Introducción
A nivel mundial, son dos las tecnologías que se emplean para aplicaciones de refrigeración y acondicionamiento de aire residencial e industrial. La primera opción se basa en la tecnología de compresión de vapor, en la cual se emplea energía eléctrica proveniente de combustibles fósiles para su funcionamiento, así como en el uso de fluidos refrigerantes que contribuyen en gran medida al calentamiento global del planeta. Por otra parte, estos sistemas son los causantes de consumir alrededor del 30% de la energía eléctrica a nivel mundial (Belman-Flores et al., 2015). La segunda opción son los sistemas de refrigeración por absorción, los cuales se caracterizan por operar por medio de calor, como puede ser el caso de la energía solar, calor de desecho de procesos industriales, energía geotérmica, así como energía de baja entalpía. Además, este tipo de sistema emplea mezclas refrigerantes con nulo o muy bajo potencial de calentamiento global (GWP), las cuales están acorde a las regulaciones ambientales establecidas por el parlamento Europeo No. 517/2014 (Durieux et al., 2019), por lo que podría considerarse como una tecnología de refrigeración sostenible empleada para frenar las emisiones de gases de efecto invernadero (Braccio et al., 2022).
Son dos las mezclas refrigerantes empleadas en los equipos comerciales de refrigeración por absorción: 1) LiBr-H2O, cuya temperatura de evaporación está limitada a 5 °C, por lo que es adecuada para acondicionamiento de aire, y 2) NH3 -H2O, la cual puede alcanzar temperaturas de evaporación de hasta -30 °C, lo que la hace favorable para aplicaciones de refrigeración y acondicionamiento de aire (Pacheco-Cedeño et al., 2023). Sin embargo, el reto de los sistemas de refrigeración por absorción es incrementar su rendimiento energético y que estos sistemas puedan ser competitivos a los equipos de refrigeración por compresión de vapor. Por tal motivo, nuevas configuraciones, así como nuevas propuestas de mezclas refrigerantes, han sido investigadas con el objetivo de mitigar esta situación.
Por ejemplo, Zhang et al. (2023) evaluaron de manera experimental el coeficiente de desempeño en un ciclo híbrido de refrigeración por absorción-compresión, empleando R134a- dimetil éter trietilenglicol (R14a-DMETEG) como mezcla refrigerante. La nueva configuración permite aumentar el rendimiento energético del ciclo en un 91.04% cuando es comparada con el ciclo convencional de refrigeración por absorción.
Ferwati et al. (2021) estudiaron el rendimiento energético y exergético en un sistema de refrigeración por absorción para aplicaciones de enfriamiento solar usando la mezcla dimetilimidazolio dimetil fosfato-H2O ([mmim][DMP]-H2O). Bajo una carga de enfriamiento constante de 1kW y temperaturas en el generador, evaporador, absorbedor y condensador de 140 °C, 5 °C, 30 °C y 30 °C, respectivamente, el rendimiento energético (COP) y la eficiencia exergética del [mmim][DMP]-H2O resultaron ser 5.22% y 4.95% superiores a las obtenidas por el LiBr-H2O.
Razmi et al. (2018) estudiaron el efecto de la inclusión de un compresor entre el generador y condensador en un ciclo de refrigeración por absorción desde el punto de vista de la primera y segunda ley de la termodinámica. Los autores concluyeron que el máximo rendimiento energético (COP = 4.4) y las menores irreversibilidades se obtienen cuando el ciclo opera a una temperatura en el generador de 60 °C.
Wang et al. (2016) estudiaron el efecto de diferentes condiciones de operación sobre el rendimiento energético de un ciclo híbrido por absorción usando NH3 -H2O como mezcla de trabajo. Dicha configuración tiene como finalidad recuperar el calor del condensador y suministrarlo al generador, reduciendo la carga térmica del sistema. La nueva propuesta resultó en una mejora del 97.1% y una reducción del 70% al 80% sobre el rendimiento energético y el calor suministrado al generador, en comparación con el ciclo convencional de refrigeración por absorción. Adicionalmente, Pacheco-Cedeño et al. (2023) demostraron que la configuración propuesta por Wang et al. (2016) presenta 0.4% mayor rendimiento exergético que el ARS cuando opera a una presión en el generador de 5.94 bar.
