La germinación de una semilla incluye un conjunto de eventos físicos, fisiológicos, bioquímicos y moleculares que le permiten reanudar su metabolismo a velocidad sostenida, después de la deshidratación durante la maduración (Nonogaki et al. 2010). Con esto, la semilla completa los eventos celulares que culminan con la emergencia del embrión a través de las estructuras circundantes y así se prepara para el crecimiento de la plántula (Nonogaki et al. 2010). En la mayoría de las especies las características de germinación de sus semillas varían entre poblaciones, dentro de ellas, entre individuos y dentro de ellos (Hernández-Verdugo et al. 2001, Hernández-Verdugo et al. 2010, Ramírez-Tobías et al. 2012, Salinas-Morales et al. 2023). El origen de esta variación es genética y fenotípica. Esta última resulta de la combinación de factores locales durante la formación y maduración de la semilla y es particular para cada una, puesto que depende de factores maternos, su posición en la planta madre y de factores bióticos y abióticos, como los asociados con la altitud, durante su formación y desarrollo (Gutterman 2000). En este sentido, el ambiente de la planta madre puede afectar la morfología, fisiología y bioquímica de las semillas al participar en la cantidad y los tipos de nutrientes transferidos de la planta madre a la semilla (Donohue 2009). Esta transferencia de nutrientes se considera una de las estrategias que utilizan las semillas para hacer frente a la adversidad y garantizar el éxito de la germinación (Tonguç et al. 2022, Li et al. 2024). Al respecto, las semillas de Chenopodium bonus-henricus recolectadas de poblaciones naturales a 600 m de altitud tuvieron cubierta seminal significativamente más delgada, menor contenido de polifenoles y mayor germinación comparadas con las semillas recolectadas a 2600 m (Dorne 1981). En contraste, los porcentajes de germinación y las tasas de germinación de las semillas de 14 poblaciones silvestres de Capsicum annuum con altitud de origen entre 3 y 390 m no correlacionaron significativamente con las variables climáticas de la altitud de los sitios de recolección (Hernández-Verdugo et al. 2001). La falta de correlación fue similar en cuatro poblaciones de C. annuum silvestre de altitud entre 130 y 390 m de altitud (Hernández-Verdugo et al. 2010).
Además, durante la germinación la disponibilidad agua, la temperatura, la relación adecuada de gases (como O2, CO2) y la cantidad y calidad de luz pueden promoverla o inhibirla (Courtis 2013); cuando uno o más de estos factores está fuera del intervalo adecuado la germinación de la semilla se inhibe (Ramírez-Tobías et al. 2012, Salinas-Morales et al. 2023). Cuando la temperatura demasiado baja o elevada genera estrés por frío o por calor en la semilla en germinación y puede inhibir parcial o totalmente este proceso dependiendo de la intensidad del estrés (Wahid et al. 2007). Así, el estrés por calor ejerce impacto negativo en los cultivos durante la germinación de las semillas, el que depende de la especie y de su tolerancia (Morohashi 1986, Wahid et al. 2007, Kumar et al. 2011, Ramírez-Tobías et al. 2012, Courtis 2013, Hasanuzzaman et al. 2013, Morales-Santos et al. 2017).
Las plantas silvestres y en cultivo están expuestas a las alteraciones de los patrones de temperatura en todas las etapas fenológicas, desde la germinación hasta el desarrollo de los frutos, debido a los efectos del calentamiento global (Allakhverdiev et al. 2008, Stocker et al. 2013, Cheabu et al. 2018). Temperaturas cercanas a 45 °C (muy altas) inhibieron totalmente la germinación de semillas de trigo (Triticum aestivum) y provocaron muerte celular y de embriones (Cheng et al. 2009). El estrés por calor redujo la germinación de las semillas y el vigor de las plántulas de arroz (Oryza sativa L.) durante el cultivo (Xu et al. 2021). Temperaturas nocturnas moderadamente altas (25 ºC comparadas con 15 ºC) durante 30 días, afectaron drásticamente el crecimiento y el metabolismo de plantas jóvenes de maguey pulquero (Agave mapisaga Trdel. y A. salmiana Otto ex Salm-Dyck), lo que dependió parcialmente de ambiente de procedencia de las semillas (Jiménez-Torres et al. 2021).
El género Capsicum fue domesticado desde hace unos 10,000 años en más de una región del continente americano; el proceso generó cinco especies, i.e., Capsicum annuum L., C. frutescens L., C. chinense Jacq.L., C. pubescens Ruiz & Pav. y C. baccatum L. (Bosland & Votava 2012). Estas actualmente son cultivadas y consumidas en amplias regiones del mundo (Guzmán & Bosland 2017). En México se reconocen decenas de tipos morfológicos de C. annuum; entre ellos están los denominados chile ancho, guajillo, jalapeño, serrano y verde, con uso generalizado y numerosos tipos o variantes propias de regiones naturales y agroclimáticas específicas (Aguilar-Rincón et al. 2010). En 2023 la producción mundial de chile superó los 36 millones de toneladas, obtenidas de cultivos en más de 2 millones de hectáreas (FAOSTAT 2024). El cultivo actual de esta hortaliza incluye numerosos países y regiones, entre los que destacan México, Indonesia y China con 62 % de la producción total mundial (FAOSTAT 2024). La producción de chile es alta debido a sus valores nutricionales, terapéuticos y farmacológicos (Duranova et al. 2022).
