Introducción
El sistema nervioso autónomo proporciona un control inconsciente de las funciones fisiológicas vitales que asegura la homeostasis; es regulado por el hipotálamo, el cual se encarga de integrar las funciones autonómicas.1 Las fibras del sistema nervioso parasimpático son colinérgicas, activan receptores nicotínicos en la sinapsis en espacio sináptico y receptores muscarínicos en órgano diana; inervan el corazón a través del nervio vago hasta que alcanza los ganglios cardiacos parasimpáticos encontrados en almohadilla de grasa en la superficie cardiaca. La estimulación tiene efecto cronotrópico e inotrópico negativo, puede modificar la presión arterial como efecto secundario de la regulación del gasto cardiaco.1-4
Durante la sepsis hay una activación excesiva del sistema nervioso simpático con un aumento en niveles de catecolaminas endógenas circulantes, lo que incrementa la estimulación de los receptores adrenérgicos, llevando a la desensibilización. Ésta se potencia por efectos de mediadores inflamatorios y toxinas bacterianas que actúan de forma sinérgica para reducir la capacidad de respuesta de los receptores adrenérgicos.1,2,5
La liberación de citosinas proinflamatorias y sobreproducción de óxido nítrico regula los receptores adrenérgicos, así como una desensibilización masiva de los receptores adrenérgicos, contribuyendo a la reducción de la respuesta cardiovascular a los estímulos adrenérgicos. Las endotoxinas en la sepsis y choque séptico activan mediadores inflamatorios que activan células glómicas quimiosensibles del cuerpo carotideo, lo que lleva a una actividad respiratoria aumentada.6-10
El endotelio vascular regula el tono, la hemostasia y la permeabilidad vascular; la hiperactividad simpática y la disfunción vascular pueden estar íntima y causalmente relacionadas entre sí de una manera muy compleja, como aumento de la rigidez de las grandes arterias y esta rigidez altera la función barorrefleja, interfiriendo así con el control simpático del tono vascular del músculo liso. Los receptores adrenérgicos alfa 1 sufren un proceso de desensibilización y un mecanismo de retroalimentación para proteger al receptor contra la sobreestimulación; esto contribuye aún más al fracaso de la modulación autonómica del tono vascular y a una menor eficacia de los vasopresores.11-15
Estudios con lipopolisacáridos de E. coli han demostrado que las citosinas circulantes liberadas desempeñan un papel importante al inducir inflamación del cuerpo carotideo con reducción de la distensibilidad arterial y, por lo tanto, alteración en la participación de los barorreceptores.10,11,13
Disfunción autonómica
Los síntomas de la disfunción autonómica pueden variar e incluir mareos, visión borrosa, fatiga, sudoración excesiva, malestar abdominal y náuseas. Se pueden realizar diferentes pruebas para evaluar la disfunción autonómica cardiovascular. Las pruebas funcionales cardiovasculares las dividiremos en simpáticas y parasimpáticas; en las simpáticas están las pruebas de estrés ortostático y maniobra de Valsalva; en las pruebas parasimpáticas tenemos la prueba de respiración máxima y el índice de Valsalva.5,16,17
La prueba de respiración máxima mide la respuesta del ritmo cardiaco a la respiración profunda, en la respiración a seis respiraciones por minuto (rpm) durante la inspiración ocurre taquicardia y durante la espiración bradicardia debido a la arritmia sinusal cuya integración cardiorrespiratoria depende de una vía aferente y eferente cardiovagal; se mide la frecuencia cardiaca máxima menos la frecuencia cardiaca mínima en cada ciclo respiratorio y se promedian las variaciones de la frecuencia cardiaca, el valor normal es mayor a 10 latidos por minuto (lpm).5,16,17
El índice de Valsalva ayuda para valorar la respuesta cardiovagal; durante la maniobra ocurre una inhibición de la función del nervio vago con taquicardia y activación posterior a la maniobra con bradicardia; se divide la frecuencia cardiaca máxima durante la maniobra por la frecuencia cardiaca después de la maniobra, es normal si es mayor de 1.2.5,16,17
Existen herramientas clínicas para evaluar la sensibilidad barorrefleja y quimiorrefleja del sistema nervioso autónomo mediante índices de variabilidad, y se han relacionado con la gravedad y mortalidad del choque séptico en varios estudios clínicos y experimentales.1,16,17