Continuando con la búsqueda de mejoras energéticas, Liu et al. (2019) compararon la posición del compresor en un ciclo de refrigeración por absorción (ciclo híbrido) usando tres líquidos iónicos: R134a/1-hexil-3- trifluorometanosulfonato de metilmidazolio (R1234yf/[HMIM][TfO]), R1234yf/1-hexil-3- hexafluorofosfato de metilmidazolio (R1234yf/[HMIM][Pf6]) y R1234yf/1-hexil-3- tetrafluoroborato de metilmidazolio (R1234yf/[HMIM][Bf4]), en el cual reducen la energía del generador al calentar la solución fuerte proveniente del absorbedor y, con ello, mejoran su rendimiento energético. Los resultados obtenidos fueron comparados con el ciclo convencional de refrigeración por absorción, concluyendo que la carga térmica en el condensador puede ser reducida considerablemente y que la mezcla R1234yf/[HMIM][TfO] resulta más favorable cuando se emplea la configuración con el compresor entre el evaporador y absorbedor.
El uso de nuevas mezclas refrigerantes también ha sido investigado recientemente en ciclos de refrigeración por absorción. Tal es el caso de Bao et al. (2024), quienes estudiaron a través del software Aspen Plus el comportamiento energético de un ciclo de refrigeración por absorción empleando metanol/betaina-urea como mezcla de trabajo. Dicha mezcla resultó con 4.9% mayor rendimiento energético que el LiBr-H2O y fue 30% superior en comparación con el NH3 -H2O. Guo et al. (2024) usaron 1-etil-3 metil bromuro de imidazolio ([Emim]Br) como absorbente y agua como refrigerante en un sistema de refrigeración por absorción de simple efecto. La influencia de varias condiciones de operación sobre el rendimiento energético de dicha mezcla fue comparada con aquellos valores obtenidos por el LiBr-H2O y NH3 -H2O. Derivado de su estudio, los autores encontraron que la mezcla [Emim]Br-H2O presenta una ligera reducción en el rendimiento energético en comparación con el LiBr-H2O, aunque ésta resultó ser mejor que el NH3 -Agua.
Xu et al. (2023) estudiaron el rendimiento energético en un equipo experimental de refrigeración por absorción usando la mezcla ternaria NH3 -H2O-LiBr. Los autores determinaron que el COP de la mezcla propuesta resultó ser mejor que la del NH3 -H2O en casi 7.6%, mientras que la temperatura de activación se pudo reducir hasta 25 °C, cuando se compararon bajo el mismo COP. Kallitsis et al. (2023) estudiaron el efecto de líquidos iónicos a base de imidasolio como remplazo al tradicional absorbente LiBr en tres ciclos de refrigeración por absorción (simple efecto, doble efecto con flujo en serie y doble efecto con flujo en paralelo). Sus resultados revelaron que el uso de líquidos iónicos permite incrementar el rendimiento energético en un 5.12%; sin embargo, el tamaño de la instalación puede ser mayor que la del LiBr-H2O, debido a una mayor razón de circulación. Li et al. (2019a) evaluaron la mezcla cloruro de calcio-nitrato de litio-nitrato de potasio-H2O (CaCl2 -LiNO3 -KNO3 -H2O) desde el punto de vista energético y exergético en un ciclo de refrigeración por absorción. Los autores concluyeron que el COP y la eficiencia exergética del CaCl2 -LiNO3 -KNO3 -H2O es 0.04% y 0.06% mayor que la del LiBr-H2O. Li et al. (2018) propusieron cloruro de calcio-bromuro de litio-nitrato de litio-H2O (CaCl-LiBr-LiNO3 -H2O) como fluido de trabajo en un ciclo de refrigeración por absorción activado con colectores solares planos, y sus resultados fueron comparados con los de la mezcla LiBr-H2O. Con base en su simulación, los autores encontraron que, bajo las mismas condiciones de operación, la mezcla CaCl2 -LiBr-LiNO3 -H2O es aproximadamente 0.04% superior al LiBr-H2O.
De acuerdo con la literatura revisada, existe una gran variedad de trabajos que presentan diversas configuraciones de ciclos de refrigeración por absorción y que comparan diferentes mezclas de trabajo con el objetivo de mejorar su rendimiento energético. Por tal motivo, el presente trabajo tiene como finalidad evaluar el comportamiento energético y exergético en una configuración de refrigeración por absorción alternativa (HR-ARS), en el que parte del calor del condensador es recuperado y suministrado al generador (HR-ARS), con el objetivo de reducir su carga térmica y la temperatura de activación, así como mejorar sus prestaciones energéticas. Dicho sistema es similar a las configuraciones propuestas por Liu et al. (2019). La diferencia radica en que el efecto del compresor no ha sido investigado y dos mezclas sustitutas al LiBr-H2O han sido propuestas y comparadas en dicha configuración.
