40 105Distribución del ingreso, crecimiento y formación de ciclos económicos en Estados Unidos y MéxicoIntegración comercial deficitaria de México con el Noreste asiático: tendencias posibles ante el neoproteccionismo 
Home Page  

  • SciELO

  • SciELO


Análisis económico

 ISSN 2448-6655 ISSN 0185-3937

Anál. econ. vol.40 no.105 Ciudad de México sep./dic. 2025   11--2025

https://doi.org/10.24275/uam/azc/dcsh/ae/2025v40n105/loria 

Artículos

México: determinantes empíricos del crecimiento económico, 1995Q1-2024Q1

Mexico: empirical determinants of economic growth, 1995Q1-2024Q1

* Profesor Titular C Tiempo Completo, Facultad de Economía de la UNAM. Correo electrónico: quijano6919@hotmail.com / eleeduardo.loria@comunidad.unam.mx.


Resumen

Con un enfoque eminentemente empírico, en la vena de Sala-i-Martin (1997) y Barro (1991), que utiliza variables ampliamente aceptadas, con un SVAR(5) de largo plazo (1995Q1-2024Q1), identificado con la metodología de Blanchard y Quah (1989), encontramos que: a) la economía mexicana se encuentra en una larga trampa de lento crecimiento que se ha agudizado desde la post Gran Recesión de 2009 (el crecimiento potencial pasó de 2.6% a 1.5%), atribuible al debilitamiento del crecimiento de la inversión privada (ipt) y al de la producción industrial de Estados Unidos (yindust); b) el principal motor de yt es ipt, pero sus efectos solo duran 15 trimestres en contraste con yindust que son permanentes, c) la volatilidad de yindust es más importante que ipt para explicar las variaciones de yt (40% vs 18%), d) el tipo de cambio bilateral real (Qt) no ha tenido efectos reales de largo plazo, aunque de corto plazo son muy breves y despreciables y d) la estimación de un SVAR(5) ampliado con variables de gasto público y de un VEC(7) confirman los resultados anteriores. Incluso el VEC reporta que yindust tiene mayores efectos de crecimiento que ipt.

Palabras clave: Crecimiento económico; Inversión privada; Tipo de cambio bilateral real; Let the data freely speak; Blanchard & Quah’s

Clasificación JEL: E22; F31; F41

Abstract

With an eminently empirical approach, in the vein of Sala-i-Martin (1997) and Barro (1991), and based on variables widely reported in economic theory, with a long-term SVAR(5) for 1995Q1-2024Q1, identified with the methodology of Blanchard and Quah (1989), we find that: a) The Mexican economy is in a long slow growth trap that has worsened since the post Great Recession of 2009 (potential growth fell down from 2.6% to 1.5%), attributable to the weakening of the growth of private investment (ipt) and that of industrial production in the United States (yindust); b) despite the main driver of Mexican economic growth (yt) is ipt, slightly above the dynamism of yindust, the effects of the former only last 15 quarters and those of the latter are permanent, c) the volatility of yindust is more important than ipt to explain the variations of yt (40% vs 18%), d) the real bilateral exchange rate (MX-US, Qt) has not had real long-term effects, although the short-term effects are very brief and negligible, and d) the estimation of a SVAR(5) extended with public expenditure variables, and a VEC(7) confirm the previous results and even the VEC reports that yindust has greater growth effects than ipt.

Keywords: Economic growth; Private investment; Real bilateral exchange rate; Let the data freely speak; Blanchard & Quah’s

JEL Classification: E22; F31; F41

El crecimiento económico es como un jardín que florece a través de la

inversión. Sólo cuando lo cultivamos con cuidado y diligencia podemos

ver el fruto de nuestro trabajo.

Paul Krugman, The Conscience of a Liberal

Este artículo es producto del proyecto de investigación Las razones del lento

crecimiento de México. Un análisis desde la oferta. DGAPA, IN308224, UNAM.

Introducción

Uno de los principales intereses y preocupaciones de la teoría económica y de los policy makers siempre ha sido entender los determinantes más importantes del crecimiento económico, debido a que de él dependen todos los indicadores de bienestar de una sociedad.

Desde 1982 la economía mexicana se encuentra en una trampa de lento crecimiento -que se ha acentuado después de 2009- de la que no ha podido salir a pesar de las múltiples reformas estructurales que se han aplicado hasta el presente.

Ya desde hace quince años, Hanson (2010: 987) se planteaba este serio problema al decir que: “desde los años 80 México ha reformado agresivamente su economía, abriéndose al comercio exterior y a la inversión, logrando disciplina fiscal y privatizando empresas estatales. A pesar de estos esfuerzos, su crecimiento económico ha sido mediocre, inferior al de muchos otros países en desarrollo”. Tres años después, en una visita a México, Paul Krugman compartió la misma inquietud al decir que no era posible explicar por qué México no había generado la capacidad de crecer a tasas mayores frente a otros países igual de liberalizados, como Corea del Sur, que lograron multiplicar su crecimiento económico de manera sostenida.1

A pesar de continuarse con la aplicación de reformas liberales hasta 2018, y luego de su fuerte reversión (desde 2019),2 nuevamente se demostró la incapacidad de elevar el crecimiento. Peor aún, de acuerdo con CEPAL (2023) mientras que entre 2019 y 2024 América Latina creció en 1.96%, México solo lo hizo en 0.77%, solo por arriba de Argentina que decreció en (-) 0.23%.

En síntesis, en estos últimos cuarenta años, a pesar de los múltiples diagnósticos y políticas económicas aplicadas, no se ha conseguido resolver el misterio de esta trampa de bajo crecimiento. Por ello, nuevamente es muy relevante preguntarse cuáles son los determinantes más generales del crecimiento que den cuenta de este resultado, a partir de una combinación parsimoniosa de elementos teóricos y econométricos. Esta es la motivación principal de este artículo, que utiliza variables que, habitual e independientemente de la orientación teórica de cada investigador, se consideran determinantes generales del crecimiento económico. En aras de la parsimonia econométrica y de la sencillez explicativa, utilizamos dos variables importantes del sector externo (tipo de cambio real bilateral México-Estados Unidos, Qt, y el producto industrial de Estados Unidos, Yindust) y una doméstica (inversión privada, IPt) para probar y medir econométricamente sus efectos de crecimiento, yt, desde 1995Q1.

En este esfuerzo, no partimos de una hipótesis específica ni pretendemos hacer análisis teórico ni empírico exhaustivos de todos sus posibles determinantes, sino solo enfocarnos en estos tres determinantes que el grueso de la teoría económica concuerda en considerar y, con un fuerte fundamento econométrico, basado en Blanchard y Quah (1989), llegar a resultados robustos y relevantes.

Al hacerlo, recogemos conjuntamente variables de oferta (IPt é Yindust )3 y de demanda (Qt) que permiten captar así los múltiples efectos que ocurren en la economía mexicana, crecientemente globalizada desde los años noventa del siglo pasado.

A partir de esta pequeña pero representativa selección de variables generalmente aceptada, y de dejar hablar libremente a los datos (Juselius, 2006 y Lütkepohl y Krätzig, 2004),5 damos una explicación econométrica robusta de los determinantes del crecimiento de la economía mexicana en casi treinta años. Esta estrategia pretende dar luz sobre otras variables que se asocian, dependen o las determinan y contrasta con otros trabajos que hacen búsquedas intensivas de probación empírica y teórica al usar decenas de variables con miles de combinaciones y especificaciones econométricas. También contrasta con trabajos que sólo usan enfoques teóricos particulares para explicar el crecimiento económico.

Con un modelo SVARBQ(5), que permite identificar eficientemente los efectos de los choques de oferta (de largo plazo), demostramos empíricamente que: a) la economía mexicana se encuentra en una larga trampa de lento crecimiento (yt) que se ha agudizado desde la post Gran Recesión de 2009 (donde el crecimiento potencial pasó de 2.6% a 1.5%), atribuible al debilitamiento del crecimiento de la inversión privada (ipt) y de la producción industrial de Estados Unidos yindust; b) el principal motor de yt es ip, pero sus efectos solo duran 15 trimestres en contraste de los de yindust que son permanentes, c) la volatilidad de yindust es más importante que ip para explicar las variaciones de yt (40% vs 18%), d) el tipo de cambio bilateral real (Qt) no ha tenido efectos reales de largo plazo, aunque de corto plazo son muy breves y despreciables y d) la estimación adicional de un VEC(7) confirma los resultados anteriores e incluso acusa que yindust tiene mayores efectos de crecimiento que ipt. Estas son las contribuciones centrales del trabajo.6

Tomamos como inicio del análisis el año 1995, debido a que es cuando comenzaron a observarse los efectos de las reformas estructurales que se aplicaron desde la década previa y que se coronaron con el inicio de operación del TLC en 1994 y que se manifestaron con la rápida recuperación del crecimiento (5.14%, 6.8% y 4.9%, respectivamente para 1996-1998) después de la crisis cambiaria, económica y financiera que produjo la contracción productiva hasta entonces más profunda en 1995 (-6.22%) desde la Gran Depresión de 1929-1933. De hecho, de todo el largo periodo de análisis, solo entre 1996 y 2000 la economía exhibió un crecimiento medio de 5.46%, para posteriormente regresar a su baja tasa de largo plazo.

Una limitación de este artículo podría consistir en no incluir otras variables que han venido ganando mucho peso, como las institucionales y del imperio de la ley en la determinación del crecimiento económico.7 No las incorporamos, entre otras razones, por la falta de datos trimestrales congruentes con nuestra muestra y por rebasar nuestro enfoque parsimonioso;8 por lo que solo nos concentramos en una selección muy reducida de variables en los términos ya referidos para obtener un modelo pequeño que genera una explicación econométrica robusta.