La temperatura óptima para la germinación de las semillas de Capsicum annuum oscila entre 20 y 25 ºC (SIACON 2024); su cultivo en gran parte del territorio nacional incluye variantes y cultivares criollos, regionales o mejorados, que están adaptados a condiciones climáticas propias de cada región. Esto permite que C. annumm se cultive prácticamente en todo el territorio nacional, durante la mayor parte del año (Aguilar-Rincón et al. 2010). Sin embargo, actualmente 15.5 % de la producción nacional de chile proviene de agricultura protegida y el resto se cultiva en campo (SIACON 2024); por lo que, grandes extensiones con las semillas sembradas y del cultivo están expuestas a los incrementos de la temperatura derivados del cambio climático. Hasta el momento, la información sobre el efecto del estrés por altas temperaturas en la fase de germinación de chile es mínima (Rosmaina et al. 2021). López-España et al. (2017) registraron los efectos del termoperiodo (35:25 ºC 12 h día /12 h noche) y el peso de semilla en la germinación de chile silvestre C. annuum var. glabriusculum de cinco poblaciones de chile silvestre del Noroeste de México, cultivada en invernadero. La germinación con ese termoperiodo fluctuó entre 40 y 70 % entre las poblaciones y la germinación final no se correlacionó significativamente con el peso de la semilla debido a los efectos maternos. Rosmaina et al. (2021) evaluaron el impacto de la temperatura, entre 35 y 41 ºC, en un único evento durante 4 a 12 h, por inmersión en agua de las semillas de chile de la variedad Kopay previo a la germinación. Los tratamientos pregerminativos con 39 y 41 ºC incrementaron a 91 % la germinación con 25 ºC, independientemente del tiempo de exposición al calor, comparada con 66 % del control.
Por la importancia del cultivo de C. annuum, del ambiente de origen de la semilla y de la temperatura en la germinación de las semillas el objetivo del estudio fue evaluar el efecto del intervalo térmico entre 20 y 40 ºC en la imbibición y germinación de semillas de chile verde de cultivos de dos altitudes. La hipótesis fue que el estrés por temperaturas mayores a 20 ºC durante la imbibición y germinación de semillas de C. annuum depende de su altitud de origen.
Materiales y métodos
Semillas evaluadas. Las semillas fueron obtenidas de frutos frescos de Capsicum annuum (chile verde) cultivados en campos de cultivo comerciales, en el ciclo primavera-verano de 2022, en Cuautempan (19° 54′ 47.37″ N 97° 47′ 47.92″ O y 1,503 m snm) y Xochiapulco (19° 49′ 16″ N, 97° 39′ 00″ O y 1,992 m snm) en la Sierra Norte, Puebla, México (García 2004). La precipitación anual fluctúa entre 2.7 y 16.8 mm en Cuautempan (Figura 1A) y entre 0.7 y 8.0 mm en Xochiapulco (Figura 1B). Las fluctuaciones de la temperatura mínima y máxima anuales van de 5.5 a 11.7 ºC y de 23.6 a 31.6 ºC en Cuautempan (Figura 1A) y de 7.5 a 13.3 ºC y 18.6 a 23.7 ºC en Xochiapulco (Figura 1B). Los frutos analizados fueron de la variante regional conocida por los productores, comerciantes y consumidores como “chile verde”, la que es comercializada principalmente para consumir fresca.

Figura 1 Climogramas basados en la precipitación media (barras) y la temperatura mínima (círculos negros), media (círculos verdes) y máxima (círculos rojos) en (A) Cuautempan (1,503 m snm) y (B) Xochiapulco (1,992 m snm.) Puebla, México. Cada barra y círculo representa los datos promedio mensuales (1: enero … 12: diciembre) de 10 años, de 2014 a 2023 (CONAGUA 2024; agosto, mediante el servicio: Atención a usuarios).
Después de pesar los frutos, las semillas fueron extraídas, contabilizadas y pesadas. Las semillas y los restos de los frutos fueron mantenidos (esparcidos en hojas de papel adsorbente) en un invernadero, durante una semana, hasta peso constante. Las evaluaciones de imbibición y germinación iniciaron enseguida y las semillas se mantuvieron en frascos de vidrio dentro de un refrigerador (5 ? 1 ºC) en los seis meses durante los que se hicieron las evaluaciones.
Evaluación de la masa y número de semillas en los frutos y de la masa de las semillas. La longitud de 25 frutos se obtuvo con vernier (pie de rey) digital (STEREN® HER-411, México); además se obtuvo su masa húmeda y seca en una balanza analítica (Scientech® SA 120, USA). La masa individual de 300 semillas se obtuvo también con balanza analítica (Scientech® SA 120, USA).
Evaluación de la imbibición y la germinación de las semillas. Estas evaluaciones se desarrollaron de acuerdo con los métodos descritos por The Seed Testing International Association (ISTA 2024). Las semillas se colocaron en cajas Petri con soporte de papel filtro, se humedecieron con agua destilada y se mantuvieron en dos cámaras con ambiente controlado (Seedburo ATTGPT-B, USA), con 20.0, 25.0, 27.5, 30.0, 32.5, 35.0, 37.5 o 40.0 ± 1 ºC constantes y en obscuridad.
La imbibición se cuantificó en semillas individuales, cada 4 h, durante 72 h, mediante el incremento de su masa de cada semilla y correspondió a la ganancia de peso de la semilla, debida a la adsorción de agua respecto al peso inicial. Los valores se expresaron en porcentaje (ISTA 2024). Con los valores fueron determinadas la imbibición inicial, la imbibición máxima y el tiempo para esta última.