Para tal efecto, CaCl2 -LiBr-LiNO3 -H2O y CaCl2 -LiNO3 -KNO3 -H2O fueron consideradas como mezclas sustitutas al LiBr-H2O para mitigar los problemas de cristalización que presenta la mezcla tradicional LiBr-H2O, lo cual puede ocasionar que la solución se solidifique, obstruyendo la tubería de la instalación y que el sistema falle. Además, el efecto de la temperatura de generación, condensación y evaporación, así como la efectividad en el SHX sobre el rendimiento energético y exergético, fueron estudiadas y comparadas para las tres mezclas de trabajo empleando el software Engineering Equation Solver (EES).
Materiales y métodos
Descripción y modelado del ciclo HR-ARS
Para evaluar el rendimiento energético y exergético, una configuración alternativa al sistema convencional de refrigeración por absorción ha sido propuesta. En la Figura 1a se muestra el diagrama esquemático del ciclo convencional de refrigeración por absorción, mientras que en la Figura 1b se ilustra la configuración alternativa. Ambos sistemas consisten en un generador (GE), un absorbedor (AB), un condensador (CO), un evaporador (E), un intercambiador de calor de solución de tres canales (SHX), una bomba de solución (SP), una válvula de solución (SEV) y una válvula de refrigerante (REV).
Para su operación, la solución rica en refrigerante (1) es enviada al generador por medio de la bomba de solución, elevando su presión hasta que ésta ingresa al intercambiador de calor de solución de tres canales (2), donde absorbe energía de la solución pobre en refrigerante (4), incrementando su temperatura a su ingreso a dicho componente (3), mientras la corriente (5) reduce su temperatura a su ingreso por la válvula de solución. Posteriormente, una cantidad de calor es suministrada al generador, vaporizando la mezcla y produciendo vapor de refrigerante que se envía al condensador (7). En el condensador, el refrigerante es enfriado hasta que éste alcanza la condición de líquido saturado (8). Producto del proceso de estrangulamiento en la válvula de refrigerante, la presión y temperatura del refrigerante se reducen, ingresando al evaporador como mezcla bifásica (9), donde absorbe calor del espacio a enfriar, lo que provoca un incremento en su temperatura hasta su salida como vapor saturado (10). Finalmente, el refrigerante ingresa al absorbedor y se mezcla con la solución pobre proveniente de la válvula de solución (6) y, con esto, se repite el ciclo.
La diferencia entre el ciclo ARS y el HR-ARS radica en que el refrigerante producido en el generador (7), así como la solución rica en refrigerante (4), transfieren energía a la corriente que proviene de la bomba de solución (2) por medio del intercambiador de calor de solución de tres canales, incrementándose su temperatura hasta su ingreso al generador (3), mientras la temperatura en los puntos 5 y 7a es reducida, lo cual ocasiona una disminución en la carga térmica del condensador y generador, así como un aumento en el rendimiento energético del sistema.
Las principales ecuaciones que describen cada uno de los componentes que conforman el ciclo HR-ARS son derivadas de los balances de masa, conservación de especies y balances de energía. En la Tabla 1 se resumen las principales ecuaciones desarrolladas para el modelado del ciclo.
Tabla 1 Balances de masa, especies y energía.
| Componente | Balances | |
| Masa/Especies | Energía | |
| GE |
|
|
| AB |
|
|
| E |
|
|
| CO |
|
|
| SHX |
|
|
| SP |
|
|
| SEV |
|
|
| REV |
|
|
Fuente: Elaboración propia.
Con base en la Tabla 1,
Uno de los parámetros empleados para evaluar la eficiencia en los sistemas de refrigeración por absorción es el coeficiente de desempeño (COP), el cual es definido como la cantidad de frío producido (
mientras que el coeficiente de desempeño exergético (ECOP) puede ser obtenido por medio de la ecuación 2, propuesta por Li et al. (2019b):
donde
En los equipos de refrigeración por absorción, una manera de incrementar su rendimiento energético es por medio de la inclusión de un intercambiador de calor de solución entre el absorbedor y generador. Para la simulación y análisis de este componente, es necesario emplear el valor de su eficiencia (
donde T 2 y T 4 representan las temperaturas de entrada al intercambiador de calor de solución, mientras que T 5 es la temperatura a la salida de dicho componente en °C.
Para el análisis y simulación del ciclo HR-ARS, las siguientes consideraciones han sido aplicadas al modelo desarrollado:
El sistema opera bajo condiciones de estado estacionario.
Los efectos de la energía potencial y cinética son despreciables debido a que son mucho menores que la energía del fluido.
La caída de presión en los componentes del sistema es despreciable, excepto en las válvulas de expansión.
La temperatura a la salida del generador, absorbedor, condensador y evaporador se encuentra en condición de saturación.
La entalpía a la entrada y salida en las válvulas de expansión son iguales.