Para abordar nuestro objetivo, hemos estructurado el trabajo de la manera siguiente. En la sección 1 presentamos los aspectos metodológicos y teóricos que fundamentan las variables seleccionadas. En la sección 2 analizamos los hechos estilizados que caracterizan las relaciones de esas variables con el crecimiento. Enseguida presentamos los aspectos econométricos y el análisis y discusión de resultados. Por último, concluimos y hacemos algunas reflexiones finales.

I. Aspectos metodológicos y teóricos

De acuerdo con Sala-i-Martin (1997), el estudio empírico del crecimiento económico es un asunto muy laborioso y complejo, en virtud de que no hay una sola teoría económica que consiga una explicación totalmente satisfactoria, extenuante y excluyente de las demás.

Este autor siguió la vena heurística seminal de Barro (1991) y con 63 variables hizo una investigación empírica del crecimiento económico para un amplio grupo de países a partir de millones de regresiones de corte transversal (1960-1992). En tal labor comenta que la elección de determinantes del crecimiento -aún con base en la teoría económica- es un asunto esencialmente empírico y de suerte, debido a que al incluir o excluir a algún regresor en distintas combinaciones de variables o al usar especificaciones diferentes, se pueden obtener resultados econométricos muy diversos, acordes o no a los intereses y preferencias teóricas específicas del investigador.

De igual manera, y abstrayendo factores y preferencias personales, es muy común que desde la econometría de series de tiempo se incurra en graves problemas de endogeneidad y/o en multicolinealidad al aumentar el número de regresores generando así resultados estadísticos incorrectos, así como también de autocorrelación serial al omitir variables explicativas relevantes.

De estas consideraciones, Sala-i-Martin (1997: 2-3) sugiere que la explicación empírica robusta de los determinantes del crecimiento económico no es sola ni principalmente teórica, sino que depende centralmente de la habilidad del econometrista para hacer una combinación virtuosa de variables y así llegar a resultados estadísticos y económicos congruentes: “El problema al que se enfrentan los economistas empíricos del crecimiento es que las teorías no son lo suficientemente explícitas sobre qué variables pertenecen a la verdadera regresión… No sabemos exactamente qué variables importan para el crecimiento… Otro problema es que, incluso si la teoría fuera clara al señalar los determinantes teóricos importantes del crecimiento, la estimación empírica de estos determinantes no es inmediata (evidente)”.

En un trabajo empírico reciente para México, y en esta misma vena heurística empírica, Flores y Jiménez (2024) advierten de los múltiples problemas estadísticos generados por la endogeneidad y la multicolinealidad que caracterizan a los trabajos empíricos del crecimiento, por lo que, con un enfoque de Promedio de Modelos Bayesianos, utilizan 28 determinantes del crecimiento a nivel de las 32 entidades federativas (2010-2021) y seleccionan determinantes estadísticamente robustos del crecimiento económico en México.

Con el afán de fundamentar nuestra selección de variables, en lo que sigue de esta sección explicamos cada una.

Tipo de cambio y crecimiento

Este primer factor siempre ha estado presente en la discusión teórica del crecimiento económico, ya que es el precio que vincula a una economía con el resto del mundo y, dependiendo del enfoque teórico que se adopte, se argumentarán (a priori) distintos efectos que necesariamente deberán probarse empíricamente.

Desde el punto de vista de la escuela clásica, el tipo de cambio es un precio más, determinado por el mercado de divisas, que refleja el intercambio total (de bienes, finanzas y servicios) con el exterior, y su flexibilidad permite absorber los choques que permanentemente sufre toda economía. Esta atribución hace que en este enfoque se le considere como una variable esencialmente endógena y que no cumpla funciones de instrumento de política económica.

Por el contrario, para la “teoría neodesarrollista”,9 el manejo del tipo de cambio real depreciado es una importante herramienta de política industrial que acelera el crecimiento de países emergentes y, como ejemplo, presenta a China y a India que tuvieron crecimientos muy acelerados en las décadas pasadas. Esto es así porque considera que el tipo de cambio real no es un precio más del sistema económico, sino que es un instrumento de política industrial y del desarrollo económico, debido a que plantea que: a) se cumple la Condición Marshall- Lerner, b) se evita la enfermedad holandesa y c) en el largo plazo genera mejoras redistributivas (Bresser-Pereira, 2012: 12). Sobre este último punto plantea que si bien, en el corto plazo las depreciaciones cambiarias pueden tener efectos inflacionarios y, por tanto, concentradores del ingreso, en el largo plazo el efecto distributivo del crecimiento es superior.

Asimismo, considera que en la medida que la inflación de los países emergentes (particularmente de América Latina) es mayor a la del mundo desarrollado, los procesos de crecimiento generan apreciaciones cambiarias que reducen la demanda de bienes domésticos en favor de los externos, además de que favorecen la importación de capital en detrimento del trabajo doméstico. Estos efectos se acentúan si el tipo de cambio se usa como “ancla inflacionaria”, en vez de herramienta de crecimiento. Los autores de esta corriente plantean que, de ser así, habrá apreciaciones cambiarias similares a las grandes entradas de divisas que provocan efectos de tipo enfermedad holandesa (Bresser-Pereira, 2012: 12).

Inversión y crecimiento

En general, los trabajos empíricos y teóricos sobre el crecimiento incorporan a la inversión (privada, IP, y pública, IG) como variable fundamental por sus muchos efectos directos e indirectos de corto y largo plazos.

Idealmente, el crecimiento económico debe ser consecuencia de una combinación adecuada de capital y trabajo, donde IP es determinante de la acumulación de capital y de la incorporación de innovaciones y de progreso tecnológico. Pero también en el corto plazo la inversión tiene un papel central por su alto efecto multiplicador sobre la demanda agregada.

IP, a su vez, depende de un amplio conjunto de variables psicológicas, sociales, económicas, financieras e institucionales, lo que dificulta su modelación.10 Keynes (1936: 281-282) plantea que la Eficiencia Marginal del Capital, EMK -que es su principal determinante, mucho más que la tasa de interés- es muy volátil y difícil de modelar, y sus fluctuaciones determinan los ciclos económicos. Afirma que esta variable está determinada “por la indirigible y desobediente psicología del mundo de los negocios” y adjudica a su caída repentina las crisis económicas, no al aumento de la tasa de interés. Por el contrario, plantea que la causalidad es inversa: “El pesimismo y la incertidumbre del futuro que acompaña a un derrumbamiento en la EMK, naturalmente precipita un aumento decisivo en la preferencia por la liquidez -y de aquí un alza en la tasa de interés… Es el retorno de la confianza, para hablar en lenguaje ordinario, el que resulta tan poco susceptible de control en una economía de capitalismo individual” el que hace que la economía se recupere y crezca. De esta cita Keynes resalta que IP no depende mayormente de la tasa de interés de mercado, sino de un conjunto muy amplio y complejo de variables objetivas, pero sobre todo subjetivas (referidas a los espíritus animales), que inciden en las expectativas de rendimiento empresariales. De acuerdo con Krugman (1994), estos espíritus explican por qué las fluctuaciones de la inversión y del consumo no siempre pueden modelarse correctamente por factores racionales o por indicadores económicos tradicionales disponibles, debido a que muchas veces responden prioritariamente a factores psicológicos como la confianza, el miedo y, más aún, el pánico.

Por último, y no menos importante, es no solo que IP sea alta y creciente en su contribución al PIB, sino más importante aún es que tenga amplios efectos de crecimiento económico; es decir que sea eficiente.11

Integración productiva con Estados Unidos y crecimiento

Los gobiernos mexicanos post crisis de balanza de pagos (después de 1982) −sin excepción- han decidido aprovechar la colindancia de México con la economía más grande del mundo mediante la integración económica y financiera a su estructura productiva.

Desde mediados de la década de los noventa, y derivado de la maduración de las reformas estructurales iniciadas desde 1983 (Aspe, 1993, Dornbusch et al., 1994) -coronadas con la entrada en operación del TLC en 1994- una parte importante y creciente de la producción y de la exportación manufactureras y, por tanto, del crecimiento económico de México, se fue vinculando a la estructura productiva industrial de los Estados Unidos. Este proceso de inserción de México a la globalización, particularmente con Estados Unidos, ha tenido importantes efectos de difusión, de acopio de divisas, de innovación y de generación de economías de escala (Contreras y Munguía, 2007: 75) que ha hecho que el ciclo de crecimiento del PIB de México dependa cada vez más del ciclo del producto industrial de Estados Unidos desde fines de los años noventa del siglo pasado, Loría y Salas (2015).

La integración de México a la cadena productiva y de valor de los Estados Unidos (principalmente a su producción industrial) puede incorporarse como una externalidad positiva (E, como lo hace Mendoza, 2011: 53) en una función de producción Cobb-Douglas de la economía (manufactura) mexicana:

Yt=AKtαLtβEtδ (1)

Donde Yt = PIB, A = Productividad Total Factorial, Kt = capital, Lt = trabajo, δ=1-α+β.

Et=fQt,Yindust (2)

Donde Qt = tipo de cambio real bilateral TCN*(INPCus/INPCMx), TCN = pesos por dólar, INPCus, INPCMx son los índices nacionales de precios al consumidor de Estados Unidos y México, respectivamente, Yindust = índice del producto industrial de los Estados Unidos.

