Introducción
Una patente es un documento que otorga a una persona física o moral el “derecho exclusivo y temporal de explotación en su provecho por sí o por otros con su consentimiento” de una invención (LFPPI, 2020:10-11), bajo las consideraciones de que muestre novedad, inventiva, aplicación industrial, reivindicación y las características técnicas esenciales de su funcionamiento (LFPPI, 2020:12-13). Por lo tanto, se vuelven documentos para el estudio de las actividades de innovación (Aharonson y Schilling, 2016; Hall, Jaffe y Trajtenberg, 2005; Joo y Lee, 2010; Mansfield, 1986; Reyes, 2018).
En una de sus vertientes, se estudian atributos de los procesos de innovación, con base en el análisis de redes del conocimiento y/o colaboración (Dong y Yang, 2016; Guan y Liu, 2016; Pu et al., 2022), pues aportan información relevante para identificar estructuras sociales y tecnológicas en torno a la innovación.
La investigación sobre actividades de innovación basada en redes de patentes es profusa para investigar estructuras y flujos de conocimiento, articulación de actores y organizaciones, formación y desarrollo de capacidades, o como insumo de planeación de estrategias de innovación (Aaldering, Leker y Song, 2019; Dong y Yang, 2016; Guan y Liu, 2016; Kim et al., 2019; Ming-Chao; Pei-Chen y Shih-Chieh, 2018; Park et al., 2013; Pu et al., 2022).
Particularmente, las capacidades tecnológicas son el fundamento de una ventaja competitiva sustentable y habilitan a las empresas para absorber y utilizar conocimiento tecnológico externo o crear nuevo conocimiento por sí mismas (Ahn, Kim y Lee, 2022; Teece y Pisano, 1994; Xu y Tao, 2024). Ello incluye la capacidad de producir patentes que, adicionalmente, son un mecanismo de creación de barreras a la competencia, basadas en la explotación de conocimiento (Ahn, Kim; Leey Homm, 2022; Teece y Pisano, 1994; Teece, Pisano y Shuen, 1997); pero también son empleadas para aprovechar oportunidades tecnológicas (Cho y Cantwell, 2024; Wanzenböck et al., 2024; Wu, Ji y Gu, 2023; Xu et al., 2023; Xu y Tao, 2024). En conjunto, las patentes son un repositorio de conocimiento codificado, manifiesto en capacidades tecnológicas, por lo que son un medio para exponerlas.
Por su cuenta, las redes aportan un sistema de codificación y un lenguaje interdisciplinario, de carácter recursivo tanto para la misma ciencia de redes, como para los sistemas complejos que la aplican (Barabasi, 2016). En el ámbito de la innovación, los datos que alimentan redes exponen relaciones entre diversos componentes de los procesos de innovación. Particularmente para el presente trabajo se parte del hecho de que una patente (una invención) está sustentada en diferentes áreas de conocimiento tecnológico y, por lo tanto, por varios clasificadores de patentes (CIP); en consecuencia, éstas se relacionan entre sí, que es lo que muestran los grafos. De modo que, al organizar la información para el conjunto de las patentes de una misma organización (en este caso, el de una empresa mexicana de la industria automotriz), es posible identificar las áreas tecnológicas que sustentan su actividad de invención, basada en el conocimiento codificado derivado de actividades de innovación, y que configuran sus capacidades tecnológicas.
Literatura que recupera clasificadores de patentes como indicador de capacidades tecnológicas puede referirse a Aharonson y Schilling (2016), para evaluar la trayectoria tecnológica de la empresa y, en consecuencia, el proceso evolutivo de éstas; Wu et al. (2020) para quienes las patentes son resultado expreso de capacidades tecnológicas basadas en el gasto en investigación y desarrollo; Kim; Jung y Hwang (2019) para medir, mediante indicadores de redes, lo que denominan capacidad de convergencia tecnológica de empresas en su tránsito hacia la industria 4.0; Wu, Ji y Gu (2023) para estudiar el aprovechamiento de oportunidades tecnológicas por parte de la empresa gm, a lo largo de su cadena de suministro en su camino hacia la producción de vehículos de celda de combustible. De manera que el uso de clasificadores de patentes configura el estudio de procesos dinámicos y acumulativos de conocimiento que en la literatura se acopian en el terreno de las capacidades dinámicas (Teece y Pisano, 1994; Teece, Pisano y Shuen, 1997).
