INTRODUCCIÓN
Los muros híbridos son uno de los sistemas que pueden ser aprovechados para su uso en regiones de alta sismicidad, estos sistemas estructurales pueden desarrollar daño controlado y focalizado en los disipadores de energía, incorporados en el muro. Usualmente, se emplean parámetros como la distorsión de entrepiso o la resistencia lateral para estudiar el comportamiento de elementos estructurales; sin embargo, el uso del sistema de muros prefabricados híbridos de concreto, puede requerir de la valuación de la capacidad de disipación de energía en los ciclos de histéresis, para ello, es necesario realizar un modelo numérico que refleje la respuesta global del muro híbrido ante cargas laterales cíclicas reversibles. Existen diversos modelos presentados recientemente por autores como Xiuli et. al. (2021), Arman et. al. (2024) y Anqi et. al. (2019) entre otros, los cuales mostraron resultados numéricos, con precisión, de la respuesta de tipo bandera, de un muro híbrido. Sin embargo, estos trabajos utilizan programas como ABAQUS, de uso general basado en elementos finitos, el cual emplea una gran cantidad de elementos y nodos, lo que implica gran costo computacional; y OpenSees, que resulta algo complejo para el ingreso de datos. En este artículo se emplea un programa de uso comercial, SAP2000, ampliamente utilizado por ingenieros de la práctica, que presenta un modelo numérico con una cantidad reducida de elementos y nodos, de fácil manejo. Los resultados numéricos fueron bastante aceptables comparados con los resultados experimentales, con los que fueron validados. El modelo numérico emplea elementos de dos tipos, shell-layered y Link, que pueden representar aceptablemente el comportamiento de los materiales, en el intervalo de comportamiento inelástico y no lineal.
RESULTADOS EXPERIMENTALES
Para validar el modelo analítico presentado, se estudiaron dos referencias con resultados experimentales. Uno de ellos fue Smith et al. (2012), y el otro Rahman y Restrepo (2000), quienes ensayaron los muros HW1 y HW3, respectivamente. El motivo de usar estos trabajos, además de ser representativos de los muros híbridos postensados, radica en la calidad de la información, tales como las propiedades de los materiales, ubicación de varillas de acero; presentados por los autores, lo que permitió representar de manera precisa cada ensaye. A continuación, se describen las características más importantes de cada muro, que luego fueron empleados para definir los elementos en el modelo representado por un programa de uso comercial.
Muro híbrido HW1 - Smith et al. (2012)
En el reporte de Smith et al. (2012) se describió el ensaye de seis especímenes, de los cuales tres fueron muros híbridos sólidos rectangulares (HW1, HW2, HW3), dos muros híbridos con perforaciones internas (HW4 y HW5), y un muro emulativo (EW). Todos los muros estaban a una escala de 40% del diseño para una edificación de cuatro niveles, la Figura 1 muestra el esquema del muro HW1, con las dimensiones de ancho de muro (2.43m) y la altura a la que se aplica la carga lateral (3.66m), la esbeltez del muro es de 2.25, el espesor del muro es igual a 159mm. Fue construido con dos paneles, para observar si se producía alguna abertura en juntas intermedias, comportamiento que no es deseado. A este muro se le aplicó una carga axial de 325kN.
La Figura 2, muestra el detalle del refuerzo colocado en el muro, con un refuerzo distribuido uniformemente de doble malla electrosoldada, de 4x4 W4.0xW4.0WWR, lo que indica varillas de 4mm espaciadas a cada 100mm. En el panel base, se colocó un confinamiento con estribos de 10mm de diámetro, ASTM A706, y barras longitudinales en dirección vertical, de manera adicional, constituidas por 2 barras de 19mm y 4 barras de 12.7mm. Para el postensado del muro HW1, se usaron 3 tendones de ½”, de grado 270ksi (1862MPa) con una longitud no adherida aproximada de 5480mm, desde la parte superior del muro a la inferior de la cimentación. El presfuerzo aplicado fue de 0.55fpu, ubicado a 229mm desde el eje central del muro, en el caso del acero para disipación de energía, Grado 448MPa, se usaron 4 barras, un par ubicado a 76mm y el segundo par a 152mm, del eje central. La longitud no adherida de estas barras era de 254mm y su diámetro era de 19mm. La resistencia a compresión especificada del concreto fue de 41MPa, en el día del ensaye a 141 días, la resistencia a compresión del concreto fue 33MPa.