El refrigerante y la concentración a la salida del generador e intercambiador de solución se encuentran a la misma temperatura (T 4 =T 7 y T 5 = T 7a ).
Validación
Uno de los trabajos encontrados en la literatura sobre el estudio termodinámico de un ciclo de refrigeración por absorción de simple efecto empleando LiBr-H2O como mezcla refrigerante es el presentado por Arora & Kaushik (2009). En su estudio, los autores analizan el comportamiento energético y exergético del ciclo, considerando una T GE = 87.8 °C, T CO = T AB = 37.8 °C y T E = 7.2 °C. Además, para la simulación se estableció que el intercambiador de calor de solución opera con una efectividad del 70% y que el flujo másico de refrigerante es de 1 kg/s. En la Tabla 2 se ilustra la diferencia entre ambos modelos, cuyo máximo error relativo fue de 0.74%, lo cual corrobora la verificación del modelo.
Tabla 2 Validación del modelo propuesto.
| Investigación | Componente/kW | COP | ηex (%) | ||||
| GE | CO | EV | AB | SHX | |||
| Presente estudio | 3095.6 | 2505.9 | 2355.4 | 2945.2 | 518.71 | 0.761 | 11.76 |
| Arora & Kaushik (2009) | 3093.1 | 2505.9 | 2355.4 | 2942.6 | 522.58 | 0.760 | 11.75 |
| Error relativo (%) | 0.080 | 0.000 | 0.000 | 0.088 | 0.740 | 0.131 | 0.085 |
Nota. Resultados comparados de Arora & Kaushik (2009).
Fuente. Elaboración propia.
Para dar certidumbre en cuanto a que la simulación predice correctamente el comportamiento energético de un sistema de refrigeración por absorción de simple efecto, éste fue comparado con datos experimentales reportados por Marashli et al. (2022) bajo las siguientes condiciones de operación: T
GE
= 90 °C, T
CO
= 44.3 °C, T
AB
= 34.9 °C, T
E
= 6 °C,
Tabla 3 Comparación del modelo desarrollado con datos experimentales reportados por Marashli et al. (2022).
| Parámetro | Marashli et al. (2022) | Presente estudio | Error relativo (%) |
| Carga del generador, kW | 14.20 | 14.23 | 0.21 |
| Carga del condensador, kW | 10.78 | 10.63 | 1.39 |
| Carga del absorbedor, kW | 13.51 | 13.60 | 0.66 |
| COP | 0.704 | 0.702 | 0.28 |
Nota. Resultados comparados con aquellos reportados por Marashli et al. (2022).
Fuente: Elaboración propia.
La simulación energética y exergética del ciclo HR-ARS y ARS fue realizada mediante el uso del software Engineering Equation Solver (EES), el cual contiene rutinas que permiten determinar las propiedades termodinámicas de la mezcla LiBr-H2O y calcular la concentración en los componentes del sistema. Por otra parte, las propiedades termodinámicas y sus respectivas concentraciones de las mezclas alternativas CaCl2 -LiBr-LiNO3 -H2O y CaCl2 -LiNO3 -KNO3 -H2O fueron obtenidas a partir de correlaciones propuestas por Li et al. (2018) y Li et al. (2019a), respectivamente.
Resultados y discusión
En esta sección se presenta el estudio energético y exergético de una configuración alternativa de un ciclo de refrigeración por absorción, en la que parte del calor del proceso de condensación es recuperado y suministrado al generador. El primer apartado muestra la comparativa del calor requerido por el generador y el liberado por el condensador entre la configuración alternativa (HR-ARS) y la configuración básica (ARS). En el segundo y en el tercer apartado se ilustran los resultados obtenidos del rendimiento energético y exergético bajo diferentes condiciones de operación para la configuración alternativa HR-ARS.
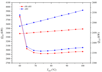
Evaluación de
Para evaluar la cantidad de calor que puede ser reducida con el uso de dicha configuración, en la Figura 2 se muestra la influencia de la temperatura de generación (T
GE
) sobre la carga térmica del generador (
La mínima temperatura de generación para comenzar el proceso de producción de frío en ambos sistemas es de aproximadamente 74 °C. A dicha temperatura, el calor requerido por la configuración convencional de refrigeración por absorción es de 2975 kW, mientras que para la configuración alternativa HR-ARS es de 2918 kW, lo que representa una reducción del 1.91%. Sin embargo, cuando se incrementa la temperatura de generación hasta 100 °C, la cantidad de calor requerido en el generador para el ARS es de 3057 kW y de 2964 kW para el HR-ARS, lo que indica que el sistema alternativo HR-ARS requiere 3.04% menor cantidad de energía que la del sistema convencional ARS. Lo anterior se debe a una reducción en la razón de circulación de la solución con el incremento de la temperatura de generación, por ende, se necesita una menor cantidad de calor en el sistema.
