Introducción
El sobrepeso y la obesidad constituyen un problema de salud pública que afecta a la población pediátrica en el ámbito mundial, ya que se encuentra asociado a un incremento en la morbilidad y mortalidad secundario a las complicaciones cardiovasculares.1,2 México es uno de los principales países con alto porcentaje de población infantil con sobrepeso u obesidad.3
Desde que se declaró la pandemia por COVID-19, ante la instauración de diversas medidas, como el confinamiento social, cuyo objetivo fue la limitación de la propagación del virus, se vieron afectadas las actividades cotidianas de la población general.4,5 Sin embargo, dichas medidas no sólo limitaron la transmisión del virus, sino que también dieron lugar a una vida sedentaria, ante la imposibilidad de realizar actividades al aire libre, además de haber cambios hacia el consumo de alimentos poco saludables.4 Como consecuencia, existen estudios que documentan que estos cambios en el estilo de vida se asociaron con el incremento ponderal y, en su caso, el agravamiento de la obesidad.6,7 Pero poco se ha abordado sobre el riesgo cardiovascular, lo cual incluye, entre otros factores, la actividad física, tabaquismo, obesidad, hipertensión arterial y dislipidemia, los cuales participan en el desarrollo de enfermedad ateroesclerótica.8,9
Derivado de la pandemia por COVID-19, se ha demostrado que las tasas de sobrepeso y obesidad en los adolescentes aumentó; sin embargo, hay pocos datos sobre su efecto en el riesgo cardiovascular.10,11 De ahí, que el objetivo del presente estudio fue identificar el impacto del confinamiento social por COVID-19 sobre el riesgo cardiovascular en adolescentes con sobrepeso u obesidad.
Material y métodos
Sujetos
Se realizó un estudio de cohorte retrospectivo de enero de 2019 a diciembre de 2022 en un centro pediátrico de tercer nivel de atención. Se incluyeron adolescentes de 10 a 18 años con diagnóstico de sobrepeso u obesidad (índice de masa corporal [IMC] > percentil 85 y > percentil 95 según las Tablas de crecimiento de los Centros para el Control y Prevención de Enfermedades [CDC] de 2000, respectivamente), quienes tuvieron seguimiento por la consulta externa de endocrinología pediátrica al menos, seis meses antes del inicio de las medidas de distanciamiento social por la pandemia por COVID-19 y 30 meses después. Los criterios de exclusión fueron pacientes con obesidad sindromática y con datos incompletos en el expediente clínico. Se incluyeron cuatro evaluaciones: previo a la pandemia (año 2019), así como a los seis, a los 12 (año 2020) y a los 30 meses (año 2022) después de haber iniciado la pandemia.
En el servicio de endocrinología, los pacientes con sobrepeso u obesidad que requieren seguimiento son aquéllos con dos o más morbilidades relacionadas a la obesidad (dislipidemia, diabetes mellitus, etcétera), y que no mejoran después del cambio de estilo de vida durante seis meses. De manera general estos pacientes reciben indicaciones para seguir una dieta personalizada (según IMC y edad) y para realizar ejercicio de manera regular, pero hay pacientes que requieren la prescripción de medicamentos para mejorar niveles séricos de glucosa y de lípidos, como metformina o bezafibrato.
Del expediente se obtuvieron los datos antropométricos, concentraciones plasmáticas en ayunas de lípidos (colesterol total [CT], colesterol de lipoproteínas de alta densidad [HDLc], colesterol de lipoproteínas de baja densidad [LDLc], triglicéridos [TGL]), glucosa e insulina.
Antropometría
Como parte del protocolo de atención al paciente en el servicio de endocrinología pediátrica, el personal médico realiza habitualmente la medición antropométrica de cada paciente; este personal previamente tiene un proceso de estandarización antes de realizar las mediciones. La estatura se mide con estadiómetro SECA modelo 769, el perímetro de cintura con cinta métrica marca SECA, mientras que el peso con una báscula marca Tanita BC-568 Segmental Body Composition Monitor (Tokio, Japón). Cada medición se realiza con el paciente descalzo y con ropa ligera.