La germinación se cuantificó cada 12 h, durante 350 h. La semilla se consideró germinada cuando la raíz expuesta tenía alrededor de 0.5 a 1 cm de longitud. Los valores fueron expresados como porcentaje del total de semillas en la unidad experimental (ISTA 2024). Las evaluaciones fueron alternadas con cada temperatura e iniciaron desde las temperaturas extremas hacia las del centro del intervalo evaluado. Los grupos de unidades experimentales fueron diferentes para cada variable, con lo que fue eliminada la probabilidad de alterar la germinación por daño mecánico durante el pesaje de las semillas en la evaluación de imbibición.
Diseño experimental. El diseño experimental del estudio fue completamente al azar con 16 tratamientos, generados de la combinación de las dos altitudes de origen de los cultivares y las ocho temperaturas de germinación. La imbibición y la germinación fueron evaluadas en grupos de seis unidades experimentales, con 10 semillas cada una.
Los parámetros de germinación analizados y las ecuaciones para su cálculo son los siguientes:
-
Inicio de la germinación (IG, días)
IG = Tiempo para el primer evento de germinación (días)
-
Germinación máxima (GM, %)
GM = (Número total de semillas germinadas / Número total de semillas) × 100
-
Periodo para la germinación máxima (PGM, días)
PGM = Tiempo para la germinación máxima de semillas (días)
-
Velocidad de germinación (VG, semillas/día)
VG = Número de semillas germinadas / Días para la 1ª germinación + …+ Número de semillas germinadas / Días para la germinación final.
Análisis estadístico. La masa de las semillas fue comparada entre los orígenes mediante la prueba t-Student. La distribución de la frecuencia de la masa de las semillas fue obtenida con el software SigmaPlot 11.0 (versión libre: https://sigmaplot.software.informer.com/11.0/). La imbibición inicial, imbibición y germinación máxima de las semillas entre las temperaturas dentro y entre los sitios de origen fueron analizadas con ANDEVA y prueba de comparación múltiple de medias de Tukey (P ≤ 0.05). Las curvas de imbibición y germinación de las semillas, las ecuaciones con el mejor ajuste y los parámetros relevantes de cada una fueron obtenidos con el software SigmaPlot 11.0.
Resultados
Peso y número de semillas por fruto. Los frutos de Cuautempan fueron más pesados (variación de 1.89 a 4.06 g) y con contenido mayor de semillas (entre 40 y más de 100) comparados con los de Xochiapulco (variación de 1.91 a 3.39 g y entre 10 y 80 semillas). en los frutos de ambos sitios se observó relación directa (lineal) entre el número de semillas y su materia seca por fruto. En los frutos de Xochiapulco esa relación fue mayor (Figura 2A).

Figura 2 (A) Relación del número de semillas con su materia seca por fruto de Capsicum annuum L. cultivados en Cuautempan (círculos azules) y Xochiapulco (círculos rojos), Sierra Norte de Puebla, México. (B-C) Distribución de la frecuencia del peso de las semillas de los frutos de Cuautempan (B) o Xochiapulco (C); con media ± E.E. de 3.564 ± 0.872 o 3.745 ± 0.054 mg y n = 250.
Peso de las semillas. El peso de las semillas de Cuautempan varió en el intervalo de 2.0 a 5.8 mg y la distribución de su frecuencia absoluta fue asimétrica con sesgo positivo; además, sobresalió que su distribución fue bimodal asimétrica, con frecuencia mayor de semillas con peso alrededor de los 3 mg. El peso promedio por semilla de la muestra analizada fue 3.56 mg (Figura 2B).
En las semillas de Xochiapulco el peso varió en el intervalo de 2.0 a 5.5 mg; la distribución de su frecuencia absoluta fue asimétrica con sesgo negativo y de tipo dentado, con valores altos y bajos en el intervalo total de frecuencia. En estas semillas la media del peso fue 3.75 mg, con un máximo de frecuencia de 4.5 mg (Figura 2C). La comparación del peso promedio de las semillas de ambos orígenes mostró diferencias significativas (P = 0.002), con semillas 5.07 % más pesadas en la muestra de Xochiapulco respecto a Cuautempan.
Imbibición. La imbibición acumulada de las semillas de ambos orígenes incrementó exponencialmente (y = a (1 - e -bx)) durante las 72 h de evaluación con 20.0, 25.0, 27.5, 30.0, 32.5 y 35.0 ºC. La imbibición inicial, en las primeras 4 horas, en todos los casos fue más acelerada respecto al tiempo restante y representó entre la mitad y más de dos tercios de la imbibición máxima. Con 20.0 a 35.0 ºC la imbibición inicial de las semillas de Cuautempan fue (< 80 % de la masa original de las semillas) significativamente menor que en las de Xochiapulco (entre 85 y 99 %) (Figura 3A-B).

Figura 3 Imbibición+ E.E. (%) con 20.0 (
,
), 25.0 (
,
), 27.5
(
,
), 30.0 (
,
), 32.5 (
,
), 35.0 (
,
),
37.5 (
,
) o 40.0 (
,
) ± 1.0 ºC de las
semillas de frutos de Capsicum annuum L., en madurez
comercial, cultivados en Cuautempan (A, C) y Xochiapulco (B, D), Puebla
México. Ecuación de las curvas ajustadas: y = a (1 - e -bx).
El asterisco sobre las curvas indica diferencia significativa
(P ≤ 0.05) entre los tratamientos;
n = 6.
