1.- INTRODUCCIÓN
En 2020, la pobreza a nivel mundial se incrementó a razón de las alteraciones generadas por el COVID-19, cuyas repercusiones se vieron reflejadas en la reducción de los ingresos, pérdida de puestos laborales y ceses de trabajo (Banco Mundial, 2021, 2022). La pobreza en América Latina y el Caribe en 2021 alcanzó el 32.3 %, esto implicó una ligera reducción frente al 2020 (32.8 %), fundamentado por el restablecimiento de la actividad económica, en particular al aumento de las tasas de empleo y la reducción de restricciones establecidas a causa de la pandemia. Sin embargo, la región aún enfrenta brechas en la pobreza, como la desigualdad de género que es un rasgo histórico y persistente (Comisión Económica para América Latina y el Caribe, 2022). Las desigualdades de género impactan en diferentes ámbitos de la vida, como laboral, familiar, social, personal e institucional, es decir hay restricción en la participación de las mujeres en su autonomía económica (González y Martínez, 2021).
La pobreza monetaria en Perú para el 2021 fue de 25.9 % (véase la Figura 1) que perjudicó a más de ocho millones de personas. En comparación con el 2020, año en que el COVID-19 provocó una crisis en el mercado de trabajo, que afectó a los estratos con menores ingresos y trabajadores del sector informal. El índice de la pobreza monetaria en 2021 disminuyó 4.2 %, debido a la reducción de restricciones para mitigar el COVID-19; no obstante, en la zona urbana la pobreza del 2021 fue similar al comportamiento del 2009 (Figura 1) (INEI, 2022).
La región Ica, desde el 2004 ha mantenido una menor incidencia de pobreza monetaria debido a las diversas actividades económicas como las manufactureras, agropecuarias, minera, construcción y otros servicios que representan el 76.4 % de su Valor Agregado Bruto, que propician el aumento del ingreso per cápita, cuyo valor para el 2021 fue s/ 960 y un mayor acceso a servicios públicos para beneficios de su población. Disponer de servicios básicos como, alumbrado eléctrico y agua potable en la región de Ica representa el 97.3% y 88.2%, respectivamente (Instituto de Economía y desarrollo Empresarial ,2022).
Puno es la región más pobre del Perú. De cada diez habitantes, cuatro sufren pobreza monetaria, es decir sus ingresos son insuficientes para cubrir una canasta básica. En relación con los servicios básicos, en las zonas rurales no cuentan con electricidad ni saneamiento, o cuentan con un servicio precario. El ingreso mensual promedio de para la región de Puno para el 2021 es de S/ 805, el segundo más bajo del país después de Huancavelica. Las principales actividades económicas en la región es la actividad agrícola y pecuaria, mismas que se desarrollan con tecnologías tradicionales, factor que la mantiene como la región menos competitiva en relación con el pilar de entorno económico (Figura 2) (Fuentes, Gonzales, Crisólogo, Manrique, Herrera y Chang, 2022).

Fuente:INEI (2022).
Figura 2 Incidencia de pobreza monetaria en Perú y en las regiones de Puno e Ica.
.
2.-FUNDAMENTO TEÓRICO
La pobreza se define como (a) el limitado acceso a servicios básicos, (b) carencia de recursos económicos y (c) consumo inferior a la canasta básica (Banco Mundial, 1990) (Comisión Económica para América Latina, 2003) (INEI, 2000).
Existen diversos enfoques del tratamiento de la pobreza, el método de la línea de pobreza es el más utilizado a nivel internacional para calcular la pobreza. (Ravallion,1998 citado por Aguado y Osorio, 2006), afirma dada las preferencias de un hogar, la función de utilidad se puede representar cómo: el costo mínimo de utilidad es igual al costo mínimo de utilidad por las canastas de bienes que consume un hogar y sus características.
Medir la pobreza monetaria en Perú es mediante la metodología de la línea de pobreza, misma que establece un valor económico de un hogar (gasto per cápita mensual) para clasificar a las personas con gastos inferior al umbral definido en condición de pobreza (INEI,2017).
En Perú los componentes de la canasta básica tienen en cuenta una base de patrones del consumo real de hogares, en función a la actividad del individuo, sexo, edad y lugar de residencia. En 2021 el costo de la canasta alimentaria en un hogar con cuatro habitantes adquiere un valor de S/. 1512, como se observa en la Figura 3.
Un activo se refiere a un conjunto de recursos divididos en dos tipos: intangible y tangible. Los intangibles hacen referencia al acceso al crédito, capital humano, capital social, entre otros. En relación con los activos tangibles se encuentran los bienes del hogar y recursos naturales (Sherraden, 1991, como se citó en Valenzuela, 2013). En los hogares con falta de activos, se exponen a mayores niveles de pobreza, en su mayoría con los activos intangibles, como capital social y redes comunitarias de ayuda (Narayan, Patel, Schafft, Rademacher y Koch-Schulte, 2000).