La Figura 3 muestra la historia de distorsión lateral aplicada en el espécimen HW1. La demanda de distorsión fue asimétrica. Esta información fue obtenida de los reportes y artículos descrita por los autores. Cabe mencionar que esta historia de distorsión fue la misma para los cinco muros ensayados por Smith et al. (2012), los cuales se describen en la Tabla 1.
Tabla 1 Distorsiones de carga y descarga del muro HW1
| Ciclo | 1-3 | 4-6 | 7-9 | 10-12 | 13-15 | 16-18 | 19-21 | 22-24 | 25 | 26-27 |
|---|---|---|---|---|---|---|---|---|---|---|
| +∆(%) | 0.005 | 0.01 | 0.03 | 0.12 | 0.25 | 0.40 | 0.8 | 1.15 | 1.75 | 1.90 |
| -∆(%) | 0.005 | 0.01 | 0.03 | 0.12 | 0.20 | 0.35 | 0.6 | 0.90 | 1.50 | 1.50 |
Muro híbrido HW3 - Rahman y Restrepo (2000)
El trabajo de Rahman y Restrepo, en la Universidad de Canterbury, muestra el ensaye de tres muros, todos muestran las mismas dimensiones, con una relación de esbeltez Hw/Lw igual a 2.96. y una relación de alto y espesor Hw/tw igual a 30. Los muros estaban a una escala del 50% de un muro representativo para una edificación de 4 niveles. La Figura 4 muestra el esquema del espécimen HW3 y el marco de reacción empleado.
La resistencia especificada del concreto fue de 45 MPa, los diámetros del acero de refuerzo empleados en el muro fueron de 5mm y 10mm, con grados de 400, 430 y 485 MPa, para distintas ubicaciones en el muro. La cuantía de acero, en la dirección vertical, fue de 0.84%, donde se emplearon doble malla de varillas de 10mm, espaciadas a 190mm, aproximadamente. Por otro lado, la cuantía de acero horizontal fue de 0.25%, dispuesto con doble malla de 5mm de diámetro, a cada 150mm. El detallado del confinamiento se realizó en los extremos inferiores del muro, con un ancho y alto confinado de 300mm y 600mm, respectivamente, se emplearon varillas de 10mm de diámetro, a cada 50mm en dirección vertical y varillas de 5mm de diámetro, a cada 50mm en dirección horizontal. La Figura 5 muestra el detalle del acero de refuerzo empleado en el muro HW3. La resistencia a compresión del concreto, medido el día del ensaye, fue de 31MPa. El ensaye se realizó a 41 días de fabricado el concreto, la resistencia característica fue el promedio obtenido de 3 cilindros.
Se dejaron ductos a 175mm del centro del muro, para el paso de tendones, y a 90mm para el paso de los disipadores de energía. El acero postensado colocado tenía dos tendones de ½” en cada ducto, con un área nominal de 200mm2, además, se colocó un presfuerzo inicial de 94kN por tendón (0.5fpu). Los disipadores eran originalmente barras de 20mm de diámetro, de Grado 460; sin embargo, se redujo el diámetro a 16 mm, en una longitud de 200mm, con la finalidad que esta sea la zona no adherida. La fuerza axial de postensado, igual a 216 kN, es transferida al muro a través de placas de acero, colocadas en la parte superior del muro.
La Tabla 2 muestra los valores de la historia de la distorsión lateral, de la misma forma que la Figura 6. Las distorsiones fueron aplicadas en el muro, a una altura de 4200mm, medido desde la base del muro, ver Figura 4.