Ahora bien, de entre diferentes fuentes que comparan la actividad innovadora en el mundo, México no se distingue por su dinámica en ese ámbito. Por ejemplo, de acuerdo con el Global Innovation Index 2021 (WIPO, 2021), México se ubicó en el lugar 55, y para 2022 en el 58 (WIPO, 2022b), por debajo de países como Turquía, Tailandia, Rusia, o Serbia,1 y aun por debajo de países como Vietnam, India, o Ucrania.2 Por lo que escasean empresas u organizaciones notoriamente innovadoras en el país.
En el caso de la empresa objeto de estudio, Nemak se fundó como una joint venture entre Ford y Grupo Alfa (Ochoa, 2005; Salas-Porras, 2007). Se estableció para producir cabezas de motor para Ford en 1981 y para 1999 empezó la producción de monoblocks de aluminio. En 2000 inició un proceso de expansión internacional en América del Norte, Europa y Asia, consistente en la adquisición de empresas (y la consecuente ampliación de clientes) y la construcción de nuevas plantas, además del repertorio de tecnologías que obran en su patrimonio tecnológico, de acuerdo con información pública de la empresa identificada en la Bolsa Mexicana de Valores.3
Actualmente, la empresa opera en 15 países, entre los que se distribuyen 38 instalaciones y 24 mil empleados (Nemak, 2024). Cuenta, asimismo, con 10 centros de investigación y desarrollo distribuidos en América y Europa. El año 2021 reportó ingresos por 3,798 millones de dólares (Nemak, 2021), y para 2023 el monto ascendió a 4,993 (Nemak, 2023); ha destinado los últimos cuatro años 2 por ciento de sus ventas a actividades de investigación y desarrollo (Nemak, 2024, p. 53). Su portafolio de clientes está diversificado, abarca 37 empresas, en su mayoría automotrices (como Audi, Ford, Kia, GM, Nisan, Jeep, VW, Jaw, Ferrari, Stellantis, Mercedes Benz, Juaguar, Land Rover, etcétera), pero no sólo automotrices (Bosch, Samsung).
El de esta empresa es un caso inusitado en México. Por lo tanto, es relevante documentarlo, en nuestro caso, a través del estudio de las patentes para identificar las áreas de conocimiento tecnológico que contribuyen a desplegar su actividad innovadora. El ejercicio que planteamos es relativamente sencillo; sin embargo cubre un hueco en la literatura sobre innovación en México, particularmente en la industria automotriz, con base en patentes.
Una revisión de la plataforma Scielo nos muestra que, a partir de la búsqueda “industria automotriz México” o “industria autopartes México”, desde 2009 hasta el 30 de marzo de 2022 aparecen 57 publicaciones que, mayoritariamente (81 por ciento), se refieren a estudios sectoriales y/o regionales sobre la dinámica y evolución de la industria automotriz, aunque una proporción de las publicaciones hacen referencia a conceptos relacionados con innovación (19 por ciento). Esta noción general puede corroborarse a partir del mapa de co-ocurrencias trazado a partir del programa VOSviewer4 (Mapa 1). En él se revelan como temas relevantes el desarrollo regional, el crecimiento económico, modularización y automatización, y una vertiente de estudios sobre transferencia de conocimiento.

Fuente: Elaboración propia con base en la plataforma Scielo, utilizando el programa VOSviewer.
Mapa 1 Co-ocurrencia de palabras clave en publicaciones sobre industria automotriz.
Una depuración de publicaciones muestra que son 11 las publicaciones sobre innovación, conforme a la búsqueda acotada siguiente:
((INDUSTRIA AUTOMOTRIZ MEXICO) OR (INDUSTRIA DE AUTOPARTES MEXICO)) AND ((INNOVACION) OR (TRANSFERENCIA DE CONOCIMIENTO) OR (PATENTES) OR (MANAGMENT) OR (ECO-INNOVACION))
De acuerdo con lo encontrado en Scielo, se observa que es un tema reciente en la literatura, pues se remiten a partir del año 2018, salvo una de 2007. En cuanto a los temas que abordan, las publicaciones se refieren a diferentes dimensiones de la innovación, en la perspectiva de industria que se adapta a las condiciones de transformación de la industria global: transferencia de conocimiento para complemento y puesta a punto de los requerimientos de las cadenas de valor de la industria automotriz japonesa (Guzmán-Anaya, 2019 y 2022); construcción de capacidades sectoriales-regionales en el caso de Aguascalientes (Marquina y Álvarez, 2021; Serna, 2020). Se observa una investigación que estudia organización y cambio organizacional como vías hacia la innovación (Álvarez-Aros, 2018; Vargas-Salgado y Gómez-Bull, 2021; Zárate y Sánchez, 2021).
