INTRODUÇÃO
Enquanto objeto de estudo das Probabilidades, a incerteza tem-se assumido cada vez mais como uma área com aplicação crescente nas sociedades atuais, levando Hacking (1987) a afirmar que a nossa visão atual do mundo é permeada pelas Probabilidades. Tal interesse reflete-se em variados setores das sociedades contemporâneas, como sejam a investigação científica, o Estado, a política, as empresas e a vida das pessoas, neste último caso, tanto ao nível do emprego, como na sua vida quotidiana.
Os jogos de sorte e azar estão na origem da teoria das Probabilidades como disciplina científica, em resultado dos dois problemas colocados por Chevalier de Méré a Pascal: o problema sobre se seria mais provável obter pelo menos um 6 numa série de quatro lançamentos de um dado ou obter pelo menos um duplo 6 numa série de 24 lançamentos de dois dados e o problema da divisão das apostas num jogo com dados que teve de ser interrompido sem que nenhum dos dois jogadores tivesse ganho (Freudenthal, 1973). Portanto, constata-se que os jogos de sorte e azar estão presentes na teoria das Probabilidades desde a sua origem, que ocorreu no século XVII (Hacking, 1975).
Os jogos, em geral, têm desempenhado um papel importante na aprendizagem da matemática, talvez ainda mais no caso das Probabilidades. Segundo Koparan (2019), “a aprendizagem baseada em jogos enriquece o contexto de aprendizagem, melhora o desempenho e aumenta a motivação dos estudantes, fornece a oportunidade de trabalhar em grupo e proporciona um ambiente de aprendizagem divertido” (p. 236).
Embora os jogos não tenham necessariamente de estar prescritos nos curricula oficiais, eles podem ser encarados como estratégia de ensino e de aprendizagem. Nos programas escolares portugueses atuais encontramos algumas referências aos termos “jogo” ou “jogos” nas “Ações Estratégicas de Ensino do Professor”. Tais referências têm maior incidência nos programas do 1.º ao 4.º ano do que nos programas do 5.º ao 12.º ano (Ministério da Educação, 2021, 2023a). Já no programa de matemática dos cursos profissionais inclui-se um módulo opcional intitulado “Modelos Matemáticos dos Jogos”, perspetivado mais numa vertente de conteúdo do que de estratégia de ensino e aprendizagem (Ministério da Educação, 2023b).
De entre os jogos probabilísticos distinguem-se dois tipos: os jogos probabilísticos equitativos e os jogos probabilísticos não equitativos. Os jogos equitativos têm sido objeto de variada investigação educacional, cujos resultados mostram que o desempenho dos estudantes melhora com o nível de escola-ridade (Fischbein e Gazit, 1984; Ortiz et al., 2012), melhora com o estudo prévio de probabilidades (Fischbein e Gazit, 1984; Guerrero et al., 2016, 2017) e é muito limitado quando se trata de impor que um jogo seja equitativo (Guerrero et al., 2017; Scholttmann e Anderson, 1994). Hernández-Solís et al. (2021) concluem que este tipo de problemas pode ser usado como ponto de partida para a acção educativa promovendo a discussão entre os estudantes. Já os jogos probabilísticos não equitativos têm sido menos estudados, o que destaca a importância da realização de estudos sobre esse tipo de jogos.
Neste contexto, com o presente trabalho, pretende-se estudar a realização de estudantes portugueses, do ensino superior, em dois jogos probabilísticos não equitativos envolvendo a noção de esperança matemática. Para o efeito, esta-beleceram-se dois objetivos: 1) estudar o desempenho dos estudantes nos jogos probabilísticos; e 2) identificar as estratégias usadas pelos estudantes para obter as suas respostas.
Concluída esta secção, continua-se com a secção do enquadramento teórico, onde se reveem e discutem noções dos jogos probabilísticos e o desempenho de estudantes na exploração desses jogos. Na secção seguinte descreve-se a metodologia adotada no estudo, especificando-se os participantes, a recolha de dados e os métodos de análise de dados, e prossegue-se com a secção de apresentação dos resultados obtidos. Por último, na secção de conclusão sintetizam-se os principais resultados do estudo e extraem-se algumas implicações para a formação de estudantes do ensino superior na temática dos jogos.
ENQUADRAMENTO TEÓRICO
Num jogo probabilístico, podem-se considerar duas situações distintas envolvendo a proporcionalidade direta e a proporcionalidade inversa. Na proporcionalidade direta, o prémio de cada jogador é diretamente proporcional à probabilidade do jogador vencer o jogo, o que significa que quanto maior for a probabilidade do jogador ganhar o jogo, maior (proporcionalmente) será o prémio que ele deve receber. Assim, conhecendo o prémio total em jogo, que é a constante de proporcionalidade direta, o prémio de cada jogador é dado pelo produto do prémio total em jogo e a sua probabilidade de ganhar o jogo. Portanto, sendo
P
o prémio total em jogo e p a probabilidade de o jogador ganhar o jogo, o ganho g desse jogador pode ser determinado pela esperança matemática, isto é:
Já na proporcionalidade inversa, o prémio de cada jogador é inversamente proporcional à probabilidade do jogador ganhar o jogo, o que significa que quanto maior for a probabilidade do jogador ganhar o jogo, menor (proporcionalmente) será o prémio que ele deve receber. Numa situação em que intervêm dois jogadores, com probabilidades
Em particular, quando as probabilidades de os jogadores ganharem o jogo são iguais, conclui-se imediatamente que os ganhos dos jogadores também são iguais, seja recorrendo à proporcionalidade direta ou inversa, e, assim, o jogo em questão também é equitativo (Cañizares et al., 1999). No presente estudo, os estudantes do ensino superior exploraram dois jogos de proporcionalidade direta e em que ambos os jogadores têm diferentes probabilidades de vencer, tratando-se, por isso, de jogos não equitativos.
Por ter surgido mais cedo que a ideia de probabilidade, parece pertinente considerar a ideia de esperança matemática como sendo mais intuitiva do que a própria ideia de probabilidade (Heitele, 1975). A este respeito, Scholttmann e Anderson (1994) estudaram as intuições de crianças de 5 a 10 anos, recorrendo a dois tipos de jogos de sorte e azar em que a criança é o único jogador: 1) jogos com um só prémio, em que a criança pode obter ou não um prémio, no caso de se obter um de entre os dois resultados de uma experiência aleatória; e 2) jogos com dois prémios, em que a criança obtém sempre um prémio, embora de valor diferente, consoante o resultado de uma experiência aleatória com dois resultados possíveis. Do estudo, os autores concluíram que mesmo as crianças mais novas tinham uma intuição correta do conceito de esperança matemática e consideravam tanto a probabilidade de ganhar o jogo como o valor do prémio para decidir se o jogo é, ou não, equitativo. Todavia, tiveram dificuldades para transformar um jogo não equitativo em equitativo.