Con las temperaturas extremas de 37.5 y 40 ºC la imbibición acumulada, durante las 72 h de evaluación, de las semillas de ambos orígenes mostró mejor ajuste a una tendencia similar al de las temperaturas entre 20 y 35 ºC. Sin embargo, con 37.5 ºC la imbibición inicial de las semillas de Cuautempan fue (70 %) significativamente menor que con 40 ºC (83 %) y representó hasta 97 % de la imbibición máxima. Por el contrario, en el caso de Xochiapulco la imbibición inicial no fue diferente entre las temperaturas extremas (100 % del peso original de las semillas) y representó hasta 74 % de su imbibición máxima (Figura 3C-D). Además, la imbibición inicial de las semillas de Cuautempan con 40 ºC fue la mayor (82 %) entre las ocho temperaturas evaluadas y en las de Xochiapulco el valor mayor fue 102.5 % con 37.5 ºC. Por lo que, las diferencias significativas de la capacidad de imbibición inicial de las semillas entre los orígenes de las semillas fueron evidenciadas con esas temperaturas extremas (Figura 3A-D).
La imbibición inicial dependiente del incremento de la temperatura mostró tendencia lineal simple (y = bx + a) en las semillas de ambos orígenes. Sin embargo, la pendiente de estas curvas fue opuesta. Al respecto, la tendencia en las semillas de Cuautempan mostró caída con pendiente b = -0.185; al contrario, en las semillas de Xochiapulco la tendencia fue de incremento con pendiente b = 0.479 (Figura 4A).

Figura 4 Imbibición inicial (A) y máxima (B) y tiempo para iniciar la germinación (C) y para la
germinación máxima (D) dependiente de la temperatura de germinación de
las semillas de frutos de Capsicum annuum L., en
madurez comercial, cultivados en Cuautempan (
) y Xochiapulco
(🔴), Puebla, México; n = 6.
La imbibición máxima varió significativamente dentro y entre las procedencias de las semillas por efecto de la temperatura. La excepción fue con 25.0 ºC, ya que en las semillas de ambos sitios la imbibición máxima fue (150 y 157 %) mayor comparada con las otras temperaturas y no fue significativamente diferente entre procedencias. En contraste, la imbibición máxima de las semillas de Cuautempan fue menor (entre 98 y 126 %) con 20.0 y de 27.5 a 40.0 ºC respecto a Xochiapulco (entre 132 y 157 %) con las mismas temperaturas (Figura 3A-D).
Particularmente, la imbibición máxima de las semillas de Cuautempan con 37.5 no fue significativamente diferente respecto a 40 ºC (89 % en promedio) y ambas fueron significativamente menores respecto a Xochiapulco (139 y 153 % respectivamente). Algunas de las diferencias en las características de imbibición de las semillas entre procedencias, incluida la capacidad contrastante para embeber cantidades máxima de agua, fueron demostradas con las temperaturas extremas 37.5 y 40 ºC (Figura 3C-D). Además, la relación de la imbibición máxima de las semillas de ambos orígenes con el incremento de la temperatura mostró tendencia lineal simple (y = bx + a). Sin embargo, como en el caso de la imbibición inicial, la línea que describió la imbibición máxima de las semillas de Xochiapulco mostró pendiente positiva (b = 0.362) y, al contrario, la tendencia en las semillas de Cuautempan fue negativa (b = -2.286) (Figura 4B).
Germinación. Durante las 350 h de evaluación, las semillas de ambas localidades germinaron con temperaturas bajas e intermedias, entre 20 y 35 ºC. En estas condiciones mostraron porcentajes variables dentro y entre localidades. La germinación de las semillas de ambas localidades describió tendencia sigmoidea (y = a / 1+e (-(x-x0) / b))) con esas temperaturas (Figura 5A-B). El inicio de la germinación fluctuó con las temperaturas en las semillas de cada localidad con tendencia específica; sin embargo, el porcentaje inicial de germinación dependiente de la temperatura mostró incremento lineal (y = bx + a) en ambas localidades. La diferencia en el inicio de la germinación de las semillas entre las localidades la evidenciaron las pendientes de esas relaciones lineales; i.e., en el caso de las semillas de Cuautempan la pendiente fue mayor (b = 0.200) respecto a Xochiapulco (b = 0.049) (Figura 4C). Esta diferencia fue, en parte, el efecto de la respuesta aparentemente atípica de retardo del inicio de la germinación, hasta 184 horas) con 32.5 ºC en las semillas de Cuautempan, el que no se observó en las de Xochiapulco (Figura 5A-B).

Figura 5 Germinación+ E.E. (%), con 20.0 (
,
), 25.0 (
,
), 27.5
(
,
), 30.0 (
,
), 32.5 (
,
), o 35.0 (
,
) ± 1.0 ºC de las semillas de frutos de Capsicum
annuum L., en madurez comercial, cultivados en Cuautempan
(A, C) y Xochiapulco (B, D), Puebla, México, o después de permanecer con
37.5 (
,
) o 40.0 (
,
) ± 1.0 ºC durante 14
días y ser transferidas (flecha sobre las curvas) a ambiente con 25 ±
1.0 ºC. Ecuación de las curvas ajustadas al modelo sigmoideo: y = a /
(1+e (-(x-x0) / b). El asterisco sobre las curvas indica
diferencia significativa (P ≤ 0.05) entre las
temperaturas de cada localidad; n = 6.