Medición del perfil cardiometabólico
Después de un mínimo de 12 horas de ayuno, se obtuvieron las muestras de sangre del antebrazo a través de la vena antecubital entre las 07:00 y 08:00 a. m. La glucosa, triglicéridos, CT, HDLc se determinaron por métodos enzimáticos colorimétricos (Bayer Diagnostics, Puteaux, Francia); el LDLc fue calculado.
Definiciones de las alteraciones cardiometabólicas
La hipertrigliceridemia se consideró con triglicéridos ≥ 150 mg/dL.5,12 HDLc reducido < 40 mg/dL en hombres y < 50 mg/dL en mujeres. Colesterol LDL alterado > 130 mg/dL. Glucosa en ayuno alterada: glucosa sérica basal > 100 mg/dL. Diabetes mellitus (DM2) cuando la glucosa en ayunas ≥ 126 mg/dL, o con glucemia plasmática venosa en cualquier momento > 200 mg/dL (11.1 mmol/L), o glucemia plasmática venosa 2 horas tras sobrecarga oral de glucosa (1.75 g/kg; máximo 75 g) ≥ 200 mg/dL.
Por su parte, se consideró síndrome metabólico (SM) por la presencia de obesidad abdominal (perímetro abdominal mayor al percentil 90)13 y al menos dos de los siguientes criterios: nivel sérico de triglicéridos > 150 mg/dL, niveles de colesterol HDL < 40 mg/dL, tensión arterial ≥130/85 mmHg y glucosa en ayuno > 100 mg/dL, de acuerdo con los criterios de la Federación Internacional de Diabetes (IDF).14,15
La escala de riesgo cardiovascular de Alustiza se evaluó otorgando a cada ítem una puntuación: (a) edad: 2-5 años (0 puntos), 6-12 años (2 puntos), >13 años (3 puntos); (b) sexo: mujer (0 puntos), varón (2 puntos); (c) antecedentes familiares: ausentes (0 puntos), bioquímicos + (2 puntos), clínicos + (4 puntos); (d) ejercicio: > 2 h/día y TV < 3 h/día (0 puntos), < 2 h/día y TV > 3 h/día (1 punto); (e) tabaquismo/ alcoholismo: ausente (0 puntos), presente (1 punto); (f) obesidad: IMC < percentil 95 (0 puntos), > percentil 95 (1 punto); (g) presión arterial: < percentil 95 (0 puntos), > percentil 95 (1 punto); (h) colesterol: CT 150-199, LDLc 100-109 (0 puntos), CT 200-220, LDLc 110-130 (1 punto), CT 221-230, LDLc 131-160 (2 puntos), CT 231-280, LDLc 161-190 (3 puntos), CT > 281, LDLc >190 (6 puntos). Con este puntaje se estableció el riesgo cardiovascular de la siguiente forma: riesgo bajo: 0 a 6 puntos; medio: 7-8 puntos; alto: ≥ 9 puntos.8,9
Análisis estadístico
Las pruebas de Kolmogorov-Smirnov revelaron que las variables cuantitativas tenían una distribución no paramétrica, por lo que se presentan como mediana, mínimo y máximo. Por su parte, las variables cualitativas se describen con frecuencias simples y proporciones.
Para comparar las modificaciones de los factores cardiovasculares entre la medición basal (año 2019) con la final (año 2022) se utilizó la prueba de Wilcoxon para las variables cuantitativas, y prueba exacta de Fisher para las cualitativas. Se consideró estadísticamente significativo un valor de p < 0.05. Se utilizó STATA v.14.0 para los análisis estadísticos.