Los pobres son los que poseen menos activos, ya que tienen acceso limitado a estos, y no pueden obtener buen provecho de sus activos de manera eficiente (Siegel, 2005). Por otro lado, los hogares que cuentan con activos sin muchos esfuerzos pueden incrementar su ingreso y patrimonio (Piketty, 2014, como se citó en Del Castillo, 2015).
La investigación relaciona la pobreza y el ingreso desde el enfoque de los activos propuestos por Attanasio y Székely (2001) que indican que el ingreso per cápita por hogar se representa cómo (Figura 4):
Donde “j” representa el número de individuos que proveen ingresos al hogar del individuo “i”, teniendo en cuenta que “l” representa las diferentes variedades de activos, “n” tamaño de hogar de individuo y “k” número de individuos que perciben transferencias en el hogar. Los autores establecen como indicador de bienestar el ingreso, mismo que compone de cuatro elementos, estos son: Stock del activo del individuo ( 𝐴 𝑎,1 ), ratio usado para generar el ingreso ( 𝑅 𝑎,𝑖 ), valor unitario del activo en el mercado ( 𝑃 𝑎 ) y transferencias del individuo ( 𝑇 𝑖 ).
El stock de activos está integrado por el capital humano; físico y social a continuación se detallan los activos usados para la presente investigación (Tabla 1) (Attanasio y Székely, 2001).
Tabla 1 Stock de activos
| Stock de activos | Definición | Variable |
| Capital Humano | Destrezas que se requiere para producir un bien o servicio. | Edad |
| Género | ||
| Nivel educativo | ||
| Número de integrantes en el hogar | ||
| Capital Físico | Engloba el capital físico privado (bienes, activos financieros) y el capital físico social (disponer de servicios básicos) | Capital físico privado |
| Internet | ||
| Celular | ||
| Título de propiedad | ||
| Inclusión financiera | ||
| Capital físico social | ||
| Desagüe | ||
| Capital Social | Normas y redes sociales que contribuyen al desarrollo colectivo entre los individuos | Lengua nativa |
| Tipo de empleo |
Fuente: Elaboración propia. Nota: A partir de Attanasio y Székely 2001.
3.-MÉTODO
Diseño.
La investigación presenta un diseño no experimental bajo un enfoque cuantitativo, siendo este un conjunto de procesos secuenciales y probatorios con procedimientos deductivos, donde se construye un plan para medir y/o probar las variables en un entorno definido, utilizando métodos estadísticos, con la finalidad de generar modelos de comportamiento y contrastar teorías. (Hernández, Fernández y Batista. 2014). El método es correlacional, ya que busca encontrar la relación entre variables, sin que exista manipulación de estas (García y Martínez, 2012).
Instrumentos.
Los datos considerados fueron extraídos de la Encuesta Nacional de Hogares (ENAHO) del 2021, elaborado por INEI, que proporciona información del nivel de vida de los hogares Perú, con una distribución muestral para la región de Puno de 1040 hogares y para Ica de 1159 hogares. La Tabla 2 presenta las estadísticas resumidas centrándose en las variables según la condición de pobreza que se utiliza en el análisis empírico. En la tabla no se incluyó la edad del jefe de hogar ni la cantidad de integrantes del hogar por ser variables discretas.
Tabla 2 Descripción de las variables según condición de pobreza.