Green (1982) desenvolveu e aplicou um teste sobre conceitos elementares de Probabilidades, Estatística e Combinatória a alunos do ensino secundário e pré-secundário, com idades compreendidas entre os 11 e 16 anos. Num dos itens do teste, relativo ao lançamento de um dado, indagavam-se os alunos sobre o prémio que devia receber um jogador que ganhava o jogo quando saísse um 1, quando o outro jogador recebia 1 centavo quando saísse um 2, 3, 4, 5 ou 6, se o jogo fosse equitativo. Os resultados obtidos indicaram que 58% dos alunos responderam corretamente, ao afirmarem que o jogador devia receber 5 centa-vos. Trata-se, portanto, de um desempenho satisfatório dos alunos. Este resultado satisfatório aumentou, sistematicamente, com o avanço do ano de escolaridade.
Já no estudo de Fischbein e Gazit (1984), alunos do 5.º, 6.º e 7.º ano (10-13 anos) participaram numa experiência de ensino sobre conteúdos elementares de Probabilidades. Nos questionários de avaliação da experiência de ensino incluía-se um item interrogando os alunos sobre se a obtenção de um berlinde branco de uma caixa com 10 berlindes brancos e 20 pretos ou de uma caixa com 30 berlindes brancos e 60 pretos é um jogo equitativo. A igual probabili-dade de obter um berlinde branco de qualquer das caixas foi afirmada por 49,6% de todos alunos, sendo de 24,2%, 51,6% e 71,0%, respetivamente, no 5.º, 6.º e 7.º ano. Portanto, verificou-se um aumento da percentagem de respostas corretas com o avanço do nível de escolaridade. Já entre o grupo experimental e de controlo não se observaram grandes diferenças, o que significa que a experiência de ensino não melhorou as respostas dos alunos neste item que envolvia a proporcionalidade. No entanto, muito menos alunos justificaram as suas respostas corretas e poucos mais alunos do grupo experimental referiram, de forma explícita, a igualdade das razões de probabilidade em ambas as caixas.
Cañizares et al. (1999) conduziram um estudo com alunos do 5.º e 6.º ano do ensino primário (10-12 anos) e do 1.º e 2.º ano da Educación Secundaria Obligatoria (ESO), de idades compreendidas entre os 10 e os 14 anos e sem en-sino prévio de Probabilidades. Num jogo entre dois jogadores, os alunos deviam responder a dois itens: num eles deviam verificar que o jogo é equitativo (item antes referido, de Fischbein e Gazit, 1984) e no outro deviam indicar o prémio de um dos jogadores sabendo o prémio do outro e que o jogo é equitativo (item antes referido, de Green, 1982). Em termos globais, constatou-se que 35% classi-ficou corretamente o jogo como sendo equitativo e 53% indicou o valor correto do prémio do jogador. Além disso, o desempenho dos alunos aumentou com o nível escolar, sobretudo entre o ensino primário e a ESO, e com o aumento do rendimento em matemática. Embora estes resultados possam indiciar que os alunos possuem um substrato intuitivo que lhes permitiria estudar na escola esse conteúdo, o estudo também demonstrou que muitos alunos adotaram estratégias limitadas na sua aplicabilidade, das quais se salientaram as comparações absolutas do número de casos favoráveis e de casos desfavoráveis.
Comparando os resultados obtidos nos dois itens antes estudados, concluise que a percentagem de respostas corretas no estudo de Fischbein e Gazit (1984) foi superior à do estudo de Cañizares et al. (1999), 49,6% versus 35%, e nos estudos de Green (1982) e de Cañizares et al. (1999) essa discrepância foi menor, 58% versus 53%. No primeiro caso, o melhor desempenho pode ter resultado da intervenção de ensino de Probabilidades, e no segundo caso pode dever-se a alguns alunos frequentarem um nível escolar mais avançado.
Além de outras questões, os mesmos itens de Fischbein e Gazit (1984) e de Green (1982), e usados por Cañizares et al. (1999), também foram aplicados a alunos do 6.º ano, com idades de 11 ou 12 anos, por Hernández-Solís et al. (2021), que obtiveram 16,4% e 32,7% de respostas corretas, respetivamente. Portanto, em comparação com os estudos de Fischbein e Gazit (1984), de Green (1982) e de Cañizares et al., verificou-se que os alunos do 6.º ano tiveram um pior desempenho em qualquer dos dois itens, mais acentuado no item de Fischbein e Gazit (1984). Em todos estes estudos, entre os dois itens, mantém-se, sistematicamente, um pior desempenho no item de Fischbein e Gazit (1984). Este resultado deve-se ao facto de o número de bolas de bolas brancas ser muito superior numa das caixas (o triplo), o que levou os alunos a afirmaram, erradamente, ser mais provável obter uma bola branca dessa caixa.
Perante as dificuldades sentidas pelos alunos no estudo de Hernández-Solís et al. (2021), os autores sugerem que se inclua na aula e nos manuais escolares tarefas que explorem a equidade dos jogos, especificando que:
...não só no caso em que todos os jogadores têm a mesma probabilidade de ganhar e obtenham o mesmo prémio, mas também explorar situações em que as probabilidades dos jogadores sejam diferentes e se devam equiparar os prémios igualando as esperanças de lucro. (p. 240)
Guerrero et al. (2016) conduziram um estudo com alunos espanhóis (16-18 anos) do 1.º e 2.º ano do curso de Bachillerato, em que foi usada uma tarefa formada por vários labirintos, antes usada por Green (1982) e Cañizares (1997), à qual foram acrescentados dois itens sobre a noção de esperança matemática. Em termos de resultados, num dos itens, a percentagem de respostas corretas foi de 43,3% no 1.º ano e 57,6% no 2.º ano, enquanto, no outro item, essa percentagem foi de 30% no 1.º ano e 57,6% no 2.º ano. Portanto, verificou-se que os alunos do 2.º ano, que tinham estudado Probabilidades no ano escolar anterior, tiveram um melhor desempenho do que os alunos do 1.º ano.