II. Hechos estilizados

Antes de analizar la evolución de las variables de interés, es conveniente destacar algunas de las características del crecimiento económico de México desde 1982. Al analizar su trayectoria -con su componente secular (ypot˙) - queda muy claro que se ha distinguido por mantener un lento crecimiento de alrededor del 2%, que ha preocupado a muchos analistas al menos desde hace dos décadas12 y que es lo que ha guiado y justificado la aplicación sistemática de múltiples reformas por todos los gobiernos desde comienzos de los años 80, Gráfica 1.

Nota: el componente tendencial se calculó con el filtro HP. La variable en la parte inferior expresa el ciclo de crecimiento.

Se advierte una leve recuperación de ypot˙ al final de la muestra que puede atribuirse al rebote de crecimiento de 2021-2023.

Sin embargo, también debe recordarse que el filtro HP es muy sensible a los extremos de las muestras.

Fuente: cálculos propios con datos de INEGI (2024a y 2024b).

Gráfica 1 México: tasa de crecimiento del PIB, 1982-2024 

Si solo consideramos nuestro periodo de estudio, queda de manifiesto que se ha mantenido el mismo patrón, con el agravante de que después de la Gran Recesión de 200913 el crecimiento potencial se ha reducido aún más.

Si bien no es el objetivo de este artículo explicar las razones del lento crecimiento ni de estos cambios estructurales, sí lo es analizar la relación de largo plazo de las variables de interés y sus posibles contribuciones en este resultado.

Con este fin, un primer análisis visual de las variables en sus unidades originales nos permite ver que Yindust cortó su tendencia ascendente en 2008Q1 y después de una corta recuperación (2010-2014) parece haber entrado en una larga fase errática de estancamiento. El tipo de cambio real, Qt, por su parte, ha seguido una trayectoria de depreciación 2002-2020, que se agudizó entre 2016 y 2020 en que parece ubicarse en un “piso más alto”. Sin embargo, desde 2021Q1 y hasta 2024Q2 tuvo una evolución (inversa) de apreciación. Finalmente, IP parece seguir una tendencia ascendente de largo plazo hasta 2016Q4 y de ahí en adelante se reduce notablemente, lo mismo que su proporción a producto (CIP). Sin embargo, llama la atención su fuerte recuperación en 2023 y 2024 que puede asociarse básicamente al cierre de los proyectos emblemáticos del gobierno 2018-2024, Gráfica 2.

Fuente: cálculos propios con datos de FRED (2024a y 2024b) e INEGI (2024a y 2024b).

Gráfica 2 Variables del modelo, 1995Q1-2024Q1 

Para encontrar las razones de la agudización del lento crecimiento de la economía mexicana después de 2009, con nuestro conjunto de información Zt=yindust,Qt,ipt, yt hacemos un análisis de contraste de medias (μt) para dos subperiodos: 1997Q1-2009Q4 y 2010Q1-2024Q1.14 Al calcularlas con datos observados no podemos afirmar que haya habido cambios estadísticamente significativos, pero al hacerlo con sus componentes seculares, claramente rechazamos la hipótesis nula de que las medias de yindust, yt y de ipt son iguales para estos dos periodos. Destacan las caídas de: 1.9% a 0.7%, 2.6% a 1.5% y de 4.0% a 2.5% de esas mismas variables, respectivamente, lo que muestra la mayor caída de yindust (-63%) respecto a ipt (-37%) Cuadro 1. Por el contrario, llama poderosamente la atención que al 90% de confianza el tipo de cambio no presenta evidencia empírica de contribución en esos resultados a pesar de su evolución errática y de depreciación secular.

Cuadro 1 Contraste de medias (ANOVA), 1997Q1-2024Q1 

Datos observados Componentes seculares
Medias Test ANOVA Medias Test ANOVA
1997Q1-
2009Q4
2010Q1-
2024Q1
F Prob 1997Q1-
2009Q4
2010Q1-
2024Q1
F Prob
Qt 0.0 0.0 0.35 0.55 0.0 0.0 3.73 0.06
yindust 1.2 1.4 0.02 0.88 1.9 0.7 13.83 0.00
yt 2.2 2.0 0.10 0.74 2.6 1.5 16.48 0.00
ipt 3.1 3.0 0.01 0.92 4.0 2.5 4.47 0.03
Pruebas ANOVA, H0: μ1=μ2, grados de libertad (1, 107). Componentes seculares calculados con filtro HP.

Fuente: cálculos propios con datos de FRED (2024a y 2024b) e INEGI (2024a y 2024b).

Estos resultados sugieren que buena parte de la reducción de ypot˙ (de 2.6% a 1.5%) se asocia a las caídas tendenciales de esas variables a consecuencia de la fase post Gran Recesión 2009, lo que prueba la hipótesis de Cerra y Saxena (2008 y 2017) que señala que las crisis, independientemente de su origen (oferta o demanda), tienen importantes efectos reales de largo plazo.

Especial atención merece analizar la dinámica de los coeficientes de inversión y, más aún, de la evolución de su eficiencia sobre yt.

Para aportar evidencia sólida sobre el efecto de la caída tendencial de ipt, calculamos y analizamos la evolución de los coeficientes de inversión privada (CIP), pública (CIG) y total (CIT) y el impacto que han tenido sobre yt al estimar su eficiencia en varios subperiodos.

Si bien desde la renegociación de la deuda externa (con el Plan Brady y el reinicio del crecimiento económico a partir de 1988, CIP creció de manera relevante, su eficiencia se ha reducido de manera muy preocupante al pasar de 0.15 a 0.042 para los periodos 1989-2018 y 2019-2024, respectivamente.

Por su parte, CIG ha tenido una evolución un tanto distinta en la medida que, si bien ha caído sistemáticamente desde el primer periodo, la reducción de su eficiencia ha sido menor que la privada: de 0.67 a 0.33, Cuadro 2.

Cuadro 2 México: coeficientes de inversión y su eficiencia, 1970-2024 

Eficiencia
Periodo (1)
CIP
(2)
CIG
(3)
CIT
(4)
y
(4)/(1)
Privada
(4)/(2)
Pública
(4)/(3)
Total
1970-1984 12.4 7.1 19.5 5.25 0.42 0.73 0.26
1985-1988 10.9 4.5 15.5 -0.04 -0.004 -0.009 -0.003
1989-2018 16.8 3.9 20.8 2.61 0.15 0.67 0.12
2019-2024 18.1 2.3 20.5 0.77 0.042 0.33 0.03
CIP, CIG, CIT son los coeficientes de inversión privada, pública y total, respectivamente (porcentajes del PIB); y es la tasa media de crecimiento del PIB del periodo.

Fuente: cálculos propios con datos de Banxico (2025a).

CIP, CIG, CIT son los coeficientes de inversión privada, pública y total, respectivamente (porcentajes del PIB); y es la tasa media de crecimiento del PIB del periodo.

En síntesis, la caída de la eficiencia de los tres tipos de inversión -particularmente de la privada- contribuye a explicar por qué esta variable ha perdido capacidad de arrastre sobre y.

Previo a hacer inferencia estadística, conviene analizar otras dos importantes regularidades estadísticas de las variables involucradas. Para evitar espuriedad estadística, probamos que todas las variables del conjunto de información son estacionarias al estar definidas en sus tasas de crecimiento15 (Cuadro 1A), tal como lo proponen Blanchard y Quah (1989), Gráfica 3.

Notas:  yt é ipt son las tasas de crecimiento trimestrales anualizadas del PIB y de la inversión privada de México, respectivamente, en miles de millones de pesos de 1993, INEGI (2024a y 2024b); yindust es la tasa de crecimiento trimestral anualizada del índice del producto industrial de los Estados Unidos, 2017 = 100, FRED (2024a), Qt es la diferencia del tipo de cambio real bilateral México-Estados Unidos, INEGI (2024a y 2024b), FRED (2024a y 2024b) y Banco de México (2025a).

Fuente: cálculos propios.

Gráfica 3 Correlaciones estáticas de variables, 1995Q1-2024Q1 

Destaca que no existe evidencia estadística de asociación significativa de Qt con las demás variables16 y que sí las hay -positivas y significativas- entre las otras tres, tal como consigna la teoría: yindust-yt (84%), yindust-ipt (74%), ipt-yt (87%).

En virtud de las altas correlaciones estáticas de nuestro conjunto de información Z, y para descartar multicolinealidad destructiva, hicimos una regresión MCO (1995Q1-2024Q1) sobre yt. La estimación de los factores de inflación de varianza (VIF),17 no reporta evidencia estadística de multicolinealidad, lo que sugiere que no existe este importante problema común en la econometría de series de tiempo, Cuadro 3.

Cuadro 3 Factores de inflación de varianza de yt  

Variable Varianza VIF No Centrado VIF Centrado
C 0.02 1.13 NA
yindust 0.00 2.45 2.27
Qt 150.34 1.04 1.04
ipt 0.00 2.51 2.21

Fuente: cálculos propios.

Por último, y con el fin de justificar empíricamente la necesidad de incorporar a yindust como variable de oferta en Z, probamos claramente la determinación del ciclo de yindust al ciclo de crecimiento del PIB total y del manufacturero de México para todo nuestro periodo de estudio, tal como lo hacen Loría y Salas (2015) para un periodo anterior, Gráfica 4.

Notas: La elección de submuestra de tamaño eficiente t0=[τ0 T] se basa en Fernández (1999), donde, T es el tamaño de la muestra original y τo es la proporción de la muestra original definida por valores entre 0.15 y 0.85.