Por su cuenta, en la plataforma Scopus se identifican publicaciones sobre innovación en la industria automotriz: Valdez de la Rosa et al. (2021), se refieren a la relevancia de la calidad y la innovación en la competitividad de empresas autopartistas de Nuevo León; tres publicaciones más estudian a la eco-innovación en la industria de autopartes (Maldonado-Guzmán y Garza-Reyes, 2020; Maldonado-Guzmán et al., 2021; Maldonado-Guzmán y Pinzón-Castro, 2022) y una más la innovación verde, también en empresas autopartistas (García-Machado y Martínez-Ávila, 2019).
Dos publicaciones observan una perspectiva más crítica con respecto al alcance de la capacidad innovadora de la industria automotriz en México: Lampón; Cabanales y Delgado (2018) y Reyes (2018). Los primeros autores comparan a las empresas autopartistas del Bajío con respecto a las de una región española y llaman la atención sobre el bajo componente de valor agregado y complejidad de la proveeduría mexicana con respecto a la española, que se vuelven limitantes de la construcción de capacidades de innovación tecnológica más avanzadas.
Del trabajo de Reyes se pueden obtener conclusiones similares con respecto a las capacidades tecnológicas, aunque a partir del análisis de patentes para la empresa Delphi. En este caso, el autor indaga si la empresa ha generado spillovers tecnológicos hacia México, a partir de las nociones exploración y explotación de conocimiento, con base en la información que arrojan las patentes de la empresa, para determinar los flujos de conocimiento entre países y si este flujo ha implicado el uso de conocimiento generado en Delphi México. La respuesta breve es que no.
Nuestro trabajo es uno de los pocos que aborda el tema de construcción de capacidades tecnológicas a partir de la información de patentes a fin de identificar las áreas de conocimiento tecnológico en que se basa la actividad de patentamiento de la empresa. A diferencia de los casos de Lampón y Delgado, por una parte y de Reyes por la otra, nuestro estudio de caso radica en una empresa innovadora de la industria automotriz mexicana, con base en el desarrollo de actividad inventiva traducida en capacidades tecnológicas.
Como señalábamos previamente, las patentes son un activo tecnológico, recurso tanto de protección, como de codificación del conocimiento que se traduce en capacidades tecnológicas. Nuestra revisión de literatura nos indica que es así, sea por el uso de clasificadores de patentes o de co-ocurrencia de palabras (Xu et al., 2023; Xu y Tao, 2024) o citas de patentes (Cho y Cantwell, 2024; Choi y Hwang, 2014; Joo y Lee, 2010).
Desde ese punto de vista, este trabajo tiene por objetivo clasificar la tecnología de una empresa mexicana del sector automotriz para identificar sus capacidades tecnológicas más relevantes, mediante el uso de técnicas de análisis multivariado, particularmente el análisis de componentes principales y el análisis de conglomerados.
Una vez planteado el problema de la investigación, se delimita la metodología de la investigación; luego se da pauta a la presentación de resultados y su discusión y por último se presentan las conclusiones del trabajo.
I. Metodología
Se plantea una metodología en tres etapas: 1) obtención de la información de la plataforma Lens.org; 2) procesamiento de grafo y obtención de indicadores de redes; 3) obtención de componentes principales y conglomerados de clasificadores de patentes (áreas tecnológicas).
I.1. Obtención de patentes
De la plataforma Lens.org5 se extrajeron las patentes otorgadas, a partir de la búsqueda del solicitante, en este caso el nombre de la empresa automotriz, en sus diferentes variantes, en función del nombre de la firma, en sus diferentes ubicaciones geográficas:
Patents (58) = applicant: ( “NEMAK SAB DE CV” ) OR ( applicant: ( “NEMAK DILLINGEN GMBH” ) OR ( applicant: ( “NEMAK LINZ GMBH” ) OR ( applicant: ( “NEMAK WERNIGERODE GMBH” ) OR ( applicant: ( “NEMAK EUROPE GMBH” ) OR ( applicant: ( “NEMAK USA INC” ) OR ( applicant: ( “NEMAK POLAND SPÓŁKA Z OGRANICZONĄ ODPOWIEDZIALNOŚCIĄ” ) OR ( applicant: ( “NEMAK S A B DE C V” ) OR applicant: ( “NEMAK TENEDORA SA DE CV” )
En esta amplia búsqueda nos es irrelevante identificar la región geográfica en la que se registra y/o se otorga la patente; simplemente queremos saber cuántas patentes otorgadas a la empresa automotriz se encuentran registradas como familia simple agrupada en la plataforma.6 De modo que las 58 patentes encontradas se refieren a 58 inventos.
