Introducción
El bien común es un concepto estudiado desde la ética y la filosofía política; siendo que se enmarca dentro de las disciplinas teórico-prácticas, es común darle más preponderancia teórica que práctica. Es por esta razón que buscamos, no teorizar sobre el bien común, sino operacionalizarlo, para ello, recurrimos a la matriz de las dinámicas de bienes comunes (DBsCs) (para una mayor profundización Nebel y Medina-Delgadillo 2022) en municipios. Asimismo, consideramos que un bien común específico describe a una comunidad congregada en la consecución de un bien creado específico, el cual es frágil, pues la comunidad se lo puede apropiar y reinventar constantemente o destruirlo.
La matriz cuenta con cinco dimensiones para poder medir la fuerza y la calidad de los procesos; estos son: agencia, gobernanza, justicia, estabilidad y humanidad. La agencia es concebida como una función normativa que es el motor de las DBsCs, es la condición sine qua non del bien común, pues sin libertad de agencia, los individuos no pueden trabajar por el bien común. La gobernanza, justicia y estabilidad son normas deontológicas, que además de informar a la agencia para alcanzar una mejor humanidad, son normas instrumentales que informan, estructuran y regulan las relaciones con respecto a los bienes comunes específicos de una comunidad, esto se considera el nexo de los bienes comunes. Por último, la humanidad es el horizonte normativo del desarrollo, indica la dirección que debe seguir el bien común y es el resultado de todo el proceso de las DBsCs; no se puede concebir alcanzar el bien común y tener una peor humanidad (Nebel y Arbesu-Verduzco 2020; Nebel y Medina-Delgadillo 2022).
En este escrito analizaremos sólo la dimensión de humanidad, pues nos interesan los hábitos colectivos (HsCs) que producen los bienes comunes en las universidades, especialmente la veracidad. El trabajo se estructura primero, analizando la humanidad; segundo, mencionando la teoría de bienes comunes en las universidades, especialmente cuáles son los bienes comunes que se producen y qué HsCs se obtienen, especialmente el de veracidad; tercero, los resultados obtenidos de veracidad aplicados en 8 universidades en México; por último, una discusión sobre los resultados y la virtud intelectual de la veracidad.
La humanidad en el bien común
La humanidad es el horizonte normativo del desarrollo (Nebel y Medina-Delgadillo 2022: 71 y 83); como tal, no es algo fijo o determinado por la matriz de las DBsCs, sino que es algo que debemos ir buscando y descubriendo, dar una respuesta a qué significa ser “seres humanos”, pero esto no es una tarea de una persona, sino que es un trabajo que debe realizar cada generación, pues la humanidad no carece de límites (Nebel y Medina-Delgadillo 2022: 73 y 83). Para poder medir la humanidad, Nebel y Medina (2022: 84) proponen un espacio con fronteras, éstas están circunscritas por la posibilidad de lo no-humano (lo animal y la divinidad), si se llega a franquear alguna de estas fronteras, se deja de ser humano.
Además, para medir los procesos y dinámicas sociales que se dan en el bien común (agencia, gobernanza, justicia y estabilidad) y su resultado (humanidad) proponen como límite los bienes comunes de base -bienes sociales básicos necesarios para que una comunidad sea más humana- y los hábitos centrales. Por hábito se entiende a las estructuras sociales encarnadas dentro de la práctica humana, y por hábitos centrales (también concebidos como HsCs) se entiende la identificación progresiva de ciertos habitus como progresión acumulativa de sabiduría prudencial sobre qué comportamientos humanos son y deben ser; de esta manera, estos hábitos son universales y tienen una universalidad práctica (Nebel y Medina-Delgadillo, 2022: 83). Estos HsCs también dirigen hacia el florecimiento humano (Sedmak, 2022: 180).