Resultados
Descripción de los pacientes al inicio del seguimiento
Se incluyeron 40 pacientes; la mediana para la edad fue de 11 años, con predominio del sexo masculino (62.5%), y 60% presentaba obesidad; de los pacientes con obesidad, 58% eran hombres y 42% eran mujeres. Alrededor de la mitad de los pacientes presentaban alguna comorbilidad relacionada a la obesidad, siendo la más frecuente el síndrome metabólico (Tabla 1).
Tabla 1: Datos generales y cardiovasculares de los pacientes antes del confinamiento por COVID-19 (año 2019) (N = 40).
| Variables | n (%) |
|---|---|
| Edad (años)* | 11 [10-14] |
| Sexo | |
| Femenino | 15 (37.5) |
| Masculino | 25 (62.5) |
| Peso (kg)* | 60 [37.1-110.3] |
| Estatura (cm)* | 152 [132-183] |
| IMC (kg/m2)* | 26.4 [20.7-44.3] |
| Score Z (IMC)* | 2.06 [1.23-2.99] |
| Perímetro de cintura (cm)* | 91.7 [77.0-120.0] |
| Estado de nutrición | |
| Sobrepeso | 16 (40.0) |
| Obesidad | 24 (60.0) |
| Comorbilidades relacionadas a la obesidad | 21 (52.5) |
| Síndrome metabólico | 17 (42.5) |
| Dislipidemia mixta | 2 (5.0) |
| Enfermedad del hígado graso no alcohólico | 1 (2.5) |
| Síndrome de apnea-hipopnea durante el sueño | 1 (2.5) |
COVID-19 = enfermedad por coronavirus 2019. IMC = índice de masa corporal.
* Valores expresados en mediana y rango [mínimo-máximo].
Con respecto a las medidas antropométricas previo al inicio de la pandemia (año 2019), la mediana del score Z del IMC fue de 2.06; mientras que en cuanto al perfil bioquímico la mediana de las concentraciones séricas de triglicéridos era > 150 mg/dL y las de HDLc < 40 mg/dL, lo cual se considera anormal (Tabla 2).
Tabla 2: Antropometría, perfil bioquímico y alteraciones cardiometabólicas de los pacientes durante el seguimiento (N = 40).
| Variables | Basal (2019) |
6 meses (2020) |
12 meses (2020) |
18 meses (2021-2022) |
|---|---|---|---|---|
| Mediana [mínimo-máximo] | ||||
| Antropometría, perfil bioquímico y puntaje del riesgo cardiovascular | ||||
| Score Z del IMC | 2.06 [1.23-2.99] | 2.06 [1.1-3.8] | 2.10 [1.02-2.85] | 2.05 [0.84-2.99] |
| Presión arterial sistémica, mmHg | ||||
| Sistólica | 120 [90-140] | 115 [90-140] | 120 [90-135] | 120 [80-140] |
| Diastólica | 70 [50-90] | 62.5 [55-85] | 68 [52-98] | 70 [60-100] |
| Glucosa, mg/dL | 95 [82-159] | 91.8 [77.6-118.0] | 94.2 [87.0-118.6] | 87.6 [71.1-108.0]* |
| Colesterol total, mg/dL | 165 [110-289] | 156.2 [80.0-252.0] | 171.4 [116.3-268.0] | 168.5 [111.0-294.0]* |
| LDLc, mg/dL | 72.3 [38.8-116.4] | 78.6 [53.0-141.2] | 88.5 [50.9-133.0] | 91.6 [45.3-128.9]* |
| HDLc, mg/dL | 36.0 [18.7-58.0] | 35.9 [24.6-74.0] | 32.8 [22.8-69.3] | 32.7 [21.0-60.0] |
| Triglicéridos, mg/dL | 168.1 [72.0-381.0] | 180.1 [64.0-777.9] | 188.8 [63.0-410.3] | 188.9 [92.0-434.0] |
| Índice de Alustiza | 7 [3-13] | 6 [4-10] | 7 [4-11] | 7 [3-14]* |
| Factores cardiometabólicos, n (%) | ||||
| Hiperglucemia | 7 (17.5) | 3 (7.5) | 3 (7.5) | 3 (7.5) |
| Hipertrigliceridemia | 26 (65.0) | 31 (77.5) | 33 (82.5) | 35 (87.5)* |
| HDLc disminuido | 33 (82.5) | 31 (77.5) | 33 (82.5) | 35 (87.5)* |
| LDLc alto | 4 (10.0) | 6 (15.0) | 11 (27.5) | 14 (35.0) |
| Hipertensión arterial | 13 (32.5) | 6 (15.0) | 13 (32.5) | 17 (42.5) |
| Obesidad | 24 (60.0) | 23 (57.5) | 23 (57.5) | 22 (56.4) |
| Síndrome metabólico | 9 (22.5) | 5 (12.5) | 11 (27.5) | 13 (32.5)* |
HDLc = colesterol de lipoproteínas de alta densidad. IMC = índice de masa corporal. LDLc = colesterol de lipoproteínas de baja densidad.