I.2. Tratamiento de la información de patentes y trazado de redes de conocimiento tecnológico
De la información de patentes se extrae el registro de la clasificación internacional de patentes (IPC, por sus siglas en inglés), al nivel de grupo (Tabla 1).
Tabla 1 Niveles de clasificación jerárquica de patentes.
| Nivel | Identificadores |
|---|---|
| Sección | Letras de la A a la H |
| Clase | Dos dígitos después de la letra de la sección |
| Subclase | Es una letra capital subsecuente a los dígitos de la clase |
| Grupo | Un dígito posterior a la letra capital de la subclase |
Fuente: Elaboración propia con base en WIPO, 2022a.
Cabe señalar que una misma patente cuenta con varios clasificadores; esto es, un invento está compuesto por varias áreas tecnológicas. Por lo tanto, de cada patente se recopilaron todos los clasificadores al nivel de grupo; es de esa manera que se posibilita tener tanto una representación gráfica, como los indicadores de centralidad de redes.
La información se ejecutó en el programa Gephi.7 Además del trazado del grafo se solicitó la ejecución de un conjunto de indicadores de centralidad de redes:
a) El indicador básico del cual se desprenden los otros usados en este trabajo es la centralidad de grado, g. Éste indica la cantidad de vínculos i de cada nodo x, donde, para efectos de este trabajo, cada nodo está representado por un área de conocimiento, conforme al CIP.
Como se intuye del indicador, la centralidad de un nodo implica identificar su importancia en el contexto de una red. La centralidad de los nodos varía, en la medida que aquella depende, de los nodos con que cada uno se vincula.
Sin embargo, además, nos es relevante identificar la importancia relativa de los nodos, a través de dos indicadores: el valor del autovector (eigenvector) y la intermediación.
b) La puntuación del eigenvector es un indicador de centralidad que contabiliza y pondera el peso de los nodos adyacentes para atribuir cierto valor a uno en particular. De modo que la ponderación del peso se realiza a través de la centralidad de grado de los nodos adyacentes:
Donde ei es la puntuación de la centralidad del eigenvector y γ es la constante proporcional llamada eigenvalor. En conjunto, el indicador nos señala la centralidad de un nodo en función de la centralidad de los nodos que le son adyacentes.
c) Por su parte, en el indicador de intermediación se calcula como la proporción de todos los caminos posibles entre nodos que pasan por un nodo focal; esto es, qué proporción de todos los caminos más cortos de uno a otro nodo pasan a través de uno en particular. Cada nodo tiene un valor de intermediación, de modo que algunos son más susceptibles de mediar entre otros. Para el nodo j, la intermediación está dada por:
Donde gijk es el número de trayectorias geodésicas que conectan i y k a través de j, y gik es la cantidad de trayectorias geodésicas que conectan i y k.
Como se desprende de cada definición, cada indicador aporta información parcial de una misma estructura de datos; pero la explicación que ofrece cada uno es diferente, e interpretativamente conduce a lugares diferentes; por lo tanto, para presentar agrupada la información aplicamos el análisis de componentes principales, con el fin de verificar que los indicadores conjuntamente son capaces de explicar el conjunto de la información.
I.3. Componentes principales y conglomerado de indicadores
En la literatura se identifican estudios de redes, que hacen uso de técnicas multivariantes. Por ejemplo, Chang et al. (2017) aplican componentes principales y clústeres a partir de indicadores de centralidad de redes para identificar la posición de redes de actores empresariales; Taylor et al., (2014) aplican los componentes para identificar diadas de ciudades y definir características de la globalización; Shubbak (2018) aplica el análisis de clústeres a indicadores de redes para identificar patrones de innovación y upgrading tecnológico de China en tecnología fotovoltaica; Huang y Chen (2019) aplican el análisis de redes sociales y el análisis multidimensional basado en co-palabras para identificar la estructura intelectual de patentes que han surgido en la industria de servicios de cómputo en la nube.
En nuestro caso aplicamos componentes principales para reducir dimensiones de estudio de las redes: en función de la definición de los indicadores, se corrobora que cada uno aporta información diferente y, por tanto, una interpretación específica sobre una misma estructura analítica. En esa perspectiva, cada indicador tiene como símil una dimensión que busca incorporarse a un componente.