Salienta-se ainda uma elevada adesão dos alunos ao enviesamento de equiprobabilidade (Lecoutre e Durand, 1988), com 24,7% dos alunos do 1.º ano e 20,2% dos do 2.º ano, em qualquer dos itens. Neste tipo de erro, os alunos tendem a admitir que acontecimentos de natureza aleatório são por natureza equiprováveis e que não se podem fazer previsões sobre o resultado a obter. Assim, considerando os melhores resultados obtidos pelos alunos do 2.º ano, maiores percentagens de respostas corretas e menores percentagens de respostas erradas, os autores concluíram que a experiência de ensino de Probabilidades por que tinham passado esses alunos foi eficaz, declarando que na compreensão ou intuição da esperança matemática “os alunos parecem intuir o valor esperado da frequência com que se obtém um acontecimento na repetição de uma experiência” (Guerrero et al., 2016, p. 34).
Num estudo posterior, Guerrero et al. (2017) investigaram alunos espanhóis, também do 1.º e 2.º ano do curso de Bachillerato, na resolução de duas questões, cada uma com dois itens: na primeira, envolvendo a experiência aleatória de lançamento de duas moedas e dois jogadores com prémios iguais, questionava-se a preferência por algum dos jogadores e a quantia que devia ganhar um dos jogadores para que o jogo fosse equitativo; e, na segunda, envolvendo a experiência aleatória de lançamento de um dado e dois jogadores com prémios diferentes, perguntava-se se algum dos jogadores tinha vantagem no jogo e quanto devia ganhar cada jogador numa série de jogos. Em termos de percentagens de respostas corretas, em cada um dos quatro itens, os alunos do 1.º ano obtiveram 66,7%, 11,7%, 20% e 30% e os alunos do 2.º ano obtiveram 77,3%, 18,2%, 34,6% e 48,4%, respetivamente. Perante estes resultados, os autores concluíram que os alunos foram capazes de reconhecer o jogador que tinha vantagem, mas tiveram muitas dificuldades nos restantes itens, revelando que o conceito de esperança matemática não é tão intuitivo como Heitele (1975) supôs. Já os piores resultados obtidos no segundo item mostram quão difícil foi para os alunos explorarem a proporcionalidade inversa. Em geral, confirmam-se os resultados obtidos no estudo de Guerrero et al. (2016), designadamente, a adesão ao enviesamento de equiproba-bilidade (Lecoutre e Durand, 1988) e o melhor desempenho dos alunos do 2.º ano, os quais já tinham estudado Probabilidades no ano anterior.
Hourigan e Leavy (2020) conduziram um estudo acerca da compreensão da equidade probabilística por futuros professores do ensino elementar, em que lhes foi pedido para definirem atividades equitativas e não equitativas para serem usadas em aulas do ensino primário. Os resultados do estudo mostram que a maioria dos estudantes conseguiu conceber atividades para ilustrar o conceito de equidade probabilística em vários geradores aleatórios. Em particular, os estudantes revelaram uma maior facilidade no caso das fichas e roletas, enquanto cartas e dados constituíram um maior desafio para os estudantes. Segundo os autores, compreendem-se as maiores dificuldades experimentadas pelos estudantes no caso das cartas por nesse gerador estarem implicados dados multivariados.
Ortiz et al. (2012) realizaram um estudo em que, além de outras questões, aplicaram também os dois itens antes usados por Cañizares et al. (1999), que tinham sido tomados de Fischbein e Gazit (1984) e de Green (1982), agora a futuros professores dos primeiros anos. No item de Fischbein e Gazit (1984), 70,6% dos futuros professores concluíram que o jogo era equitativo com base em argumentos adequados (correspondência e multiplicativo4), respondendo, portanto, corretamente. No item de Green (1982), 77,2% dos futuros professores concluíram que o jogo não era equitativo. Assim, responderam corretamente e destes 69,5% argumentaram com a comparação das probabilidades de os adversários ganharem. Daí, verificar-se que o desempenho dos futuros professores foi muito melhor do que o dos alunos que participaram nos estudos anteriores. Para Ortiz et al. (2012), o elevado desempenho dos futuros professores do estudo revela um bom raciocínio probabilístico e uma conceção adequada de jogo equitativo.
Num outro estudo, Mohamed e Ortiz (2012) questionaram futuros professores do ensino primário sobre um problema em que se pedia para avaliarem se se tratava de um jogo equitativo. Nesse jogo, lançam-se dois dados e determina-se a diferença entre o maior e o menor (ou igual) dos valores obtidos, estabelecendo-se que um dos jogadores ganha 1 ficha quando se obtém a diferença 0, 1 ou 2 e o outro jogador ganha também 1 ficha quando se obtém a diferença 3, 4 ou 5. Um pouco menos do que metade dos futuros professores (41,7%) respondeu corretamente, 37,8% respondeu incorretamente e 20,5% nem sequer respondeu. Portanto, a maioria dos futuros professores, ao responder incorretamente ou não responder, revelaram um escasso conhecimento do conceito de jogo equitativo. Comparativamente com o estudo de Ortiz et al. (2012), também com futuros professores, estes tiveram um desempenho muito inferior. Essa discrepância, talvez se deva ao facto de neste estudo estar implicada uma experiência composta (lançamento de dois dados), enquanto no estudo de Ortiz et al. (2012), estão implicadas duas experiências simples (extração de um berlinde de uma caixa e lançamento de um dado). O mesmo aconteceu num estudo de Fernandes et al. (2016), em que futuros professores dos primeiros anos sentiram muitas dificuldades numa tarefa envolvendo uma experiência composta.
Mais recentemente, Fernandes et al. (2024) realizaram um estudo sobre um jogo não equitativo com futuros professores portugueses dos primeiros anos. Neste estudo, envolvendo uma experiência aleatória composta, na globalidade dos dois itens, em média, obteve-se 33,5% de respostas corretas e 18,5 % de respostas par-cialmente corretas. Assim, os resultados obtidos não se afastam muito daqueles que foram obtidos por de Mohamed e Ortiz (2012) num jogo equitativo.
