Introducción
El tomate de cáscara (Physalis ixocarpa Brot.) o tomate verde, es una planta perteneciente a la familia de las solanáceas originaria y domesticada en México que ha tomado gran relevancia entre las hortalizas más consumidas y producidas en la mayoría de los estados (Peña-Lomelí et al. 2014). En la actualidad este cultivo cuenta con una superficie sembrada de 40 650.69 ha, siendo superado por el jitomate (Solanum lycopersicum L.) con 49 287.02 ha, chile (Capsicum annuum L.) 149 693.65 ha, papa (Solanum tuberosum L.) 60 102.28 ha, entre otros cultivos (SIAP 2022).
La importancia gastronómica sobre el uso de esta hortaliza incide en la preparación de varios platillos de la cocina mexicana (Santiaguillo-Hernández et al. 2009). El tomate verde, también conocido como tomate de cáscara o tomatillo, se cultiva en 28 de los 32 estados de la república mexicana, obteniendo un rendimiento promedio de 18.65 t ha-1. Actualmente los estados de mayor producción son: Sinaloa 7 317.91 ha, Jalisco 4 979.99 ha, Puebla 4 271.55 ha, Zacatecas 3 300.91 ha, Estado de México 2 521.32 ha, Michoacán 2 379.43 ha, Sonora 2 125.00 ha, y Nayarit 1 994.80 ha. Mientras que la superficie destinada a la siembra de manera orgánica es de solo 120 hectáreas (SIAP 2022). Aunado a lo anterior, Rizo-Mustelier et al. (2017) mencionan que la agricultura orgánica es una alternativa para la producción de alimentos que no dañan la salud ni el medio ambiente, este tipo de producción no permite el uso de insumos sintéticos, solo el uso de insumos naturales. El uso de enmiendas orgánicas ha ayudado a mitigar los daños ocasionados por factores abióticos, además, que suelen potencializar el rendimiento en diversos cultivos. Por tal motivo, Veobides-Amador et al. (2018) indican que el uso de sustancias húmicas tiene efectos directos sobre las características físicas, fisicoquímicas y biológicas del suelo, al aumentar la retención de humedad, el aporte de nutrientes, la proliferación de los microorganismos benéficos y en la formación de complejos iónicos como el fierro y el zinc. Por lo anteriormente, el objetivo fue evaluar el uso de fertilizantes químicos, orgánicos y su combinación sobre el efecto en la morfología, calidad de fruto y rendimiento del cultivo de tomate de cáscara (P. ixocarpa Brot.) bajo condiciones de temporal, en Loma Bonita, Oaxaca.
Materiales y métodos
Esta investigación se llevó a cabo durante los meses de julio a noviembre de 2019 en el área de producción agrícola de la Universidad del Papaloapan Campus Loma Bonita Oaxaca, ubicado a los 18° 05' 56.5" LN, 95° 53' 48.0” LO a 38 msnm (INAFED 2021). La temperatura presente en este lugar oscila entre los 20.5 y 29.4 °C con precipitación promedio de 1 902 mm (SMN 2019). Se realizó previamente el análisis químico de la lombricomposta (pH 6.4, CE 3.0 dS m-1, MO 16.7%, C/N 16.9%, N 0.57%, P 0.35%, K 0.24, Ca 0.81 y Mg 0.29).
Diseño experimental y tratamientos
El experimento se estableció en bloques completos al azar, con cuatro tratamientos y tres repeticiones. Los tratamientos fueron los siguientes: T1 = química (120N-80P-120K), T2 = orgánica (3.479 kg m2 de lombricomposta), T3 = química-orgánica (120N-80P-120K + 3.479 kg m2 de lombricomposta) y T4 = testigo.
Aplicación de tratamientos
Las aplicaciones de los fertilizantes químicos empleados fueron en banda a profundidad aproximada de 5 cm, una vez estos en el suelo fueron tapados y se realizaron de acuerdo con cada tratamiento: T1 = fertilización química se efectuó en dos partes, la primera se realizó al momento del trasplante (60N-80P-60K), aplicando el total del fósforo, la segunda aplicación se realizó a los 35 ddt (días después del trasplante) (60N-00P-60K). El tratamiento T2 = fertilización orgánica se aplicó de fondo al momento de realizar el trasplante (3.479 kg m2 de lombricomposta). El tratamiento T3 = fertilización química-orgánica se aplicó en dos partes, la primera aplicación se realizó al momento del trasplante se utilizó 3.479 kg m2 de lombricomposta de fondo, al finalizar este proceso se llevó a cabo la aplicación química a razón de (60N-80P-60K), añadiéndose todo el fósforo en una sola aplicación, la segunda fertilización se realizó a los 35 ddt, (60N-00P-60K). Para el tratamiento T4 = testigo, no se aplicó ningún tipo de fertilización, solo se realizaron aplicaciones de agua por medio del sistema de riego. El efecto orilla fue empleado en todos los tratamientos y plantas sometidos a toma de datos.