El porcentaje y tiempo para la germinación inicial de las semillas de Xochiapulco también varió (P ≤ 0.05) con las temperaturas entre 20 y 35 ºC. Con 25 ºC la germinación inicial de las semillas de esta localidad fue cerca de 10 % mayor comparada con las otras temperaturas y con 35 ºC la germinación inició después de 100 horas. Así, en general el incremento de la temperatura retardó el inicio de la germinación de las semillas (Figura 4C).
Las temperaturas extremas, i.e., 37.5 y 40.0 ºC inhibieron totalmente la germinación de las semillas de ambas localidades; por lo que, los parámetros de la germinación, como el porcentaje y tiempo para el inicio de la germinación, fueron cero (Figura 5C-D).
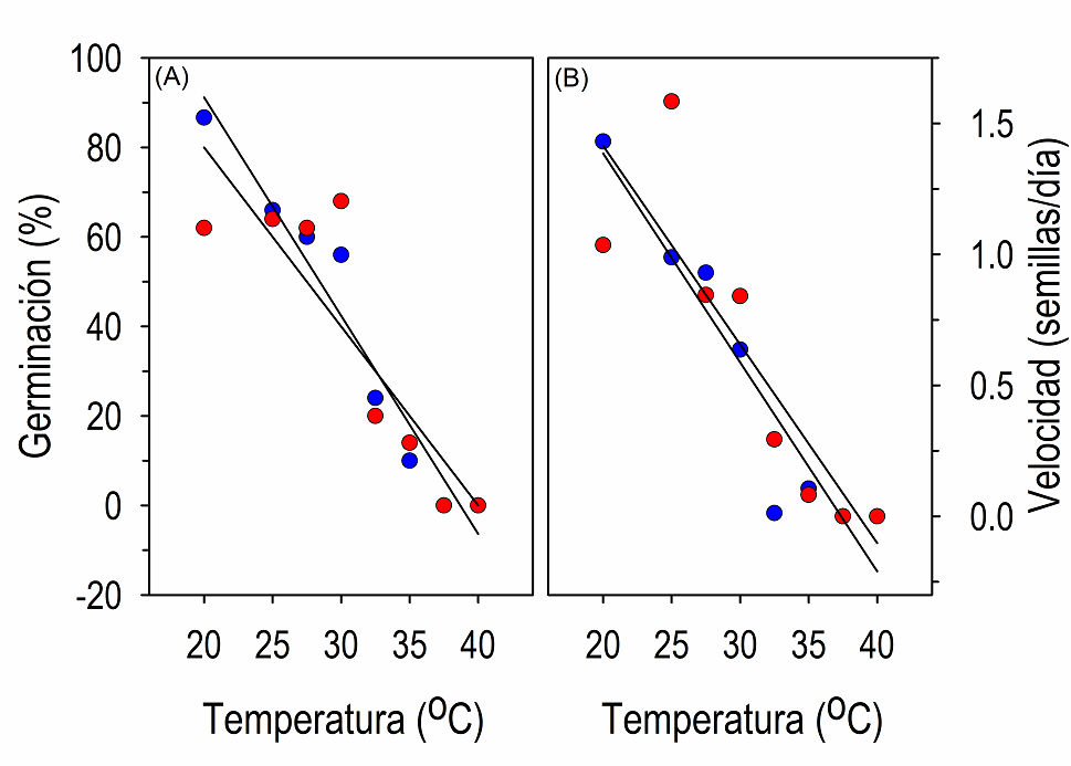
La germinación máxima, dependiente de la temperatura, entre 20.0 y 35.5 ºC también varió dentro y entre las localidades. En general, en las semillas de Cuautempan la germinación máxima decayó (P ≤ 0.05) con el incremento de la temperatura. La germinación máxima de las semillas de esta localidad con 20 ºC fue la más alta (87 %) comparada con el resto de las temperaturas.
Las diferencias en la germinación máxima de las semillas de Cuautempan con temperaturas entre 25 y 30 ºC no fueron significativas (P > 0.05), pero la tendencia de disminución fue evidente (66 a 56 %). Además, la germinación máxima con 20 a 30 ºC si fue significativamente mayor (P ≤ 0.05) comparada con la de las temperaturas altas, i.e., 32.5 (24 %) y 35.0 ºC (10 %), que, a la vez, también fueron diferentes entre sí (Figura 5A). Así mismo, la germinación máxima de las semillas de Cuautempan con las seis temperaturas entre 20 y 35 ºC fue mayor respecto a las temperaturas extremas de 37.5 y 40.0 ºC, con las que disminuyó a 0 % (Figura 5A, C). Por lo que, la relación de la germinación máxima de las semillas de Cuautempan en dependencia de la temperatura se ajustó al modelo lineal (y = bx + a) y mostró pendiente pronunciada y negativa (b = -4.878; Figura 6A). Independientemente del efecto inhibidor de las temperaturas, el tiempo para la germinación máxima de las semillas de Cuautempan fue poco variable. Por lo que, el tiempo para que se alcanzara la germinación máxima en función de la temperatura mostró tendencia lineal (y = bx + a) con pendiente cercana a cero (m = 0.008; Figura 4D). En contraste, la velocidad de germinación de las semillas de Cuautempan con las ocho temperaturas entre 20.0 y 40.0 ºC decayó de 1.43 a 0 semillas día-1 (Figura 6B).

Figura 6 Germinación máxima (A) y velocidad de germinación (B) dependientes de la temperatura de
germinación de semillas de Capsicum annuum L. de frutos
en madurez comercial cultivados en Cuautempan (
) y Xochiapulco
(🔴), Puebla, México; n = 6.