Koparan (2019) investigou a realização de seis jogos probabilísticos, por futuros professores de matemática, explorados no contexto de uma intervenção de ensino em que se destacam três momentos, nos quais os estudantes deviam: 1) formular e registar as suas previsões sobre o que aconteceria; 2) observar e registar os resultados da simulação do jogo, recorrendo a materiais concretos (por exemplo, moedas, dados, cartas) e a computadores; e 3) explicar e registrar os resultados obtidos tendo em vista obter uma justificação teórica. Os resultados obtidos revelam que os estudantes tiveram dificuldades em fazer previsões antes de praticarem os jogos ou fizeram previsões incorretas. Assim sendo, os estudantes não desenvolveram estratégias adequadas para efetuar as previsões e manifestaram intuições erradas. Já as explicações dadas pelos estudantes após a prática dos jogos através da simulação foram, em geral, corretas. O autor concluiu que os jogos e a simulação contribuíram para ligar o conhecimento de probabilidade dos estudantes a situações da vida real, promover o conhecimento matemático subjacente aos jogos e compreender a relação entre as probabilidades frequencista e teórica. Finalmente, os estudantes manifestaram uma opinião muito favorável, considerando que a prática dos jogos, o material concreto e a simulação permitem um ensino de probabilidades mais agradável e divertido.
Posteriormente, dois dos jogos estudados por Koparan (2019) foram estudados por Alveal e Koparan (2023). Participaram no estudo futuros professores de matemática chilenos que, organizados em grupos, interagiram à distância e recorreram à folha de cálculo ou outro software para efetuar simulações. Também neste estudo, a maioria dos estudantes classificaram corretamente os jogos em equitativo e não equitativo. Para tal, determinaram as probabilidades a partir dos resultados das simulações ou da ideia de equiprobabilidade. Contudo, foram poucos os estudantes que apresentaram explicações teóricas.
METODOLOGIA
Na investigação estuda-se o desempenho de estudantes, do ensino superior politécnico, em situações de jogos envolvendo a noção de esperança matemática. Neste este tipo de jogos, para uma dada quantia total em jogo, o prémio a receber pelo jogador é diretamente proporcional à probabilidade desse jogador ganhar o jogo. Ou seja, à maior probabilidade de ganhar o jogo corresponde, proporcionalmente, um maior prémio.
No desenvolvimento do estudo recorreu-se a uma investigação, fundamentalmente, de natureza quantitativa e de tipo descritivo (McMillan e Schumacher, 2014), em que se recorre a métodos rigorosos para analisar uma realidade preexistente, neste caso a realização dos estudantes em situações de jogo envol-vendo a noção de esperança matemática. Trata-se, portanto, de um estudo numa vertente de investigação ex post facto, em que se analisa uma realidade existente sem nela intervir (Gall et al. 2003).
Participaram no estudo 49 estudantes de um Instituo Politécnico do norte de Portugal, que se encontravam a frequentar cursos de Licenciatura em Engenharia. Especificamente, 12 estudantes estavam inscritos na Licenciatura em Engenharia Eletrotécnica e os restantes 37 estudantes estavam inscritos na Licenciatura em Engenharia Automóvel. À exceção de um, os estudantes eram do género masculino, com idades compreendidas entre os 19 e os 45 anos e média de 22,3 anos. Os participantes frequentavam o segundo ano (84%) ou terceiro ano (16%) dos respetivos cursos e alguns deles (29%) estavam inscritos no curso há pelo menos mais de um ano do que aquele que frequentavam. Recorrendo a uma escala tipo Likert de quatro pontos (1 - sem dificuldade; 2 - pouca dificuldade; 3 - dificuldade; 4 - muita dificuldade), grande parte dos estudantes percecionaram ter “pouca dificuldade” (51%) ou “dificuldade” (41%) no estudo de Probabilidades no ensino superior, obtendo-se o valor 2,4 para média dos níveis de dificuldade declarados pelos estudantes, um valor próximo do ponto médio da escala, 2,5.
Os dados do estudo foram obtidos através da aplicação de um questionário aos estudantes, em que se incluem três questões de jogo de proporcionalidade direta e outras três de proporcionalidade inversa. Portanto, nas últimas exploram-se jogos equitativos. Conforme referido, neste estudo iremos analisar apenas jogos de proporcionalidade direta, exatamente duas das três questões deste tipo incluídas no questionário (quadro 1).
Quadro 1 Questões propostas aos estudantes
|
Questão 1. Um saco contém 6 bolas brancas e 4 pretas. Sem ver, retira-se uma bola do saco e anota-se a sua cor. Num jogo entre a Ana e o Rui, ganha a Ana se sair uma bola branca e ganha o Rui se sair uma bola preta. a) Estão em jogo 30 rebuçados para distribuir pelos dois jogadores, a Ana e o Rui. Quantos rebuçados deve receber a Ana? E o Rui? Porquê? b) Se a Ana receber 12 rebuçados, quantos rebuçados deve receber o Rui? Questão 2. Lançando um dado duas vezes consecutivas e verificando se nos dois lançamentos se obtiveram faces iguais ou diferentes, estabeleceu-se o seguinte jogo: a) Há 18 rebuçados para distribuir pelos dois jogadores, a Ana e o Rui. Quantos rebuçados deve receber a Ana? E o Rui? Porquê? b) Se o Rui receber 10 rebuçados, quantos rebuçados deve receber a Ana? |
Na questão 1 os estudantes devem determinar probabilidades em experiências simples, de modo a obter o valor 6/10 (3/5 ou 0,6) para probabilidade da Ana ganhar o jogo e valor 4/10 (2/5 ou 0,4) para probabilidade do Rui ganhar o jogo. Seguidamente, devem usar estas probabilidades para determinarem o número de rebuçados que cada jogador deve receber sabendo que estão em jogo 30 rebuçados (item 1a) e o número de rebuçados que o Rui deve receber sabendo que Ana deve receber 12 rebuçados (item 1b).
Embora a questão 2 seja, estruturalmente, análoga à tarefa anterior, distingue-se na medida em que os estudantes devem determinar probabilidades em experiências compostas, de modo a obter os valores 1/6 e 5/6 para probabilidades de Ana e Rui ganhar o jogo, respetivamente. Seguidamente, devem usar estas probabilidades para determinarem o número de rebuçados que cada jogador deve receber sabendo que estão 18 rebuçados em jogo (item 2a) e o número de rebuçados que a Ana deve receber sabendo que Rui deve receber 10 rebuçados (item 2b).