En estudios experimentales en animales inducidos a choque séptico, se ha observado que presentan patrones de disfunción autonómica típica. Se ha encontrado relación entre el aumento de la rigidez arterial aórtica con una actividad vagal deprimida junto con una reducción de la resistencia periférica total, disminución de la constante de tiempo de Windkessel y actividad simpática alterada en los sitios periféricos que no resolvían con la reanimación temprana ni la corrección de la hipotensión, encontrando que los índices cardiovasculares mediados por el sistema nervioso autónomo persistían deteriorados, observando que estos pacientes indican una respuesta deficiente a la terapia con vasopresores o fluidoterapia intravenosa, lo que identifica a los pacientes con peor pronóstico y que necesitan monitorización adecuada.1,13,17
Carro y colaboradores investigaron los cambios del árbol arterial y sus propiedades mecánicas en sitios centrales y periféricos en cerdos sometidos a choque séptico por peritonitis. Encontraron que la sepsis induce un desacoplamiento de la propagación de la onda del pulso arterial de los sitios centrales a los periféricos, sin resolución después de la reanimación óptima, atribuyéndolos como signos de disfunción autonómica, que ocasionan un desacoplamiento vascular persistente por horas después de una reanimación completa con fluidos y norepinefrina.1,2,6,16,18
Rigidez aórtica y arterial
La rigidez es la capacidad de soportar cargas o tensiones sin deformarse o desplazarse excesivamente. La rigidez arterial se refiere a la resistencia arterial a deformarse ante cambios en presión o flujo de cada ciclo cardiaco. Es un factor determinante en la presión arterial, así como un predictor de riesgo y estratificación cardiovascular de mortalidad, útil como biomarcador de salud arterial. La distensibilidad arterial es el cambio relativo en diámetro o área para un cambio de presión determinado; se calcula con la fórmula:1823
[(DS - DD)/DD]/(PS-PD)
y la compliance arterial:
Donde:
DS = diámetro arterial sistólico.
DD = diámetro arterial diastólico.
PS = presión arterial sistólica.
PD = presión arterial diastólica.
La rigidez aórtica tiene un valor predictivo independiente para eventos cardiovasculares fatales y no fatales. Existen varias formas de evaluar la rigidez arterial mediante la presión de pulso arterial, velocidad de onda de pulso carótido-femoral (VOPc-f), presión aórtica central, índice de aumento sistólico.19-23 Se considera como estándar de oro para detectar rigidez aórtica, la VOPc-f un umbral mayor de 12 m/s como lesión de órgano blanco y tiene un nivel de evidencia B recomendación IIb en las guías de ESH/ESC; se mide tomando la distancia carótido-femoral en metros con una cinta métrica y la onda de flujo Doppler carotideo y femoral tomando en cuenta el tiempo entre el QRS.19-23
Variabilidad de la frecuencia cardiaca
La variabilidad de la frecuencia cardiaca se definió como el coeficiente de variación del tiempo latido a latido; es una variación en el tiempo que transcurre en milésimas de segundos entre los intervalos R y R medidos en un electrocardiograma; demuestra la interacción entre el sistema nervioso autónomo y la frecuencia cardiaca.19,24-29 Se ha considerado como un indicador de la función nerviosa autónoma por la interacción entre el corazón y el cerebro, reflejando el dinamismo del sistema nervioso autónomo.25-28
El estándar de oro para medir la variabilidad de la frecuencia cardiaca es un registro electrocardiograma de cinco minutos en reposo. Los rangos normales en lo medido por electrocardiograma: desviación estándar de SHIP TREND va de 0.574 a 0.789 con media de 0.725 ms.25,29
Variabilidad de la onda E del flujo transmitral
La variabilidad de la onda E del flujo transmitral se refiere a las fluctuaciones en los intervalos de tiempo entre los picos de la onda E en diferentes ciclos cardiacos; infiere una evaluación de la adaptabilidad y modulación autonómica de la función cardiaca. Mediante el ecocardiograma transtorácico y un flujograma transmitral se calcula la variabilidad de la onda E, utilizando la desviación estándar o coeficiente de variación de los intervalos de tiempo entre las ondas E sucesivas en cinco determinaciones. Una variabilidad aumentada se relaciona con una función autonómica saludable, se expresa en términos de milisegundos en un rango de 10 a 30.30
En este estudio analizamos nuestra propuesta de acoplamiento nervo-vascular mediante los índices de disfunción del sistema nervioso autónomo en la evaluación de pacientes con sepsis y choque séptico con la finalidad de integrar al monitoreo de este grupo de pacientes con riesgo a presentar fallas autonómicas y vasculares. La factibilidad de realizar la evaluación al pie de cama del enfermo crítico contribuye a identificar oportunamente sujetos con riesgo de desarrollar complicaciones como resistencia vasopresora, persistencia de taquicardia a pesar de hipotensión e hipovolemia corregida, así como asociar a mayor riesgo de severidad y mortalidad.1,2,6
Material y métodos
Tipo de estudio: retrospectivo, descriptivo, observacional y longitudinal.