Siembra
La siembra se realizó el 11 de julio de 2019 en un almácigo con las siguientes dimensiones: dos metros de ancho por tres metros de largo, utilizándose suelo agrícola y lombricomposta en proporción 1:1 (v/v) como sustrato. El experimento se estableció en 12 camas, con dimensiones de longitud de 6 m y ancho de 0.80 m con altura de 0.30 m, la distancia entre camas fue de 1.8 m. La siembra se realizó a tresbolillo, con una distancia entre plantas de 0.30 m, teniendo un total de 39 plantas por cama, para una densidad poblacional de 36 075 plantas ha-1.
Manejo agronómico
El suelo se preparó para el experimento con barbecho a 40 cm de profundidad y el rastreo para dejar bien mullido el suelo con la utilización de un motocultor, el levantamiento de las camas se realizó con azadón. Se instaló un sistema de riego por goteo, con cintilla calibre 5 mil y ⅝ de diámetro marca TORO®, con una separación de 30 cm entre emisores colocándose en medio de la cama a profundidad de 10 cm en el suelo, el cual solo se utilizó como riego de auxilio durante el trasplante y dos y cinco días después de este, ya que el experimento fue de temporal. El trasplante se efectuó a los 20 días después de la siembra (dds) a raíz desnuda. Posteriormente a los 30 días después del trasplante (ddt) se realizó el envarado, lo que impidió el desgajamiento de ramas, por el peso de los frutos. Para el manejo fitosanitario se aplicó extracto de neem-canela y cipermetrina 200 CE, Koor Agro para chapulín (Caelifera sp.) a razón de 5 y 1 mL L-1, respectivamente. La presencia del gusano del fruto (Chloridea subflexa) se combatió con cipermetrina a razón de 1.5 mL L-1. La enfermedad causada por el hongo Pythium sp., se controló con aplicaciones de Metalaxil-M (Ridomil Gold 480 SL®, Syngenta) a razón de 1.5 mL L-1.
Variables de estudio
Para la evaluación del diámetro de tallo y número promedio de flores por planta se realizaron cuatro muestreos: a los 30, 45, 60 y 75 ddt. El diámetro de tallo (mm), se determinó con un vernier digital de la marca Truper® Stainless Steel, la medición se tomó a 2 cm por debajo de la primera horqueta. Mientras que el número promedio de flores se contabilizó de forma visual según el tratamiento. En el diámetro de tallo y número de flores se evaluaron a las mismas cuatro plantas.
El rendimiento se determinó en cuatro cosechas: la primera a los 75 ddt, mientras que las cosechas posteriores se realizaron a intervalos de 7 días consecutivamente. El peso del fruto se determinó por tratamiento, utilizando una báscula digital de 3 kg marca Rhino®. El número de frutos se determinó contabilizando cada fruto cosechado por tratamiento, mientras que el rendimiento total se obtuvo pesando todos los frutos cosechados por tratamiento en una superficie de 153.33 m2, posteriormente se realizó una extrapolación a una superficie de 10 000 m2 para obtener el rendimiento en t ha-1.
La determinación del pH y contenido de sólidos solubles totales (SST) se realizó en el jugo de cinco frutos a partir del segundo corte, el pH se midió con un potenciómetro de la marca Hanna Instruments® y el contenido de sólidos solubles totales se determinó con un refractómetro digital (HI 96801 de la marca Hanna Instruments®). El pH y SST se determinaron en los últimos tres cortes.
Análisis estadístico
Los datos obtenidos se analizaron por medio de un análisis de varianza, para la determinación de las diferencias de medias de las variables evaluadas se aplicó la prueba de Tukey (P≤ 0.05). Todos los análisis se realizaron por medio del programa estadístico InfoStat versión 2020 (Di-Rienzo et al. 2018).