Tabla 2 Historia de distorsiones laterales del muro HW3
| Ciclo | 1-2 | 3-4 | 5-6 | 7 | 8-9 | 10 | 11 | 12-13 | 14-15 |
|---|---|---|---|---|---|---|---|---|---|
| +∆(%) | 0.03 | 0.04 | 0.06 | 0.09 | 0.20 | 0.25 | 0.24 | 0.50 | 1.00 |
| -∆(%) | 0.05 | 0.05 | 0.08 | 0.10 | 0.20 | 0.24 | 0.24 | 0.50 | 1.00 |
| Ciclo | 16 | 17-18 | 19 | 20-21 | 22 | 23-24 | 25 | 26 | 27 |
| +∆(%) | 0.50 | 1.50 | 1.00 | 2.00 | 1.40 | 2.40 | 1.90 | 3.00 | 2.90 |
| -∆(%) | 0.50 | 1.50 | 1.00 | 2.00 | 1.50 | 2.50 | 2.00 | 3.00 | 2.90 |
| Ciclo | 28 | 29 | 30 | 31 | |||||
| +∆(%) | 2.40 | 3.40 | 3.50 | 4.00 | |||||
| -∆(%) | 2.50 | 3.40 | 3.50 | 0.00 |
MODELO ANALÍTICO
En este trabajo se presenta un modelo numérico desarrollado con el programa SAP2000, el cual es de uso comercial y ampliamente empleado por ingenieros de la práctica. El programa hace uso del método de elementos finitos y presenta una amplia bibliografía de la teoría aplicada a sus elementos, la simplicidad y aceptable representación del comportamiento, en el intervalo inelástico y no lineal, fueron motivos por el que se empleó para realizar el modelo numérico de los muros híbridos estudiados.
El programa de análisis empleado, permite definir el comportamiento de materiales por medio de las gráficas esfuerzo-deformación, definidas por el usuario. Se emplearon los modelos correspondientes de Mander (1984) para el concreto no confinado, concreto confinado, acero de refuerzo, para definir las curvas esqueleto, correspondientes a cada material. Por otro lado, para el acero postensado se emplearon el modelo de Mattock modificado. La Figura 7 muestra las curvas de materiales empleados para cada uno de los muros híbridos, descritos anteriormente.
La Figura 8 muestra el modelo numérico de un muro hibrido, las zonas de concreto reforzado se definieron a través de elementos tipo Shell-thin Layered, en la cual se especifica las fibras según el material y el espesor que componen la zona indicada, existen tres zonas características dentro de un muro híbrido, estos son: el borde confinado en los extremos inferiores, el borde no confinado ubicado en la parte superior del muro, y la zona central del muro que comúnmente es un núcleo no confinado, con varillas de refuerzo d distribuidos en ambas direcciones, vertical y horizontalmente. Los disipadores de energía tienen una longitud no adherida y está representado por elementos tipo Link, mediante un modelo con comportamiento Multi Linear Plastic, definido en el programa SAP2000. La curva fuerza versus desplazamiento (P vs δ) se obtiene con base en la curva de comportamiento del material (σ vs ε). Para obtener las fuerzas, se multiplica los valores de los esfuerzos, σ, por el área del elemento correspondiente, y los desplazamientos, δ, las correspondientes deformaciones, ε, por la longitud de la región de plastificación. En el caso del acero postensado se usa el mismo tipo de elemento, sin embargo, también es posible usar el elemento cable que trae el programa, finalmente para representar el comportamiento de la abertura en la base se define el elemento Link tipo Gap, este permite un desplazamiento vertical positivo sin resistencia, lo que se interpreta como la abertura del muro hibrido prefabricado, mientras que se considera un comportamiento elástico de la cimentación y se define una rigidez a compresión igual al producto del módulo de elasticidad del concreto por el área de sección del muro.
Resultados analíticos versus experimentales
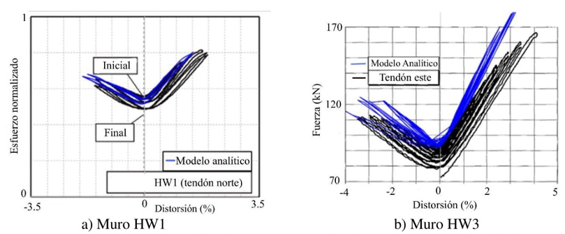
El resultado experimental del muro HW1, muestra una carga lateral máxima de 507 kN, mientras que el resultado numérico muestra una carga de 572kN, con una diferencia menor que 13%, esto sucede en las distorsiones positivas, sin embargo, la Figura 9.a, muestra que la máxima carga lateral negativa tiene una diferencia menor que el 1%. Se puede observar cierta similitud entre los ciclos de histéresis experimental y numérico. La Figura 9.b, muestra la comparación de resultados experimental y numérico del muro HW3, donde los valores de carga difieren en 5%, el resultado experimental fue 120 kN, mientras que el numérico es igual a 126kN. Las curvas de histéresis del modelo numérico muestran cierta similitud con la forma de las curvas de histéresis de los especímenes de referencia.