Además, observan que cuando los individuos viven en sociedades, éstas les permiten o restringen ciertas prácticas sociales, es decir, las prácticas sociales están dirigidas por las sociedades para alcanzar determinados objetivos. Para que la humanidad sea un resultado sistémico de la sociedad, es necesario la coherencia del nexo de los bienes comunes, pues favorecen o rechazan ciertos habitus; además, la humanidad aumenta o disminuye por el nexo de los bienes comunes que tiene esa sociedad (Nebel y Medina-Delgadillo, 2022: 84).
Por su parte, Sedmak (2022) observa que la propuesta de las DBsCs es limitada en su aplicación y puede tener mucha coincidencia con una visión utilitarista. Para poder evadir estas limitaciones, Sedmak (2022: 180) menciona que la propuesta del bien común incluye una visión de la necesidad de todos para comprender mejor qué significa ser humano. También afirma que la humanidad es el resultado de las DBsCs, las cuales son una condición de posibilidad para vivir una vida humana más plena (Sedmak, 2022: 180). En otras palabras, Sedmak (2022: 181) afirma que estos HsCs ayudan a comprender y reconocer la dignidad de la persona humana y ser un miembro de la familia.
Por otro lado, Sedmak (2022: 184) afirma que el “mal común” deshumaniza a la persona, pues pueden existir estructuras tóxicas que son guiadas por el terror, la falta sistemática del respeto a las necesidades humanas básicas, las divisiones o polarizaciones dentro de la sociedad, la falta de entablar amistad con otros y la pérdida del sentido de vivir en una comunidad. Los elementos antes enunciados pueden generar, también, HsCs que atenten contra la dignidad de la persona, de ser parte de la familia y de vivir de acuerdo con nuestra humanidad.
Los HsCs tienen su fundamento en las capabilidades humanas esenciales propuestas por Nussbaum: vida, salud corporal, integridad corporal, sentidos, imaginación y pensamiento, emoción, razón práctica, afiliación, otras especies, juego y control sobre el medio ambiente de uno (Nussbaum 2003, citado en Sedmak, 2022). Por su parte, Sedmak (2022:185-186) propone otra lista tentativa y no limitativa que co-constituye la condición humana: estar en algún lugar y ser único; tener un cuerpo vulnerable; depender de circunstancias externas; tener una historia y que pueda ser contada; buscar un lugar para vivir; vivir interdependientemente en relaciones especiales; conocer y crear oscuridad; tener la posibilidad de ser movido, tocado y lastimado; mostrar una habilidad para el bien; tener una interioridad profunda inagotable; ser finito, mortal y limitado; desear algo más allá de la finitud y mortalidad; aprender y crecer sin la posibilidad de perder lo “anterior”; búsqueda de reconocimiento; y estar abierto a lo intangible.
Si bien, esta lista puede ayudar a comprender la humanidad generada por el bien común, Sedmak (2022: 186-189) propone cuatro ideas centrales de la lista anterior para comprender la humanidad y que, además, se encuentran enmarcadas en el primer artículo de la Declaración Universal de los Derechos Humanos: unicidad y complejidad, vulnerabilidad y sociabilidad, agencia y poder de transformar, e igualdad y cercanía existencial.
Los bienes comunes en las universidades
Tomando como base la matriz del bien común y la métrica para medir DBsCs en municipios, se inició la investigación con un grupo interdisciplinar (teólogo, filósofo, ingeniero, administrador, estadista, economista, psicólogo, médico, sociólogo, pedagogo) de investigadores, e interuniversitario, en México (Universidad Tecnológica de Querétaro [UTEQ], Universidad Popular Autónoma del Estado de Puebla [UPAEP], Anáhuac Querétaro [Anáhuac], Mondragón, Universidad Tecnológica de San Juan del Río [UTSJR], Universidad Politécnica de Querétaro [UPQ], Universidad Autónoma de Querétaro, Arkansas State University) para desarrollar una métrica que mida las DBsCs en instituciones de educación superior.
El primer problema a resolver fue determinar cuáles son los bienes comunes esenciales que se generan en las universidades, encontrando, hasta el momento, cinco de ellos que se generan en toda universidad. Estos cinco bienes comunes de base parecen identificar y distinguir a una universidad de otras instituciones: relación educativa (RE), investigación (RI), modelo o estilo educativo, memoria colectiva y transmisión del saber humano. La métrica realizada sólo mide los dos primeros.