Universo: pacientes que se encuentran hospitalizados con diagnóstico de choque séptico según el tercer consenso internacional (SEPSIS 3) y que están a cargo del Servicio de Terapia Intensiva en el Hospital Regional ISSSTE de Veracruz, Veracruz.
Diseño: estudio retrospectivo en adultos ingresados a la Unidad de Terapia Intensiva en el Hospital Regional ISSSTE de Veracruz provenientes de urgencias u hospitalización, entre mayo de 2023 y julio de 2023, con diagnóstico de choque séptico según el tercer consenso internacional (SEPSIS 3). Criterios de inclusión: pacientes con definición operacional de sepsis y choque séptico que ingresaron a la unidad de terapia intensiva con edad mayor de 18 años. Criterios de exclusión: edad menor de 18 años, uso de ventilación mecánica no invasiva y cardiopatía estructural con diagnóstico menor de seis meses y pacientes que fallecieron dentro de las primeras 24 horas de ingreso a la unidad. Criterios de eliminación: pacientes que no tenían datos completos en la base electrónica del expediente clínico.
Cálculo de muestra: de acuerdo con el estudio de Blacher y colaboradores, encontraron una relación de OR 4.5 (IC95% 1.5-14.1) más veces el riesgo de morir en pacientes con disfunción del sistema nervioso autónomo y desregulación vascular, con una p = 0.05. Se usó el software QuestionPro para conocer el tamaño muestral, empleando un tamaño del efecto de 0.7, significancia alfa de 0.05, potencia de prueba de 0.80, significancia beta 0.20 y nivel de confianza 95%.
Se solicitó autorización por el comité de ética y de investigación de este hospital, para protección y manejo de la información recolectada en los expedientes.
Obtención de datos: posterior a obtener la autorización por parte del comité local de investigación y aprobación, se recabaron datos del expediente clínico electrónico del departamento de terapia intensiva del Hospital Regional de Alta Especialidad ISSSTE Veracruz.
Variables de interés: se consideraron variables como edad, sexo, comorbilidades de los grupos, así como tipo de infección y días de inicio de síntomas, para poder evaluar la asociación diferencial con los resultados en diferentes subgrupos de pacientes. Se realizó monitoreo hemodinámico, determinando patrón distributivo sin distinción de origen de la sepsis. Todos los sujetos de estudio fueron monitorizados a nivel hemodinámico mediante ecocardiograma transtorácico o con monitoreo invasivo para obtener diámetro del tracto de salida del ventrículo izquierdo (TSVI), diámetro mayor y menor de aorta, flujo aórtico, integral tiempo-velocidad del ventrículo izquierdo (IVT VI), volumen sistólico, gasto cardiaco, distancia de separación septal del punto E (E-Point Septal Separation) (EPSS), fevi tapse mapse, ondas E y A, variabilidad de la onda E del flujo transmitral, diferencia de presión/diferencia de tiempo (Dp/Dt), diámetro de vena cava inferior. Además, se realizó medición invasiva de la tensión arterial y monitoreo de la frecuencia cardiaca para realizar una evaluación continua.