Una manera de medir la similitud es calcular la energía disipada por los modelos, numérico y experimental, que más a delante se describe con detalle. Como se puede observar en ambos muros híbridos existen ciclos con áreas que indican una capacidad de disipación de energía del muro, sin embargo, el paso de una distorsión positiva a negativa sucede para cargas laterales pequeñas, es decir que las curvas de histéresis en cada ciclo pasan cerca del origen, lo que indica que no existe una distorsión residual, luego de la descarga. Lo anterior se interpreta como la disipación de energía que se da, por daño, en el elemento disipador de energía, manteniendo el muro en un estado con poco o ningún daño.
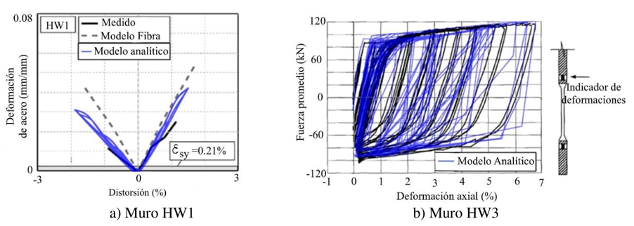
En el muro HW1, se revisa el disipador del extremo derecho para la posición “norte”, ver Figura 1, el cual tiene una longitud no adherida, de 250mm, lo que concentra las deformaciones inelásticas en el disipador. La Figura 10.a muestra resultados experimental y numéricos, el resultado experimental indica deformaciones en el disipador menor que 2.5%, el modelo numérico de fibra, reportado por Smith et al. (2012) muestra una deformación máxima 5.5%, mientras que el modelo propuesto indica una deformación máxima de 4.2%.Las distorsiones máximas experimentales, fueron entre -1.75% y 1.9%, sin embargo, los resultados experimentales para el disipador, muestran solamente deformaciones para distorsiones entre -0.9% a 1.1%, lo que indica que el strain gauge no alcanzó a realizar las mediciones en todos los ciclos. La Figura 10.b muestra la respuesta de la fuerza contra la deformación axial, en la barra, medido en la parte superior de la barra derecha (este) del muro HW3. El resultado experimental indica que la carga axial desarrollada por la barra es del orden de 119 kN a 6.8% de deformación axial, mientras que, los resultados numéricos muestran una carga axial del orden de 120 kN a 6. 76%, estos resultados muestran diferencias menores que 1%.
Los resultados experimentales del acero postensado del muro HW1, muestra una incursión en el intervalo de comportamiento, no lineal, que es representado por el elemento Link. La normativa del ACI ITG 5.1 recomienda que el acero postensado tenga deformaciones menores que 0.01, para que este elemento tenga comportamiento elástico, sin alcanzar la fluencia, debido a que su función principal es el de brindar recentrado y estabilidad al muro. La Figura 11.a muestra resultados experimental y numérico para el cable de postensado del muro HW1, la carga de postensado final experimental y numérico difieren en el orden de 5%, también, en el resultado experimental se observa una pérdida de postensado del orden de 10%, mientras que el resultado numérico la pérdida del orden del 5%. Para el acero de postensado en el muro HW3, la carga de postensado final experimental y numérico difieren en el orden de 60%, también, en el resultado experimental se observa una pérdida de postensado del orden de 80%, mientras que el resultado numérico la pérdida del orden del 20%.
Con el objetivo de cuantificar la cantidad de energía disipada por los muros híbridos se calculó el área de los lazos de histéresis, se compararon las energías disipadas según los resultados experimentales y los numéricos. Definimos el error relativo mediante la expresión siguiente
Donde Enumérico es la energía disipada según el modelo numérico y Eexperimental es la energía disipada por el modelo experimental.
Para el muro HW1, la energía disipada experimental fue igual a 13606.919 kN-m y el resultado numérico fue de 12387.087 kN-m, lo que lleva a un error del orden de 8.96%. Por otro lado, para el muro HW3, se obtuvo un error de 3.59%, donde la cantidad de energía disipada, según el resultado experimental, fue igual a 13912.923 kN-m y el numérico fue de 13413.696 kN-m, estos resultados los consideramos aceptables, para el modelo numérico.