O questionário era anónimo e, antes de responderem, foi explicado aos estudantes em que consistia o estudo e o que era esperado deles. Na resposta ao questionário, os estudantes participaram em regime de voluntariado, podendo desistir da sua participação a qualquer momento, e foi garantida a confidencialidade face a qualquer futura publicação relativa ao estudo.
Além disso, antes das tarefas envolvidas neste estudo, foi dada uma breve explicação sobre jogos de proporcionalidade direta, em que se salienta a proporcionalidade direta entre o prémio a receber pelo jogador e a probabilidade de ele ganhar o jogo (quadro 2).
Quadro 2 Breve explicação sobre jogos de proporcionalidade
|
Nas três questões seguintes, as questões 1, 2 e 3, considere que o prémio que cada jogador recebe deve ser diretamente proporcional à sua probabilidade de vencer o jogo. Portanto, o prémio a atribuir a cada jogador é dado pelo produto do prémio total que está em jogo pela probabilidade desse jogador ganhar o jogo. |
Na altura em que foi aplicado o questionário, os estudantes já tinham concluído o estudo do tema de Probabilidades, que fazia parte da unidade curricular de Estatística. Nesse tema estudam-se os seguintes conteúdos de Probabilidades: Probabilidades elementares; Regra da adição; Probabilidade condicionada; Independência e Teorema de Bayes.
Finalmente, na análise de dados estudaram-se as respostas dadas pelos estudantes aos itens de cada questão. Numa primeira fase, classificaram-se as respostas dadas pelos estudantes como corretas, parcialmente corretas e incorretas. Em seguida, determinaram-se as frequências desses tipos de respostas, bem como de não resposta. Na classificação das respostas teve-se em conta os argumentos implicados numa resposta correta, o que conduziu ao seguinte critério: as corretas cumprem todos os argumentos; as respostas parcialmente corretas cumprem pelo menos um argumento, mas não todos; e as respostas incorretas não cumprem nenhum argumento. Além disso, as respostas que apresentavam apenas os valores finais, sem qualquer explicação de como foram obtidos, foram consideradas incorretas, independentemente de os valores serem corretos ou não.
Uma vez determinados os tipos de respostas, estudaram-se as estratégias usadas pelos estudantes para obterem essas respostas. Para tal, definiram-se diferentes categorias a posteriori e determinaram-se as frequências de cada uma delas. Tanto no caso dos tipos de respostas, como nas estratégias recorreu-se a tabelas para sintetizar as respetivas frequências. Adicionalmente, tendo em vis-ta proporcionar uma melhor compreensão das respostas dos estudantes e da análise realizada, apresentam-se alguns exemplos de respostas dos estudantes, identificados pela letra E (abreviatura de estudante) seguida do número que lhes foi atribuído (de 1 a 49).
RESULTADOS
A apresentação dos resultados do estudo estrutura-se a partir de três subsecções, sendo as duas primeiras relativas a cada uma das duas questões investigadas, a questão 1 e a questão 2, e a terceira de síntese final.
QUESTÃO 1
Nesta questão, envolvendo uma experiência aleatória simples, pedia-se aos estudantes que determinassem o prémio esperado de cada jogador, dado o prémio total em jogo (item 1a), e o prémio esperado de um dos jogadores, conhecido o prémio recebido pelo outro (item 1b).
Na tabela 1 apresentam-se as frequências absolutas (frequências relativas em %) dos diferentes tipos de resposta (correta, parcialmente correta e incorreta) e de não resposta.
Tabela 1 Frequência absoluta (frequência relativa em %) dos tipos de resposta e não resposta nos itens da questão 1
| Tipo de resposta | Itens | |
|---|---|---|
| 1a) | 1b) | |
| Correta | 37 (76) | 35 (71) |
| Parcialmente correta | 7 (14) | ― |
| Incorreta | 5 (10) | 13 (27) |
| Não resposta | ― | 1 (2) |
Destaca-se a elevada percentagem de estudantes que reponderam corretamente a qualquer dos dois itens, ligeiramente superior no item 1a), sendo que as principais diferenças entre os itens residem nas repostas parcialmente corretas, que se verificaram apenas no item 1a), e nas respostas incorretas, que são mais frequentes no item 1b). Já a não resposta praticamente não tem expressão, reduzindo-se a apenas um estudante que não respondeu ao item 1b). Passamos a referir-nos às estratégias usadas pelos estudantes nos diferentes tipos de respostas em cada um dos itens.
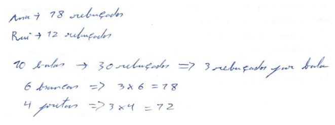
Item 1a). Nas respostas corretas, os estudantes recorreram às estratégias: i) aplicar a noção de esperança matemática (34 estudantes); ii) aplicar a regra de três simples (1 estudante); e iii) atribuir 3 rebuçados por cada bola do saco, branca ou preta (2 estudantes). Na figura 1 e na figura 2 apresentam-se dois exemplos de resolução dos tipos i) e iii), respetivamente.
Considerando a figura 1, verifica-se que o estudante E6 começou por calcular as probabilidades de Ana e Rui vencerem o jogo e, de seguida, multiplicou-as pelo número total de rebuçados em jogo, obtendo, deste modo, o número de rebuçados que devem receber.
Observando a figura 2 percebe-se que o estudante E41 considerou que o núme-ro total de rebuçados em jogo corresponde ao número total de total de bolas, e através da divisão conclui que a cada bola correspondem 3 rebuçados. Daí, multiplica o número de bolas brancos (favoráveis à Ana) e o número de bolas pretas (favoráveis ao Rui) pelo valor 3 e obtém o número de rebuçados que devem receber.
Nas repostas parcialmente corretas, os estudantes recorreram à estratégia iv): determinar corretamente as probabilidades ou os números de rebuçados, mas não ambos (7 estudantes). Estas respostas, as quais não requeriam cálculos complexos, podiam mesmo ser determinadas mentalmente e sem recurso a qualquer registo escrito. Assim, possivelmente, a não existência de dificuldades dos estudantes de-ver-se-á ao facto de se tratar da determinação de probabilidades numa experiência aleatória simples e à facilidade de cálculo dessas probabilidades.
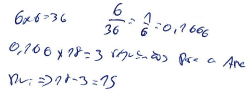
Nas respostas incorretas, os estudantes adotaram as estratégias: v) apresentar probabilidades e números de rebuçados sem explicar como foram obtidos (4 estudantes); e vi) calcular probabilidades e/ou números de rebuçados com erros (1 estudante). Na figura 3 regista-se um exemplo de resolução do tipo v).