Se identificaron como T1 a T4 las diversas etapas del protocolo; se registró y se calcularon todas las variables al diagnóstico a su ingreso nombrando como T1, a las 24 horas como T2, a las 72 horas como T3 y a su egreso de unidad de cuidados intensivos como T4. Se evaluó si la disfunción autonómica se correlaciona con otros marcadores de gravedad como las escalas SOFA y APACHE II, así como con mayor requerimiento de dosis de vasopresor o la necesidad de segundo o tercer fármaco, su asociación con taquicardia, fiebre o diaforesis, así como desenlaces.
Se registraron las variables a estudiar, obteniendo medición de diámetro y flujo de la aorta ascendente, arteria carótida y se efectuó el cálculo de la distensibilidad aórtica; se realizó la medición de la variabilidad de onda E del flujo transmitral en el ciclo en cinco determinantes, y se obtuvo el coeficiente de variación. Se registraron las determinaciones de frecuencia cardiaca y distancia de onda R a onda R del electrocardiograma y se realizó la medición de cinco determinantes para obtener el coeficiente de variación. Se registraron los datos obtenidos de la prueba de respiración máxima, ortopnea postural índice de Valsalva y prueba de Valsalva. Para la prueba de ortopnea postural, se tomaron signos vitales en dos posiciones con dos minutos de diferencia en decúbito supino a 0o y a 45o; para la prueba de ventilación máxima, se realizaron mediciones con base en el estado neurológico del paciente y soporte ventilatorio, solicitándolo o modificando parámetros ventilatorios en frecuencia respiratoria.
La distensibilidad compliancia aórtica se realizó mediante ecocardiografía transtorácica en plano paraesternal proyección eje largo y eje corto; se amplía la raíz aórtica y se efectúa la medición del borde externo al borde interno en ciclo diastólico y sistólico. Se examinaron los velos aórticos, identificando la raíz aórtica y la unión sinotubular para medir la aorta ascendente. Se realizó la medición del diámetro aórtico en sístole y diástole en modo M a nivel de los senos de Valsalva aórticos y aorta ascendente y se registró la presión de pulso braquial de forma simultánea por esfigmomanometría. Se aplicó la siguiente fórmula para obtener la distensibilidad aórtica:
DAo = [(DAoS-DAoD)/DAoD]/(PAS-PAD)
Donde:
DAo = distensibilidad aórtica
DAoS = distensibilidad aórtica en sístole
DAoD = distensibilidad aórtica en diástole
PAS = presión arterial sistólica
PAD = presión arterial diastólica
Respecto al flujograma transmitral, se obtuvieron métricas de variabilidad de la onda E mediante ecografía apical en proyección cuatro cámaras y se midieron los intervalos de tiempo entre los picos de la onda E del flujo transmitral en múltiples ciclos cardiacos consecutivos; en este estudio realizaremos la medición de cinco ciclos. Para obtener las variables de onda E y de la frecuencia cardiaca, utilizamos el coeficiente de variación, ya que es una medida estadística utilizada para expresar la variabilidad relativa en relación con la media.
Análisis estadístico: se realizó una Tabla 2 × 2 asociando supervivencia y escalas de severidad. Se conformaron grupos por edad y sexo, y se obtuvieron datos de promedio, media y mediana con intervalo de confianza al 95% (IC95%) para las variables con significancia estadística resultantes de análisis bivariado. Se realizó asociación entre supervivencia y diferentes variables clínicas, de laboratorio y hemodinámicas. Se obtuvieron los datos de índices de disfunción del sistema nervioso autónomo y se realizaron curva ROC de cada una para obtener punto de corte y determinar la sensibilidad y la especificidad de cada una. Se realizó un segundo análisis ajustado de regresión para buscar la asociación entre mortalidad y la distensibilidad aórtica. Por último, se representaron los resultados en forma de curvas de supervivencia de Kaplan-Meier para la población en general.
Todas las evaluaciones estadísticas se realizaron con el programa IBM SPSS Statistics versión 25.0 (IBM Corp., Armank New York, USA).