De acuerdo con los resultados obtenidos, los muros híbridos pueden ser representados por un modelo numérico simple, con el que se obtiene una buena aproximación a nivel global y local, según se pudo observar con los resultados del elemento disipador y del cable postensado. Lo anterior valida el empleo de este tipo de modelo para estudiar el comportamiento de muros híbridos similares a los estudiados en este artículo. Sin embargo, es posible extender su uso a otras configuraciones de muros híbridos, los que deben validarse con estudios experimentales.
COMPARACIÓN ENERGÉTICA DE MUROS HÍBRIDOS Y CONVENCIONALES
Los muros convencionales han sido ampliamente estudiados y empleados en la práctica, principalmente por aportar gran rigidez y resistencia lateral. Los resultados experimentales y la evidencia, luego de terremotos, han demostrado que estos elementos experimentan daño significativo. Sina et al. (2021), reconoce este comportamiento, además, los costos de reparación de estos elementos no son económicos. Por otro lado, los muros prefabricados postensados presentan alta capacidad de distorsión lateral; sin embargo, Abouzar et al. (2024) mencionan que los muros postensados tienen una deficiencia de disipación de energía; sin embargo, los muros híbridos aprovechan las ventajas del comportamiento de muros postensados y la adición de disipadores de energía. Hao Wu et al. (2021) realizaron comparaciones de muros convencionales contra los muros híbridos, donde obtuvieron resultados no muy distintos entre ambos sistemas, pero con marcada diferencia en la distorsión lateral residual. A continuación, se describe una comparación de ambos sistemas, en el cual se involucra la distorsión, resistencia y rigidez del sistema mediante un solo parámetro definido como “energía relativa”, por el ACI ITG 5.1.
Energía relativa
El cálculo de la energía relativa se usó para ambos tipos de muros, este parámetro representado por β. Este parámetro se calcula por la relación entre el área de un ciclo de carga y descarga, dividido entre el área de un paralelogramo formado por los máximos valores de carga lateral del ciclo analizado y las distorsiones correspondientes, del lado positivo y negativo, los que se intersecan con rectas que siguen la pendiente de la rigidez inicial positiva y negativa, correspondientemente, ver la Figura 12, es decir, la pendiente de la cara inclinada del paralelogramo, para cortante positivo, es la recta con pendiente igual a la rigidez inicial a cortante positivo, Ks, y para el paralelogramo a cortante negativo se tiene una recta con pendiente igual a la rigidez inicial a cortante negativo, Ks’. Las cargas laterales máximas en valor absoluto son E1 y E2, mientras que las distorsiones laterales máximas en valor absoluto son q´L1 y q´L2.
La energía relativa, b, se calcula mediante la ecuación 2.
Muros convencionales comparables
Para realizar una comparación entre muros convencionales e híbridos similares, se usaron las mismas características de materiales y dimensiones de los muros HW1 y HW3, con los cuales se diseñaron dos muros denominados CHW1 y CHW3 Estos muros tenían cuantías de refuerzo igual a al mínimo especificado por el ACI318-19, ver Figura 13 Estos muros fueron analizados por un modelo numérico similar al de los muros híbridos, la Figura 14.a muestra el esquema del modelo. La Figura 14.b muestra la comparación de los resultados numérico y experimental para un muro convencional, los resultados experimentales fueron adaptados de Hiatokis (2004). Para los muros, CHW1 y CHW2, se empleó un modelo similar al esquema mostrado en la Figura 14.a, Se emplearon las mismas historias de desplazamientos que en el caso de los muros HW1 y HW3, respectivamente. La Figura 15 muestra los resultados numéricos.
Para los muros, HW1 y CHW1, se evaluaron las energías relativas en los ciclos donde la energía disipada resulta ser significativa. El ACI ITG 5.1 recomienda evaluar el último ciclo de distorsiones iguales, esto sucede desde el ciclo 21, el área de los ciclos resulta en unidades de kN, debido a que la abscisa está en unidad adimensional. En estos muros la carga es aplicada a una altura de 3.66m, usando esta longitud se obtuvo la energía en kN-m. La Tabla 3 y 4 muestran los resultados de la energía relativa disipada por los muros HW1 y CHAW1. Los muros convencionales disipan una mayor cantidad de energía lo cual se entiende como daños en la estructura y se refleja en los desplazamientos residuales, ver la Figura 15.a, por ejemplo, en el ciclo 24, la energía relativa del muro CHW1 es de 0.371 mientras que en HW1, para el mismo ciclo, la energía relativa es de 0.165. Esto indica que el muro convencional, CHW1, disipa 2.25 veces más energía que el muro hibrido, HW1. El muro convencional disipa mayor energía que el muro hibrido, como se puede observar en los demás ciclos mostrados en la Tabla 3 y Tabla 4, lo que indicaría un mayor daño para el muro convencional; sin embargo, el muro hibrido también disipa energía que no es despreciable, el cual se concentra en los disipadores lo que lleva a mostrar menor daño en estos muros.