* p < 0.05.
Modificación de los factores cardiometabólicos durante el seguimiento
También en la Tabla 2 se muestran los datos que se registraron en cada una de las evaluaciones realizadas en el seguimiento. En general, se observa que, en la medición a los seis meses de seguimiento, pareciera que hubo cierta mejoría tanto de los datos antropométricos como bioquímicos (con excepción de triglicéridos), pero posteriormente regresaron a los valores iniciales. Sin embargo, desde el punto de vista estadístico hubo disminución estadísticamente significativa (p < 0.05) entre el valor basal y final en los niveles de glucemia, pero incrementaron las concentraciones séricas de CT y LDLc (p < 0.05). Esto último, también se vio en la frecuencia de hipertrigliceridemia (65.0 vs 87.5%), HDLc disminuido (82.5 vs 87.5%) y de síndrome metabólico (22.5 vs 32.5%).
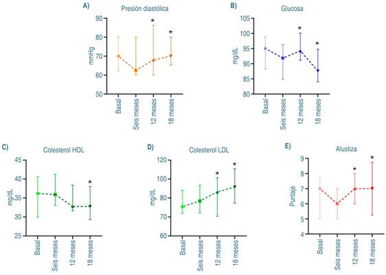
Cuando se comparó el índice de Alustiza previo a la pandemia (2019) y a los 18 meses de seguimiento se observó un incremento con significancia estadística, de una mediana de 7 (valor mínimo 3, máximo13) vs 7 (mín. 3, máx. 14), p < 0.05 (Tabla 2). Mientras que, de acuerdo al puntaje de riesgo cardiovascular riesgo bajo, medio y alto, se identificó un incremento en la proporción del riesgo alto a los 18 meses de seguimiento, en comparación al inicio (12.5 vs 25.0%, p < 0.05), lo cual se observa en las Figuras 1 y 2.

A) Presión arterial diastólica: *6 vs 12 meses, *6 vs 18 meses. B) Glucosa: *basal vs 6 meses, *basal vs 18 meses, *12 vs 18 meses. C) Colesterol HDL: *basal vs 18 meses. D) Colesterol LDL: *basal vs 12 meses, *basal vs 18 meses. E) Puntaje Alustiza: *6 vs 12 meses, *6 vs 18 meses.
*p < 0.05. HDL = lipoproteínas de alta densidad. LDL = lipoproteínas de alta densidad.
Figura 1: Comparación del perfil de lípidos, puntaje de riesgo cardiovascular y presión arterial con cambios estadísticamente significativos durante el seguimiento.
Por último, debemos señalar que dado que se identificaron pacientes en quienes bajaron los niveles séricos de glucosa a pesar de presentar incremento de la dislipidemia, se buscaron posibles causas, encontrando que 65% (n = 26) recibía tratamiento con metformina, 17.5% (n = 7) recibía metformina y benzafibrato, 7.5% (n = 3) recibió benzafibrato; por el contrario, sólo 10% (n = 4) no recibió alguno de estos dos medicamentos durante el seguimiento.