Comparativamente, la cantidad de energía liberada por el condensador en el HR-ARS es menor respecto al ARS para todo el rango de temperaturas de generación, los cuales también han sido reportados por Liu et al. (2019). Por ejemplo, a una temperatura de generación de 60 °C, el ciclo alternativo HR-ARS requiere liberar 1.63% menor cantidad de energía en comparación con el ARS, mientras que a una T GE = 100 °C ésta resulta ser hasta 3.76% menor en comparación con el ARS, lo que se traduce en una mejora energética en el sistema, una reducción en el tamaño de estos componentes y un menor costo de producción. Lo anterior se debe a una reducción en la entalpía de entrada al condensador en la configuración HR-ARS (h 7a ), en comparación con la entalpía del sistema ARS (h 7 ), con ello, menor cantidad de energía será rechazada en este componente.
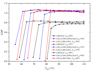
Evaluación del coeficiente de desempeño
El coeficiente de desempeño es un parámetro empleado para medir el grado de eficiencia con el que cuenta un sistema de refrigeración. Para tal caso, en la Figura 3 se muestra la influencia de la temperatura de activación sobre el coeficiente de desempeño del sistema alternativo HR-ARS a tres temperaturas de condensación (30 °C, 35 °C y 40 °C). Para la simulación, tanto la temperatura de evaporación como la efectividad en el intercambiador de calor de solución se mantuvieron constantes, cuyos valores son de 5 °C y 0.8, respectivamente. Además, se consideró que el absorbedor y el condensador operan a la misma temperatura.

Fuente: Elaboración propia.
Figura 3 Efecto de T GE sobre el COP a diferentes temperaturas de condensación.
Como el sistema de refrigeración por absorción de simple efecto opera al mismo nivel de presión en el generador y condensador, las presiones correspondientes a las tres temperaturas de condensación son de 4.246 kPa, 5.627 kPa y 7.381 kPa, respectivamente. Por otra parte, el evaporador y absorbedor operan a una baja presión, la cual corresponde a 0.872 kPa. Los resultados revelan que el coeficiente de desempeño para ambos sistemas se incrementa hasta alcanzar un máximo valor y, posteriormente, se reduce ligeramente, y dicho comportamiento es similar para las tres mezclas de trabajo bajo estudio. También se observa una disminución de hasta 22 °C en la temperatura de activación cuando la temperatura de condensación se reduce de 40 °C a 30 °C, siendo la mezcla CaCl2 -LiNO3 -KNO3 -H2O la que presenta la más baja temperatura de activación (T GE = 55.06°C). Ghatos et al. (2021) también ha encontrado similares comportamientos en un ciclo básico de refrigeración por absorción operando con LiBr-H2O.
Por otra parte, se puede observar que los coeficientes de desempeño para las mezclas CaCl2 -LiBr-LiNO3 -H2O y CaCl2 -LiNO3 -KNO3 -H2O no presentan variaciones significativas con la reducción de la temperatura de condensación, obteniéndose valores similares de COP de alrededor de 1.05 para casi todo el rango de temperaturas de generación, mientras que para el LiBr-H2O las variaciones del COP van del orden de 0.776 a 0.835, lo que representa que las mezclas alternativas presenten mejoras energéticas de entre 25.74% a 35.30%. La razón de esta diferencia se debe a que las mezclas alternativas presentan una mayor entalpía de la solución rica en refrigerante a la entrada del generador (h 3 ), provocando una reducción en el calor del generador y que el COP sea mayor que el obtenido por el LiBr-H2O a las mismas condiciones de operación.
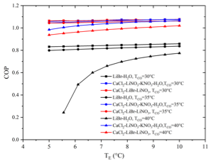
Las variaciones de la temperatura de evaporación sobre el rendimiento energético a diferentes temperaturas de condensación se ilustran en la Figura 4. El incremento de la temperatura de evaporación provoca un ligero aumento en el coeficiente de desempeño para las tres mezclas de trabajo y esto es más notorio a altas temperaturas de condensación, lo cual también ha sido demostrado por Gutiérrez-Urueta et al. (2014). Los resultados también muestran que el coeficiente de desempeño para el LiBr-H2O es mucho menor que los obtenidos para las mezclas alternativas CaCl2 -LiBr-LiNO3 -H2O y CaCl2 -LiNO3 -KNO3 -H2O para todo el rango de temperaturas de evaporación, así como para las tres temperaturas de condensación. También se muestra que, a medida que se incrementa la temperatura de condensación, menor es el coeficiente de desempeño para cada una de las mezclas de trabajo.