Resultados y discusión
El uso de la fertilización química-orgánica (120N-80P-120K + 3.479 kg m2 de lombricomposta) tuvo efectos positivos en las variables morfológicas, de rendimiento y calidad de fruto del tomate de cáscara. Este efecto se puede deber al contenido de materia orgánica presente en la lombricomposta (16.7%) y la disponibilidad de macronutrientes como el nitrógeno, fósforo y potasio, elementos considerados como indispensables para el desarrollo adecuado de las plantas. Al respecto, Ahmad y Tripathi (2022) indican que la aplicación de lombricomposta puede propiciar un suministro adecuado de nutrientes y una mejor translocación de los fotosintatos hacia los órganos que están en crecimiento.
Diámetro de tallo y número promedio de flores
En la Figura 1, se presentan los resultados de las variables morfológicas, el mayor diámetro de tallo (mm), se obtuvieron con los tratamientos T1 (química), T2 (orgánica) y T3 (química-orgánica) a los 30 ddt (P = 0.05). El tratamiento 3 (química-orgánica) obtuvo los mejores resultados para esta variable a los 45 y 75 ddt siendo superior al resto de los tratamientos. El tratamiento T1 (química) a los 60 ddt obtuvo el mejor resultado siendo superior estadísticamente al resto de los tratamientos (P = 0.01). Algunos autores como Javier-López et al. (2022) quienes evaluaron el efecto de la lombricomposta con diferentes mezclas con fertilización química y orgánica, en chile habanero (Capsicum chinense Jacq.) reportaron que las plantas con el máximo diámetro de tallo se manifestaron desde los 59 y hasta los 199 ddt en plantas con manejo orgánico y con lombricomposta (ORG-LOM) obteniendo un resultado de 19.31 mm. Así mismo, Egbe et al. (2023) evaluaron dos híbridos de chile habanero, Safi y Big Sun, bajo cinco fuentes de fertilización, tres tratamientos convencionales, (20N-10P-10K) a 250, 350 y 450 kg ha-1 y dos tratamientos orgánicos, estiércol de aves de corral en dosis de 20 y 30 Mg ha-1, obteniendo que la fertilización orgánica en ambas dosis aumentó significativamente el diámetro de tallo de las plantas, en comparación con las plantas sin fertilizar y las plantas tratadas con dosis de fertilización convencional. Una investigación similar realizada por Raghunauth et al. (2023) donde evaluaron cuatro tratamientos: testigo absoluto, vermicomposta más 350 kg ha-1 de N-P-K, vermicomposta más 10 t ha-1 de gallinaza y gallinaza más 350 kg ha-1 de N-P-K, determinó que la fertilización química de 350 kg ha-1 de N-P-K más vermicomposta aumentó el diámetro del tallo de las plantas de chile en comparación a la fertilización orgánica a base de vermicomposta más 10 t ha-1 de gallinaza.

Figura 1 Efecto de la fertilización en diámetro de tallo (A) y número promedio de flores por planta (B) en cultivo de tomate de cáscara (Physalis ixocarpa Brot.) bajo condiciones de temporal en Loma Bonita, Oaxaca. ** (P ≤ 0.01), * (P ≤ 0.05).
Respecto a la variable número promedio de flores por planta (Figura 1), los resultados indican que a los 30 y 45 ddt, el tratamiento T3 (química-orgánica) fue estadísticamente superior al resto de los tratamientos obteniendo un número promedio de 39 y 71 flores, respectivamente. Sin embargo, a los 60 y 75 ddt los tratamientos T2 (orgánica) y T3 (química-orgánica) no presentaron diferencias significativas con un número promedio de flores similar (P = 0.05 y 0.05), pero sí presentó diferencias significativas con el resto de los tratamientos. Aunado a lo anterior, Cruz-Koizumi et al. (2017) quienes evaluaron el efecto de la fertilización orgánica y química en tomate de cáscara, determinaron que las aplicaciones con fertilizantes orgánicos sobre las plantas de tomate verde tienen efecto positivo, al aumentar hasta un 33.18% el índice de floración, en comparación con la aplicación de fertilización convencional, aumento el 15.19% sobre el tratamiento testigo absoluto. Por otra parte, Gond et al. (2018) reportan que la floración y fructificación de Physalis peruviana L. bajo la influencia de diversos abonos orgánicos, aumentan la floración del cultivo, en comparación con las plantas que no fueron tratadas con ningún tipo de fertilizante.