La germinación máxima de las semillas de Xochiapulco con 20, 25, 27.5 y 30 ºC, fue o tendió a ser menor que en Cuautempan. Además, las diferencias en la germinación máxima de las semillas de Xochiapulco con estas cuatro temperaturas no fueron significativas (P > 0.05) entre sí, ya que, a partir de los 9 días de germinación las cuatro curvas se superpusieron (Figura 5B). En contraste, la germinación máxima de las semillas de la misma localidad con 32.5 y 35.0 ºC disminuyó significativamente respecto a aquel grupo y, aunque con 32.5 ºC no hubo diferencias (P > 0.05) respecto a 35.0 ºC, con esta última temperatura la inhibición de la germinación máxima tendió a incrementar. Además, como en las semillas de Cuautempan, también en las semillas de Xochiapulco el efecto inhibidor de las temperaturas superiores a 30 ºC, es decir 32.5 y 35 ºC, modificó poco el tiempo para la germinación máxima; por lo que, la relación entre estas dos variables mostró tendencia lineal con pendiente cercana a cero (b = -0.023; Figura 4D).
La diferencia más amplia en la germinación máxima de las semillas de Xochiapulco fue de 64 % con 25 ºC a 0 %, con las temperaturas extremas de 35.5 y 40.0 ºC (Figura 5B, D). El efecto negativo del incremento de la temperatura en la germinación máxima de las semillas de Xochiapulco se ajustó al modelo lineal (y = bx + a) con pendiente negativa (b = -4.878; Figura 6A).
Aunque el incremento de la temperatura de 20 a 35 ºC inhibió en proporción diferente la germinación máxima de las semillas de ambas localidades, tuvo poco efecto en el tiempo para cada valor de germinación máxima. Sin embargo, la velocidad de germinación de las semillas de Xochiapulco se vio afectada negativamente y decayó de 1.59 a 0 semillas día-1 y las velocidades de germinación fue inversa al incremento de la temperatura, con tendencia lineal (y = bx + a) y pendiente negativa similar a las semillas de Cuautempan (Figura 6B).
Para comprobar si con 37.5 y 40.0 ºC, durante 14 días, la germinación de las semillas fue inhibida reversiblemente o no, al concluir este periodo las semillas fueron transferidas a ambiente con 25.0 ºC. En esta condición, las semillas de ambas localidades activaron la germinación independientemente de la temperatura inhibitoria previa. Las características de la activación difirieron dentro y entre las variantes. Las semillas de Cuautempan con 37.5 ºC iniciaron la germinación 9 días después de ser transferidas a 25.0 ºC; a partir de ese momento aceleraron la germinación y en los siguientes 3 días la germinación máxima alcanzó 18 %. El tiempo para la germinación máxima en esta segunda etapa fue 12.5 d (Figura 5C).
En las semillas de Cuautempan transferidas de 40 a 25 ºC el tiempo para el inicio de la germinación fue sólo de 3 días, la germinación fue acelerada en los siguientes días y presentaron germinación máxima de 42 % completada en 12 días después del cambio de temperatura (Figura 5C).
Las semillas de Xochiapulco que no germinaron con 37.5 ºC, al ser transferidas a 25.0 ºC iniciaron la germinación en 9 días, aceleraron la germinación y en los siguientes 9 días mostraron incrementos en varias etapas; la germinación máxima fue 32 % en el tiempo total de 24 d. Estos resultados contrastaron con los de las semillas del mismo origen transferidas de 40 a 25 ºC, ya que el tiempo para el inicio de la germinación disminuyó 6 días, la germinación máxima fue 68 % y la completaron en 13.5 días (Figura 5D).
Discusión
En el presente estudio se observaron diferencias en la masa de los frutos de C. annumm y en el contenido de semillas por fruto de muestras de cultivos comerciales de Cuautempan y Xochiapulco, Sierra Norte de Puebla. Esas regiones contrastan en su altitud, 1,503 m snm en el primer sitio y 1,992 m snm en el segundo. Esta diferencia de 490 m se acompaña con contrastes en la precipitación y la temperatura media anual. En Cuautempan la precipitación mayor sucede en junio y septiembre (con 14.6 y 16.8 mm), en cuatro meses del año supera los 11 mm mensuales y la media anual es cercana a 8 mm. En contraste, en Xochiapulco, la localidad con más altitud, la precipitación mayor corresponde a septiembre y octubre (con 7.4 y 8.0 mm) y la anual es menos de la mitad que en Cuautempan.
Las temperaturas mínimas en la localidad con altitud menor son (entre 2 y 3 ºC) menores respecto a Xochiapulco. Sin embargo, las diferencias se incrementan en las temperaturas máximas entre las localidades y la relación se invierte respecto a las temperaturas mínimas; ya que, Cuautempan, con altitud menor, muestra las temperaturas máximas mayores (cercanas a 32 ºC), las que se mantiene durante seis meses del año. En el sitio con altitud mayor la temperatura máxima es menor a 24 ºC y la media anual (20.8 ºC) es 7.9 ºC menor respecto a Cuautempan.