Por RE entendemos el fruto de una estructura institucional que permite, genera y sostiene en el tiempo un aprender a ser, a hacer, a convivir y a aprender. Esta re no es sólo entre dos personas, sino que son las relaciones que permiten y generan la institucionalidad de la universidad. Es la relación recíproca que existe entre los mismos estudiantes, docentes y administrativos, así como estudiantes-docentes, estudiantes-administrativos y docentes-administrativos.
Por RI entendemos los tiempos, la reflexión y las diversas prácticas y actividades que llevan a un diálogo académico permanente y que permite alcanzar conocimientos nuevos. La investigación y el diálogo académico conforman el logos específico de la universidad, los cuales son llevados a cabo por la comunidad académica. Algunos elementos que conllevan la RI es una ética específica, la cooperación interdisciplinar, la responsabilidad social y la búsqueda de la verdad, tener honestidad intelectual y rigor académico.
Los HsCs que hemos propuesto, por el nexo de bienes comunes, de manera no limitativa son la veracidad, la disciplina de trabajo, la solidaridad y la equidad. Hay que mencionar que los HsCs son prácticas colectivas que surgen de las reglas y normas de conductas que proponen las comunidades.
La definición operativa que proponemos de veracidad, para poder medirla en la métrica de las DBsCs en universidades, es: la veracidad en los miembros de una universidad se verifica en cuanto a su capacidad de vivir (decir, escribir, usar) y practicar una epistemología y deontología académica, las cuales se pueden conocer en la práctica (investigar y profesar) a través de la honestidad y humildad intelectual. Las preguntas desarrolladas con base en esta definición operativa se observan en Anexo 1.
Metodología
Instrumento de medición
Para medir la veracidad se creó una escala integrada por un total de cuatro ítems, cada uno de ellos en una escala tipo Likert con cinco opciones como posible respuesta: 1, totalmente en desacuerdo; 2, en desacuerdo; 3, ni de acuerdo ni en desacuerdo; 4, de acuerdo; y 5, totalmente de acuerdo; denominada a partir de ahora como escala de veracidad (EV), ver Anexo 1.
Validación y confiabilidad de la escala de veracidad
Descripción de la muestra en estudio
Para evaluar la validez y confiabilidad de la EV, se aplicó este instrumento a una muestra aleatoria de 916 integrantes de la comunidad de la UTEQ. De ellos, el 51.4% son mujeres y 48.6% son hombres; el 76.2% tenían 2 años y el resto tenía 4 años de antigüedad en la UTEQ; y, el 96.9% son estudiantes y el 3.1% son docentes.
Validez de la escala
La validez de la escala verifica si en verdad se está midiendo la variable latente, veracidad en este caso. Por lo que la validez de la EV se evaluó a través de la validez de contenido y de la validez de constructo.
La validez de contenido quedó verificada al momento de elaborar los ítems, teniendo en cuenta la literatura acerca del concepto de veracidad y después de someter toda la escala a la evaluación de jueces, quienes confirmaron que efectivamente cada uno de los ítems está conectado con la variable latente veracidad.
Para evaluar la validez de constructo y confirmar que una sola dimensión era la adecuada para medir veracidad (Figura 1), se utilizó el análisis factorial confirmatorio, por medio del método robusto de estimación de mínimos cuadrados ponderados diagonales (Yang-Wallentin, et al., 2010), a través del paquete lavaan del software estadístico R (versión 4.2.0).
Para evaluar la bondad de ajuste del modelo propuesto en la Figura 1, se usaron cuatro indicadores: el índice de bondad de ajuste (GFI), el índice de bondad de ajuste ajustado por los grados de libertad (AGFI), la raíz del residuo cuadrático medio estandarizado (RMSR), y el índice de bondad de ajuste comparativo (CFI), cuyos valores para nuestro modelo fueron de 0.997, 0.966, 0.042 y 0.968, respectivamente. Estas medidas caen dentro de los niveles de aceptación de buen ajuste, ya que de acuerdo con Hu y Bentler (1999) y Hair et al. (2018), son considerados como aceptables los valores del GFI y AGFI mayores o iguales a 0.90, valores pequeños del RMSR inferiores a 0.08, y un CFI superior a 0.95.