Pela figura 3 constata-se que o estudante E36 apresenta apenas valores relativos à Ana e ao Rui sem discriminar o que significam. Apesar dos valores apresentados serem os números corretos de rebuçados que devem receber, a resposta foi considerada incorreta por não apresentar qualquer explicação de como foram obtidos esses valores.
Item 1b). Neste item os estudantes aplicaram as seguintes estratégias para obterem a resposta correta: i) aplicar a noção de esperança matemática (12 estudantes); ii) aplicar a regra de três simples (20 estudantes); e iii) atribuir 2 rebuçados por cada bola do saco, branca ou preta (3 estudantes).
Dos estudantes que adotaram a estratégia i), todos usaram uma equação para determinar o total de rebuçados em jogo. Na figura 4 regista-se a resolução de um estudante que recorreu a esta estratégia.
O estudante E7 definiu a equação que estabelece o número de rebuçados que Ana deve receber, determinando, deste modo, o número total de rebuçados em jogo. Seguidamente, recorreu novamente à noção de esperança matemática para obter o número de rebuçados do Rui.
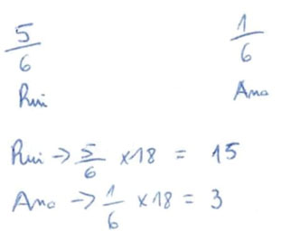
Na estratégia ii) distinguem-se três casos: recorrer à probabilidade 1, que permite determinar o número total de rebuçados em jogo (4 estudantes); usar as probabilidades de cada jogador vencer o jogo, calculadas no item 1a) (14 estudantes); e recorrer à proporção de rebuçados de Ana e Rui, determinados em 1a) (2 estudantes). Na figura 5 apresenta-se a resolução de um estudante que aplicou as probabilidades de cada jogador ganhar.
Na sua resolução, o estudante E15 começa por estabelecer a regra de três simples envolvendo as probabilidades dos dois jogadores e o número de rebuçados de Ana, determinando, imediatamente, o número de rebuçados que o Rui deve receber.
Por último, na estratégia iii), os poucos estudantes que a adotaram atribuíram
O estudante E40 começou por determinou o número de rebuçados que devia corresponder a cada bola branca (casos favoráveis à Ana). De seguida, considerou (implicitamente) que cada bola preta (casos favoráveis ao Rui) também debe corresponder a 2 rebuçados, o que lhe permitiu determinar o número de rebuçados que o Rui deve receber.
No que respeita às respostas incorretas, os estudantes aplicaram as estratégias: iv) apresentar probabilidades e números de rebuçados sem explicar como foram obtidos (7 estudantes); e v) calcular probabilidades e/ou números de rebuçados com erros (6 estudantes). Na estratégia v), quatro estudantes partiram do total de rebuçados (30) que estavam em jogo no item 1a) e subtraíramlhe o número de rebuçados recebidos por Ana, obtendo, assim, o número de rebuçados que o Rui deve receber.
Neste item, no conjunto das estratégias adotadas pelos estudantes, salienta-se o elevado número de estudantes (20) que recorreram à regra de três simples para obterem a resposta correta.
QUESTÃO 2
Nesta questão, envolvendo uma experiência aleatória composta, pedia-se aos estudantes que determinassem o prémio esperado de cada jogador, dado o prémio total em jogo (item 2a), e o prémio esperado de um dos jogadores, conhecido o prémio recebido pelo outro (item 2b).
Na tabela 2 apresentam-se as frequências absolutas (frequências relativas em %) dos diferentes tipos de resposta (correta, parcialmente correta e incorreta), assim como de não resposta.
Tabela 2 Frequência absoluta (frequência relativa em %) dos tipos de resposta e não resposta nos itens da questão 2
| Tipo de resposta | Itens | |
|---|---|---|
| 2a) | 2b) | |
| Correta | 25 (53) | 29 (59) |
| Parcialmente correta | 14 (27) | ― |
| Incorreta | 9 (18) | 17 (35) |
| Não resposta | 1 (2) | 3 (6) |
Comparativamente com a questão 1, verifica-se uma diminuição considerável da percentagem de respostas corretas em qualquer dos itens, associado ao aumento da percentagem de respostas parcialmente corretas e incorretas. Tal como aconteceu na questão anterior, verificaram-se repostas parcialmente corretas apenas no item 2a) e as respostas incorretas foram mais frequentes no item 2b). Por fim, apesar de um ligeiro aumento, a não resposta continua com reduzida expressão, com apenas 4 estudantes a não responderam nos dois itens. Seguidamente, iremos referir-nos às estratégias adotadas pelos estudantes nos diferentes tipos de resposta em cada um dos itens.
Item 2a). Para obterem as respostas corretas, os estudantes adotaram a seguinte estratégia: i) aplicar a noção de esperança matemática (25 estudantes). Na figura 7 apresenta-se um exemplo deste tipo de estratégia.
O estudante E17 começa por determinar a probabilidade de Ana ganhar o jogo, que, em seguida, multiplica pelo número de rebuçados em jogo. Deste modo, obtém o número de rebuçados da Ana, que subtrai ao total de rebuçados em jogo para obter o número de rebuçados do Rui. Apesar do estudante considerar um valor aproximado da probabilidade, ele obteve o número exato de rebuçados do Rui, tal como aconteceu com outros seis estudantes.
Nas respostas parcialmente corretas, que ocorreram apenas no item 2a), foi utilizada a estratégia: ii) determinar corretamente as probabilidades ou os números de rebuçados, explicando o procedimento, mas não ambos (14 estudantes). De outro modo, nos processos de determinação das probabilidades e dos núme-ros de rebuçados, o estudante explicou corretamente um deles e omitiu o outro. Destes estudantes, oito apresentaram os valores das probabilidades sem qualquer explicação e seis apresentaram os números de rebuçados sem qualquer explicação. Comparativamente com o item 1a), o aumento considerável do número de respostas parcialmente corretas deve-se ao facto de os estudantes apresentarem valores das probabilidades sem qualquer explicação de como obtiveram esses valores. Esta falha, que não surgiu na questão 1a), pode ter resultado da maior dificuldade em determinar probabilidades em experiências aleatórias compostas. Na figura 8 exemplifica-se a resolução de um estudante que omitiu qualquer explicação sobre a origem das probabilidades.