| Variables | Perú: No pobre (%) | Pobre (%) | Puno: No pobre (%) | Pobre (%) | Ica: No pobre (%) | Pobre (%) |
|---|---|---|---|---|---|---|
| Género del jefe de hogar | ||||||
| Varón | 50.31 | 13.75 | 35.91 | 20.97 | 55.3 | 1.62 |
| Mujer | 29.68 | 6.26 | 28.36 | 14.76 | 40.55 | 2.54 |
| Nivel educativo del jefe de hogar | ||||||
| Sin educación | 15.24 | 6.09 | 16.84 | 14.1 | 13.36 | 0.63 |
| Primaria | 19.98 | 6.68 | 17.99 | 11.32 | 20.98 | 1.67 |
| Secundaria | 28.84 | 6.16 | 21.84 | 8.5 | 41.3 | 1.52 |
| Superior no universitario | 7.58 | 0.83 | 4.15 | 1.28 | 11.99 | 0.19 |
| Superior universitario | 8.35 | 0.25 | 3.46 | 0.53 | 8.22 | 0.15 |
| Desagüe | ||||||
| Sin desagüe | 19.39 | 9.25 | 31.47 | 21.77 | 16.96 | 1.5 |
| Con desagüe | 60.59 | 10.77 | 32.8 | 13.95 | 78.88 | 2.66 |
| Tipo de empleo del jefe de hogar | ||||||
| Empleo informal | 56.72 | 18.76 | 55.11 | 34.43 | 66.32 | 3.11 |
| Empleo formal | 22.94 | 1.58 | 9.11 | 1.36 | 30.35 | 0.22 |
| Inclusión financiera del jefe de hogar | ||||||
| Sin inclusión | 36.8 | 13.45 | 41.37 | 24.67 | 40.75 | 2.77 |
| Con inclusión | 43.17 | 6.58 | 22.85 | 11.11 | 55.09 | 1.39 |
| Título de propiedad | ||||||
| Sin título | 48.38 | 14.42 | 45.64 | 28.78 | 47.86 | 3 |
| Con título | 43.06 | 5.6 | 18.64 | 6.95 | 47.98 | 1.16 |
| Internet | ||||||
| Sin internet | 36.93 | 49.12 | 42.83 | 30.8 | 39.55 | 2.09 |
| Con internet | 1.14 | 34.73 | 21.44 | 4.93 | 56.29 | 2.07 |
| Celular | ||||||
| Sin celular | 4.31 | 1.63 | 6.17 | 8.67 | 4.07 | 0.1 |
| Con celular | 75.67 | 18.39 | 58.1 | 59.68 | 91.77 | 4.06 |
| Idioma del jefe de hogar | ||||||
| Otro | 60.31 | 13.48 | 8.95 | 2.89 | 86.87 | 3.79 |
| Lengua nativa | 19.67 | 6.54 | 55.32 | 32.84 | 8.97 | 0.46 |
Fuente: Elaboración propia. Nota: A partir de la ENAHO 2021 (INEI).
Procedimiento.
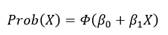
Gujarati y Porter (2010) señala que, los modelos de probabilidad buscan encontrar la posibilidad de que un acontecimiento suceda. Greene (2002) plantea un marco general del modelo en mención (Figura 5):
Donde:
Y: la variable independiente.
X: un vector de variables exógenas.
β: Conjunto de medidas que recoge el impacto de las variaciones en X sobre la probabilidad.
Greene (2002) indica que un modelo probabilístico puede ser escrito de la siguiente manera (Figura 6):
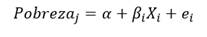
Por lo expuesto, el modelo del trabajo presenta la relación de las variables independientes sobre la dependiente (Figura 7):
La ecuación representa la condición de pobreza a evaluar (Figura 8):
4.-RESULTADOS
Los resultados referentes al capital humano en Puno son, la educación primaria completa del feje de hogar disminuye la posibilidad de ser pobre en 9 %, en consecuencia, a medida que incrementa el nivel educativo aminora la probabilidad de ser pobre. En cambio, los resultados en Ica señalan que contar con primaria y secundaria completa del jefe de hogar disminuye la probabilidad en 1 % y 2 % respectivamente. Con respecto a la cantidad de miembros del hogar, en las regiones de estudio son significativas e incrementan la posibilidad de ser pobre.
El capital físico, en Puno el acceso al servicio de desagüe reduce la posibilidad de ser pobre en 3%, y en Ica disminuye esta probabilidad en 5%, y esta variable es altamente significativa en la región Ica. Con respecto a la variable título de propiedad en la región de Puno e Ica, si el jefe de hogar tiene título de propiedad disminuye la probabilidad en 9 % y 1% respectivamente, la variable es altamente significativa en la región de Puno. Así también, la variable internet y celular en la región Puno son significativas y la probabilidad de ser pobre se reducen en 21 % y 12 %, mientras en la región Ica, las variables en mención no son significativas.
Capital social, los resultados obtenidos sobre el tipo de empleo del jefe de hogar muestran que en Puno e Ica el hecho de que el jefe de hogar labore en un empleo formal aminoran la probabilidad de ser pobre en un 15 % y 3 %, respectivamente y la variable en mención es altamente significativa en las regiones de estudio. En relación con la lengua nativa del jefe de hogar (aymara, quechua u otra lengua nativa), para las regiones de Puno e Ica disminuye la probabilidad de ser pobre en 1%.
La investigación sugiere que el capital humano, físico y social impactan en la probabilidad de ser pobre. Esto corrobora la teoría planteada por Attanasio y Székely, (2001). De hecho, lo reportado es consistente con lo determinado por las investigaciones de Quispe y Roca (2019) y Quispe, Aguilar, Calcina, Ulloa, Madueño, Vargas, y Coacalla (2022), cuyos resultados son sobresalientes para determinar la pobreza en el Perú (Tabla 3) .