Como se puede observar en el Anexo 2, todas las cargas factoriales estandarizadas son superiores a 0.5 y, además, son estadísticamente significativas a un nivel de confianza de 95%. Esto confirma que una sola dimensión es adecuada para medir veracidad.
Confiabilidad de la escala
La confiabilidad de la EV fue medida en términos de la consistencia interna por medio del coeficiente omega categórico unidimensional (ω u-cat) (Green & Yang, 2009), a través del paquete semTools del software estadístico R (versión 4.2.0). ωu-cat , es más apropiado que el coeficiente alpha de Cronbach debido a que se cuenta con variables ordinales (tipo Likert) y se asume una escala unidimensional. En este caso se tuvo un ωu-cat = 0.67, el cual es un valor muy cercano al mínimo recomendado por Hair et al. (2018) de 0.7 para escalas en etapa inicial. Este resultado nos indica que la escala es confiable, más puntualmente, este valor nos indica que 0.67 de la varianza de la puntuación total de la escala se debe al único factor de veracidad incluido en la escala y el resto al error de medición.
Escala aditiva de la veracidad
Creación de la escala aditiva
Una vez evaluada la validez y confiabilidad de la EV, se procedió a crear una escala aditiva de la veracidad (EAV) con los cuatro ítems que originalmente conforman la escala. Para ello se realizó una suma algebraica de la puntuación de grado de acuerdo o desacuerdo (1, 2, 3, 4, 5) con cada ítem para cada uno de los individuos en estudio. La puntuación total se entiende como representativa de su posición favorable o desfavorable con respecto a la veracidad. Esta puntuación toma valores enteros que van desde cuatro hasta veinte: a mayor puntuación, mayor manifestación de la virtud de la veracidad; y, por el contrario, a menor puntuación, menor virtud de la veracidad.
La veracidad en universidades
Descripción de la muestra en estudio
Para analizar la veracidad en universidades a partir de la EAV, adicional a la aplicación llevada a cabo en la UTEQ, se aplicó la EV a una muestra aleatoria de 2,287 integrantes de otras siete universidades de México, teniendo una muestra total de 3,203. De las ocho universidades, siete de ellas están ubicadas en Querétaro: UTEQ, Anáhuac, Universidad Marista de Querétaro (Marista), Mondragón, Universidad del Valle de Atemajac (UNIVA), UPQ, UTSJR; y sólo la UPAEP, se encuentra ubicada en Puebla.
Como se observa en la Tabla 1, un poco menos de la mitad de la muestra (46%) estuvo conformada conjuntamente por la comunidad UTEQ y Anáhuac, mientras que otro 39% estuvo conformada conjuntamente por la comunidad Marista, UPQ y UTSJR. Respecto a la variable sexo, la muestra estuvo aproximadamente equilibrada tanto para mujeres (51%) como para hombres (49%), ver Tabla 2. Como se muestra en la Tabla 3, más de dos terceras partes de los participantes (71%) tenían dos años en su universidad, y el resto (29%) tenía 4 años. Finalmente, la mayoría (94%) de los participantes tenía un rol de estudiante, y sólo el 6% tenía un rol de docente, ver Tabla 4.