En términos más técnicos, el análisis de componentes principales es una técnica estadística multivariada que busca reducir a unas cuantas dimensiones una estructura de datos más amplia, mediante la combinación lineal de variables originales (Alarcón 2021; Bajo, 2014; González et al., 2007; Johnson y Wichern, 2007). Las dimensiones resultantes se denominan componentes principales, en virtud de que, a través de ellas, busca capturarse la mayor varianza posible que surge de la combinación de variables originales.
El ejercicio que se presenta en este trabajo muestra que los indicadores de centralidad de redes forman un solo componente (lo que indica una alta correlación entre variables), según se verá en los resultados; de modo que se considera pertinente complementar el análisis con el de conglomerados ya no para describir la relación entre áreas tecnológicas, sino para clasificarlas (que en sí mismo sugiere una forma de descripción) con base en una jerarquización.
En el análisis de conglomerados se busca descubrir grupos de observaciones similares a partir de las variables en estudio, por lo que a través de ellos busca agruparse conjuntos de datos homogéneos, dadas sus similitudes conforme a las variables de estudio, y que se distingan lo suficiente de otros grupos (Alarcón, 2021; Johnson y Wichern, 2007). Para ello se requiere elegir: 1) una medida de proximidad de los datos, en el entendido de que, a mayor proximidad, mayor homogeneidad entre ellos. En el caso de este trabajo, ocupamos la distancia euclídea al cuadrado, una de las más usadas; 2) se requiere un método de aglomeración con base en su capacidad de formar grupos internamente homogéneos y diferentes entre sí. De hecho, es recomendable conglomerar datos por diferentes métodos como criterio de verificación de la formación adecuada de aglomeraciones; asimismo, se presentan los resultados de tres métodos: criterio de Ward, promedio ponderado simple y el método de vecino más cercano.
II. Resultados
II.1. Componentes principales
El Anexo A muestra la tabla con los indicadores de centralidad utilizados para este ejercicio. Cabe hacer notar que ensayamos un conjunto más amplio de indicadores de redes, los cuales no se identificaron relevantes como componentes principales, por sus bajos niveles de correlación con el resto de las variables (en el caso de cercanía y cercanía armónica) y por su escasa relevancia conforme al índice KMO (en el caso del grado ponderado). La Tabla 2 presenta la correlación entre variables. Ahí es notorio que las mayores correlaciones se observan entre grado, eigencentralidad e intermediación.
Tabla 2 Correlación de indicadores de redes de patentes.
| Grado | Grado ponderado | Eigen- centralidad | Cercanía | Cercanía armónica | Intermediación | |
|---|---|---|---|---|---|---|
| Grado | 1 | |||||
| Grado ponderado | 0.8586 | 1 | ||||
| Eigencentralidad | 0.8732 | 0.7251 | 1 | |||
| Cercanía | 0.265 | 0.2827 | 0.2274 | 1 | ||
| Cercanía armónica | 0.3546 | 0.3488 | 0.3249 | 0.99 | 1 | |
| Intermediación | 0.8534 | 0.6247 | 0.8142 | 0.1954 | 0.2815 | 1 |
Fuente: Elaboración propia.
Para las variables grado, eigencentralidad e intermediación se tiene un componente (con un autovalor de 2.69408), que por sí mismo observa una variación acumulada de 0.8980 (Tabla 3); por lo tanto, un componente es suficiente para expresar el comportamiento de los indicadores de redes en un plano bidimensional. De acuerdo con el ejercicio, la prueba de adecuación de la muestra califica como aceptable, puesto que tiene un valor superior a 0.7 (Tabla 5).
Tabla 3 Autovalores de los componentes.
| Componente | Eigenvalor | Diferencia | Proporción | Acumulado |
|---|---|---|---|---|
| Comp1 | 2.69408 | 2.50639 | 0.898 | 0.898 |
| Comp2 | 0.187685 | 0.0694487 | 0.0626 | 0.9606 |
| Comp3 | 0.118236 | . | 0.0394 | 1 |
Fuente: Elaboración propia.
Tabla 4 Autovectores de los componentes.
| Variable | Comp1 | Comp2 | Comp3 | Inexplicado |
|---|---|---|---|---|
| Grado | 0.5847 | -0.1328 | -0.8003 | 0 |
| Eigencentralidad | 0.576 | -0.6268 | 0.5247 | 0 |
| Intermediación | 0.5713 | 0.7678 | 0.29 | 0 |
Fuente: Elaboración propia.
