
| GIE Acompañante§ | 0.21 | 0.033 |
| GIE Paciente | 0.08 | 0.321 |
| BATD† | ||
| GIE Acumulado§ | 361.00 | 0.000 |
| GIE Acompañante§ | 159.00 | 0.000 |
| GIE Paciente | 752.00 | 0.000 |
| Estadio | ||
| Acumulado§,‡ | 4.26 | 0.235 |
| GIE Acompañante§,‡ | 5.61 | 0.132 |
| GIE Paciente ≤ | 15.45 | 0.001 |
| I vs. II† | 202.00 | 0.641 |
| I vs. IV† | 115.00 | 0.845 |
| I vs. III† | 269.50 | 0.014 |
| II vs. III† | 986.00 | 0.004 |
| II vs. IV† | 337.00 | 0.581 |
| III vs. IV† | 485.50 | 0.007 |
*Prueba de correlación de rho de Spearman, estadísticamente significativa si
p ≤ 0.05.
†Prueba U de Mann-Whitney, estadísticamente significativo si p ≤ 0.05.
‡Prueba de Kruskal-Wallis, estadísticamente significativa si p ≤ 0,05.
§Se analizaron 109 casos que presentaba acompañante, estadísticamente significativo si p ≤ 0.05.
BATD: braquiterapia de alta tasa de dosis; GIE: gasto indirecto por esquema;
GIS: gasto indirecto semanal.

Figura 3 Análisis de asociación entre variable clínica y del acompañante con el gasto indirecto. A: asociación entre gasto indirecto del acompañante y sexo del acompañante. B: asociación entre horas del acompañante y estadio clínico. C: asociación entre gasto indirecto del paciente por esquema y estadio clínico.
Discusión
Los pacientes con cáncer pueden estar expuestos a la toxicidad financiera de manera diferente según el país en el que reciben atención, ya que los sistemas de atención médica son diversos15,16. En nuestro país, el costo directo médico está subvencionado mayoritariamente por el SIS o el ESSALUD, si la persona es trabajadora informal/desempleada o goza de trabajo formal, respectivamente. Existe la posibilidad de atención en forma particular, en la cual el usuario externo asume todos los costos17,18. Esto se refleja en los resultados con el predominio del SIS sobre ESSALUD, ya que el instituto a nivel de la Macrorregión Centro es el único servicio que ofrece radioterapia, perteneciendo al Ministerio de Salud (MINSA). El CACU es un problema de salud pública que ocurre típicamente en mujeres sexualmente activas de 30 a 45 años19, coincidiendo con nuestros resultados de atendidas con predominio en mayores de 40 años. La BATD se recomienda para todas las mujeres que han recibido teleterapia definitiva, sin embargo en las pacientes en estadio clínico IB-IIA que han sido sometidas a histerectomía con bordes libres no es necesario complementar con BATD a pesar de que tengan la indicación de teleterapia13,20. Por este motivo en nuestra muestra no todas las pacientes recibieron BATD, ya sea por ser estadio temprano o tener compromiso de vejiga y recto, en este último escenario se difiere la BATD en la institución por no contar con los aplicadores adecuados de irradiación, por lo que se debe completar el esquema con sesiones adicionales de teleterapia.
Cuando se evalúa la pérdida de productividad por semanas del acompañante, suele ser menor el equivalente económico al evaluar por horas de productividad (Fig. 1), ya que implica que el acompañante destine más de ocho horas al día al cuidado cuando recibe teleterapia y más de cinco horas durante los fines de semana.
Los cálculos de costos indirectos debido a la pérdida de producción generalmente separan tres tipos de fuentes de estos costos: ausentismo a corto plazo, discapacidad a largo plazo y prematura mortalidad21. Nuestro estudio encontró que todas las pacientes se ausentaron de sus trabajos y la mayoría necesitó un cuidador (Tabla 1), esto se debe todavía a las barreras geográficas, sociales y de implementación compatibles con un país con IDH alto con limitada capacidad de prevención y detección de CACU en estadio temprano en zonas rurales22-24.
Los gastos sanitarios no son los únicos recursos utilizados para la atención de los pacientes con cáncer. El cuidado de los pacientes por parte de familiares, parientes y amigos, lo que a menudo se conoce como cuidador informal, también debe incluirse, y parte del aumento de los costos con el tiempo puede deberse a una transferencia del cuidado informal al cuidado formal. Si bien la magnitud de ese cuidado puede medirse en número de horas, existe el problema adicional de que no hay pagos y, por lo tanto, no existe la oportunidad de observar el costo por hora21. Esto se refleja en nuestros resultados, en donde el acompañante se compromete más de ocho horas diarias a predominio del cuidado en casa, expresándose en una pérdida de productividad por encima del 10% cuando se calcula por hora que por el proporcional a sueldo semanal (Tabla 1 y Fig. 1).