Tabla 1 Distribución de la muestra, por universidad
| Universidad | Muestra | Porcentaje |
|---|---|---|
| Anáhuac | 535 | 17 |
| Marista | 360 | 11 |
| Mondragón | 239 | 7 |
| UNIVA | 159 | 5 |
| UPAEP | 118 | 4 |
| UPQ | 408 | 13 |
| UTEQ | 916 | 29 |
| UTSJR | 468 | 15 |
| Total | 3,203 | 100 |
Fuente: Elaboración propia
Tabla 2 Distribución de la muestra, por sexo
| Sexo | Muestra | Porcentaje |
|---|---|---|
| Mujer | 1,641 | 51 |
| Hombre | 1,562 | 49 |
| Total | 3,203 | 100 |
Fuente: Elaboración propia
Tabla 3 Distribución de la muestra, por años en la universidad
| Tiempo en la universidad | Muestra | Porcentaje |
|---|---|---|
| 2 años | 2,262 | 71 |
| 4 años | 941 | 29 |
| Total | 3,203 | 100 |
Fuente: Elaboración propia
Resultados de la escala aditiva de la veracidad
En la Figura 2, se puede observar la distribución de las puntuaciones de la EAV de la muestra en estudio, destacando que en promedio se tuvo una puntuación de 15.8 puntos, lo cual se puede considerar que en las universidades se vive la veracidad; sin embargo, debido a que la distribución presenta un ligero sesgo la izquierda (coeficiente de sesgo de -0.7), es más conveniente describir la tendencia central de las puntuaciones de la EAV a través de la mediana, cuyo valor fue de 16.0 puntos, esto último indica que el 50% de los sujetos en estudio obtuvo 16 puntos o menos y el otro 50% de ellos obtuvo 16 puntos o más.
Si hacemos una comparación entre universidades, la UPAEP sobresale de las demás con una mediana de 17.0 puntos, respecto a la mediana de 16.0, como se observa en la Tabla 5; sin embargo, la UPAEP presenta una mayor variabilidad (s= 2.7 puntos) que el resto de las universidades, como también se puede apreciar en la Figura 3. Asimismo, en la Figura 3 se destaca que las universidades Marista y UNIVA tienden a obtener puntuaciones en la EAV ligeramente inferiores al resto de las universidades, mientras que la UPQ, UTEQ y UTSJR tienden a obtener puntuaciones muy parecidas.
Tabla 5 Medidas estadísticas de la EAV, por universidad
| Medida estadística | Universidad | |||||||
|---|---|---|---|---|---|---|---|---|
| Anáhuac | Marista | Mondragón | UNIVA | UPAEP | UPQ | UTEQ | UTSJR | |
| Mínimo | 6.0 | 4.0 | 7.0 | 7.0 | 4.0 | 4.0 | 4.0 | 4.0 |
| Primer cuartil | 14.0 | 14.0 | 15.0 | 14.0 | 15.0 | 15.0 | 15.0 | 15.0 |
| Mediana | 16.0 | 16.0 | 16.0 | 16.0 | 17.0 | 16.0 | 16.0 | 16.0 |
| Promedio | 15.6 | 15.3 | 16.3 | 15.3 | 16.6 | 15.9 | 15.8 | 16.0 |
| Tercer cuartil | 17.0 | 16.0 | 18.0 | 16.0 | 19.0 | 17.0 | 17.0 | 17.0 |
| Máximo | 20.0 | 20.0 | 20.0 | 20.0 | 20.0 | 20.0 | 20.0 | 20.0 |
| Desviación estándar | 2.3 | 2.4 | 2.4 | 2.4 | 2.7 | 2.2 | 2.2 | 2.1 |
Fuente: Elaboración propia
Para corroborar si efectivamente existía diferencia estadística en las puntuaciones de EAV entre universidades, primero se verificó el supuesto de normalidad de estas puntuaciones a través de la prueba de Kolmogorov-Smirnov, de donde se concluye que efectivamente estas puntuaciones no se ajustan a una distribución normal (D= 0.16, p< 0.001), como ya se había anticipado en la distribución observada en la Figura 2.