Por debajo del valor crítico de 0.36 (expresado con la raya continua) no existe significancia estadística al 95%. Se eligió ventana recursiva de 22 datos tal como lo hicieron Loría et al. (2019: 17).

Fuente: Cálculos propios con datos de INEGI (2025) y FRED (2025).

Gráfica 4 Correlación dinámica de los ciclos de crecimiento del PIB total y manufacturero mexicanos con el ciclo de yindust, 1995Q1-2024Q1 

Se observa claramente que la sincronización de los ciclos comienza a ser estadísticamente significativa al 95% desde fines de los años 90 y se mantiene alta y creciente hasta el final, con la excepción de 2015-2020.18 A partir de 2021 la sincronización del ciclo de crecimiento del PIB total y del PIB manufacturero mexicanos al de vuelve a ser significativa y crece aún más, alcanzando valores cercanos a 0.9.

III. Aspectos econométricos

De acuerdo con Enders (2010: 308), el consenso econométrico coincide en que un VAR irrestricto (VARI) y más aún uno estructural o restringido (SVAR), debe replicar (mimic) el proceso generador de datos, PGD (Hendry, 1980) a partir del cumplimiento de todos los supuestos de correcta especificación, que empieza por la correcta selección de rezagos que asegura que el modelo sea estable y capture adecuadamente la dinámica entre las variables. Si se seleccionan muy pocos rezagos, el modelo puede no capturar temporalidades importantes, mientras que, por el contrario, demasiados rezagos pueden hacer que el modelo sea innecesariamente complejo y menos eficiente. Por tanto, la selección adecuada del óptimo de rezagos que presenta EViews 12 (IHS Markit, 2020),19 acompañada de una correcta especificación que replique adecuadamente los datos, garantiza que el modelo sea estable, que la inferencia estadística sea fiable y así se tenga gran capacidad de introspección y de pronóstico, Medel (2015). La literatura es muy cuidadosa en este punto, ya que la sobreparametrización (asignar más rezagos de los necesarios) aumentará exponencialmente el riesgo de multicolinealidad y de que muchos parámetros no sean significativos, al tiempo que se perderán valiosos grados de libertad que cuestionarán toda la inferencia, Enders (2010: 316). Medel (2015) coincide y plantea que al incluir más rezagos de los necesarios se genera un serio problema de sobreajuste, totalmente innecesario, que podría derivar en problemas de regresión espuria, distorsión en la estimación de la función de impulso-respuesta y menor precisión en los pronósticos. Por otro lado, la subparametrización (asignar menos rezagos de los necesarios) hará perder información muy importante que afectará toda la inferencia al generar un modelo mal especificado (misspecified), que generalmente redundará en autocorrelación serial, Enders (2010: 316).

Mientras que en un VARI la identificación depende esencialmente del ordenamiento de las variables, en un SVAR depende de argumentos teóricos y de lo que empíricamente reportan los datos, con lo que la detección de las innovaciones y de sus efectos a todo el sistema son mucho más precisos y plausibles, Enders (2010). Esa es la verdadera aportación del SVAR.

Blanchard y Quah (1989) proponen un método robusto para descomponer las innovaciones de un conjunto de información en sus efectos permanentes y transitorios mediante la identificación de un SVAR de largo plazo (SVARBQ) que define que las secuencias de las innovaciones εit están asociadas a choques de oferta (que por teoría suelen ser permanentes) y a los de demanda que, también por teoría, suelen considerarse predominantemente transitorios.20

Por todos los aspectos teóricos y empíricos ya revisados, seleccionamos el siguiente sistema de información (Zt) parsimonioso:

Zt=yindust,Qt,ipt, yt (3)

Que expresado en términos del VARI(n) de corto plazo en su forma estructural y ordenado de la variable más exógena a la más endógena, queda como sigue:21

yindust=i=1nβ11iyindust-i+i=1nβ12iQt-i+i=1nβ13iipt-i+i=1nβ14iyt-i+ε1t (4)

ΔQt=i=1nβ21iyindust-i+i=1nβ22iQt-i+i=1nβ23iipt-i+i=1nβ24iyt-i+ε2t (5)

ipt=i=1nβ31iyindust-i+i=1nβ32iQt-i+i=1nβ33iipt-i+i=1nβ34iyt-i+ε3t (6)

yt=i=1nβ41iyindust-i+ i=1nβ42iQt-i+i=1nβ43iipt-i+i=1nβ44iyt-i+ε4t (7)

Este sistema no diferencia las relaciones entre las innovaciones y los parámetros, y solo puede utilizarse en la estimación de corto plazo. En su versión de largo plazo debe reexpresarse en términos de las innovaciones eit que lo identifican, para lo cual deben imponerse restricciones en los fij y así detectar con precisión los efectos estadísticos de largo plazo. Las innovaciones eit son combinaciones lineales del sistema (4)-(7) que, con la identificación de la matriz de largo plazo F, pueden reexpresarse ahora en forma matricial como sigue:

e1te2te3te4t=f11f12f13f14f21f22f23f24f31f32f33f34f41f42f43f44ε1tε2tε3tε4t (8)

Que en forma condensada queda como:

et4x1=F4x4 εt4x1 (9)

Al incorporar estos argumentos, (4)-(7) quedan ahora como:

yindust=i=1nβ11iyindust-i+i=1nβ12iQt-i+i=1nβ13iipt-i+i=1nβ14iyt-i+e1t (10)

ΔQt=i=1nβ21iyindust-i+i=1nβ22iQt-i+i=1nβ23iipt-i+i=1nβ24iyt-i+e2t (11)

ipt=i=1nβ31iyindust-i+i=1nβ32iQt-i+i=1nβ33iipt-i+i=1nβ34iyt-i+e3t (12)

yt=i=1nβ41iyindust-i +i=1nβ42iQt-i+i=1nβ43iipt-i+i=1nβ44iyt-i+e4t (13)

Por simplicidad expresamos (10)-(13) en su forma reducida (con n=1):

xt=Βxt-1+et (14)

Al aplicar el operador de rezagos (L) y despejar xt expresamos al VARI en términos de medias móviles (moving average), lo que permite examinar las interacciones entre las secuencias del sistema de información:

xt=I-ΒLL-1et (15)

Simplificando Γ(L) = (I - Β(L)L)-1 y, de nuevo, expresando cada variable como una ecuación individual:

yindtus=γ11ie1t-i+γ12ie2t-i+γ13ie3t-i+γ14ie4t-i (16)

Qt=γ21ie1t-i+γ22ie2t-i+γ23ie3t-i+γ24ie4t-i (17)

ipt=γ31ie1t-i+γ32ie2t-i+γ33ie3t-i+γ34ie4t-i (18)

yt=γ41ie1t-i +γ42ie2t-i+γ43ie3t-i+γ44ie4t-i (19)

Que supone que las innovaciones ahora son ortogonales. Finalmente, el trabajo de identificación del SVAR consiste en restringir los fij de (8) de acuerdo con nuestro enfoque y con los hechos estilizados.

La función de producción definida en (1), que es crucial para nuestra inferencia, puede descomponerse en la parte de la oferta doméstica (ipt), por sus efectos directos en la acumulación de capital, y en la oferta externa (yindust) por sus múltiples externalidades sobre el conjunto del sistema económico.

Por nuestro interés, y por sencillez que no sacrifica el análisis estadístico riguroso, consideramos que las dinámicas de ipt, yindust y Qt siguen procesos autorregresivos de orden 1, tal como lo hacen BQ (1989):

ipt=i=1ρ1ie1t (20)

yindust=i=1ρ2ie2t (21)

Qt=i=1ρ3ie3t (22)

Que, al incorporarlos a la trayectoria estocástica de yt, quedan como:

yt=i=1ρ1ie1t+i=1ρ2ie2t+i=1ρ3ie3t (23)

Como ya hemos advertido, por teoría asociamos a e1t y a e2t con choques de oferta y a e3t con choques de demanda, lo que además se prueba estadística y empíricamente a continuación.

Análisis de corto plazo (VARI)

La metodología de BQ es muy poderosa en cuanto a que permite hacer inferencia estadística robusta de largo plazo, pero para el corto plazo usamos la matriz triangular inferior irrestricta de Cholesky, ordenada como lo hacemos en (4)-(7).

De acuerdo con la coincidencia de los criterios de información Hannan-Quinn y LR, estimamos un VARI(5) que satisface todos los supuestos estadísticos de correcta especificación: Raíz Máxima = 0.88;22 Doornik-Hansen = 6.74(0.56); White(TNC) = 412.64(0.71); LM(10) = 17.15(0.37) y utilizamos dos dummies de correcta especificación que carecen de sentido económico.

Causalidad de Granger

Este análisis solo refiere precedencia estadística (no causalidad teórica) entre variables dentro del VARI y permite hacer inferencia inicial que ayuda a todo lo que sigue del análisis, e indica que:

  1. Aunque pareciera que yindust es endógena (en conjunto y a yt), sería incorrecto aceptarlo por razones de peso específico de ambas economías. En todo caso, esta significancia podría explicarse por la alta correlación de los datos que reporta la Gráfica 3.

  2. Destaca la endogeneidad de ipt é yt a las demás variables y en conjunto, y no a Qt.

  3. En conjunto e individualmente Qt es claramente exógena debido a que no causa ni es causada estadísticamente por ninguna variable del conjunto de información, Cuadro 4.