Resultados
Entre mayo de 2023 y julio de 2023 se admitieron 26 pacientes a unidad de cuidados intensivos con diagnósticos de sepsis y choque séptico; de los cuales, sólo 15 cumplieron con los criterios de inclusión; de los cuales 53.3% eran hombres y 46.7% mujeres. Se registró una edad media de 56 años y mediana de 59 años. Se agruparon por edad, en adulto joven de 18 a 39 años: dos casos (13.3%); adultos maduros de 40 a 59 años: siete (46.7%) pacientes; adulto mayor joven de 60 a 74 años: seis sujetos (40%) y adulto mayor anciano mayor de 75 años: 0% (n = 0). Dentro de las comorbilidades encontradas, se registró que 73.3% (n = 11) presentaban diabetes mellitus, 53.3% (n = 8) hipertensión arterial sistémica, 20% (n = 3) enfermedad vascular cerebral, 13.3% (n = 2) insuficiencia cardiaca, 6.6% (n = 1) enfermedad renal crónica, (Tabla 1). Se registraron los diagnósticos de sepsis de todas las formas; se encontró que 86.7% fueron de origen pulmonar, 40% genitourinario, 20% de origen abdominal y en 40% se asoció a dos orígenes infecciosos (Tabla 2).
Tabla 1: Comparación de los grupos de edad y el origen de la sepsis.
| Adulto joven | Adulto maduro | Adulto mayor joven | Adulto mayor anciano | n % | |||||
|---|---|---|---|---|---|---|---|---|---|
| Masculino | Femenino | Masculino | Femenino | Masculino | Femenino | Masculino | Femenino | ||
| Neumonía | 1 | 1 | 1 | 4 | 5 | 1 | 0 | 0 | 13 (86.7) |
| Abdominal | 1 | 0 | 0 | 0 | 2 | 0 | 0 | 0 | 3 (20) |
| Tracto urinario | 0 | 0 | 0 | 2 | 4 | 0 | 0 | 0 | 6 (40) |
| Piel* | 0 | 0 | 1 | 0 | 0 | 0 | 0 | 0 | 6.7 |
| Meningitis* | 0 | 0 | 0 | 1 | 0 | 0 | 0 | 0 | 6.7 |
| Endocarditis* | 0 | 0 | 1 | 0 | 0 | 0 | 0 | 0 | 6.7 |
* Los datos indican el porcentaje.
Tabla 2: Comparación de la relación de comorbilidades según escala de supervivencia.
| Variable | No supervivientes | Vivos | p |
|---|---|---|---|
| Sexo | 0.094 | ||
| Femenino | 2 | 5 | |
| Masculino | 3 | 5 | |
| Comorbilidades | |||
| Diabetes mellitus | 3 | 8 | 0.213 |
| Hipertensión arterial sistémica | 3 | 5 | 0.094 |
| Enfermedad vascular cerebral | 2 | 1 | 0.000 |
| Neoplasia | 0 | 1 | 0.189 |
| EPOC | 0 | 1 | 0.189 |
| Tabaquismo | 2 | 1 | 0.354 |
| Enfermedad renal crónica | 1 | 0 | 0.378 |
| Litiasis renal | 0 | 1 | 0.189 |
| HPB | 0 | 1 | 0.189 |
| Cardiopatía isquémica | 1 | 1 | 0.139 |
| Insuficiencia cardiaca | 0 | 2 | 0.277 |
EPOC = enfermedad pulmonar obstructiva crónica. HPB = hiperplasia prostática benigna.
Se tomaron como criterios de gravedad los índices de APACHE y SOFA; se identificó la necesidad de soporte ventilatorio, vasopresor y requerimiento de terapia de remplazo renal. Se encontró que 40% de los casos desarrolló síndrome de distrés respiratorio agudo (SDRA); fue moderado en 34%, grave en 16% y leve en 50%. Los pacientes bajo soporte ventilatorio se dividieron en cuatro grupos respecto al tiempo de estancia y se realizó un análisis de correlación con desenlaces de egreso en supervivientes y no supervivientes, la mejor correlación fue en el grupo T2 (Tabla 3). Tomando la variable de supervivencia, se encontró que 30% presentó SDRA moderado, 20% grave y 20% leve al ingreso del estudio, con mejoría de 70% de los casos; en el grupo de no supervivientes, 60% desarrolló SDRA grave (Tabla 4).