De acuerdo con los resultados de la prueba no paramétrica de Kruskall-Wallis, se concluye que sí existe diferencia en las puntuaciones de la EAV entre universidades (χ2(7,N= 3,203) = 66.97, p< 0.001). Para investigar cuál de las universidades hace la diferencia entre las puntuaciones en la EAV, se utilizó la prueba de suma de rangos de Wilcoxon para realizar comparaciones múltiples, los resultados de esta prueba condujeron a formaron tres grupos de universidades con puntuaciones similares dentro de cada grupo y estadísticamente diferentes entre grupos: grupo 1 (Mondragón y UPAEP), con puntuaciones superiores al resto de las universidades; grupo 2 (UPQ, UTEQ y UTSJR) con puntuaciones ligeramente inferiores al grupo 1; y, finalmente, el grupo 3 (Anáhuac, Marista y UNIVA), con puntuaciones ligeramente inferiores al grupo 2.
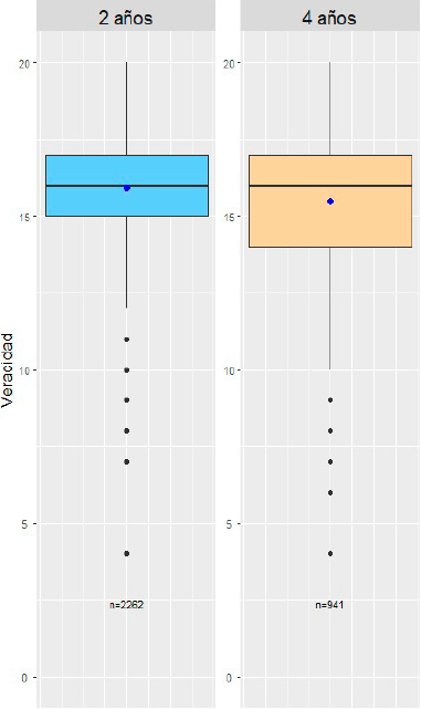
También se compararon las puntuaciones de la EAV por el número de años en la universidad de los sujetos en estudio. Como se observa en la Tabla 6, tanto quienes tienen 2 años, como quienes tienen 4 años en su universidad, tienen la misma mediana (16.0 puntos), aunque en promedio sobresalen los que tienen 2 años; sin embargo, quienes tienen 4 años en su universidad presentan mayor variabilidad (s= 2.4 puntos) que los que tienen 2 años (s= 2.2 puntos), esto último se puede apreciar en la Figura 4.
Tabla 6 Medidas estadísticas de la EAV, por años en la universidad
| Medida estadística | Años en la universidad | |
|---|---|---|
| 2 años | 4 años | |
| Mínimo | 4.0 | 4.0 |
| Primer cuartil | 15.0 | 14.0 |
| Mediana | 16.0 | 16.0 |
| Promedio | 15.9 | 15.5 |
| Tercer cuartil | 17.0 | 17.0 |
| Máximo | 20.0 | 20.0 |
| Desviación estándar (s) | 2.2 | 2.4 |
Fuente: Elaboración propia
De acuerdo con los resultados de la prueba de Kolmogorov-Smirnov, se concluyó que ni la distribución de las puntuaciones de la EAV de aquellos que tienen 2 años su universidad (D= 0.16, p < 0.001), ni de aquellos que tienen 4 años (D= 0.15, p< 0.001) se ajustan a una distribución normal. Y, de acuerdo con los resultados de la prueba de suma de rangos de Wilcoxon, se concluye que en general quienes tienen 2 años obtienen puntuaciones superiores en la EAV, que aquellos que tienen 4 años (W = 117,750, p< 0.001).
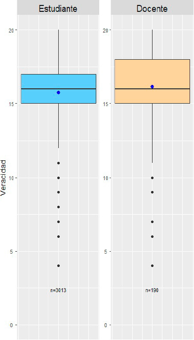
Finalmente, se compararon las puntuaciones obtenidas en la EAV de acuerdo al rol que juegan en su universidad los sujetos en estudio. Como se observa en la Tabla 7, tanto los estudiantes, como los docentes tienen la misma mediana (16.0 puntos), aunque en promedio sobresalen ligeramente los docentes; sin embargo, los estudiantes presentan menor variabilidad (s= 2.2 puntos) que los docentes (s= 2.8 puntos), esto último se aprecia en la Figura 5.