Cuadro 4 Causalidad de Granger 

yindust ΔQ ipt yt
Chi-sq df Prob. Chi-sq df Prob. Chi-sq df Prob. Chi-sq df Prob.
ΔQ 1.192 5 0.946 yindust 6.399 5 0.269 yindust 11.837 5 0.037 yindust 36.163 5 0.000
ipt 4.375 5 0.497 ipt 3.269 5 0.659 ΔQ 0.903 5 0.970 ΔQ 3.869 5 0.568
yt 34.301 5 0.000 yt 4.739 5 0.449 yt 17.21 5 0.004 ipt 13.197 5 0.022
All 58.703 15 0.000 All 13.365 15 0.574 All 28.092 15 0.021 All 53.941 15 0.000
H0 : no existe causalidad.

Fuente: estimaciones propias.

Inferencia

Los VARI hacen importante inferencia estadística a partir del choque de las innovaciones al sistema completo. Por el interés del trabajo solo lo hacemos en términos de las respuestas de yt al resto de las variables.

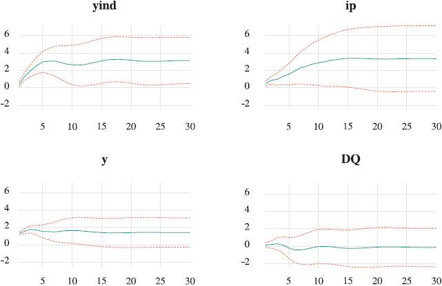
El análisis de respuesta con impulsos generalizados no acumulados de corto plazo corrobora los resultados anteriores en la medida que: a) apreciamos efectos convergentes positivos y significativos a yindust, a ipt y a sí misma por alrededor de 0.8-1.5 puntos, con duración de 5 y 3 trimestres respectivamente,23 y b) la respuesta de yt a Qt es marginal y solo dura 1 trimestre, Gráfica 5.24

Fuente: estimaciones propias.

Gráfica 5 Respuestas de yt a: 

Adicionalmente, la descomposición de la varianza de yt corrobora lo anterior, destacando que: a) yindust tiene efectos inmediatos y estables explicando poco más del 50% de la variación de yt después de 5 periodos, el efecto de ipt es menor y estable desde el inicio y explica alrededor del 20% de la variación de yt, la respuesta inicial de yt a sí misma tiene un efecto inmediato de 40% que se desvanece rápidamente y se estabiliza en poco más del 20% después de 2 periodos, d) Qt tiene efectos marginales, muy menores (6%), desde el trimestre 6, Gráfica 6.

Fuente: estimaciones propias.

Gráfica 6 Descomposición de la varianza de yt respecto a: 

Análisis de largo plazo (SVARBQ)

Con la finalidad de tener un análisis preciso de largo plazo, utilizamos la metodología de BQ. De acuerdo con la econometría estándar de series de tiempo (Enders, 2010: 297-329 y Amisano y Giannini, 1997), la correcta estimación de un SVAR se deriva primero de la correcta especificación de un VARI y, segundo, de que cumpla adecuadamente con la sobreidentificación de las restricciones estructurales vinculantes con la prueba estadística Chi cuadrada (χ2). En la medida que se cumplan todos estos estadísticos de correcta especificación, se puede asegurar que la inferencia estadística es una correcta aproximación al PGD.25

Un SVAR utiliza restricciones ad hoc de identificación que se especifican en la matriz estructural F con lo que se transforman las innovaciones del VARI en choques estructurales no correlacionados. La obtención de estos choques es indispensable para hacer toda la inferencia econométrica adecuada como la respuesta al impulso, la descomposición de la varianza y el pronóstico.

Al identificar la matriz F [ecuaciones (8) y (9)] podemos diferenciar con claridad los efectos de oferta y demanda y su permanencia temporal. De esta manera, y al especificar el sistema con siete restricciones26 que lo sobreidentifican, la matriz de largo plazo, queda como:

eyindusteQteipteyt=f11000f21f2200f31f410f42f33f420f44εyindustεQtεiptεyt (24)

Con esta sobreidentificación evaluamos las respuestas acumuladas de largo plazo de yt a los impulsos de las demás variables. Se aprecian efectos similares a los de corto plazo que validan el argumento de BQ en el sentido de que las variables de demanda tienen efectos menores y transitorios, en nuestro caso nulos. En términos puntuales encontramos que: a) hay efectos inmediatos y permanentes de yindust, b) el efecto de ipt sobre yt es de magnitud semejante, pero desaparece a los 15 periodos, c) la repuesta de yt a sí misma es mucho menor y desaparece en el periodo 12, lo que sugiere la débil dinámica del crecimiento a sí mismo, d) a diferencia del corto plazo, Qt no tiene efectos sobre yt , Gráfica 7.

Fuente: estimaciones propias.

Gráfica 7 SVAR: respuestas acumuladas de yt a: 

Por último, el análisis de descomposición de varianza de yt muestra que, desde el inicio, el efecto de yindust es mucho mayor que el de ipt sobre yt y, a partir del periodo 7, ambos efectos se estabilizan con una importante diferencia: 40% vs 18%, respectivamente. También se observa que desde el principio el efecto de yt sobre sí mismo es mucho mayor, pero se disipa rápidamente y, después de 11 trimestres, se estabiliza en 38%; y nuevamente el efecto de Qt es muy bajo, Gráfica 8.

Fuente: estimaciones propias.

Gráfica 8 Descomposición de la varianza de yt a: 

IV. Análisis y discusión de resultados.27

Estos resultados son intrigantes y sumamente preocupantes en la medida que advierten que los efectos de crecimiento y de volatilidad de yindust, tanto de corto como de largo plazos, son más duraderos que los de ipt sobre el crecimiento económico de México y que se ha reducido notablemente el peso de las variables domésticas medidas por ipt .

Por esta razón, y a petición expresa de los árbitros, hicimos varios análisis econométricos adicionales que corroboran nuestros resultados. En principio, la ausencia de autocorrelación serial en el modelo original28 indica que no hay evidencia estadística de falta de variables relevantes dentro del conjunto de información parsimonioso Zt=yindust,Qt,ipt, yt. De cualquier manera, y por pedido expreso de los árbitros, incorporamos el consumo (const) y el gasto del gobierno (ggt).29

A partir de la coincidencia de tres criterios de rezagos (FPE, LR y AIC) definimos nuevamente un VARI(5) que cumple con todos los requisitos estadísticos de correcta especificación30 y encontramos que no se alteran nuestros resultados, debido a que el análisis de impulso-respuesta indica que, aunque ipt tiene un efecto inicial ligeramente mayor (0.95) que yindust (0.93), se diluye en 4 periodos, mientras que el de yindust dura uno más. En cuanto a la estimación del SVAR ampliado con esas variables de gasto, y siguiendo con el proceso estándar de estimación, encontramos que los impulsos-respuesta acumulados a 30 periodos mantienen los mismos resultados e indican que const y ggt no tienen efectos estadísticamente significativos sobre y t . La descomposición de varianza con errores estructurales confirma que ambas variables fiscales tienen solamente efectos marginales sobre yt, sólo superiores al del tipo de cambio, y lo más importante es que se mantienen los mismos efectos de volatilidad de yindust y de ipt sobre yt .

Por último, y como medida complementaria solicitada por los árbitros, estimamos un VEC(7) - a laJohansen (1989)- para el mismo conjunto de información original en una forma funcional doble logarítmica que arroja elasticidades constantes. Los resultados son consistentes y contundentes debido a que se cumplen todos los estadísticos de correcta especificación,31 además de que claramente Yindust es mucho más elástica (0.62) que los otros dos regresores [IPt (0.42) y Qt (0.14)] lo que corrobora, ahora paramétricamente, los resultados obtenidos previamente con el SVAR(5) parsimonioso:

Yt=7.79+0.42*IPt+0.62*Yindust+0.14*Qt+εt (25)

  • t (11.51) (4.79) (3.05) (2.03)

  • MCE

  • αy = -0.19

  • t (-3.71)

Toda la inferencia estadística del VEC(7) aporta evidencia contundente y es congruente con la del SVAR(5) original, tal como se observa en la Gráfica 9, la Gráfica 10 y la Gráfica 11.

Fuente: estimaciones propias.

Gráfica 9 VEC(7). Análisis impulso respuesta 

Fuente: estimaciones propias.

Gráfica 10 VEC(7). Análisis de descomposición de varianza 

Para mayor contundencia, hemos incorporado ahora la descomposición histórica de la varianza (Burbidge y Harrison,1985) que indica la contribución marginal individual de cada variable a la simulación histórica de base (baseline) que genera el conjunto de información. Con claridad la primera gráfica muestra que aumenta mucho la precisión de la simulación histórica al incorporar Yindust, a diferencia de las demás, cuya contribución marginal es despreciable, Gráfica 11.

Fuente: estimaciones propias.

Gráfica 11 Descomposición histórica de la varianza 

Un último análisis econométrico adicional permite dar mayor fuerza explicativa a todos los resultados anteriores a partir de la primera ley deKaldor (1984: 10) que establece que el crecimiento económico está asociado con el del sector secundario de la economía “… -principalmente del sector manufacturero- y esto es una particularidad de un estadio intermedio del desarrollo económico; es una característica de la transición de la inmadurez a la madurez.”

Así, estimamos al crecimiento del PIB no manufacturero (tynmt) en función del manufacturero (tymt ):32

tynmt = 1.10 + 0.53*tymt + 4.85*dumm+εt (26)

  • t (7.68) (25.37) (11.90)

  • R2= 0.91, DW = 1.54, LM = 1.74(0.11), JB = 3.29(0.19), Ramsey (1)= 1.19(0.23),

  • White (TC) = 0.47 (0.79); dumm = dummy de correcta especificación sin sentido económico.33

Conclusiones

Desde principios de los años 80, y a resultas del agotamiento del modelo económico anterior, se inició un largo proceso de aplicación de reformas estructurales liberales en la economía y en la sociedad mexicanas con el fin de fundamentar sobre otras bases el curso del crecimiento económico.