Fuente: Elaboración propia.
Figura 4 Efecto de T E sobre el COP a diferentes temperaturas de condensación.
Para una temperatura de condensación de 30 °C y 35 °C, el coeficiente de desempeño que se alcanza con las mezclas CaCl2 -LiBr-LiNO3 -H2O y CaCl2 -LiNO3 -KNO3 -H2O es de aproximadamente 1.07, mientras que con la mezcla LiBr-H2O dichos coeficientes de desempeño son de 0.858 y 0.836, respectivamente. Esto quiere decir que el coeficiente de desempeño de las mezclas CaCl2 -LiBr-LiNO3 -H2O y CaCl2 -LiNO3 -KNO3 -H2O son superiores en un 24.70% y 27.99% a aquellos obtenidos con el LiBr-H2O. También se puede observar que, a una temperatura de condensación de 40 °C, las mezclas alternativas pueden operar sin dificultad para todo el rango de temperaturas de evaporación aquí estudiadas, mientras que el LiBr-H2O está limitado a trabajar a temperaturas de evaporación superiores a los 5.5 °C. Lo anterior se debe a las buenas propiedades termodinámicas que presentan las mezclas CaCl2 -LiBr-LiNO3 -H2O y CaCl2 -LiNO3 -KNO3 -H2O.
Por otra parte, cuando el sistema opera a una temperatura de evaporación de 6 °C, el coeficiente de desempeño para la mezcla CaCl2 -LiNO3 -KNO3 -H2O es de 1.02, mientras que para el CaCl2 -LiBr-LiNO3 -H2O y LiBr-H2O éste corresponde a valores de 0.964 y 0.431, respectivamente, lo cual implica que el COP de la mezcla CaCl2 -LiNO3 -KNO3 -H2O es superior que para las mezclas CaCl2 -LiBr-LiNO3 -H2O y LiBr-H2O en 5.80% y 136.65%, respectivamente. Sin embargo, a una temperatura de evaporación de 10 °C, el rendimiento energético para la mezcla CaCl2 -LiNO3 -KNO3 -H2O (COP = 1.066) es 4.50% y 34.72% superior que para las mezclas CaCl2 -LiBr-LiNO3 -H2O (COP = 1.02) y LiBr-H2O (COP = 0.774), respectivamente.
Las variaciones del COP respecto a la temperatura de condensación a tres temperaturas de evaporación son mostradas en la Figura 5. Derivado de la simulación, los resultados muestran una ligera reducción del COP con el aumento de la temperatura de condensación y éste resulta ser mayor con el aumento en la temperatura de evaporación. Sin embargo, este efecto es más notorio con la mezcla LiBr-H2O, presentándose mejores resultados con las mezclas alternativas. Ayou et al. (2023) también encontraron que el rendimiento energético para una máquina de absorción de LiBr-H2O con capacidad de enfriamiento de 50 kW se reduce con el incremento de la temperatura de condensación y con la reducción de la temperatura de evaporación. Lo anterior se debe al incremento en la razón de circulación del sistema, el cual es mayor con el aumento en la temperatura de condensación, incrementando la carga térmica en el generador y reduciendo el COP del sistema.

Fuente: Elaboración propia.
Figura 5 Efecto de T CO sobre el COP a diferentes temperaturas de condensación.
Para todo el rango de temperaturas de condensación, y a una temperatura de evaporación de 15 °C, el COP para la mezcla CaCl2 -LiNO3 -KNO3 -H2O se reduce en un 3.35%; sin embargo, las reducciones son mayores para las mezclas CaCl2 -LiBr-LiNO3 -H2O y LiBr-H2O, las cuales son del 3.64% y 7.39%, respectivamente. A las temperaturas de evaporación de 10 °C y 5 °C, las reducciones obtenidas con la mezcla CaCl2 -LiNO3 -KNO3 -H2O son de 4.57% y 2.44%, respectivamente. Para CaCl2 -LiBr-LiNO3 -H2O las reducciones son del 5.02% y 11.75%, mientras que para el LiBr-H2O el COP se disminuyó en un 11.67% y 17.82%, respectivamente.