Tabla 5 Índice KMO de adecuación de la muestra.
| Variable | KMO |
|---|---|
| Grado | 0.7128 |
| Eigencentralidad | 0.7719 |
| Intermediación | 0.8096 |
| Total | 0.7615 |
Fuente: Elaboración propia.
Identificado el componente, estadísticamente significativo, basado en los tres indicadores de redes previamente señalados, conglomeramos las clasificaciones de patentes. Ello se realiza mediante la ecuación de normalización, que retoma los valores de los autovectores del componente 1 (Tabla 4), donde Zcip es el valor normalizado para cada uno de los campos de conocimiento de patentes, representados por los CIP:
II.2. Conglomerados
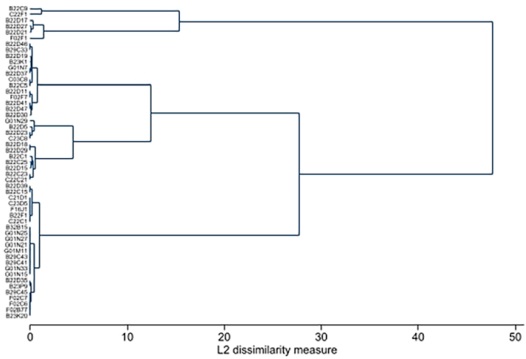
Los componentes principales indicaron las variables de redes que mejor explican la estructura de conocimiento que sustenta la actividad inventiva de la empresa automotriz: grado, eigencentralidad e intermediación. Para clasificar la tecnología a partir de los tres indicadores se procedió a conglomerarlos usando la distancia euclidiana cuadrada como medida de asociación, aplicada a tres técnicas de agrupación: criterio de Ward, vínculo ponderado promedio y vínculo simple (vecino más cercano). En el Anexo B se lista el resultado de conglomeración. A continuación se muestran las Gráficas 1 a 3, que muestran el resultado de los conglomerados. En seguida se muestran las gráficas de distancia (Gráficas 4 a 6) a partir de las cuales se define una jerarquización de clústeres, con base en los clasificadores de patentes.

Gráfica 3 Dendograma mediante el criterio del vecino más cercano: clasificación de la tecnología de la empresa.
Las gráficas de distancia ofrecen una idea más precisa del número de clústeres en que pueden agruparse los datos. De acuerdo con las gráficas de distancia (Gráficas de 4 a 6), por el criterio de Ward, la información puede agruparse en seis conglomerados; por enlace ponderado simple, cinco conglomerados y, mediante el criterio de vecino más cercano, cuatro. El Anexo B muestra la agrupación de los clasificadores, con base en la reorganización a partir de las gráficas de distancia. Un extracto de los clústeres nos muestra que los criterios de asignación de clasificadores de patentes nos conducen a identificar un puñado de tecnologías como las dominantes (Tabla 6).
La Tabla 6 hace notorio que son seis los clasificadores que pueden agruparse en dos o tres conglomerados; si nos atenemos a los métodos de promedio ponderado simple y vecino cercano, dos clasificadores forman, cada uno, dos conglomerados.
Tabla 6 Conglomerado de los clasificadores de patentes más importantes.
| Clasificadores de patentes | Conglomerado de asignación | ||
|---|---|---|---|
| Criterio de Ward | Promedio ponderado simple | Vecino cercano | |
| B22C9 | 6 | 5 | 2 |
| C22F1 | 6 | 4 | 1 |
| F02F1 | 5 | 3 | 3 |
| B22D21 | 5 | 3 | 3 |
| B22D27 | 5 | 3 | 3 |
| B22D17 | 5 | 3 | 3 |
Fuente: Elaboración propia.
La Tabla 7 presenta las definiciones de los IPC de la Tabla 6. La definición del clasificador B22C9 nos da respuesta a por qué prácticamente un tercio de los clasificadores corresponden a tecnologías de fundición de metales y de otras sustancias (clasificador B22D).
Tabla 7 Definición de los IPC más importantes.
| Clasificador | Definición |
|---|---|
| B22C9 | Moldes o núcleos (adaptados exclusivamente a determinados procesos de fundición B22D); procesos de moldeo que implican el uso de máquinas de moldeo concretas. |
| C22F1 | Modificación de la estructura física de metales no ferrosos o aleaciones mediante tratamiento térmico o trabajo en caliente o en frío. |
| F02F1 | Cilindros; Cabezas de cilindro. |
| B22D21 | Fundición de metales no ferrosos o de compuestos metálicos en la medida en la que sus propiedades metalúrgicas son importantes para el procedimiento de fundición. Selección de composiciones para ello. |
| B22D27 | Tratamiento del metal en el molde mientras está fundido o es dúctil. |
| B22D17 | Fundición a presión o fundición por inyección. |
Fuente: Elaboración propia con base en IPC de la WIPO 2022a.