Tabla 7 Medidas estadísticas de la EAV, por el rol en la universidad
| Medida estadística | Rol en la universidad | |
|---|---|---|
| Estudiante | Docente | |
| Mínimo | 4.0 | 4.0 |
| Primer cuartil | 15.0 | 15.0 |
| Mediana | 16.0 | 16.0 |
| Promedio | 15.8 | 16.1 |
| Tercer cuartil | 17.0 | 18.0 |
| Máximo | 20.0 | 20.0 |
| Desviación estándar | 2.2 | 2.8 |
Fuente: Elaboración propia
De acuerdo con los resultados de la prueba de Kolmogorov-Smirnov, ni la distribución de las puntuaciones de la EAV de aquellos que son estudiantes (D= 0.16, p< 0.001), ni de aquellos que son docentes (D= 0.15, p< 0.001) se ajustan a una distribución normal. Y de acuerdo con los resultados de la prueba de suma de rangos de Wilcoxon se concluye que en general los estudiantes obtienen puntuaciones inferiores en la EAV, que los docentes (W = 251,607, p< 0.002).
Límites del estudio
A continuación, presentamos cuatro límites de esta investigación. El primero es que la encuesta fue levantada en tiempo de la pandemia COVID-19 (febrero-junio 2021), lo cual puede arrojar datos inexactos por la posibilidad del aumento de plagio académico, situación externada en una investigación cualitativa complementaria.
La segunda limitación es que dentro de todo el instrumento, sólo 4 items miden la veracidad, lo cual no puede capturar todo lo que es la veracidad.
La tercera limitación es que la encuesta tiene 83 preguntas, de los cuales 7 son de clasificación y 76 son de la métrica. Normalmente el tiempo para completar la encuesta es de 20 minutos. Llegar a las últimas preguntas, especialmente las de veracidad, ya puede ser cansado y se puede producir el sesgo por fatiga y, además, un sesgo por preguntas complejas (Choi, Granero y Pak, 2010).
Por último, para dar congruencia con la teoría de las dinámicas de bienes comunes, en este artículo no se han estudiado las preguntas normativas deontológicas (estabilidad, gobernanza y justicia); sólo presentamos los resultados de humanidad. Las preguntas normativas deontológicas que atienden a la virtud de la veracidad son: estabilidad, E24 La investigación que fomenta mi universidad es congruente con las necesidades actuales de nuestra sociedad; gobernanza G37 En mi universidad, las autoridades sancionan el plagio académico, G38 Las autoridades de mi universidad dan prioridad a una lógica académica por encima de los intereses personales o de grupo, G42 Las autoridades de mi universidad fomentan el diálogo académico para delinear la investigación, G44 En mi universidad las autoridades respetan los resultados de la investigación; justicia J59 En mi universidad, los procesos de investigación no se prestan a abuso de poder.
Discusión a modo de conclusión
Kotzee (2016: 144) encuentra dos objeciones para poder medir las virtudes intelectuales. La primera es que la virtud moral no se puede medir, pues para Aristóteles la ética es una ciencia inexacta, porque considera que se debe evaluar si la persona que ha actuado ha comprendido correctamente las circunstancias en las que debe actuar y si razona bien la situación. Si esto sucede con la moral, todavía es más complejo para las virtudes intelectuales. La segunda, la virtud intelectual debe ser considerada por la persona, por sus trabajos o propósitos (así como en la virtud de la templanza en el comer y beber). Por otro lado, Kotzee (2016: 147) propone que, para poder medir las virtudes intelectuales, se deben adaptar las medidas de la virtud moral a la intelectual, evaluar el desarrollo epistémico de los estudiantes y evaluar las habilidades de pensamiento crítico.
Una tercera objeción que podemos proponer, es que la veracidad es una virtud moral y no una intelectual. En la Suma Teológica, Tomás de Aquino incluye la virtud de la veracidad como parte cuasi integral de la justicia (II-II q. 109) e incluye 4 vicios: jactancia, ironía, mentir y disimulación o hipocresía (II-II qq. 110-113).