Los resultados también revelan un mejor desempeño energético para las mezclas alternativas CaCl2 -LiNO3 -KNO3 -H2O y CaCl2 -LiBr-LiNO3 -H2O en comparación con el LiBr-H2O para todo el rango de temperaturas de condensación y evaporación. Sin embargo, para temperaturas de condensación superiores a 35 °C, es recomendable emplear la mezcla CaCl2 -LiNO3 -KNO3 -H2O porque presenta un mejor desempeño energético que las otras dos mezclas de trabajo. A la temperatura de condensación de 25 °C y temperaturas de evaporación de 5 °C, 10 °C y 15 °C, el LiBr-H2O presenta entre 19.67% a 22.94% menor coeficiente de desempeño que la mezcla CaCl2 -LiNO3 -KNO3 -H2O y entre 21.85% a 22.45% menor COP cuando se compara con el CaCl2 -LiBr-LiNO3 -H2O. Por otra parte, a la temperatura de condensación de 38 °C, el LiBr-H2O presenta entre 26.78% a 28.08% menor rendimiento energético que la mezcla CaCl2 -LiNO3 -KNO3 -H2O, y entre 22.98% a 27.60% menor COP cuando se compara con el CaCl2 -LiBr-LiNO3 -H2O.
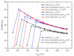
Evaluación del rendimiento exergético
El efecto de la temperatura de generación sobre la eficiencia exergética para el HR-ARS es mostrado en la Figura 6. La evaluación fue realizada a tres temperaturas de condensación (30 °C, 35 °C y 40 °C) y manteniendo como constante la temperatura de evaporación y la efectividad en el intercambiador de calor de solución en valores de 5 °C y 0.8 °C, respectivamente. Los resultados muestran comportamientos similares a los obtenidos al coeficiente de desempeño mostrados en la Figura 3. Los mejores rendimientos exergéticos son obtenidos con las mezclas alternativas, mientras que las menores eficiencias exergéticas se obtienen con la mezcla convencional. También se puede apreciar una reducción en la eficiencia exergética con el aumento de la temperatura de generación y condensación.

Fuente: Elaboración propia.
Figura 6 Efecto de T GE sobre el ECOP a diferentes temperaturas de condensación.
Por otra parte, se puede observar que los rendimientos exergéticos son similares para las tres temperaturas de condensación y para temperaturas de generación superiores a 80 °C, mientras que para el LiBr-H2O este comportamiento es obtenido a una temperatura en el generador de 95 °C. La mayor eficiencia exergética de 50.63% se obtiene con la mezcla CaCl2 -LiNO3 -KNO3 -H2O, seguida de la mezcla CaCl2 -LiBr-LiNO3 -H2O, con una eficiencia exergética del 49.05%, mientras que la eficiencia exergética más baja de 37.32% se obtiene con el LiBr-H2O.
Comparativamente entre mezclas refrigerantes, la eficiencia exergética del CaCl2 -LiNO3 -KNO3 -H2O es 1.58% y 13.31% superior a la del CaCl2 -LiBr-LiNO3 -H2O y el LiBr/H2O, respectivamente. Sin embargo, a la temperatura de generación de 110 °C, los rendimientos exergéticos de las tres mezclas de trabajo son muy similares para las tres temperaturas de condensación. Para la mencionada temperatura de generación, las mezclas alternativas siguen siendo superiores a las del LiBr-H2O, presentando mejoras exergéticas de alrededor del 18%. Lo anterior se debe a que el aumento de la temperatura de generación incrementa la carga térmica de dicho componente, mientras que la reducción de la temperatura de condensación provoca un incremento en la cantidad de refrigerante y capacidad frigorífica del sistema; por ende, se obtiene un mayor rendimiento exergético.
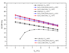
La Figura 7 muestra los resultados obtenidos de la eficiencia exergética con la variación de la temperatura de evaporación a las mismas temperaturas de condensación usadas en la Figura 6. El incremento de la temperatura de evaporación y condensación produce una reducción de la eficiencia exergética para las tres mezclas de trabajo, excepto a una temperatura de condensación de 40 °C, en la cual se observa que, cuando el LiBr-H2O es usado, éste se incrementa hasta alcanzar un máximo valor (19.15%) y posteriormente disminuye. Esto se debe a que el LiBr-H2O presenta un menor rango de temperaturas de operación en comparación con las mezclas alternativas, el cual ya ha sido explicado en la Figura 4.

Fuente: Elaboración propia.
Figura 7 Efecto de T E sobre el ECOP a diferentes temperaturas de condensación.