Discusión
Durante la pandemia de COVID-19 en México, el confinamiento fue una medida crucial para reducir la transmisión del virus. Aunque efectivo, este aislamiento tuvo consecuencias negativas en el estilo de vida de la población, como la reducción de la actividad física y el aumento del sedentarismo debido al cierre de espacios recreativos y escuelas. Además, el confinamiento llevó a cambios en los hábitos alimenticios, ya que fue más difícil la adquisición de alimentos frescos y económicos como frutas y verduras, y se aumentó el consumo de alimentos no perecederos ricos en carbohidratos simples. Como se mostró en los resultados de este estudio, los cambios en el estilo de vida afectaron la salud cardiovascular en adolescentes con sobrepeso u obesidad, reflejado en el aumento de dislipidemia y el riesgo cardiovascular, en este caso, evaluado por el índice de Alustiza.
De manera similar a nuestros resultados, Woo y colaboradores analizaron el impacto del confinamiento en 97 niños y adolescentes con sobrepeso u obesidad, observando un incremento significativo en el z-score del IMC (2.56 [IC95% 2.01-2.94] vs 2.62 [IC95% 2.03-3.18]), la presión arterial sistólica y diastólica (p = 0.009 y p = 0.030 respectivamente), los triglicéridos (p = 0.013), y una notable disminución del colesterol HDL (p < 0.001).12 Otro estudio, donde se analizó una cohorte retrospectiva de 226 niños coreanos de cuatro a 14 años también durante el confinamiento reportó aumento en el z-score del IMC (0.219 [IC95% 0.167-0.271]; p < 0.001) y en los niveles de triglicéridos y colesterol LDL.5 Por su parte, Mondaca y su equipo en un estudio con 104 niños chilenos con sobrepeso u obesidad, encontraron aumento significativo en el peso corporal, el IMC, el z-score del IMC, y los triglicéridos en el grupo confinado comparado con un grupo sin confinamiento.16
Debemos hacer énfasis en que en el grupo que estudiamos, se observó reducción en los niveles de glucosa, lo cual fue atribuido a la administración de metformina a 82.5% de los pacientes, pero no afectó el riesgo cardiovascular. Al respecto, se conoce que metformina mejora la actividad de la lipoproteinlipasa (LLP), lo que mejora los niveles de los triglicéridos;17 sin embargo, no desarrolla la expresión sobre el receptor del colesterol LDL y en consecuencia sin el descenso de los niveles de colesterol LDL, ni el riesgo cardiovascular; esto último se vio reflejado en los pacientes que estudiamos, ya que no se detuvo la progresión y aumentó la frecuencia de síndrome metabólico a los 18 meses de seguimiento. Además, el estudio reveló que el confinamiento derivó en sedentarismo, lo cual contribuyó a la reducción del colesterol HDL, ya que disminuye la actividad de LLP, crucial en el metabolismo de las lipoproteínas.18
Los resultados del presente estudio deben ser sopesados con respecto a sus limitaciones; el principal fue el tamaño de muestra, de un total de 543 pacientes inicialmente captados sólo 40 cumplieron con los criterios de selección; al respecto debemos recordar que derivado del confinamiento muchos pacientes con diferentes enfermedades crónicas dejaron de asistir a las unidades médicas de manera regular. Suponemos que aquéllos que no continuaron con el seguimiento médico, tuvieron peores desenlaces. A pesar de lo anterior, nuestros hallazgos subrayan la necesidad de implementar estrategias multidisciplinarias y accesibles para garantizar que los pacientes pediátricos con sobrepeso y obesidad puedan mantener un estilo de vida saludable, incluyendo actividad física regular y una dieta equilibrada, independientemente de las circunstancias sociales de cada región o país.