O estudante E25 apresenta os valores das probabilidades sem, contudo, fornecer qualquer explicação de como obteve tais valores. De seguida, multiplica as probabilidades pelo número total de rebuçados em jogo, obtendo, assim, o número correto de rebuçados que a Ana e o Rui devem receber.
Por último, nas respostas incorretas, verificaram-se as estratégias: iii) apresentar probabilidades e números de rebuçados sem explicar como foram obtidos (2 estudantes); e iv) calcular probabilidades e/ou números de rebuçados com erros (7 estudantes). Neste último caso, seis estudantes afirmaram que os dois jogadores têm igual probabilidade de ganhar o jogo e, destes, dois indicaram valores de probabilidade superiores a 1.
Item 2b). Neste item os estudantes adotaram duas estratégias para obterem a resposta correta: i) aplicar a noção de esperança matemática (9 estudantes); e ii) aplicar a regra de três simples (20 estudantes).
Todos os estudantes que adotaram a estratégia i) usaram uma equação para determinar o total de rebuçados em jogo. Uma vez determinado o total de rebuçados em jogo, os estudantes recorreram à subtração (6 estudantes) ou novamente à noção de esperança matemática (3 estudantes) para determinarem o número de rebuçados da Ana.
No caso da estratégia ii), tal como aconteceu no item 1b), identificaram-se três casos: os estudantes consideraram na regra de três simples a probabilidade 1, que permite determinar o número total de rebuçados em jogo (5 estudantes); as probabilidades de cada jogador vencer o jogo, calculadas no item 2a) (12 estudantes); e a proporção de rebuçados de Ana e Rui, determinados em 2a) (3 estudantes). Na figura 9 regista-se a resolução de um estudante que recorreu ao primeiro caso daestratégia ii).
O estudante E44 recorre à regra de três simples para determinar o número total de rebuçados em jogo (que corresponde à probabilidade 1), ao qual subtrai o número de rebuçados do Rui para obter o número de rebuçados que Ana deve receber.
Já as probabilidades de cada jogador vencer o jogo, calculadas no item 2a), foram usadas por mais estudantes para estabelecer a regra de três simples e, assim, determinar o número de rebuçados que Ana deve receber. Na figura 10 apresenta-se a resolução de um estudante que aderiu ao segundo caso da estratégia ii).
Socorrendo-se das probabilidades, calculadas em 2a), o estudante E23 estabelece uma regra de três simples que lhe permite determinar diretamente o número de rebuçados que Ana deve receber. Novamente se verifica que, apesar de usar valores aproximados das probabilidades, o estudante indica o valor exato, tal como aconteceu com mais dois estudantes.
Por último, os três estudantes que recorreram à proporção de rebuçados de Ana e Rui, determinados em 2a), estabeleceram a regra de três simples em que fazem corresponder os 15 rebuçados recebidos por Rui aos 3 rebuçados recebidos por Ana
O estudante E31 usa as correspondências
Por fim, nas respostas incorretas, os estudantes usaram as estratégias: iii) apresentar probabilidades e números de rebuçados sem explicar como foram obtidos (6 estudantes); e iv) calcular probabilidades e/ou números de rebuçados com erros (11 estudantes). Nas resoluções com erros, partiu-se do total de rebuçados que estava em jogo no item 2a) (2 estudantes), cometeram-se erros de cálculo na aplicação da regra de três simples (2 estudantes), referiu-se que ambos os jogadores deviam receber igual número de rebuçados (2 estudantes) e os restantes apresentaram valores incorretos sem apresentarem qualquer explicação sobre como obtiveram esses valores (5 estudantes).
Tal como no item 1b), também neste item, no conjunto das estratégias adotadas pelos estudantes, salienta-se o elevado número de estudantes (22) que recorreram à regra de três simples, dos quais 20 responderam corretamente e os outros dois incorretamente.
SÍNTESE DAS ESTRATÉGIAS
Na tabela 3 sintetizam-se as estratégias observadas nos quatro itens das duas questões do estudo segundo os tipos de resposta (correta, parcialmente correta e incorreta).
Tabela 3 Frequência absoluta (frequência relativa em %) dos tipos de estratégia nos vários itens segundo os tipos de resposta
| Tipos de resposta |
Estratégias | Itens | |||
|---|---|---|---|---|---|
| 1a) | 1b) | 2a) | 2b) | ||
| Correta | Aplicar a noção de esperança matemática | 34 (69) | 12 (24) | 25 (51) | 9 (18) |
| Atribuir um número constante de rebuçados a cada bola | 2 (4) | 3 (6) | ─ | ─ | |
| Aplicar a regra de três simples | 1 (2) | 20 (41) | ─ | 20 (41) | |
| Parcialmente correta |
Determinar corretamente as probabilidades ou os números de rebuçados, mas não ambos |
7 (14) | ─ | 14 (29) | ─ |
| Incorreta | Apresentar probabilidades e números de rebuçados sem explicar como foram obtidos |
4 (8) | 7 (14) | 2 (4) | 6 (12) |
| Calcular probabilidades e/ou os números de rebuçados com erros |
1 (2) | 6 (12) | 7 (14) | 11 (22) | |
Nota: No cálculo das percentagens considerou-se o número total de estudantes, 49.
No caso das respostas corretas, por observação da tabela 3 verifica-se que, na globalidade dos quatro itens, a estratégia “Aplicar a noção de esperança matemática” foi a mais adotada pelos estudantes. A maior adesão dos estudantes a esta estratégia nos itens 1a) e 2a), provavelmente, deve-se a ter sido dado o número total de rebuçados em jogo, o que permite a aplicação direta da noção de esperança matemática. Já nos itens 1b) e 2b) isso não acontece, sendo necessário determinar antes o número total de rebuçados em jogo através de uma equação.
Atendendo à possível maior dificuldade em recorrer à noção de esperança matemática nos itens 1b) e 2b), um elevado número de estudantes recorreu à estratégia “Aplicar a regra de três simples”, que se baseou em três casos, recorrendo: à probabilidade 1; às probabilidades de cada jogador vencer o jogo, largamente maioritária; e aos números de rebuçados obtidos nos itens 1a) e 2a), respetivamente. Por último, a estratégia “Atribuir um número constante de rebuçados a cada bola” foi usada, marginalmente, nos itens 1a) e 2a), o que se poderá dever a estar implicado o modelo de urna.