Tabla 3: Soporte ventilatorio y agrupación por supervivencia en las etapas del estudio.
| Tiempo del estudio | Total n (%) |
No supervivientes | Supervivientes | Correlación | |
|---|---|---|---|---|---|
| Soporte ventilatorio | T1 | 12 (80) | 3 | 9 | 0.354 |
| T2 | 12 (80) | 4 | 8 | 0.000 | |
| T3 | 11 (73.3) | 5 | 6 | -0.426 | |
| T4 | 7 (46.7) | 5 | 2 | -0.756 |
Tabla 4: Análisis de validez de prueba de índices de acoplamiento nervo-vascular.
| Variable | Sensibilidad | Especificidad | AUC (p) | |
|---|---|---|---|---|
| Distensibilidad aórtica | 12 | 88 | 55 | 0.67 (0.02) |
| Variabilidad onda E flujo transmitral | 11 | 96 | 51 | 0.70 (< 0.05) |
| Prueba de respiración máxima | 15 | 88 | 79 | 0.93 (< 0.05) |
| Varianza frecuencia cardiaca | 26 | 72 | 69 | 0.73 (< 0.05) |
AUC = area under the curve.
En la población estudiada con sepsis se encontró que 60% de los casos desarrollaron choque séptico a pesar de reanimación adecuada de líquidos. Se inició terapia vasopresora en 100% de los casos con un vasopresor con mejoría en 60%; el resto de la población ameritó el abordaje con un segundo vasopresor: 30% requirió vasopresina, 40% inotrópico, 60% requirió utilización de esteroide; en este caso los fármacos utilizados fueron levosimendán, vasopresina e hidrocortisona a 200 mg en infusión para 24 horas.
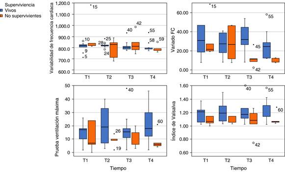
Se realizó medición de índices de disfunción del sistema nervioso autónomo a la muestra de estudio (Figuras 1 a 4): al ingreso, a las 24 horas, a las 48 horas y a su egreso de la unidad de cuidados intensivos. De la prueba de ventilación máxima, el índice de Valsalva y la variabilidad de la frecuencia cardiaca, hallamos que los sujetos con desenlace por supervivencia no presentaron alteración en los valores de referencia; y en el grupo de sujetos con desenlace por defunción, tuvieron descenso en los mismos, también se observó que tuvieron cambios desde el inicio del estudio. Se encontró que a las 24 horas presentó una caída significativa de la variabilidad de la frecuencia cardiaca, índice de Valsalva y varianza de la frecuencia cardiaca.

Figura 2: Distribución de parámetros de laboratorio de los pacientes en diferente etapa del estudio.

Figura 4: Distribución de índices de disfunción del sistema nervioso autónomo en diferente etapa del estudio.
A las pruebas de la variabilidad de la onda E del flujo transmitral, se integró la distensibilidad de la aorta (Figura 5) en la cual también se encontraron cambios significativos en las 24 horas de su diagnóstico en 30% de los pacientes; a pesar de mejorar la PAM con manejo vasopresor, persistía con cambios con descenso significativo en el grupo de no supervivientes, ameritando tratamiento con segundo vasopresor e inotrópico, lo que podría relacionarse con una disminución del flujo simpático a la vasculatura, probablemente por vasodilatación atribuida a sepsis.
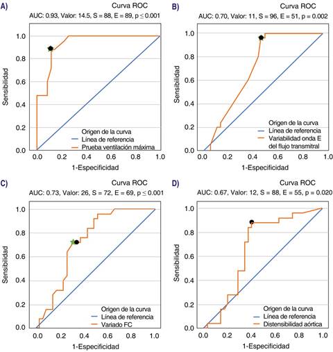
Se realizó curva ROC de los índices propuestos de acoplamiento nervo-vascular asociados a disfunción (Figura 6); se encontró AUC 0.67 para distensibilidad aórtica y se realizaron validez de prueba, sensibilidad (S) 0.88, especificidad (E) 0.55 (p 0.02). Variabilidad de onda E, AUC 0.70, S 0.96, E 0.51 (p < 0.05). Varianza de frecuencia cardiaca, AUC 0.73, S 0.72, E 0.69 (p < 0.05). Prueba de ventilación máxima AUC 0.93, S 0.88, E 0.89 (p < 0.05).