La edad del paciente se correlaciona negativamente con el gasto semanal acumulado, siendo marcado a partir de los 65 años (Fig. 2) y la presencia del acompañante, siendo este varón y con edad entre 30 y 50 años implica un mayor gasto semanal (Tabla 2, Figs. 2 y 3). Esto se debe a la disparidad de empleo formal e informal por género acentuado en países de ingresos bajo y mediano25, siendo respaldado por el informe anual de empleo del Perú del 202126, en donde el promedio mensual de los trabajadores informales sobre formales está en $244 y $647, respectivamente. Predomina el empleo informal entre la población de sexo femenino (78.8%), en la selva (88.3%), en la ruralidad (95.3%), joven (83.2%) y que solamente llegó a alcanzar el grado educativo de primaria (94.8%)26.
El estadio clínico más avanzado se asocia con un mayor gasto indirecto semanal de horas acompañante, siendo la fracción de horas de cuidado en casa la de mayor contribución (Tabla 2 y Fig. 3). Este hallazgo se explica porque la atención se vuelve más compleja conforme va progresando el cáncer, lo que implica mayor carga para el cuidador, y si este carece de capacitación para hacerlo, va a tener consecuencias no solo económicas, agregándose: disminución de la autoeficiencia, disminución de la calidad de vida, aumento de la ansiedad y aumento de depresión27.
Al evaluar por esquema de tratamiento va a depender del estadio clínico, ya que el gasto indirecto por esquema acumulado se correlaciona con el mayor número de sesiones, y se asocia a la presencia de BATD (Tabla 3 y Fig. 3). La BATD es un componente fundamental del tratamiento definitivo del cáncer de CACU y permite la administración segura de aproximadamente la mitad de la dosis de radiación efectiva total necesaria para obtener resultados óptimos28, pero se debe seleccionar a las pacientes posthisterectomías si va a tener beneficio la braquiterapia a nivel de cúpula vaginal13. Resalta el estadio clínico III como causante del mayor gasto indirecto del paciente por esquema (Fig. 3), esto se debe al escenario IIIC2, en donde se brinda casi el doble de sesiones al irradiar la zona pélvica y retroperitoneal de manera secuencial (Fig. 1); para disminuir ese costo indirecto se deben usar técnicas especiales de irradiación que permitan irradiar ambas regiones de manera simultánea como arcoterapia volumétrica modulada3.
La mejora en el manejo del cáncer tanto de la quimioterapia como de la irradiación, con menos efectos secundarios del tratamiento29, facilitará a las pacientes a seguir trabajando durante el tratamiento y así reducir el número de días de ausentismo en el trabajo; por lo tanto, esperamos que este costo disminuya con el tiempo. Cuando mejora la supervivencia puede aumentar la discapacidad a largo plazo y, por lo tanto, la pérdida de producción22. Sin embargo, el adecuado y moderno tratamiento también puede aumentar la capacidad de trabajo, y esto reducirá el número de personas con jubilación anticipada parcial o total. El CACU es una causa común de muerte entre la población activa22, con mejoras en la prevención y el tratamiento22,30 se reducirá el número de años de vida perdidos antes de la edad de jubilación y, por tanto, también los costes por mortalidad prematura.
Esta investigación es pionera a nivel nacional, ya que no se cuenta con reportes sobre los gastos indirectos en el tratamiento del CACU. A nivel latinoamericano existe escasa información. Sin embargo, a nivel internacional se encuentran reportes de pérdida de productividad debido al tratamiento oncológico. Por lo que es necesario en el futuro realizar estudios que correlacionen el gasto indirecto y los desenlaces clínicos de los pacientes. Así mismo, el impacto del gasto indirecto con la adherencia al tratamiento o la calidad de vida de los pacientes o acompañantes.
Nuestro análisis tiene limitaciones por el pequeño número de pacientes que recibieron radioterapia; sus resultados no serán generalizables a Latinoamérica y puede limitar la validez externa. Sin embargo, el muestreo ha sido probabilístico, por lo que puede ser útil extrapolar sus resultados a una población más amplia. Otra posible limitación es que se realizó en un solo centro, pero a nivel nacional solo existen cuatro institutos públicos con las mismas características que ofrecen el servicio de radioterapia, y este instituto desde su apertura tiene un promedio de atendidas en CACU de 130 pacientes al año hasta la fecha, con un incremento progresivo.
Nuestros resultados demuestran que el gasto indirecto por el tratamiento contra el CACU es alto y considerable al comparar con el ingreso promedio mensual de la paciente o acompañante. Este gasto semanal se incrementa cuando está presente el acompañante varón, y la edad del paciente o del acompañante es menor a 65 y 45 años, respectivamente. Se suman otros factores, como el mayor número de sesiones, el estadio clínico III y la presencia de BATD para incrementar el gasto por esquema.