Roberts y Wood (2007) afirman que la veracidad es una virtud intelectual en cuanto a que el bien o la justicia que se desea y se busca para el otro es uno epistémico (165), pues es considerada como la preocupación por conocer y transmitir la verdad tal y cual uno lo entiende y, además, la habilidad de transmitirla con delicadeza y empatía para suscitar una auténtica comprensión (Roberts y Wood, 2007: 137); también es autónoma, independiente e íntegra, es decir, no cede ante la presión ajena de quien quiere resultados, sin importar la verdad (283); también implica la apreciación y amor de los bienes intelectuales y la importancia que otros los posean también (165). Algunos vicios opuestos son la insinceridad (137), la mentira, el engaño o evasión (165). La veracidad se verifica en cuanto a que la sabiduría práctica sabe qué falsedades son importantes de evitar, y por qué y cuáles son las verdades que urgen y se deben decir (166). Para estos autores, el criterio que rige a la veracidad es el amor al conocimiento (166).
Pinsent (2013) menciona que algunas virtudes morales, como el coraje, no se pueden comprender desde la propuesta aristotélica de la habituación, pues existe un vacío de metáforas que puedan dar cuenta de ello (96), un ejemplo es la virtud de la templanza, pues cualquier niño aprende a comer y a beber, no por habituación, sino por el contexto social de interacción. Este tipo de interacción se ha denominado en la psicología experimental como “atención conjunta” (AC), es decir, compartir o estar atentos todos juntos a un mismo objeto (96). Por estas razones, Pinsent (2013) cree que las virtudes, en este caso el de la veracidad, se puede comprender desde la perspectiva de segunda persona (PSP) (89).
La veracidad se comprende desde la propuesta de virtud de la PSP con la cláusula «producida por Dios en nosotros sin intervención nuestra» (I-II q. 55, a.4); por esta razón, Pinsent (2013) considera que las virtudes se pueden comprender desde la PSP como una virtud infundida por Dios en nosotros (97), el cual se puede perder si se pierde la atención a lo que Dios observa y apunta para el florecimiento humano (97). Haciendo una analogía, podemos decir que la veracidad es producida (infundida/transmitida con delicadeza y empatía) por el profesor en el estudiante sin intervención del estudiante. En efecto, la AC y PSP no sólo tienen su base en la comunicación verbal, sino que, también se dan a través del lenguaje no verbal como las miradas, prosodia, el lenguaje maternal (motherese) y los reflejos (mirroring) (Pinsent 2013: 98). Podemos extender esta noción a la de atención intelectual conjunta (AIC), desde la cual se puede entender la dinámica de los grupos de investigación interdisciplinarios (Vanney y Aguinalde 2021: 159) y, también, el de la re, pues el conocimiento se puede adquirir si existe un compromiso, entre profesor y estudiante, de atender, compartir o estar atentos todos juntos a un mismo objeto de estudio desde un lenguaje verbal y no verbal, así como la amistad entre ellos (Pinsent 2013: 100); por otra parte, se puede perder esta virtud si se rompe la PSP entre ellos a través de la falsedad (Pinsent 2013, 102), la jactancia, la ironía, la mentira y la hipocresía.
Las capabilidades de imaginación y pensamiento, propuesto por Nussbaum, y el de aprender y crear sin la posibilidad de perder lo “anterior” por Sedmak, se pueden comprender mejor desde la PSP y AIC, especialmente, la virtud de la veracidad. Como se observa en Anexo 1, las preguntas buscan medir la veracidad, si se contesta negativamente podemos ver cómo se rompe la PSP y se puede vivir en la mentira (P4), hipocresía (P3), jactancia (P2) y falsedad (P1); la Tabla 5 y Figura 3 nos muestran que la veracidad es una virtud que se vive en las universidades, gracias a la relación entre estudiantes y docentes, como se muestra en la Tabla 7 y Figura 5; dando como resultado la integración personal que propone la PSP y, de esta manera, la veracidad y el florecimiento humano están más intrínsecamente unidos (Pinsent 2013: 102).



