A simple vista las muestras analizadas no mostraban diferencias por efecto del sitio de recolecta. Sin embargo, la diferencia en la masa de los frutos sí fue significativa, los de mayor altitud tuvieron 5 % más masa comparados con los de altitud menor. Estudios de caracterización morfológica destacan la importancia de evaluar el tamaño de los frutos, pues las diferencias entre sitios de cultivo indican la existencia de variabilidad genética de C. annuum var. glabriusculum en Querétaro y Guanajuato, México y ecotipos de C. frutescens en la Amazonía peruana (Ramírez et al. 2018, Iglesias 2020). En el presente estudio, los frutos de Cuautempan, con su masa menor respecto a Xochiapulco, tuvieron más semillas, pero con 5 % menos masa; además, la distribución de la frecuencia de masa de las semillas difirió parcialmente entre las altitudes de origen. El número de semillas en los frutos contribuye a su peso, pero no lo determina (Iglesias 2020).
La masa de las semillas de Cuautempan (3.56 mg) y de Xochiapulco (3.75 mg) coincidió con la documentada por Hernández-Verdugo et al. (2010) en cuatro poblaciones silvestres de C. annuum, con valores entre 2.7 mg y 4.2 mg y en algunas de las 14 (2.08 a 3.56 mg) evaluadas por Hernández-Verdugo et al. (2001). La masa de la semilla se utiliza como sinónimo del tamaño de semilla, es un carácter físico que los especialistas relacionan con la calidad fisiológica, específicamente con los procesos de germinación y los parámetros que la describen (Hernández-Verdugo et al. 2010). Sin embargo, el tamaño de la semilla, y en muchos casos también la germinación, es resultado de factores relacionados con la planta madre descritos antes (Gutterman 2000).
En el presente estudio la masa seminal fue evaluada para establecer la posible relación de la altitud de origen y la respuesta de la germinación al incremento de la temperatura. Se observó que la imbibición inicial y máxima, germinación inicial y máxima y velocidad de germinación, mostraron sólo cierta relación con el tamaño de semilla. Por ejemplo, la cinética de imbibición e imbibición máxima de las semillas con menos masa (de la altitud menor) se afectaron de manera opuesta al incremento de la temperatura; ya que, embebieron significativamente menos agua con el aumento de la temperatura respecto a las temperaturas menores. Un efecto similar u opuesto no se observó en las cinéticas de imbibición de las semillas (de la altitud mayor) con masa mayor. Al respecto, la imbibición menor por efecto de la temperatura mayor parece relevante por la escasez actual de agua para uso agrícola y la predicha para el futuro por modelos matemáticos (D’Odorico et al. 2024, Jones et al. 2024) y su combinación con el calentamiento global (NASA 2024). Además, aunque las curvas que describen la tendencia de la imbibición inicial y la final en dependencia de la temperatura se ajustaron al modelo lineal, las de semillas con menos masa (de altitud menor) mostraron pendiente negativa y la de semillas con más masa (de altitud mayor) fue opuesta. Esto muestra entonces, el efecto diferente de la temperatura en la imbibición de las semillas de C. annum de altitudes distintas.
En general, independientemente de la masa de semilla, altitud de origen o temperatura de germinación, las semillas embebieron en las primeras 4 horas hasta dos tercios del valor máximo y con la mayoría de las temperaturas este parámetro disminuyó significativamente a partir de las 12 horas. Estos resultados coinciden con los obtenidos en semillas de C. annuum tipo “chile ancho” por Espitia-Hernández et al. (2019). En ese estudio la mayor imbibición, alrededor de 70 %, se observó en las primeras 2 horas y la imbibición de otros ocho tratamientos con soluciones de reguladores de crecimiento la imbibición no mostró diferencias significativas respecto al testigo en agua (25 ºC).
La tendencia de disminución del porcentaje de imbibición inicial y máxima por efecto de las temperaturas mayores de imbibición en las semillas de Cuautempan parece coincidir con su adaptación a la mayor temperatura media máxima del sitio de origen, ya que esta es cerca de 8 ºC mayor respecto a Xochiapulco. Sin embargo, esa tendencia parece opuesta a la adaptación a mayor disponibilidad de agua, pues la precipitación media anual de Cuautempan es más del doble que en Xochiapulco.
La cinética de germinación mostró que las semillas con masa menor (de altitud menor) exhibieron 25 % más germinación con 20 ºC comparada con las semillas con masa mayor (de altitud mayor). Además, estas últimas fueron menos sensibles al incremento de la temperatura, principalmente a las temperaturas moderadamente altas (25 a 30 ºC). En contraste, independientemente de su masa, las semillas disminuyeron significativamente y en porcentajes similares la germinación máxima acumulada con las temperaturas altas (32.5 y 35 ºC) y su germinación se inhibió totalmente con 37.5 y 40 ºC. Las curvas que describen la tendencia del efecto de la temperatura en la germinación máxima y velocidad de germinación de las semillas de ambas procedencias no muestran un patrón relacionado con el clima de origen. Dado que, ambas variables de las semillas de ambas localidades, independientemente de las temperaturas media mínima y máxima o precipitación media anual, describieron caída lineal cercanamente paralela. Estos resultados muestran ausencia de una relación evidente entre el tamaño de semilla o altitud de procedencia con la respuesta al incremento de la temperatura en la germinación. Lo que coincide con lo documentado por Hernández-Verdugo et al. (2010), ya que estos autores observaron que únicamente en una de cuatro poblaciones de C. annuum silvestre, con masa promedio de semilla entre 2.7 y 4.2 mg, el porcentaje de germinación correlacionó positiva y significativamente con la masa seminal.