III. Discusión
Dado el peso que tiene la industria automotriz mexicana tanto en la industria global, como en la actividad económica nacional, su estudio en diversas vertientes se vuelve crucial. Vinculadas a temas de innovación identificamos un conjunto de investigaciones que nutren la perspectiva de construcción y transformación de capacidades de la industria, como vías adaptativas en torno a los requerimientos de la industria automotriz mundial ( Guzmán-Anaya, 2019 y 2022; Maldonado-Guzmán y Garza-Reyes, 2020; Maldonado-Guzmán et al., 2021; Maldonado-Guzmán y Pinzón-Castro, 2022); estudios regionales de la innovación, para el desarrollo de capacidades para sostener la dinámica de la industria automotriz en Aguascalientes (Marquina y Álvarez, 2021; Serna, 2020), o a través de temas que atañen a procesos organizacionales como liderazgo en el norte del país (Vargas-Salgado y Gómez-Bull, 2021) y adaptación ante la contingencia sanitaria por Covid-19 en Guanajuato (Zárate y Sánchez, 2021).
Como tema de estudio inusitado en la literatura sobre la industria automotriz en México se identificó el de la eco-innovación (Maldonado-Guzmán y Garza- Reyes, 2020; Maldonado-Guzmán et al., 2021; Maldonado-Guzmán y Pinzón-Castro, 2022). La literatura sobre eco-innovación implica el estudio de las implicaciones ambientales asociadas a la innovación a niveles macro, meso y micro (Del Río et al., 2016; Díaz-García et al., 2015); en el contexto meso, se asocia a las vías y mecanismos de puesta a punto de la industria para mantener su condición competitiva atendiendo a la sustentabilidad (Díaz-García et al., 2015, p. 15), lo que simultáneamente sugiere la identificación de información sobre la formación y reconfiguración de capacidades organizacionales y de producción (Maldonado-Guzmán y Garza-Reyes, 2020). Es una forma de estudiar a la industria desde la perspectiva de los esfuerzos adaptativos y sus resultados económicos (Maldonado-Guzmán y Pinzón-Castro, 2022) ante la novedad de las condiciones de producción y competitividad de la industria global.
Otro nicho de estudio está representado por la investigación basada en el uso de patentes, nicho al cual nuestra investigación pretende aportar, añadiendo un ángulo adicional al que aporta Reyes (2018). La generación de flujos de conocimiento que estudia este autor es una forma de acercarse a la formación de capacidades tecnológicas y definir el peso del país como generador de conocimiento patentable para el caso de una empresa global, Delphi. La evidencia que arroja ubica a México como un jugador con un peso marginal en la actividad inventiva de la empresa, además de la nula generación de derramas de conocimiento hacia la industria nacional, lo que redimensiona la perspectiva de estudio que ha puesto a Delphi como generadora de derramas tecnológicas hacia México, si bien ha jugado un papel relevante en el escalamiento de capacidades para la industria de autopartes en nuestro país (Carrillo, 2004; Lara y Carrillo, 2003).
En el caso de la presente investigación abonamos al estudio de las capacidades tecnológicas, también a partir de la actividad de patentamiento, pero en este caso a partir de una empresa mexicana global. El caso es relevante dada la historia y evolución de la empresa que observa el despliegue de una actividad inventiva reflejada en un conjunto de patentes en áreas tecnológicas que constituyen sus capacidades tecnológicas; concretamente las que apuntamos en la Tabla 7 despuntan como las más relevantes.
A diferencia de los hallazgos del caso de estudio de Reyes (2018), en el nuestro la actividad innovadora de la empresa nacional juega un papel nodal, conforme indican los reportes públicos de la empresa misma, y que se constata de la revisión de su actividad de patentamiento. El ejercicio de conglomeración de clasificadores de patentes a partir de indicadores de redes redunda en la identificación de las capacidades tecnológicas de la empresa; muestra y clasifica un inventario de capacidades y evidencia cómo se imbrican (Anexo 2 para el detalle de los clústeres). De este modo, la actividad inventiva se traduce en el desarrollo de capacidades tecnológicas que, a su vez, en un proceso recursivo, dinamizan y acrecientan el acervo de conocimientos plasmados en patentes. En este sentido, Nemak opera mecanismos asociados a la perspectiva de las capacidades dinámicas (Teece y Pisano, 2994; Teece, Pisano y Shuen, 1997).