Tabla 3 Resultados de energía relativa en muro HW1
| Ciclo | Distorsión | Área de ciclo | Área de paralelogramo | Energía relativa | |
|---|---|---|---|---|---|
| (+∆)% | (-∆)% | kN-m | kN-m | ||
| 21 | 0.80 | 0.60 | 656.19 | 4514.11 | 0.145 |
| 24 | 1.15 | 0.90 | 1190.09 | 7225.85 | 0.165 |
| 25 | 1.75 | 1.50 | 2829.36 | 12548.79 | 0.225 |
| 27 | 1.90 | 1.50 | 2344.64 | 13187.92 | 0.175 |
Tabla 4 Resultados de energía relativa en muro CHW1
| Ciclo | Distorsión | Área de ciclo | Área de paralelogramo | Energía relativa | |
|---|---|---|---|---|---|
| (+∆)% | (-∆)% | kN-m | kN-m | ||
| 21 | 0.80 | 0.60 | 2438.17 | 7258.03 | 0.336 |
| 24 | 1.15 | 0.90 | 4834.25 | 13047.41 | 0.371 |
| 25 | 1.75 | 1.50 | 10285.70 | 24935.70 | 0.412 |
| 27 | 1.90 | 1.50 | 9951.66 | 26482.94 | 0.376 |
En los muros HW3 y CHW3 se empleó un proceso similar que en el caso de los muros HW1 y CHW1, estos resultados se muestran en las Tablas 5 y 6, respectivamente. Los ciclos presentan un área significativa desde el ciclo 18, el promedio de energía relativa disipada para el muro híbrido fue de 0.24, se debe notar que el ACI ITG 5.1 recomienda una energía mayor que 0.125. La máxima energía relativa del muro CHW3 sucede en el ciclo 31, al igual que en HW3, donde la distorsión varia desde -3.5% a +4.0%. El muro convencional presenta desplazamientos residuales, que en el último ciclo tiene un valor de 1.6%, que corresponde a 64mm de desplazamiento lateral, estos desplazamientos son difíciles de restituir. El sistema convencional tiene en promedio una energía relativa igual a 0.367, esto no solo se debe a la cantidad de acero que requiere por diseño, sino también, a la disposición y geometría del núcleo confinado.
Tabla 5 Resultados de energía relativa en muro HW3
| Ciclo | Distorsión | Área de ciclo | Área de paralelogramo | Energía relativa | |
|---|---|---|---|---|---|
| (+∆)% | (-∆)% | kN-m | kN-m | ||
| 18 | 1.50 | 1.50 | 495.99 | 2317.39 | 0.214 |
| 21 | 2.00 | 2.00 | 774.94 | 3285.91 | 0.236 |
| 24 | 2.40 | 2.50 | 1001.97 | 4069.84 | 0.246 |
| 27 | 2.90 | 2.90 | 1047.09 | 4645.75 | 0.241 |
| 30 | 3.50 | 3.40 | 1346.66 | 1394.16 | 0.241 |
| 31 | 4.00 | 3.50 | 1501.47 | 1462.68 | 0.257 |
Tabla 6 Resultados de energía relativa en muro CHW3
| Ciclo | Distorsión | Área de ciclo | Área de paralelogramo | Energía relativa | |
|---|---|---|---|---|---|
| (+∆)% | (-∆)% | kN-m | kN-m | ||
| 18 | 1.50 | 1.50 | 1499.20 | 4158.00 | 0.361 |
| 21 | 2.00 | 2.00 | 2343.20 | 6516.44 | 0.360 |
| 24 | 2.40 | 2.50 | 3208.72 | 8734.94 | 0.367 |
| 27 | 2.90 | 2.90 | 4078.24 | 10994.15 | 0.371 |
| 30 | 3.50 | 3.40 | 5322.88 | 14336.96 | 0.371 |
| 31 | 4.00 | 3.50 | 5932.96 | 15741.41 | 0.377 |
El muro híbrido HW3 tiene un 34% mayor de energía disipada en comparación al muro híbrido HW1, mientras que la energía relativa promedio del espécimen HW3 es de 0.178 y el de HW1 es de 0.240. Por otro lado, los muros convencionales CHW1 y CHW, ambos disipan una energía relativa promedio igual a 0.37. De acuerdo con estos resultados los muros híbridos disipan entre un 48% a 64% de la energía que disipan los muros a convencionales.