Los resultados relacionados con el tamaño de semilla y la germinación probablemente son diversos porque el tamaño de semilla es un carácter complejo. Dado que, el tamaño de semilla es un carácter con variación genética de tipo aditivo, de baja heredabilidad, resultante de la cantidad de factores que lo afectan (Bittinger et al. 1981, Biradar et al. 1996, Peña et al. 2004), con cierto efecto de la dominancia (Biradar et al. 1996) e influenciado por la competencia intra e interplanta y por el ambiente (Valadez-Gutiérrez et al. 2006).
Los resultados de germinación con 20 y 25 ºC difieren de lo observado en semillas de C. annuum tipo “chile ancho” por Espitia-Hernández et al. (2019); ya que, estos autores obtuvieron 34 % de germinación en el tratamiento testigo (con 25 ºC, agua y fotoperiodo 16:8 h luz: oscuridad) después de 21 días. Además, en ese estudio se evidenció que las semillas evaluadas presentaron 56 % de latencia y 10 % pudo haber sido no viable. La latencia no fue evaluada en el presente estudio; sin embargo, los valores de este carácter podrían ser 10 % en las semillas de altitud menor y 30 % en las de altitud mayor. Estos valores corresponden a los porcentajes de semillas que no germinaron con 20 ºC, temperatura que promovió la mayor germinación en las semillas de ambas altitudes. Hernández-Verdugo et al. (2010) evaluaron el efecto de la temperatura constante (25º C) y fluctuante 30/25º C (12 h día/12 h noche) en la germinación de cuatro poblaciones silvestres de C. annuum; la germinación promedió 15 a 35 % con la temperatura constante entre las poblaciones y 48 a 65 % con la temperatura fluctuante. Esto indica que algunas muestras de semilla de Capsicum son más sensibles que otras a la temperatura de germinación. Este puede ser el caso de las semillas de menor altitud del presente estudio.
Respecto a las diferencias en la germinación entre las semillas de chile silvestre (C. annuum) de origen distinto, Hernández-Verdugo et al. (2001, 2010) señalaron que la variación en la germinación entre poblaciones de la misma especie se ha interpretado principalmente como adaptación a factores climáticos locales (Meyer et al. 1997). Pero las diferencias en porcentaje de germinación de semillas de 14 poblaciones de C. annuum silvestres no correlacionaron significativamente con las variables climáticas de los sitios de recolección, salvo alguna excepción (Hernández-Verdugo et al. (2001). También el análisis de correlación de los porcentajes de germinación y el tiempo medio de germinación con 24 de las principales variables climáticas y geográficas de los sitios de recolección en estudio de Hernández-Verdugo et al. (2010) mostró que sólo una fue significativa; por lo que, en ambos estudios los autores concluyeron que la variación observada entre las poblaciones no es una adaptación a las características locales del hábitat. Además, la variación entre las poblaciones indicó que estas respondieron homogéneamente a las condiciones de germinación. La extensión de las afirmaciones de Hernández-Verdugo et al. (2001, 2010) a las semillas del presente estudio indicaría que las diferencias en germinación y respuesta a la temperatura no dependen del clima o ambiente en el que se desarrollaron.
Las evaluaciones del efecto del incremento de la temperatura en la calidad fisiológica de las semillas de los cultivos son necesarias para reconocer los mecanismos de tolerancia a este factor, ante el incremento de la temperatura global. Además, podrán identificarse variantes o cultivares con mayor tolerancia a las temperaturas altas que sean candidatos para utilizarse en programas de mejoramiento. Sin embargo, Rosmaina et al. (2021) aseguraron que “hasta el momento, no hay información sobre el efecto del estrés por altas temperaturas en la fase de germinación de semillas del chile”.
Un resultado relevante del presente estudio es la activación de la germinación que fue inhibida con 37.5 y 40 ºC durante 15 días en las semillas de ambas altitudes. La activación de la germinación fue mayor en las semillas de Xochiapulco (altitud mayor) que permanecieron inhibidas con 37.5 ºC; en este caso, la germinación igualó al testigo y a la de las temperaturas entre 25 y 30 ºC. Estos resultados pueden ser evidencia de la tolerancia de las semillas de C. annuum a temperaturas altas extremas de esas regiones de la Sierra Norte de Puebla. La germinación menor en ambas muestras después de su exposición prolongada a 40 ºC comparada con 37.5 ºC puede ser indicio de que con la temperatura mayor y con ese tiempo de exposición el daño de los procesos fisiológicos de las semillas ya había iniciado.
Las semillas de C. annuum provenientes de dos altitudes muestran diferencias en su masa y variación en su respuesta a la temperatura de imbibición y germinación entre 20 y 35 ºC. Sin embargo, tales diferencias no muestran un patrón relacionado con algunas variables climáticas del sitio de origen. Las diferencias en la imbibición y germinación mínimas y máximas dependientes de la temperatura de germinación y altitud de origen permiten identificar posibles respuestas de sensibilidad y tolerancia al calentamiento global en C. annuum. Las temperaturas entre 25 y 35 ºC afectan más la germinación de las semillas de C. annuum del sitio con menor altitud comparadas con las de altitud mayor. Semillas de C. annuum, independientemente de la altitud de origen, no germinan durante 360 h con 37.5 y 40 °C. Las semillas de altitud mayor parecen más tolerantes a estas temperaturas durante este periodo de tiempo; ya que, las de altitud menor activan parcialmente su germinación al cambiar a 25 ºC; además, las semillas de altitud mayor expuestas a 37.5 ºC, durante 360 días, activan su germinación completamente.