Esto es así pues, a diferencia del caso de Delphi (Reyes, 2018), o de las empresas autopartistas del Bajío, comparadas con sus homólogas españolas (Lampón, Cabanales y Delgado; 2018), casos que muestran condiciones de competitividad no sustentadas en una actividad innovadora dinámica, porque Nemak es una empresa dinámica en términos de generación y acumulación de capacidades, tanto por su propia actividad inventiva, registrada en actividad de patentes, como a partir de la absorción de capacidades generadas a partir de su política de expansión hacia diferentes localizaciones por todo el mundo, entre las que destacan “10 centros de desarrollo de productos” (Nemak, 2024), propiamente centros de I+D, que da como pauta que 75 por ciento de los proyectos de investigación y desarrollo se ejecuten entre al menos dos localizaciones geográficas diferentes (Nemak, 2024, p. 55).
Este comportamiento de la empresa de acumulación de capacidades en torno a las desarrolladas endógenamente, en un contexto geográfico particular y complementadas con espacios externos, es similar al que identificamos en nuestra revisión de literatura (Ahn, Kim y Lee, 2022; Cho y Cantwell, 2024; Wanzenböck et al., 2024; Xu et al., 2023 y Xu y Tao, 2024), y obedece a un comportamiento estratégico como el reportado por los estudios de la competitividad basada en recursos y capacidades (Ahn, Kim y Lee, 2022; Teece y Pisano, 1994; Teece, Pisano y Shuen, 1997).
Conclusiones
Se han identificado un conjunto de áreas de conocimiento tecnológico que son relevantes en la actividad de patentamiento de una empresa mexicana de la industria automotriz. Esto es, en sí mismo, relevante por tres razones: primera, es escasa la investigación sobre actividad de patentamiento en empresas mexicanas, por lo que el ejercicio realizado nutre literatura sobre el tema. A la pregunta cuáles son las áreas de conocimiento tecnológico que sustentan la actividad de invención de la empresa, se tiene una respuesta concreta: tecnologías de fundición (moldeo), modificación de estructura física de metales no ferrosos y aleaciones no ferrosas, ingeniería de componentes de máquinas de combustión (cilindros, pistones, carcasas) y sellado de máquinas de combustión, así como fundición de metales y de otras sustancias.
En la medida que hemos defendido que las patentes son repositorios de conocimiento codificado, acumulado y que responde tanto a capacidades endógenas como complementadas con las externas como vía de aprovechamiento de oportunidades tecnológicas, estamos en posibilidad de señalar que esas áreas tecnológicas de patentamiento configuran capacidades tecnológicas de la empresa.
Segunda, el uso de indicadores de redes y métodos multivariantes permite conglomerar y clasificar esas áreas de conocimiento, lo que permitiría inferir la acumulación de conocimiento tecnológico a partir de la actividad de patentamiento de la empresa. En el entendido de que las empresas exploran y explotan tecnología, y que la innovación implica un proceso de aprendizaje acumulativo, el análisis de redes y la aplicación de los métodos multivariantes ofrece una herramienta para la observación de tales procesos acumulativos, que en el caso de esta investigación exhibe un inventario de capacidades, con una centralidad de la actividad inventiva en los clasificadores B22C9, C22F1, F02F1, B22D21, B22D27, B22D17.
Tercera, de la acumulación de conocimiento se identifican trayectorias tecnológicas (Aharonson y Schilling, 2016; Dosi, 1982; Jasso, 2004; Lai et al., 2023), a partir de lo cual es posible hipotetizar y, por tanto, apuntar para futuras investigaciones, de qué manera inciden sobre la competitividad de la empresa. De los hallazgos de esta investigación se colige la acumulación de tecnologías de procesos tecnológicos para fundición, aleaciones y de ingeniería de componentes para máquinas de combustión como las articuladoras de una estrategia tecnológica, por lo que bien vale preguntarse 1) cuál es su contribución a la posición competitiva de la empresa en la industria automotriz global; 2) ¿genera derramas de conocimiento hacia empresas locales?, y 3) cómo tiende a desarrollarse la trayectoria tecnológica de la industria automotriz y cómo repercute en las capacidades y competitividad de la empresa.




