Tabla 3 Efectos marginales del modelo probit de los activos
| Variables de condición de pobreza | Perú | Puno | Ica |
|---|---|---|---|
| Edad | -0.00*** | 0 | -0.00** |
| 0 | -0.002 | -0.001 | |
| Género del jefe de hogar | |||
| Mujer | -0.02** | -0.03 | 0.02 |
| -0.007 | -0.037 | -0.012 | |
| Nivel educativo del jefe de hogar | |||
| Primaria | -0.05*** | -0.09* | 0.03* |
| -0.009 | -0.048 | -0.017 | |
| Secundaria | -0.06*** | -0.17*** | 0.02 |
| -0.01 | -0.054 | -0.015 | |
| Superior no universitario | -0.07*** | -0.02 | 0.01 |
| -0.017 | -0.105 | -0.019 | |
| Superior universitario | -0.16*** | -0.17* | 0.04 |
| -0.017 | -0.092 | -0.038 | |
| Número de miembros del hogar | 0.07*** | 0.11*** | 0.02*** |
| -0.002 | -0.011 | -0.004 | |
| Desagüe | |||
| Con desagüe | -0.05*** | -0.03 | -0.05** |
| -0.007 | -0.04 | -0.019 | |
| Inclusión financiera del jefe de hogar | |||
| Con inclusión | -0.03*** | -0.03 | -0.01 |
| -0.007 | -0.042 | -0.012 | |
| Título de propiedad | |||
| Con título | -0.06*** | -0.09** | -0.01 |
| -0.007 | -0.046 | -0.011 | |
| Internet | |||
| Con internet | -0.12*** | -0.21*** | 0 |
| -0.007 | -0.041 | -0.012 | |
| Celular | |||
| Con celular | -0.09*** | -0.12** | - |
| -0.014 | -0.054 | - | |
| Idioma del jefe de hogar | |||
| Lengua nativa | -0.02*** | -0.01 | -0.01 |
| -0.006 | -0.069 | -0.015 | |
| Tipo de empleo del jefe de hogar | -0.08*** | -0.15** | -0.03*** |
| Empleo formal | -0.01 | -0.073 | -0.009 |
| Observaciones | 28299 | 1040 | 1159 |
| Chi2 | 2388.18 | 116.8 | 63.79 |
| P | 0 | 0 | 0 |
| R2_p | 0.212 | 0.165 | 0.313 |
| AIC | 222.106 | 502.095 | 33.93 |
| BIC | 5995497.466 | 515072.212 | 31261.42 |
Fuente: Elaboración propia. Los paréntesis indican los errores estándar robustos. Sea ***, **, * los niveles de significancia al 1%, 5% y 10%. Nota: A partir de la ENAHO 2021 (INEI)
5.-CONCLUSIONES
Este artículo investiga la probabilidad de ser pobres bajo el stock de activos en la región más pobre y menos pobre del Perú en el año 2021 usando datos de la ENAHO, es decir se resalta la brecha que persiste entre la región Ica y Puno.
Attanasio y Székely (2001), indica que en el Perú la mayor tenencia de activos de una persona incrementa su nivel de ingreso, no obstante, según los resultados del estudio muestran una peculiaridad en las regiones. En Puno, influye más el capital humano y el capital físico ya que, los factores que reducen la probabilidad de ser pobres en la región de Puno es acceder al servicio de internet, si el jefe de hogar cuenta con educación secundaria y si cuenta con celular. Mientras en la región Ica, la variable que reduce la posibilidad de ser pobre es si el feje de hogar accede al servicio de desagüe y si cuenta con un empleo formal, es decir influyen más el capital físico y social.
Con base a los resultados, se sugiere priorizar la intervención del gobierno a través de políticas fiscales que permitan mejorar los servicios sanitarios en las provincias de Puno e Ica. Además, se sugiere la mejora de infraestructura juntamente con las empresas privadas que ofrecen el servicio de internet con la mejora de antenas de conectividad para mejorar el rango de cobertura. Finalmente, es crucial incluir a programas de planificación familiar. Esto clarifica la importancia de plantear diversos enfoques, es decir, políticas heterogéneas para afrontar diversos panoramas
Se concluye que la probabilidad de ser pobre de un hogar está relacionada a la tenencia de activos según el contexto socioeconómico en el que se encuentra, destacando así la necesidad de priorizar políticas públicas que consideren la heterogeneidad socioeconómica de las regiones en estudio para mejorar la calidad de vida de los hogares y reducir la pobreza. Para investigaciones futuras, se recomienda extender el periodo de tiempo, es decir realizar estudios longitudinales que permitan dar luces de los factores que repercuten en el riesgo de ser pobre por periodos continuos. Así mismo, tomar en cuenta los grupos robustos de los departamentos menos y más pobres para tener un pan aroma más amplio.






