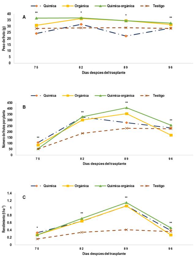
Peso de fruto, número de frutos por planta y rendimiento
Los resultados de peso de fruto (g), número de frutos por planta y rendimiento (t ha-1) se muestran en Figura 2. Los resultados indican que para los cortes 1 y 4 (75 y 96 ddt) las plantas con el tratamiento 3 (química-orgánica) mostraron los mejores resultados de esta variable con 36.63 y 32.62 g respectivamente, siendo estadísticamente superiores al resto de los tratamientos. Para los cortes 2 y 3 (82 y 89 ddt) los mejores resultados se obtuvieron con la fertilización orgánica y fertilización química-orgánica, sin diferencias significativas entre sí, pero si fueron estadísticamente superior al resto de los tratamientos. Lo cual concuerda con lo reportado por Gond et al. (2018) quienes reportan que las aplicaciones de lombricomposta incrementan el peso de los frutos de Physalis peruviana L. en comparación al tratamiento testigo absoluto, incrementando 5 g el peso de los frutos entre un tratamiento y otro. Por otro lado, el efecto provocado por la combinación de fertilizantes orgánicos incrementa hasta un 4.09% el peso de los frutos en comparación a la fertilización química en el cultivo de Capsicum annuum L. (Abreu-Cruz et al. 2018). A los 75 ddt el efecto de la aplicación de fertilización química, obtuvo el mayor número de frutos por planta con 108 siendo estadísticamente superior al resto de los tratamientos (P = 0.01). A los 82 ddt, los tratamientos T1 (química) y T3 (química-orgánica) no presentaron diferencias significativas entre sí, sin embargo, si hubo diferencia significativa con el resto de los tratamientos T2 (orgánica) y T4 (testigo). En los muestreos a los 89 y 96 ddt el mayor número de frutos se obtuvo en plantas fertilizadas con el tratamiento T3 (química-orgánica) con 409 y 258 frutos respectivamente, presentando diferencias altamente significativas con el resto de los tratamientos (P ≤ 0.01). Resultados que coinciden con Hasnain et al. (2020) quienes reportan que el efecto de la combinación de los fertilizantes químicos y orgánicos muestra un aumento significativo en la cantidad de los frutos cosechados por planta, en comparación al tratamiento químico al 100% y al tratamiento testigo absoluto en el cultivo de tomate rojo (Solanum lycopersicum L.). Mientras que Gond et al. (2018) mencionan que la aplicación de lombricomposta sobre el cultivo de (P. peruviana L.) incrementa el número de frutos por planta hasta en un 48.43% sobre el tratamiento testigo absoluto. Estos coinciden con los obtenidos en nuestra investigación donde los mejores resultados se obtuvieron con la fertilización combinada química-orgánica, y en donde el tratamiento orgánico superó al tratamiento testigo absoluto en un 44.61%. Para el rendimiento a los 75 ddt hubo diferencias estadísticas entre los tratamientos T1 (química), T2 (orgánica) y T3 (química-orgánica), con el tratamiento Testigo. Resaltó el rendimiento con la aplicación de la fertilización química-orgánica T3 en los últimos tres cortes a los 82, 89 y 96 ddt presentando diferencias estadísticas significativas con el resto de los tratamientos (P = 0.01). Aunado a lo anterior, Aguiñaga-Bravo et al. (2020) mencionan que el efecto provocado de los fertilizantes químicos en combinación con enmiendas orgánicas en el cultivo de P. ixocarpa, incrementa el rendimiento hasta en un 55.5% en comparación con la fertilización química. En tanto que Ariati et al. (2017) comentan que las aplicaciones de fertilizantes orgánicos tienen una influencia positiva sobre el cultivo de tomate de cáscara al incrementar su producción sobre el tratamiento químico y testigo absoluto. Algo similar ocurre con lo reportado por Cun et al. (2008) quienes indican que las aplicaciones con fertilizantes orgánicos en combinación con los fertilizantes químicos tienen un efecto positivo del 59.14% sobre el rendimiento del cultivo de tomate (Lycopersicum esculentum Mill.) en comparación al tratamiento orgánico y testigo absoluto.