Figura 6: Análisis por curva ROC. A) Prueba de ventilación máxima. B) Variabilidad de onda E. C) Variado de frecuencia cardiaca [FC]. D) Distensibilidad aórtica.
En la curva de supervivencia global (Figura 7) se observa que, al no presentar incremento en la distensibilidad aórtica como indicador de disfunción nervo-vascular, después de 15 días respecto al ingreso a la unidad de cuidados intensivos la supervivencia fue poco más de 60%.
Discusión
Debido a la alta mortalidad de la sepsis y choque séptico a nivel mundial, es trascendente ampliar el monitoreo multisistémico con un modelo causal inmerso en la fisiopatología de autorregulación vascular. En los últimos años el pilar terapéutico de la sepsis es la resolución del origen infeccioso y la mejoría de la disfunción endotelial, mantener metas hemodinámicas, corregir la hipoperfusión tisular; sin embargo, dentro de todas las causas, una que no se debe olvidar es la identificación de los pacientes que presentarán disfunción nervo-vascular.
Acerca de una disfunción nervo-vascular, es prioritario ampliar nuestros hallazgos, los cuales concuerdan con trabajos descritos por otros grupos de investigadores, enfatizando en la falla autonómica y su presentación en un rango de 24 a 48 horas antes de los desenlaces fatales y puede persistir aun después de la resolución o control del foco infeccioso precipitante.
Nuestros hallazgos destacan probablemente la presencia de índices de disfunción autonómica al asociarse a una respuesta inflamatoria severa, persistencia de hipoperfusión-hipotensión y taquicardia aun con dosis óptimas de vasopresor. A pesar de realizar maniobras de reanimación y dosis óptimas de antimicrobianos, y de reducir la respuesta inflamatoria y mantener un limítrofe patrón hemodinámico, la mortalidad es alta, mayor de 33%.
La taquicardia desencadenada por sepsis es un mecanismo compensatorio para mantener un gasto cardiaco; a pesar de la reanimación óptima, los pacientes mostraban una frecuencia cardiaca elevada, lo que se asoció con mayor mortalidad y hallazgos colaterales de incremento de CPK y CKMB. No se cuenta con suficientes estudios que recomienden la reducción de la frecuencia cardiaca con excepción de documentar fracaso diastólico del ventrículo izquierdo, para el empleo de bloqueadores beta 1 cardioselectivos, agregándose favorablemente la teoría causal en mediar la acción antiinflamatoria, disminuyendo la concentración de lactato y citoquinas para, de esta manera, mejorar la respuesta vascular a los vasopresores.
El síndrome de respuesta inflamatoria aguda en el contexto de sepsis altera funciones endoteliales y se cuenta con literatura basada en ensayos experimentales donde se enfatiza en la evaluación de la rigidez de grandes vasos como la aorta. En nuestro estudio, se encontró que los pacientes con mayor severidad y mortalidad presentaban descenso de este parámetro, pero el análisis de los datos no logró demostrar significancia estadística relevante; sin embargo, se realizaron mediciones de distensibilidad aórtica en la evaluación del pronóstico y supervivencia, lo que resulta de utilidad para identificar la disfunción del sistema nervioso autónomo.
Conclusiones
La evaluación de la disfunción del sistema nervioso autónomo con índices de acoplamiento nervo-vascular es una propuesta factible de monitorización en el paciente con sepsis y choque séptico en la unidad de cuidados intensivos. La integración de herramientas de evaluación al pie de cama del enfermo crítico podrá mejorar el pronóstico y la supervivencia. Nuestro modelo causal involucra fortalezas basadas en la literatura previa y tendencias de nuestra población de estudio, teniendo en cuenta limitaciones y la necesidad de continuar vías de investigación correspondiente.


