Como un puntal de la nueva estrategia, se inició la integración económica, comercial y financiera -particularmente la productiva de la manufactura mexicana- con el sector industrial de Estados Unidos. Eso es lo que justifica que hayamos vinculado a ambos sectores a partir de una externalidad positiva en la función de producción de la manufactura mexicana e identificarla como una importante variable de oferta.

Un análisis ANOVA (de contraste de medias), prueba que después de la Gran Recesión de 2009 se redujo aún más el crecimiento del producto potencial de México que puede asociarse a la reducción del dinamismo de largo plazo de la inversión privada y del producto industrial de Estados Unidos y donde el tipo de cambio real no parece contribuir en esta explicación. El dato de crecimiento para 2019-2024 parecería indicar que sigue cayendo aún más el crecimiento potencial.

En la medida que hasta 2018 no aumentó la capacidad de crecimiento potencial, con el cambio de régimen (del nuevo gobierno) se aplicó una gran cantidad de contra reformas buscando nuevamente y con una estrategia muy distinta este objetivo; sin embargo, tampoco se logró. Peor aún, de acuerdo con CEPAL (2023) mientras que entre 2019 y 2024 América Latina creció en 1.96%, México solo lo hizo en 0.77%, solo por arriba de Argentina que decreció en (-)0.23%.

A pesar de la importancia de este grave problema de la economía mexicana -que tiene múltiples efectos en las esferas social, política y económica-, nuestro objetivo no es explicar las razones de este lento crecimiento, sino probar empíricamente la importancia de un número pequeño de variables que registra la literatura empírica en la vena de Barro (1991), Sala-i-Martin (1997) y más recientemente para México de Flores y Jiménez (2024).

Nuestro esfuerzo de investigación y su principal contribución consiste en que, en una búsqueda empírica robusta y muy parsimoniosa, utilizamos tres amplios determinantes del crecimiento que, independientemente de los distintos enfoques teóricos, son ampliamente aceptados en la literatura: el producto industrial de Estados Unidos y la inversión privada (como factores de oferta), y el tipo de cambio real binacional (como factor de demanda).

Con un SVARBQ(5) de largo plazo, identificado con la metodología de Blanchard-Quah (1989), probamos que entre 1995Q1 y 2024Q1 el principal motor del crecimiento de la economía mexicana es el crecimiento de la inversión privada, ligeramente por encima del crecimiento del índice de la producción industrial de Estados Unidos. No obstante, destaca la mucho mayor importancia de esta variable externa en la explicación de la volatilidad del crecimiento (40% vs 18%), además de que tiene efectos permanentes, a diferencia de la inversión privada cuyos efectos desaparecen después de 15 trimestres.

A pedido expreso de los árbitros de la revista para confirmar resultados, con un SVAR(5), ampliado con variables de gasto público y con un VEC(7), corroboramos los resultados econométricos anteriores. Más aún, al hacer análisis de cointegración, encontramos que la elasticidad de Yindust al PIB de México es mayor que la de IPt (0.62 vs 0.42).

Otro resultado empírico crucial es que con distintas estimaciones probamos categóricamente que al menos desde 1995Q1 el tipo de cambio real bilateral no tiene capacidad para explicar al crecimiento ni a su volatilidad, lo que puede deberse a la gran importancia que ha ganado el comercio intraindustrial e intrafirma. También puede asociarse a que desde 1995 el Banco de México adoptó el régimen cambiario de libre flotación con lo que el tipo de cambio dejó de ser el ancla nominal de la economía y, por tanto, el factor dominante en la estabilidad de precios (Heath y Acosta, 2019). Todo esto sugiere que puede seguir siendo la variable que absorba los choques internos y externos debido a que no tiene efectos reales.

Por otro lado, también probamos empíricamente la fuerte asociación dinámica (determinación) del ciclo de crecimiento industrial de Estados Unidos al ciclo de crecimiento del PIB total y manufacturero mexicanos, y que se ha acentuado después de 2020. Pero llama la atención que alrededor de la presidencia de Donald Trump (2016-2020) esta sincronización, perdió significancia estadística muy probablemente a consecuencia del conjunto de políticas que aplicó.

Es necesario analizar este gran resultado que constituye una importante aportación. Si bien en los últimos 30 años el PIB industrial de México ha representado alrededor del 36% del total y de que el PIB de la manufactura ha representado alrededor del 18% del PIB no manufacturero (INEGI, 2024a), la importancia crucial de este sector en la determinación del PIB debe analizarse no solo por esas contribuciones estáticas, sino por los efectos dinámicos y de derrama al resto de la economía (nacional y regional) en términos de exportaciones, generación de divisas e innovación, vinculación con la inversión extranjera directa, etc.34

Lo que se ha visto hasta marzo de 2025 es la intensificación de esas medidas que se han dado en llamar trumponomics 2.0, lo que muy probablemente generará resultados aún más perjudiciales en la economía mexicana, con lo que se perdería mucha fuerza de crecimiento al tiempo que la volatilidad de la producción industrial de Estados Unidos se transmitirá negativamente al crecimiento del PIB manufacturero y total de México.

Por los resultados de este trabajo, es claro que las políticas públicas de crecimiento y de desarrollo económicos de México deberán concentrarse en: a) fomentar a toda costa elevar la inversión pública y privada (interna y externa), b) aumentar dramáticamente la eficiencia de la inversión pública, pero en particular de la privada, que prácticamente se ha derrumbado desde 2018, c) profundizar de una manera mucho más eficiente el encadenamiento productivo de México, ahora no solo con el sector industrial de Estados Unidos que se encuentra estancado desde hace al menos diez años y ha perdido peso en la explicación del PIB de ese país,35 sino también con más sectores de mayor dinamismo y valor agregado de modo que eleve, por esta vía, el crecimiento potencial del PIB mexicano. Estas sugerencias se enfrentan a un ambiente extremadamente hostil y de proteccionismo de Estados Unidos que las dificultan enormemente.

Sin embargo, el mayor desafío actual es cómo insertar productivamente a la economía mexicana en cadenas de mayor valor de Estados Unidos, al tiempo de aumentar muy sensiblemente la inversión privada (tanto en términos reales, como en proporción del PIB) y más aún su eficiencia sobre el resto de la actividad económica, en el contexto actual externo caracterizado por los trumponomic 2.0.

Referencias

Acemoglu, D., Johnson, S. & Robinson, J. A. (2001). The Colonial Origins of Comparative Development: An Empirical Investigation. American Economic Review, 91(5), 1369-1401. https://doi.org/10.1257/aer.91.5.1369 [ Links ]

Acemoglu, D. y Robinson, J. (2012). Por qué fracasan los países: los orígenes del poder, la prosperidad y la pobreza. Deusto. [ Links ]

Amisano, G. & Giannini, C. (1997). Topics in structural VAR econometrics. Springer Nature. [ Links ]

Aspe, P. (1993). El camino mexicano de la transformación económica. FCE. [ Links ]

Banco de México. (2025a). Sistema de Información Económica. https://www.banxico.org.mx/SieInternet/Links ]

Banco de México. (2025b). Gastos Presupuestales del Sector Público (CG9). https://www.banxico.org.mx/SieInternet/consultarDirectorioInternetAction.do?sector=9&accion=consultarCuadro&idCuadro=CG9&locale=esLinks ]

Barro, R. (1991). Economic Growth in Cross Section Countries. The Quarterly Journal of Economics, 106(2), 407-443. https://www.jstor.org/stable/2937943Links ]

Blanchard, O. & Quah, D. (1989). The Dynamic Effects of Aggregate Demand and Supply Disturbances. The American Economic Review, 79(4), 655-673. https://www.jstor.org/stable/1827924Links ]

Bresser-Pereira, L. (2012). The Exchange Rate at the Center of Development Economics. Estudos Avançados, 26(75), 7-28. https://www.bresserpereira.org.br/index.php/new-developmental-theory-ndt/new-developmental-economics-nde-all-texts/9538-5700Links ]

Burbidge, J. & Harrison, A. (1985). An historical decomposition of the Great Depression to determine the role of money. Journal of Monetary Economics, 16(1), 45-54. https://doi.org/10.1016/0304-3932(85)90005-4 [ Links ]

Capriata, W. & Flauzino, L. (2021). The Exchange Rate in Orthodox, Keynesian and New Developmentalism Theoretical Models: a Literature Review. Brazilian Journal of Political Economy, 41(2), 220-235. https://doi.org/10.1590/0101-31572021-3126 [ Links ]

CEPAL (2023). Estudio Económico de América Latina y el Caribe 2023. El financiamiento de una transición sostenible: inversión para crecer y enfrentar el cambio climático. Naciones Unidas. [ Links ]

Cerra, V. & Saxena, S. (2008). Growth Dynamics: The Myth of Economic Recovery. American Economic Review, 98(1), 439-457. https://doi.org/10.1257/aer.98.1.439 [ Links ]

Cerra, V. & Saxena, S. (2017). Booms, Crises, and Recoveries: A New Paradigm of the Business Cycle and its Policy Implications. IMF Working Paper, 17(250). https://doi.org/10.5089/9781484325759.001 [ Links ]