Nas respostas parcialmente corretas, os estudantes recorreram à estratégia “Determinar corretamente as probabilidades ou o número de rebuçados, mas não ambos”. Este tipo de resposta aconteceu apenas nos itens 1a) e 2a), com maior incidência no item 2a) devido à omissão de explicação de como foram obtidos os valores das probabilidades. Já a explicação de como foram obtidas as probabilidades no item 1a) corrobora a maior capacidade de os estudantes determinarem probabilidades em experiências aleatórias simples.
Por fim, nas respostas incorretas os estudantes adotaram as estratégias “Apresentar probabilidades e números de rebuçados sem explicar como foram obtidos” ou “Calcular probabilidades e/ou os números de rebuçados com erros”, com maior prevalência nos itens 1b) e 2b).
CONCLUSÃO
Neste estudo, os estudantes responderam a duas questões de jogos de proporcionalidade direta e não equitativos, incluindo cada uma delas dois itens: a) deter-minar o número de rebuçados a receber por cada um dos dois jogadores sabendo o número total de rebuçados em jogo; e b) determinar o número de rebuçados a receber por um dos dois jogadores sabendo o número rebuçados que o outro jogador deve receber. Nos itens 1a) e 2a) obtiveram-se percentagens de respostas corretas de 76% e 53%, respetivamente, enquanto nos itens 1b) e 2b) se obtiveram percentagens de respostas corretas de 71% e 59%, respetivamente.
Portanto, entre os itens 1a) e 1b), da questão 1, e entre os itens 2a) e 2b), da questão 2, não se observam grandes diferenças nas percentagens de respostas corretas; já entre os itens 1a) e 2a) e entre os itens 1b) e 2b) observam-se diferenças acentuadas nessas percentagens. Ora, comparativamente com os itens da questão 2, o melhor desempenho dos estudantes nos itens da questão 1, talvez se deva ao facto de na questão 1 estar implicada uma experiência aleatória simples, enquanto na questão 2 está implicada uma experiência aleatória composta. As maiores dificuldades experimentadas nas experiências aleatórias compostas estão bem documentadas na literatura (e.g., Fernandes, 2000; Fernandes et al., 2016). Também em estudos sobre jogos equitativos e não equitativos se observaram maiores dificuldades quando estavam em jogo experiências aleatórias compostas (Fernandes et al., 2024; Guerrero et al., 2017; Mohamed e Ortiz, 2012).
No confronto dos resultados do presente estudo com a literatura são relevantes aqueles estudos em que a idade e a formação dos participantes são mais próximos dos participantes deste estudo, como é o caso dos estudantes do curso de Bachillerato e os futuros professores do ensino primário. Os estudantes do 1.º e 2.º ano do curso de Bachillerato, que participaram no estudo de Guerrero et al. (2016), obtiveram um desempenho um pouco inferior ao dos estudantes do presente estudo, sendo superior no caso dos estudantes do 2.º ano, que tinham já estudado Probabilidades. Também no estudo de Guerrero et al. (2017) os estudantes, também do 1.º e 2.º ano do curso de Bachillerato, tiveram um desempenho próximo do dos estudantes do presente estudo, e um fraco desempenho no item em que se pedia o estabelecimento de um jogo equitativo, aspeto que não foi tratado no presente estudo.
Nos estudos de Ortiz et al. (2012) e de Mohamed e Ortiz (2012), em que participaram futuros professores do ensino primário, portanto estudantes com idade e formação mais próximos dos estudantes do presente estudo, observou-se um desempenho um pouco inferior ao que foi obtido no presente estudo, quer quando se tratava de uma experiência aleatória simples quer quando se tratava de uma experiência aleatória composta. Portanto, conclui-se que o desempenho dos estudantes do presente estudo foi semelhante ao que se observou nos estudos prévios referidos.
Um resultado importante do estudo foi a elevada adesão dos estudantes à noção de esperança matemática para obterem a resposta correta. Esta estratégia foi mesmo a mais usada na globalidade dos itens, sendo mais usada nos itens em que era dado o total de rebuçados em jogo, ou seja, nos itens 1a) e 2a), o que possivelmente se deve a ser imediata a aplicação da esperança matemática nesses itens. A aplicação do conceito de esperança matemática pelos estudantes pode ter origem no facto de se tratar de um conceito intuitivo, tal Scholttmann e Anderson (1994) concluíram no seu estudo com crianças.
Outro resultado que se destaca do presente estudo é o elevado número de estudantes que recorreram à regra de três simples na resolução dos itens 1b) e 2b). Ora, tratando-se de um processo matemático adequado para o tratamento da proporcionalidade direta, que estava implicado nos itens em questão, esperava-se que esse processo conduzisse à resposta correta, tal como aconteceu quase sempre. A adesão à regra de três simples para resolver situações-proble-ma de proporcionalidade direta está bem documentada por Fernandes (2022), em que cerca de 33% dos futuros professores dos primeiros anos, que participaram no estudo, a usaram para resolver vários itens.
No processo de resolução verificou-se que os estudantes adotaram diversas estratégias para responderem a qualquer dos itens das duas questões do estudo. Essa diversidade de estratégias constitui também um resultado importante do estudo, pois, para Koparan (2021), elas constituem novas estratégias para aprender matemática e contribuem para desenvolver o conhecimento e as experiências dos estudantes. Portanto, a exploração e discussão dessas estratégias na sala de aula permitirá aos estudantes beneficiarem das vantagens apontadas.
Naturalmente, como é bem patente no presente estudo, o sucesso dos estudantes na exploração dos jogos aleatórios está dependente das suas capacidades de cálculo de probabilidades. Sendo vários os conceitos implicados no cálculo de probabilidades, Batista et al. (2022) atribuem as dificuldades de crianças e adultos no estudo de jogos equitativos à incompreensão da independência de acontecimentos, da análise do espaço amostral e da perceção da proporcionalidade na comparação de probabilidades. Sugere-se então que os estudantes desenvolvam uma melhor compreensão desses conceitos, o que também é valido para o caso dos jogos não equitativos.
Por fim, enquanto o presente estudo incidiu sobre jogos de proporcionalida-de direta e que, consequentemente, envolvem a noção de esperança matemática do ganho de cada jogador, nos quais o prémio a receber por um jogador deve ser proporcional à sua probabilidade de vencer o jogo, considera-se ser pertinente conduzir outros estudos que consolidem os resultados agora obtidos e incidam também sobre a noção de jogo equitativo.


