Los resultados ilustran que las mezclas alternativas presentan mejores rendimientos exergéticos que el LiBr-H2O para todo el rango de temperaturas de evaporación y condensación. Los mejores resultados se obtienen con las mezclas CaCl2 -LiNO3 -KNO3 -H2O y CaCl2 -LiBr-LiNO3 -H2O a la temperatura de evaporación de 5 °C, cuyos valores son de 36% y 36.21%, respectivamente. Por otro lado, a la más alta temperatura de evaporación (T E = 10 °C), el menor rendimiento exergético de 17.25% se obtienen con la mezcla LiBr-H2O, así como a una T CO = 40 °C. Además, los rendimientos exergéticos de las mezclas CaCl2 -LiNO3 -KNO3 -H2O y CaCl2 -LiBr-LiNO3 -H2O son similares a la temperatura de condensación de 30 °C y 35 °C, mientras que se obtiene una diferencia de 5.08% cuando el sistema opera a una temperatura de condensación de 40 °C. A la temperatura de evaporación de 5.5 °C, la eficiencia exergética que se obtiene con la mezcla LiBr-H2O es de 7.94%, la cual se mejora en 18.34% cuando se emplea una temperatura de condensación de 35 °C y 19.35% al reducir la temperatura de condensación del sistema a 30 °C. Sin embargo, a dicha temperatura de evaporación, la mezcla LiBr-H2O presenta entre 8% a 23% menor rendimiento exergético, en comparación con las mezclas alternativas.
En la Figura 8 se ilustra el comportamiento exergético en función de la temperatura de condensación a tres temperaturas de evaporación (T E = 5 °C, 10 °C y 15°C). Los resultados no reflejan variaciones significativas en la eficiencia exergética con el incremento de la temperatura de condensación y temperaturas de evaporación de 10 °C y 15 °C. Sin embargo, una pequeña diferencia entre ellas se comienza a notar a temperaturas de condensación superiores a los 35 °C y una temperatura de evaporación de 5 °C, dichas reducciones son del 11.42% para la mezcla CaCl2 -LiBr-LiNO3 -H2O y del 14.40% para el LiBr-H2O. Los mejores rendimientos exergéticos se obtienen a bajas temperaturas de evaporación (ECOP = 36.12%), los cuales corresponden a 5 °C. Los resultados también muestran una mayor diferencia exergética entre las mezclas con el incremento de la temperatura de condensación. Por ejemplo, a la temperatura de condensación de 25 °C, así como a una temperatura de evaporación de 5 °C, la eficiencia exergética de la mezcla CaCl2 -LiNO3 -KNO3 -H2O y CaCl2 -LiBr-LiNO3 -H2O es aproximadamente 25% inferior al obtenido con el LiBr-H2O. Sin embargo, cuando la temperatura de evaporación se incrementa a 10 °C y 15 °C, la diferencia entre dichas mezclas es de aproximadamente 24% y 22%, respectivamente.
Conclusiones
El objetivo del presente trabajo fue evaluar el comportamiento energético y exergético en una configuración de refrigeración por absorción alternativa (HR-ARS) empleando el software EES, en el que parte del calor del condensador es recuperado y suministrado al generador (HR-ARS), con el objetivo de reducir su carga térmica y la temperatura de activación, así como de mejorar sus prestaciones energéticas. Dicha propuesta es similar a las configuraciones analizadas por Liu et al. (2019) en un ciclo híbrido empleando R1234yf/líquidos iónicos. Sin embargo, en el trabajo realizado por Liu et al. (2019) no se presenta el análisis de la configuración sin compresor, ni se analizan y comparan las mezclas CaCl2 -LiNO3 -KNO3 -H2O y CaCl2 -LiBr-LiNO3 -H2O como sustitutas al LiBr-H2O. Derivado de la simulación, las siguientes conclusiones han sido obtenidas.
El uso de la configuración alternativa permite reducir la carga térmica en el condensador y generador, ayudando a mejorar el rendimiento energético y exergético en el sistema. Por otra parte, la temperatura en el generador juega un rol muy importante en el rendimiento energético y exergético del sistema; por lo tanto, para lograr los mayores rendimientos es recomendable operar el sistema a bajas temperaturas de condensación y altas temperaturas de evaporación. Por otra parte, el uso de las mezclas CaCl2 -LiNO3 -KNO3 -H2O y CaCl2 -LiBr-LiNO3 -H2O promueven el rendimiento energético del sistema, reducen la temperatura de activación y ayudan a mitigar el riesgo de cristalización que presenta la mezcla LiBr-H2O.
CaCl2 -LiNO3 -KNO3 -H2O mostró mayor potencial como mezcla alternativa en ciclos de refrigeración por absorción, debido a que una menor temperatura de activación y un mayor rendimiento energético es obtenido. Sin embargo, CaCl2 -LiNO3 -KNO3 -H2O y CaCl2 -LiBr-LiNO3 -H2O muestran potencial para ser usadas como mezclas refrigerantes en aplicaciones de refrigeración solar. Finalmente, se espera que los resultados obtenidos sean de gran apoyo para el análisis, diseño y construcción de nuevos sistemas de refrigeración por absorción.
Conflictos de interés
Los autores declaran que no hay conflicto de interés asociado con este trabajo.

