Potencial de hidrógeno (pH) y Sólidos Solubles Totales (SST)
La determinación de pH y SST (Tabla 1), solo se realizó en los últimos tres cortes a los 82, 89 y 96 ddt, para el pH el tratamiento T3 (química-orgánica) influyó de forma positiva dando como resultado que a los 82 y 96 ddt, se tuvieron valores de 5.0 y 4.40, respectivamente, siendo estadísticamente superior al resto de los tratamientos (P = 0.05), sin embargo, para la segunda cosecha (89 ddt) los frutos con el pH más alto se obtuvieron en frutos tratados con la fertilización química con 4.87 siendo este resultado superior al resto de los tratamientos (P = 0.0047). Para el caso de pH, Hasnain et al. (2020) mencionan que las aplicaciones combinadas de fertilizantes químicos y orgánicos al 30-70%, 50-50%, 70-30% así como la incorporación de fertilizantes convencionales al 100% no muestran efecto alguno sobre el pH presente en los frutos de tomate (Solanum lycopersicum L.). Por otra parte, el estudio de Kai et al. (2020) en donde evaluaron el efecto que provoca la aplicación de fertilizantes químicos y orgánicos, sobre el cultivo de tomate cherry, obtuvieron que la aplicación de fertilizantes orgánicos eleva el contenido del pH en los frutos de forma significativa. Este resultado podría explicar por qué el contenido de pH se incrementa en el tratamiento T3 (químico-lombricomposta) en el primer y tercer corte del cultivo. La aplicación de los diferentes tratamientos no tuvo efecto en el contenido de sólidos solubles totales presentes en los frutos (P ≤ 0.05). Existen estudios sobre del contenido de solidos solubles totales, tal es el caso de Hasnain et al. (2020) quienes indican que la fertilización química, orgánica y la combinación de estas no generan alteración alguna sobre la cantidad de los sólidos solubles totales en los frutos de (Solanum lycopersicum L.), estos resultados son similares a los obtenidos en esta investigación. Por otro lado, en la investigación realizada por Gond et al. (2018) determinaron que el efecto influenciado por la aplicación de lombricomposta incrementa los sólidos solubles totales de los frutos de P. peruviana L. en un 12.23% en comparación al tratamiento testigo absoluto. Los valores de pH y sólidos solubles de este estudio son similares a los reportados por González-Pérez y Guerrero-Beltrán (2021), quienes reportan que son frutos pocos dulces y muy ácidos lo que los hace idóneos para algunas recetas de la comida mexicana y guatemalteca.
Tabla 1 Efecto de las fertilizaciones sobre pH y SST en fruto de tomate de cáscara (Physalis ixocarpa Brot.) bajo condiciones de temporal en Loma Bonita, Oaxaca.
| Tratamientos | pH | SST |
|---|---|---|
| 2da. cosecha (82 ddt)*** | ||
| T1 = Química | 4.0b | 5.67a |
| T2 = Orgánica | 4.0b | 5.75a |
| T3 = Química-orgánica | 5.0a | 5.38a |
| T4 = Testigo | 4.18b | 5.30a |
| 3era. cosecha (89 ddt)** | ||
| T1 = Química | 4.87a | 5.54a |
| T2 = Orgánica | 4.31ab | 5.54a |
| T3 = Química-orgánica | 4.06b | 5.14a |
| T4 = Testigo | 3.97b | 5.08a |
| 4ta. cosecha (96 ddt)*** | ||
| T1 = Química | 4.18ab | 5.23a |
| T2 = Orgánica | 4.31ab | 5.06a |
| T3 = Química-orgánica | 4.40a | 4.97a |
| T4 = Testigo | 4.0b | 4.70a |
pH = Potencial de hidrógeno, SST = Sólidos Solubles Totales. Tratamiento con diferente letra es significativamente distinta (Tukey, P ≤ 0.05).
Los resultados obtenidos indican que el uso de fertilización química-orgánica (120N-80P-120K + 3.479 kg m2 de lombricomposta) es una alternativa para incrementar la calidad fisicoquímica de fruto y el rendimiento del cultivo de tomate de cáscara (Physalis ixocarpa Brot.) además, de influir de forma positiva en el número promedio de flores y diámetro de tallo durante el desarrollo del cultivo. El uso de fertilización orgánica tuvo resultados similares a los obtenidos por la fertilización química-orgánica en número de frutos por planta y rendimiento. Pero el pH fue influenciado por la fertilización química-orgánica de forma positiva. No obstante, ningún tipo de la fertilización empleada en esta investigación mostró efectos positivos sobre la concentración de los sólidos solubles totales.