Contreras, O. y Munguía, L. (2007). Evolución de las maquiladoras en México. Política industrial y aprendizaje tecnológico. Región y Sociedad, 19, 71-87. http://www.scielo.org.mx/scielo.php?script=sci_arttext&pid=S1870-39252007000400005&lng=es&tlng=esLinks ]

De Jesús, L. y Quintero, A. (2021). Manufacturas y crecimiento económico. Un análisis para México, 1980- 2017, en De Jesús, L., Carbajal, Y. y Torres, V. (2021) (Coordinadores). Actividad económica en México. Un análisis sectorial. Ediciones y Gráficos Eón, S. A. de C. V. [ Links ]

De María y Campos, M., Domínguez, L., Brown, F. y Sánchez, A. (2013). El desarrollo de la industria mexicana en su encrucijada. Universidad Iberoamericana. México. [ Links ]

Dornbusch, R., Werner, A., Calvo, G. & Fischer, S. (1994). Mexico: stabilization, reform, and no growth. Brookings Papers on Economic Activity, 1994(1), 253-315. https://doi.org/10.2307/2534633 [ Links ]

Enders, W. (2010). Applied Econometric Time Series. 3rd ed. Wiley. [ Links ]

Esquivel, G. (2010). De la inestabilidad macroeconómica al estancamiento estabilizador: el papel del diseño y la conducción de la política económica. En Lustig, N. (Coordinadora). Crecimiento económico y equidad, Los Grandes Problemas de México (pp. 35-78). El Colegio de México. [ Links ]

Esquivel, G. (2024). Why is Mexico not yet developed? El Colegio de México. September. Unpublished. https://gerardoesquivel.org/articulos-en-proceso-de-publicacion/Links ]

Fernández, J. (1999). Efecto de los cambios estructurales en el análisis de series económicas no estacionarias. Tesis doctoral, Universidad Complutense de Madrid. [ Links ]

Flores, H. y Jiménez, A. (2024). Fuentes del crecimiento económico en México: aplicación del promedio de modelos bayesiano. Análisis Económico, 39(102), 107-133, septiembre-diciembre. https://analisiseconomico.azc.uam.mx/index.php/rae/article/view/870/1073Links ]

FRED. (2024a). Industrial Production: Total Index. March, 28. https://fred.stlouisfed.org/series/INDPROLinks ]

FRED. (2024b). Economic Data. https://fred.stlouisfed.org/searchresults/?st=cpi&isTst=1Links ]

Furubotn, E. & Richter, R. (2005). Institutions & Economic Theory. The Contribution of the New Institutional Economics. 2nd ed. University of Michigan Press. [ Links ]

Hanson, G. (2010). Why Isn't Mexico Rich? NBER Working Paper Series. https://doi.org/10.1257/JEL.48.4.987 [ Links ]

Heath, J. y Acosta, J. (2019). Reflexiones y perspectivas a 25 años de la autonomía del Banco de México. Investigación Económica, 78(310), 11-39. https://doi.org/10.22201/fe.01851667p.2019.310.71545 [ Links ]

Helpman, E. (2004). The Mystery of Economic Growth. Cambridge Mass, Belknap. Harvard University Press. [ Links ]

Hendry, D. F. (1980). Econometrics: alchemy or science? Essays in econometric methodology. OUP Oxford. [ Links ]

IHS Markit (2020). EViews 12. Copyright 1994-2020. IHS Global Inc. [ Links ]

INEGI. (2024a). Banco de Información Económica. https://www.inegi.org.mx/sistemas/bie/Links ]

INEGI. (2024b). Banco de Información Económica. https://www.inegi.org.mx/app/indicadores/?tm=0Links ]

Johansen, S. (1988). Statistical Analysis of Cointegration Vectors. Journal of Economic Dynamics and Control, 12(2-3), 231-254. https://doi.org/10.1016/0165-1889(88)90041-3 [ Links ]

Juselius, K. (2006). The Cointegrated VAR model. United Kingdom: Oxford University Press. [ Links ]

Kaldor, N. (1984). Causas del lento ritmo de crecimiento del Reino Unido. Investigación Económica, 43(167), 9-27. [ Links ]

Keynes, J. M. (1936) [1987]. Teoría general de la ocupación, el interés y el dinero. 10ª ed. FCE. [ Links ]

Krugman, P. (1994). Peddling Prosperity. W.W. Norton & Company. [ Links ]

Loría, E. (2009). Sobre el lento crecimiento económico de México: Una explicación estructural. Investigación Económica, 68(270), 37-68. https://doi.org/10.22201/fe.01851667p.2009.270.16681 [ Links ]

Loría, E. y Salas, E. (2015). Mexico and the United States: cycle synchronization, 1980.1-2013.4. Ensayos, 31(1), 75-102. http://ensayos.uanl.mx/index.php/ensayos/article/viewFile/22/22Links ]

Loría, E., Moreno-Brid, J. C., Salas, E. y Sánchez-Juárez, I. (2019). Explicación kaldoriana del bajo crecimiento económico en México. Problemas del Desarrollo, 50(196), 3-26. http://dx.doi.org/10.22201/iiec.20078951e.2019.196.63506 [ Links ]

Lütkepohl, H. & Krätzig, M. (2004). Applied Time Series Econometrics. United Kingdom: Cambridge University Press. [ Links ]

Martínez, S. (2024). Tipo de cambio real y balanza de manufacturas de alta intensidad tecnológica en México: 1994Q1-2023Q2. Tesis de Licenciatura. Facultad de Economía, UNAM. https://tesiunam.dgb.unam.mx/F/GY9D7T1DCUIU47YNEQFR48GA6RYN61FBPM2QK1JFUFQY3BKCD2-21957?func=full-set-set&set_number=071786&set_entry=000002&format=999Links ]

Medel, C. (2015). Probabilidad clásica de sobreajuste con criterios de información: Estimaciones con series macroeconómicas chilenas. Revista de Análisis Económico, 30(1), 57-72. [ Links ]

Mendoza, J. (2011). Impacto de la inversión extranjera directa en el crecimiento manufacturero en México. Problemas del Desarrollo, 42(167), 45-69. https://www.jstor.org/stable/43839653Links ]

Morales, Y. (2013). En México no hay milagro económico: Paul Krugman. El Economista. https://www.eleconomista.com.mx/economia/En-Mexico-no-hay-milagro-economico-Paul-Krugman--20130507-0054.html, mayo 7. [ Links ]

Neter, J., Wasserman, W. & Kutner, M. H. (1983). Applied linear regression models. McGraw-Hill. [ Links ]

Ocegueda, J. (2003). Análisis kaldoriano del crecimiento económico de los estados de México, 1980-2000. Comercio Exterior, 53(11). https://www.researchgate.net/publication/237360503_Analisis_kaldoriano_del_crecimiento_economico_de_los_estados_de_Mexico_1980-2000Links ]

Our World in Data. (2024a). Distribution of gross domestic product by economic sector, United States, 1940 to 2016. https://ourworldindata.org/grapher/shares-of-gdp-by-economic-sector?time=1942..latestLinks ]

Our World in Data. (2024b). Employment by economic sector, United States, 1840 to 2015. https://ourworldindata.org/grapher/employment-by-economic-sector. [ Links ]

Rapetti, M., Skott, P. & Razmi, A. (2011). The real exchange rate and economic growth: are developing countries different? International Review of Applied Economics, 26(6), 735-753. https://doi.org/10.1080/02692171.2012.686483 [ Links ]

Razmi, A., Rapetti, M. & Skott, P. (2012). The real exchange rate and economic development. Structural Change and Economic Dynamics, 23(2), 151-169. https://doi.org/10.1016/j.strueco.2012.01.002 [ Links ]

Rodrik, D. (2008). The Real Exchange Rate and Economic Growth. Brookings Papers on Economic Activity, 2, 365-412. https://dx.doi.org/10.1353/eca.0.0020 [ Links ]

Rodríguez, C. (2017). Un análisis dinámico de los impulsos de oferta y demanda en Puerto Rico y la política monetaria de Estados Unidos utilizando la descomposición estructural Blanchard-Quah. Análisis Económico, 32(81), 5-30. https://analisiseconomico.azc.uam.mx/index.php/rae/article/view/21/20Links ]

Ros, J. (2008). La desaceleración del crecimiento económico de México. El Trimestre Económico, 75(299), 537-560. https://www.jstor.org/stable/20857171Links ]

Ros, J. (2015). ¿Cómo salir de la trampa de lento crecimiento y alta desigualdad? El Colegio de México. UNAM. [ Links ]

Sala-i-Martin, X. (1997). I Just Ran Four Million Regressions. Working Paper 6252. NBER. https://doi.org/10.3386/w6252 [ Links ]

Sánchez-Juárez, I. (2012). Ralentización del crecimiento y manufacturas en México. Nóesis. 21(41), enero-junio. [ Links ]

Sánchez-Juárez, I. y Moreno-Brid, J. C. (2016). El reto del crecimiento económico en México: industrias manufactureras y política industrial. Revista finanzas y política económica, 8(2), 271-299. https://doi.org/10.14718/revfinanzpolitecon.2016.8.2.4 [ Links ]

Wackerly, D., Mendenhall, W. y Scheaffer, R. (2002). Estadística matemática con aplicaciones, 6ª ed. CENGAGE Learning. https://archive.org/details/EstadisticaMatematicaConAplicacionesDennisD.WackerlyLinks ]

ANEXO

Cuadro 1A Pruebas de raíz unitaria 

Qt yusindt yt ipt
ADF T e I
(prob)
-11.588
(0.000)
-3.783
(0.020)
-4.075
(0.009)
-4.227
(0.006)
C
(prob)
-11.638
(0.000)
-3.52
(0.009)
-3.847
(0.003)
-4.259
(0.001)
Nada
(prob)
-11.690
(0.000)
-3.253
(0.001)
-2.867
(0.005)
-4.006
(0.000)
PP T e I
(prob)
-11.897
(0.000)
-3.588
(0.035)
-4.831
(0.001)
-3.737
(0.024)
C
(prob)
-11.966
(0.000)
-3.496
(0.009)
-4.971
(0.000)
-3.791
(0.004)
Nada
(prob)
-12.028
(0.000)
-3.385
(0.000)
-5.132
(0.000)
-3.834
(0.000)
H0 : existe raíz unitaria al 95%. T e I = tendencia e intercepto, C = Constante.
Entre paréntesis, la probabilidad de rechazar H0 . El número de rezagos de cada prueba se determinó con el criterio de optimización de Schwartz. Se concluye que las cuatro variables así expresadas son estacionarias.