CONCLUSIONES
Los muros convencionales son empleados en la práctica por su aporte de rigidez y resistencia lateral elevados; sin embargo, las evidencias de investigaciones experimentales y lo observado en terremotos han mostrado daño significativo en los muros, los que pueden significar una reparación costosa. Una alternativa sugiere el empleo de muros postensados, el cual tiene comportamiento elástico no lineal, con recentrado, sin embargo, estos muros no tienen la capacidad de disipar energía, lo que se traduce en daño no estructural y en el contenido, porque generan grandes desplazamientos.
Debido a que los muros postensados tienen una deficiencia de disipación de energía, es posible mejorar su comportamiento adicionándole barras disipadoras de energía, los cuales están insertados en el núcleo central de la base del muro, esto da como resultado los denominados muros híbridos. Los muros híbridos poseen un mecanismo combinado de recentrado y disipación de energía, lo que lleva a un comportamiento denominado de tipo bandera. Este mecanismo disipa una moderada cantidad de energía en comparación a la gran cantidad de energía que disipa un muro convencional dúctil. Además, con el mecanismo de recentrado, por el postensado, las distorsiones laterales residuales son relativamente pequeñas en comparación a la de los muros convencionales dúctiles.
El comportamiento observado en los ensayes de los muros híbridos, muestra que la abertura en la base del muro evita las deformaciones, por tracción, en los extremos inferiores, lo que lleva a generarse una región de comportamiento plástico de una altura del orden del 5% de la altura del muro. Sin embargo, existe la presencia de grietas por esfuerzos de tracción en la base del muro, atribuido al anclaje de los disipadores de energía.
Fueron definidos las curvas del comportamiento no lineal de los materiales, como la curva fuerza desplazamiento del concreto y del acero, y características básicas de un ensayo, como la historia de desplazamiento lateral. En el caso de las acciones de tipo cíclicas reversibles es necesario definir un modelo de histéresis, en nuestro caso empleamos el modelo de tipo kinematic para el acero de disipación de energía, mientras que en el caso de muros convencionales los aceros de refuerzo tienen un comportamiento histerético, semejante al tipo pivot o takeda.
Un parámetro importante a tener en cuenta para comparar modelos con disipadores de energía, como el caso de los muros híbridos, es la comparación de la energía disipada en los ciclos de histéresis, porque este parámetro involucra la resistencia y distorsiones desarrollados en cada ciclo por el muro híbrido. La validación del modelo numérico desarrollado en este artículo, muestra resultados aceptables respecto al experimental, en términos de las energías disipadas por el modelo numérico propuesto y los modelos experimentales, HW1 y HW3, se obtuvieron errores relativos de 8.96% y 3.59%, respectivamente.
Los desplazamientos residuales conocidos también como desplazamientos permanentes al final de la descarga de un ciclo o varios ciclos de histéresis, nos pueden dar una buena idea del nivel de daño de una estructura o elementos. De acuerdo con los resultados obtenidos en este trabajo, los muros híbridos presentan un desplazamiento residual pequeño, menor que 15%, en comparación a los que se presentan en muros convencionales, además, el daño se encuentra focalizado los elementos disipadores de energía por lo que es posible tomar a los muros híbridos como un sistema de protección sísmico, que podría reducir las pérdidas económicas y humanas ante eventos sísmicos de gran magnitud.
En este artículo se ha empleado la definición de la disipación de energía relativa, de acuerdo con el ACI ITG 5.1, de donde se han obtenido, para los muros híbridos HW1 y HW3, un intervalo entre 0.145 y 0.257, los cuales son menores que los obtenidos para los muros convencionales CHW1 y CHW3, que están en el intervalo de 0.336 a 0.412. Esto confirma que los muros convencionales presentan mayor disipación de energía lo que lleva a espera un mayor daño en los muros convencionales.





