Fuente: estimaciones propias.

1“No nos explicamos exactamente en qué punto misterioso México perdió la capacidad de crecer a tasas mayores”, Morales (2013).

2Con la aplicación de múltiples contra reformas de carácter antiliberal, cuyo análisis no abordamos.

3Incorporamos la externalidad positiva que implica la actividad industrial de ese país como demandante principal de las exportaciones manufactureras mexicanas. De ahí que la consideremos como un eslabón productivo crucial de ambas economías.

4Consideramos que esta variable es de demanda porque afecta a las exportaciones netas en la identidad del PIB.

5Este enfoque se refiere a permitir que, basándonos en elementos ampliamente aceptados por distintos cuerpos teóricos, los datos muestren relaciones y patrones regulares sin imponer restricciones o suposiciones previas.

6Por los resultados obtenidos, y a pedido expreso de los árbitros de la revista, confirmamos los resultados principales con la estimación adicional de un VEC(7), del cual incluso se deriva que la importancia de Yindust en la explicación de y es aún mayor que la de IPt. Advertimos desde ahora que las variables en minúscula refieren tasas de crecimiento y las mayúsculas sus unidades originales.

8En específico, y para México, Flores y Jiménez (2024) encuentran que, al igual que Acemoglu et al. (2001) y Acemoglu y Robinson (2012), el Estado de Derecho y el respeto a las instituciones son cruciales en su influencia en el dinamismo de la inversión y, por tanto, del crecimiento. Se acepta ampliamente que los países con instituciones más sólidas garantizan los derechos civiles y de propiedad y mejoran las decisiones de inversión de los agentes privados al generar confianza y certidumbre, sobre todo en grandes inversiones que requieren de largos periodos de maduración y de retorno. Además de que las políticas públicas que incentivan a la inversión interna y externa generan mayor crecimiento económico.

9También conocida como New Developmentalism Macroeconomics, así llamada por autores como Rodrik (2008), Rapetti et al. (2011), Bresser-Pereira (2012), Razmi et al. (2012) y Capriata y Flauzino (2021), entre otros.

10En este trabajo, a pesar de su gran importancia, no analizamos estos determinantes, solo sus efectos sobre el crecimiento económico.

11Por su enorme relevancia, este punto merece una atención especial en la sección de hechos estilizados de este artículo.

12Nuevamente y sin afán de ser exhaustivos, pueden mencionarse, entre otros muchos, a Hanson (2010), Ros (2008 y 2015), De María y Campos et al. (2013), Esquivel (2010 y 2024), Loría (2009), Ocegueda (2003) y Sánchez-Juárez y Moreno-Brid (2016) quienes, desde diversas ópticas, explican este grave problema.

13Hay gran discusión sobre cuándo puede considerarse el inicio de esta importante depresión económica en Estados Unidos y en buena parte del mundo. Aquí consideramos que en el caso específico de México solo puede ubicarse en 2009 debido a que solo en ese año se observaron cifras negativas de crecimiento (-5.29%) que contrastan con los datos positivos de 2008 y 2010 de 1.14% y 5.12%, respectivamente.

14Con la prueba ANOVA [Analysis of Covariance, Wackerly et al. (2002: 632)]. En adelante, y con el propósito de estudiar a las variables en las unidades en que se estiman en la sección econométrica, todo el análisis estadístico siguiente se hace con sus tasas de crecimiento trimestrales anualizadas (en minúsculas) y con la primera diferencia de Q.

15Con la excepción de Q que se expresa en su primera diferencia.

16Aunque sí parecería existir una relación negativa y significativa (de apreciación) al 5% con yindust.

17Estos factores miden el aumento de la varianza de la variable endógena a partir de la correlación entre los regresores. Cuando están muy correlacionados hay grandes errores estándar y, por tanto, se reduce la precisión de las estimaciones y fácilmente pueden arrojar resultados inconsistentes. Un valor entre 1-5 es aceptable debido a que no afecta la inferencia, mientras que valores superiores a 8 reportan graves problemas que la cuestionan, Neter et al. (1983).

18Si bien la explicación de esta pérdida de significancia estadística rebasa el objetivo del trabajo, merece un comentario que puede ser crucial por el momento que, en marzo de 2025, se vive en México. Los trumponomics 1.0 pueden tener un gran poder explicativo y su aplicación en su versión 2.0 desde enero de 2025 advierte lo que puede ocurrir en términos de convertirse en un fuerte factor de inestabilidad y reducción adicional del crecimiento económico al romper -o al menos debilitar mucho- la vinculación con la economía de Estados Unidos.

19Como son: Log-Likelihood, Sequential Modified LR Test Statistic (LR), Final Prediction Error (FPE), Criterio de Información de Akaike (AIC), Criterio de Información de Schwarz (SC o BIC), Criterio de Hannan-Quinn (HQ).

20Si bien esto se aceptó ampliamente por muchos años, ya comentamos anteriormente que, desde la Gran Recesión de 2009, Cerra y Saxena (2008 y 2017) han demostrado que los choques de demanda también pueden tener efectos permanentes relevantes. Sin embargo, respetamos esta clasificación de BQ y dejar que los datos hablen libremente.

21Que coincide con la causalidad de Granger del VARI del Cuadro 3. El desarrollo algebraico siguiente se basa, aunque con diferencias importantes, en Enders (2010: 338-343) y en Rodríguez (2017).

22Este valor asegura la estabilidad dinámica del sistema.

23Este punto es crucial porque demuestra que yindust tiene efectos de corto plazo más duraderos que ella misma y que ip t .

24Esto también ha sido advertido por Martínez (2024: 52) quien, con análisis de cointegración, afirma que entre 1994Q1 y 2023Q2 no existe respuesta significativa de la balanza comercial ni del nivel de actividad al tipo de cambio. Encontró que no se cumple la Condición Marshall Lerner, particularmente en las manufacturas de alta intensidad tecnológica, por la importancia que han adquirido las cadenas globales de valor.

25EViews12 (IHS Markit, 2020) reporta el estadístico LR (Likelihood Ratio) de sobreidentificación como la prueba crucial y única de contraste de un SVAR.

26Además de utilizar, en principio, la matriz triangular superior de BQ, añadimos la restricción 𝑓 32 =0, que es significativa al 1% [ 𝜒2 =2.43 0.11], que además se comprobó al dejar hablar libremente a los datos, y que prueba que no hay efecto de ∆𝑄𝑡 sobre ip t .

27Añadimos esta sección para atender solventemente los comentarios y cuestionamientos de los árbitros. Los resultados econométricos a detalle están a disposición bajo solicitud expresa.

28Demostrada contundentemente con la prueba LM(10) = 17.15(0.37).

29El primero es el “gasto corriente y el segundo es el “gasto presupuestario” de la clasificación económica de los gastos presupuestales del sector público, Banco de México (2025b). Datos mensuales trimestralizados deflactados con el deflactor implícito del PIB.

30Raíz Máxima = 0.88, Doornik-Hansen = 20.77(0.05), White (N.C.) = 1365.49(0.49), LM(7) = 35.68(0.48).

31Una relación de cointegración y 3 tendencias comunes, Raíz Máxima = 0.97, Doornik-Hansen = 5.48(0.24), White(N.C.) = 619.24(0.50), LM(7) = 17.28(0.36).

32Esta distinción de variables evita hacer una doble contabilidad.

33Este modelo, al igual que todos los anteriores, está correctamente especificado y es consistente (aún con pequeñas diferencias numéricas por diferentes periodos y espacios geográficos) con las estimaciones y los análisis de Loría et al. (2019), De Jesús y Quintero (2021), Sánchez-Juárez (2012), Sánchez-Juárez y Moreno-Brid (2016) y Ocegueda (2003).

34En forma reducida se pueden sintetizar en los siguientes datos: a) las exportaciones manufactureras mexicanas contribuyen con el 88% del total, mientras que en 1991 eran el 73%, b) la participación de la manufactura en la estructura de la producción industrial en 1993 era de 46% y en 2019 pasó a 56%, c) hacia 2024 el 42% de la IED en México fue a manufacturas y Estados Unidos ocupó el primer lugar con el 52%.

35Mientras que en 1980 la contribución porcentual de la industria al PIB total de Estados Unidos era de 28.3%, hacia el año 2016 había caído hasta 17.3%, y el empleo de 27.8% a 15.1%, respetivamente, Our World in Data (2024a y 2024b).

Recibido: 12 de Diciembre de 2024; Aprobado: 28 de Abril de 2025; Publicado: 01 de Septiembre de 2025

Creative Commons License Este es un artículo publicado en acceso abierto bajo una licencia Creative Commons